Accuracy and Reliability of Smartphone Versus Mirrorless Camera Images-Assisted Digital Shade Guides: An In Vitro Study
Abstract
1. Introduction
2. Materials and Methods
2.1. Study Design
2.2. Digital Imaging of Shade Tabs
2.3. Shade Tab Image Processing
2.4. Color Measurement
2.5. Statistical Analysis
3. Results
3.1. Comparative Accuracy of Smartphone and Mirrorless Camera Images-Assisted Digital Shade Guides
Mean Color Difference (∆E00)
3.2. Reliability Analysis
3.2.1. Inter-Device Reliability
3.2.2. Intra-Examiner Reliability
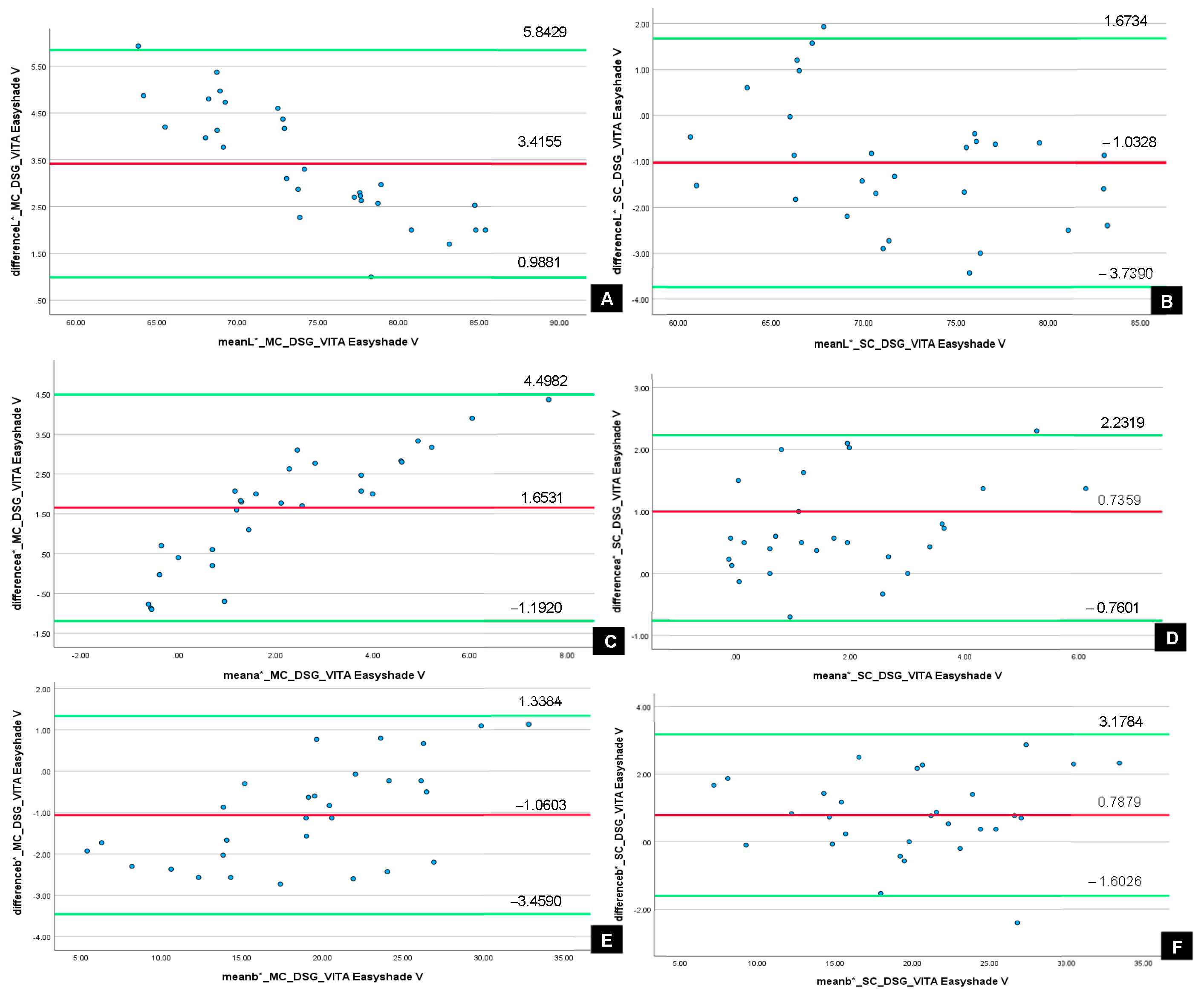
3.3. Agreement Analysis
4. Discussion
5. Conclusions
Author Contributions
Funding
Institutional Review Board Statement
Informed Consent Statement
Data Availability Statement
Conflicts of Interest
Abbreviations
| MC-DSG | Mirrorless Camera Digital Shade Guide |
| SC-DSG | Smartphone Camera Digital Shade Guide |
| CIE | Commision International de l’Éclairage |
References
- Alnusayri, M.O.; Sghaireen, M.G.; Mathew, M.; Alzarea, B.; Bandela, V.; Sghaireen, M.G. Shade selection in esthetic dentistry: A review. Cureus 2022, 14, e23331. [Google Scholar] [CrossRef] [PubMed]
- Fondriest, J. Shade matching in restorative dentistry: The science and strategies. Int. J. Periodontics Restor. Dent. 2003, 23, 467–480. [Google Scholar] [CrossRef]
- Moodley, D.; Patel, N.; Moodley, T.; Ranchod, H. Comparison of colour differences in visual versus spectrophotometric shade matching. S. Afr. Dent. J. 2015, 70, 402–407. [Google Scholar]
- Clary, J.A.; Ontiveros, J.C.; Cron, S.G.; Paravina, R.D. Influence of light source, polarization, education, and training on shade matching quality. J. Prosthet. Dent. 2016, 116, 91–97. [Google Scholar] [CrossRef] [PubMed]
- Pecho, O.E.; Ghinea, R.; Perez, M.M.; Della Bona, A. Influence of gender on visual shade matching in dentistry. J. Esthet. Restor. Dent. 2017, 29, E15–E23. [Google Scholar] [CrossRef] [PubMed]
- Jorquera, G.J.; Atria, P.J.; Galán, M.; Feureisen, J.; Imbarak, M.; Kernitsky, J.; Cacciuttolo, F.; Hirata, R.; Sampaio, C.S. A comparison of ceramic crown color difference between different shade selection methods: Visual, digital camera, and smartphone. J. Prosthet. Dent. 2022, 128, 784–792. [Google Scholar] [CrossRef] [PubMed]
- Dozić, A.; Kleverlaan, C.J.; El-Zohairy, A.; Feilzer, A.J.; Khashayar, G. Performance of five commercially available tooth color-measuring devices. J. Prosthodont. 2007, 16, 93–100. [Google Scholar] [CrossRef] [PubMed]
- Igiel, C.; Lehmann, K.M.; Ghinea, R.; Weyhrauch, M.; Hangx, Y.; Scheller, H.; Paravina, R.D. Reliability of visual and instrumental color matching. J. Esthet. Restor. Dent. 2017, 29, 303–308. [Google Scholar] [CrossRef] [PubMed]
- Sampaio, C.S.; Atria, P.J.; Hirata, R.; Jorquera, G. Variability of color matching with different digital photography techniques and a gray reference card. J. Prosthet. Dent. 2019, 121, 333–339. [Google Scholar] [CrossRef] [PubMed]
- Chu, S.J.; Trushkowsky, R.D.; Paravina, R.D. Dental color matching instruments and systems. Review of clinical and research aspects. J. Dent. 2010, 38, e2–e16. [Google Scholar] [CrossRef] [PubMed]
- Yung, D.; Andy, K.; Hsung, R.T.; Botelho, M.G.; Pow, E.H.; Lam, W.Y. Comparison of the colour accuracy of a single-lens reflex camera and a smartphone camera in a clinical context. J. Dent. 2023, 137, 104681. [Google Scholar] [CrossRef] [PubMed]
- Jarad, F.; Russell, M.; Moss, B. The use of digital imaging for colour matching and communication in restorative dentistry. Br. Dent. J. 2005, 199, 43–49. [Google Scholar] [CrossRef] [PubMed]
- Wee, A.G.; Lindsey, D.T.; Kuo, S.; Johnston, W.M. Color accuracy of commercial digital cameras for use in dentistry. Dent. Mater. 2006, 22, 553–559. [Google Scholar] [CrossRef] [PubMed]
- Lam, W.Y.; Hsung, R.T.; Cheng, L.Y.; Pow, E.H. Mapping intraoral photographs on virtual teeth model. J. Dent. 2018, 79, 107–110. [Google Scholar] [CrossRef] [PubMed]
- Guan, Y.H.; Lath, D.L.; Lilley, T.; Willmot, D.; Marlow, I.; Brook, A. The measurement of tooth whiteness by image analysis and spectrophotometry: A comparison. J. Oral Rehabil. 2005, 32, 7–15. [Google Scholar] [CrossRef] [PubMed]
- Tew, I.M.; HoNang Pow, E.; Suhaimi, B.; Erishah, S.; Tan, W.; Shern, P.; Shaharuddin, N.B.; Soo, S.Y.; Mohd Said, S.B.; Wong, L. Accuracy and Reliability of Smartphone Virtual Shade-Matching Technique: An In Vitro Study. Int. J. Prosthodont. 2023, 36, 331–337. [Google Scholar] [CrossRef] [PubMed]
- McLaren, E.A.; Figueira, J.; Goldstein, R.E. A Technique Using Calibrated Photography and Photoshop for Accurate Shade Analysis and Communication. Compendium 2017, 38, 106–113. [Google Scholar] [PubMed]
- Mahn, E.; Tortora, S.C.; Olate, B.; Cacciuttolo, F.; Kernitsky, J.; Jorquera, G. Comparison of visual analog shade matching, a digital visual method with a cross-polarized light filter, and a spectrophotometer for dental color matching. J. Prosthet. Dent. 2021, 125, 511–516. [Google Scholar] [CrossRef] [PubMed]
- Hein, S.; Tapia, J.; Bazos, P. eLABor_aid: A new approach to digital shade management. Int. J. Esthet. Dent. 2017, 12, 186–202. [Google Scholar] [PubMed]
- Zoltie, T. Mirrorless cameras for medical photography–time to switch? J. Vis. Commun. Med. 2018, 41, 103–108. [Google Scholar] [CrossRef] [PubMed]
- Chitra, P.; Dudy, N.K.; Verma, S.; Mishra, G. A Comparative Analysis of DSLR and Mirrorless Cameras for Dental Photography. J. Indian Orthod. Soc. 2024, 58, 158–164. [Google Scholar] [CrossRef]
- Blahnik, V.; Schindelbeck, O. Smartphone imaging technology and its applications. Adv. Opt. Technol. 2021, 10, 145–232. [Google Scholar] [CrossRef]
- Solanki, H.; Sodani, V.; Sarvaiya, B.; Sharma, D.; Chauhan, K.; Shah, R. Comparative Evaluation of Effectiveness and Preferences between Smartphone Cameras vs. DSLRs in Clinical Dental Photography. J. Adv. Med. Dent. Sci. Res. 2024, 12, 38–42. [Google Scholar]
- Moussa, C.; Hardan, L.; Kassis, C.; Bourgi, R.; Devoto, W.; Jorquera, G.; Panda, S.; Abou Fadel, R.; Cuevas-Suárez, C.E.; Lukomska-Szymanska, M. Accuracy of dental photography: Professional vs. smartphone’s camera. BioMed Res. Int. 2021, 2021, 3910291. [Google Scholar] [CrossRef] [PubMed]
- Seo, S. Investigation on Image Quality of Smartphone Cameras as Compared with a DSLR Camera by Using Target Image Edges. Korean J. Remote Sens. 2016, 32, 49–60. [Google Scholar] [CrossRef]
- Schanda, J. CIE colorimetry. In Colorimetry: Understanding the CIE System; Wiley: Hoboken, NJ, USA, 2007; Volume 3, pp. 25–78. [Google Scholar]
- Rondón, L.F.; Ramírez, R.; Pecho, O.E. Comparison of visual shade matching and photographic shade analysis. J. Esthet. Restor. Dent. 2022, 34, 374–382. [Google Scholar] [CrossRef] [PubMed]
- del Mar Pérez, M.; Ghinea, R.; Rivas, M.J.; Yebra, A.; Ionescu, A.M.; Paravina, R.D.; Herrera, L.J. Development of a customized whiteness index for dentistry based on CIELAB color space. Dent. Mater. 2016, 32, 461–467. [Google Scholar] [CrossRef] [PubMed]
- Ragain, J.C. A review of color science in dentistry: Colorimetry and color space. J. Dent. Oral Disord. Ther. 2016, 4, 1–5. [Google Scholar] [CrossRef]
- Paravina, R.D.; Powers, J.M. Esthetic Color Training in Dentistry; Elsevier Mosby: Amsterdam, The Netherlands, 2004. [Google Scholar]
- Nayak, V.M.; Sulaya, K.; Venkatesh, S.B. Current trends in digital shade matching–A scoping review. Jpn. Dent. Sci. Rev. 2024, 60, 211–219. [Google Scholar] [CrossRef] [PubMed]
- Khashayar, G.; Bain, P.A.; Salari, S.; Dozic, A.; Kleverlaan, C.J.; Feilzer, A.J. Perceptibility and acceptability thresholds for colour differences in dentistry. J. Dent. 2014, 42, 637–644. [Google Scholar] [CrossRef] [PubMed]
- Paravina, R.D.; Pérez, M.M.; Ghinea, R. Acceptability and perceptibility thresholds in dentistry: A comprehensive review of clinical and research applications. J. Esthet. Restor. Dent. 2019, 31, 103–112. [Google Scholar] [CrossRef] [PubMed]
- Nasruddin, M.; Zulkifeli, N.N.; Ariffin, S.S.B.; Subra, M.M.; Ismail, M.; Yassin, M. A Comparison of Tooth Shade Selection between use of Visual Approach, Digital Cameras and Smartphone Cameras. J. Int. Dent. Med. Res. 2021, 14, 99–104. [Google Scholar]
- Sirintawat, N.; Leelaratrungruang, T.; Poovarodom, P.; Kiattavorncharoen, S.; Amornsettachai, P. The accuracy and reliability of tooth shade selection using different instrumental techniques: An in vitro study. Sensors 2021, 21, 7490. [Google Scholar] [CrossRef] [PubMed]
- Tung, O.-H.; Lai, Y.-L.; Ho, Y.-C.; Chou, I.-C.; Lee, S.-Y. Development of digital shade guides for color assessment using a digital camera with ring flashes. Clin. Oral Investig. 2011, 15, 49–56. [Google Scholar] [CrossRef] [PubMed]
- Ahmad, I. Digital dental photography. Part 5: Lighting. Br. Dent. J. 2009, 207, 13–18. [Google Scholar] [CrossRef] [PubMed]
- Hein, S.; Modrić, D.; Westland, S.; Tomeček, M. Objective shade matching, communication, and reproduction by combining dental photography and numeric shade quantification. J. Esthet. Restor. Dent. 2021, 33, 107–117. [Google Scholar] [CrossRef] [PubMed]
- Tam, W.-K.; Lee, H.-J. Accurate shade image matching by using a smartphone camera. J. Prosthodont. Res. 2017, 61, 168–176. [Google Scholar] [CrossRef] [PubMed]
- Liberato, W.F.; Barreto, I.C.; Costa, P.P.; de Almeida, C.C.; Pimentel, W.; Tiossi, R. A comparison between visual, intraoral scanner, and spectrophotometer shade matching: A clinical study. J. Prosthet. Dent. 2019, 121, 271–275. [Google Scholar] [CrossRef] [PubMed]
- Koo, T.K.; Li, M.Y. A guideline of selecting and reporting intraclass correlation coefficients for reliability research. J. Chiropr. Med. 2016, 15, 155–163. [Google Scholar] [CrossRef] [PubMed]
- Paravina, R.D.; Swift Jr, E.J. Color in dentistry: Match me, match me not. J. Esthet. Restor. Dent. 2009, 21, 133–139. [Google Scholar] [CrossRef] [PubMed]
- Corcodel, N.; Rammelsberg, P.; Jakstat, H.; Moldovan, O.; Schwarz, S.; Hassel, A.J. The linear shade guide design of Vita 3D-master performs as well as the original design of the Vita 3D-master. J. Oral Rehabil. 2010, 37, 860–865. [Google Scholar] [CrossRef] [PubMed]
- Zenthöfer, A.; Cabrera, T.; Corcodel, N.; Rammelsberg, P.; Hassel, A.J. Comparison of the Easyshade Compact and Advance in vitro and in vivo. Clin. Oral Investig. 2014, 18, 1473–1479. [Google Scholar] [CrossRef] [PubMed]
- Klotz, A.L.; Habibi, Y.; Corcodel, N.; Rammelsberg, P.; Hassel, A.J.; Zenthöfer, A. Laboratory and clinical reliability of two spectrophotometers. J. Esthet. Restor. Dent. 2022, 34, 369–373. [Google Scholar] [CrossRef] [PubMed]
- Hampé-Kautz, V.; Roman, T.; Schwob, T.; Cournault, B.; Etienne, O. In-vivo repeatability of three intra-oral spectrophotometers. J. Esthet. Restor. Dent. 2024, 36, 520–526. [Google Scholar] [CrossRef] [PubMed]
- Tabatabaian, F.; Beyabanaki, E.; Alirezaei, P.; Epakchi, S. Visual and digital tooth shade selection methods, related effective factors and conditions, and their accuracy and precision: A literature review. J. Esthet. Restor. Dent. 2021, 33, 1084–1104. [Google Scholar] [CrossRef] [PubMed]
- Santana, M.L.C.; Livi, G.d.J.S.; Faria-e-Silva, A.L. Color discrepancy of single-shade composites at different distances from the interface measured using cell phone images. Restor. Dent. Endod. 2024, 49, e7. [Google Scholar] [CrossRef] [PubMed]
- Gómez-Polo, C.; Gómez-Polo, M.; Celemin-Viñuela, A.; De Parga, J.A.M.V. Differences between the human eye and the spectrophotometer in the shade matching of tooth colour. J. Dent. 2014, 42, 742–745. [Google Scholar] [CrossRef] [PubMed]
- Takatsui, F.; Andrade, M.F.d.; Neisser, M.P.; Barros, L.A.B.; Loffredo, L.d.C.M. CIE L* a* b*: Comparison of digital images obtained photographically by manual and automatic modes. Braz. Oral Res. 2012, 26, 578–583. [Google Scholar] [CrossRef] [PubMed]
- Reyes, J.; Acosta, P.; Ventura, D. Repeatability of the human eye compared to an intraoral scanner in dental shade matching. Heliyon 2019, 5, e02100. [Google Scholar] [CrossRef] [PubMed]
- Şahin, N.; Ural, Ç. Comparison of different digital shade selection methodologies in terms of accuracy. J. Adv. Prosthodont. 2024, 16, 38. [Google Scholar] [CrossRef] [PubMed]
- Patonis, P. Comparative Evaluation of the Performance of a Mobile Device Camera and a Full-Frame Mirrorless Camera in Close-Range Photogrammetry Applications. Sensors 2024, 24, 4925. [Google Scholar] [CrossRef] [PubMed]
- Ahmad, I. Essentials of Dental Photography; John Wiley & Sons: Hoboken, NJ, USA, 2019. [Google Scholar]
- Nantanapiboon, D.; Kamnoedboon, P.; Srinivasan, M. Impact of different lighting conditions on the tooth-shade selection using intra-oral scanners: An in-vitro study. Heliyon 2024, 10, e38870. [Google Scholar] [CrossRef] [PubMed]
- Rashid, F.; Farook, T.H.; Dudley, J. Digital shade matching in dentistry: A systematic review. Dent. J. 2023, 11, 250. [Google Scholar] [CrossRef] [PubMed]
- Nichols, R. Mastering Adobe Photoshop Elements 2020: Supercharge Your Image Editing Using the Latest Features and Techniques in Photoshop Elements; Packt Publishing Ltd.: Birmingham, UK, 2020. [Google Scholar]
- Evening, M. Adobe Photoshop Lightroom CC/Lightroom 6 Book: The Complete Guide for Photographers; The Adobe Press: San Francisco, CA, USA, 2015. [Google Scholar]
- Paravina, R.D.; Ghinea, R.; Herrera, L.J.; Bona, A.D.; Igiel, C.; Linninger, M.; Sakai, M.; Takahashi, H.; Tashkandi, E.; Mar Perez, M.d. Color difference thresholds in dentistry. J. Esthet. Restor. Dent. 2015, 27, S1–S9. [Google Scholar] [CrossRef] [PubMed]






| Group | Standardized Parameters | Equipment | Manufacturers | |
|---|---|---|---|---|
| MC-DSG | Shutter speed (1/125 s), aperture (f22), ISO (320), flash (1/1), custom white balance, focusing (1:1), distance (19 cm) | Mirrorless camera (Canon EOS R) | ![]() | Canon, Tokyo, Japan |
| Macro lens (Canon RF 100 mm 2.8 L) | ![]() | Canon, Tokyo, Japan | ||
| Twin flash (Godox MF12 Twin Flash) | ![]() | Godox, Shenzen, China | ||
| Cross-polarized filter (Polar eyes) | ![]() | Bioemulation, Freiburg im Breisgau, Germany | ||
| SC-DSG | Shutter speed (1/180 s), aperture (f1.7), ISO (160), no flash, custom white balance, focusing (1:1), distance (19 cm) | Smartphone (Galaxy S24 Ultra) | ![]() | Samsung, Seoul, Republic of Korea |
| Cross-polarized filter + Light-correcting device (Smile Lite MDP2) | ![]() | Smile Line, St-Imier, Switzerland | ||
| WhiBal Card | White balance gray card | ![]() | WhiBal, Michael Tapes Design, Florida, USA | |
| VITA EasyShade Advance V | Spectrophotometer | ![]() | VITA Zahnfabrik, Bad Säckingen, Germany | |
| VITA Linearguide 3D-Master | Shade guide | ![]() | VITA Zahnfabrik, Bad Säckingen, Germany | |
| Measurements | Type of Devices | Intraclass Correlation | 95% Confidence Interval | p-Value | |
|---|---|---|---|---|---|
| Lower Bound | Upper Bound | ||||
| L* value | MC-DSG | 0.996 | 0.992 | 0.998 | 0.374 |
| SC-DSG | 0.997 | 0.994 | 0.998 | ||
| VITA Easyshade V | 0.999 | 0.991 | 1.000 | ||
| a* value | MC-DSG | 0.968 a | 0.942 | 0.984 | 0.022 * |
| SC-DSG | 0.980 | 0.963 | 0.990 | ||
| VITA Easyshade V | 0.999 a | 0.999 | 1.000 | ||
| b* value | MC-DSG | 0.985 b | 0.962 | 0.999 | <0.001 * |
| SC-DSG | 0.994 c | 0.971 | 0.999 | ||
| VITA Easyshade V | 0.999 b,c | 0.999 | 1.000 | ||
Disclaimer/Publisher’s Note: The statements, opinions and data contained in all publications are solely those of the individual author(s) and contributor(s) and not of MDPI and/or the editor(s). MDPI and/or the editor(s) disclaim responsibility for any injury to people or property resulting from any ideas, methods, instructions or products referred to in the content. |
© 2025 by the authors. Licensee MDPI, Basel, Switzerland. This article is an open access article distributed under the terms and conditions of the Creative Commons Attribution (CC BY) license (https://creativecommons.org/licenses/by/4.0/).
Share and Cite
Chew, S.T.; Soo, S.Y.; Kassim, M.Z.; Lim, K.Y.; Tew, I.M. Accuracy and Reliability of Smartphone Versus Mirrorless Camera Images-Assisted Digital Shade Guides: An In Vitro Study. Appl. Sci. 2025, 15, 8070. https://doi.org/10.3390/app15148070
Chew ST, Soo SY, Kassim MZ, Lim KY, Tew IM. Accuracy and Reliability of Smartphone Versus Mirrorless Camera Images-Assisted Digital Shade Guides: An In Vitro Study. Applied Sciences. 2025; 15(14):8070. https://doi.org/10.3390/app15148070
Chicago/Turabian StyleChew, Soo Teng, Suet Yeo Soo, Mohd Zulkifli Kassim, Khai Yin Lim, and In Meei Tew. 2025. "Accuracy and Reliability of Smartphone Versus Mirrorless Camera Images-Assisted Digital Shade Guides: An In Vitro Study" Applied Sciences 15, no. 14: 8070. https://doi.org/10.3390/app15148070
APA StyleChew, S. T., Soo, S. Y., Kassim, M. Z., Lim, K. Y., & Tew, I. M. (2025). Accuracy and Reliability of Smartphone Versus Mirrorless Camera Images-Assisted Digital Shade Guides: An In Vitro Study. Applied Sciences, 15(14), 8070. https://doi.org/10.3390/app15148070










