Seismic Multi-Parameter Full-Waveform Inversion Based on Rock Physical Constraints
Abstract
1. Introduction
2. Materials and Methods
2.1. Construction of Rock Physical Prior Information
2.1.1. Wave Velocity and Lithology
2.1.2. Wave Velocity and Formation Density
2.2. The Objective Function of Inversion Based on Rock Physical Constraints
2.2.1. The Inversion Objective Function of Lithological Constraints
2.2.2. The Inversion Objective Function of Petrophysical Relationship Constraints
3. Results
3.1. Data
3.1.1. The Layered Model
3.1.2. International Standard Model
3.2. Numerical Experiments of the Layered Model
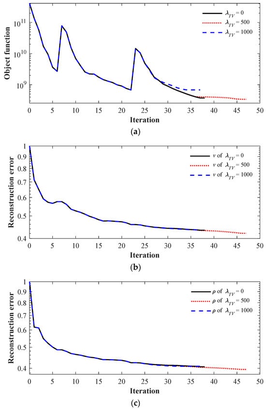
3.2.1. Numerical Experiments Based on Total Variation Regularization
3.2.2. Numerical Experiments Based on Lithological Constraints
3.2.3. Numerical Experiment Based on Petrophysical Relationship Constraints
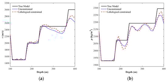
3.2.4. Numerical Experiment of Standard Geological Model
4. Conclusions
Author Contributions
Funding
Institutional Review Board Statement
Informed Consent Statement
Data Availability Statement
Acknowledgments
Conflicts of Interest
Appendix A
| Algorithm A1. L-BFGS to solve FWI |
| Given: m0 // initial model Initialization: Set k ← 0 M // history step of Q(mk), round number When the convergence condition is not reached: Qk ← Q(mk) // objective function gk ← mQ(mk) // gradient Qref ← {Qk, Qk-1, …, Qk-M}//Store the objective functions of the first M steps α ← 1 If gk ≠ 0 // initial diagonal pre-processing matrix ← pk ← −Bk gk mk+1 ← mk + αpk // model update quantity sk ← mk+1 − mk, yk ← gk+1 − gk k ← k + 1 Check convergence |
References
- Aghamiry, H.S.; Gholami, A.; Operto, S. Compound Regularization of Full-Waveform Inversion for Imaging Piecewise Media. IEEE Trans. Geosci. Remote Sens. 2020, 58, 1192–1204. [Google Scholar] [CrossRef]
- Du, Z.; Liu, D.; Wu, G.; Cai, J.; Yu, X.; Hu, G. A high-order total-variation regularisation method for full-waveform inversion. J. Geophys. Eng. 2021, 18, 241–252. [Google Scholar] [CrossRef]
- Nakagaki, T.; Fukuda, M.; Kim, S.; Yamashita, M. A dual spectral projected gradient method for log-determinant semidefinite problems. Comput. Optim. Appl. 2020, 76, 33–68. [Google Scholar] [CrossRef]
- van den Berg, E. A hybrid quasi-Newton projected-gradient method with application to Lasso and basis-pursuit denoising. Math. Program. Comput. 2020, 12, 1–38. [Google Scholar] [CrossRef]
- Métivier, L.; Brossier, R.; Virieux, J.; Operto, S. Full waveform inversion and the truncated Newton method. SIAM J. Sci. Comput. 2013, 35, B401–B437. [Google Scholar] [CrossRef]
- Hu, Y.; Han, L.; Liu, Y.; Jin, Z. Wave-equation based Local Traveltime Inversion. Earth Space Sci. 2020, 7, e2020EA001193. [Google Scholar] [CrossRef]
- Li, Y.; Wang, J.; Guan, J.; Yan, Y. Detection of near-surface cavities using the 2D multi-parameter full-waveform inversion of Rayleigh waves. Coal Geol. Explor. 2023, 51, 162–173. [Google Scholar]
- Song, H.; Liu, Y.; Yang, J. Elastic full waveform inversion for tilted transverse isotropic media: A multi-step strategy accounting for a symmetry axis tilt angle. Geophys. Prospect. 2024, 72, 2486–2503. [Google Scholar] [CrossRef]
- Liang, X.; Ma, Y.; Liu, C.; Chen, Z.; Jia, D.; Li, Z.; Pan, W. Visco-elastic full-waveform inversion based on multi-objective function. Coal Geol. Explor. 2023, 51, 152–163. [Google Scholar]
- Aster, R.C.; Borchers, B.; Thurber, C.H. Parameter Estimation and Inverse Problems, 2nd ed.; Academic Press: Amsterdam, The Netherlands, 2012; pp. 95–124. [Google Scholar]
- Vogel, C.R. Computational Methods for Inverse Problems; Society for Industrial and Applied Mathematics: Philadelphia, PA, USA, 2002; pp. 124–125. [Google Scholar]
- Zand, T.; Górszczyk, A. Integrated algorithm for high-resolution crustal-scale imaging using complementary OBS and streamer data. Earth Space Sci. 2024, 11, e2023EA003264. [Google Scholar] [CrossRef]
- Golub, G.H.; Heath, M.; Wahba, G. Generalized cross-validation as a method for choosing a good ridge parameter. Technometrics 1979, 21, 215–223. [Google Scholar] [CrossRef]
- Hansen, P.C. Analysis of discrete ill-posed problems by means of the L-curve. SIAM Rev. 1992, 34, 561–580. [Google Scholar] [CrossRef]
- Varah, J.M. Pitfalls in the numerical solution of linear ill-posed problems. SIAM J. Sci. Stat. Comput. 1983, 4, 164–176. [Google Scholar] [CrossRef]
- Yilmaz, O. Seismic Data Analysis: Processing, Inversion, and Interpretation of Seismic Data; Society of Exploration Geophysicists: Tulsa, OK, USA, 2001; pp. 208–210. [Google Scholar]
- Kang, Z.; Ke, S.; Li, X.; Ni, W.; Li, F. Probe into quantitative stratigraphic interface evaluation using a resistivity imaging LWD tool. Pet. Drill. Tech. 2020, 48, 124–130. [Google Scholar]
- Lu, J.; Wang, Y. The Principle of Seismic Exploration; China University of Petroleum Press: Qingdao, China, 2011; pp. 80–82. [Google Scholar]
- Tian, W.; Li, Z. S Wave anelastic attenuation of shallow sediments in mainland China. Earth Space Sci. 2000, 7, e2020EA001348. [Google Scholar] [CrossRef]
- Tobias, M.M.; Boris, G.; Maxim, L. Seismic wave attenuation and dispersion resulting from wave-induced flow in porous rocks-A review. Geophysics 2010, 75, 147–164. [Google Scholar]
- Jin, Z.; Chapman, M.; Papageorgiou, G. Frequency-dependent anisotropy in a partially saturated fractured rock. Geophys. J. Int. 2018, 215, 1985–1998. [Google Scholar] [CrossRef]
- Zhang, F.; Lu, Y.; Sang, K.; Huang, J. Attenuation and dispersion of seismic waves in a cracked-fractured medium. Chin. J. Geophys. 2019, 62, 3164–3174. [Google Scholar]
- Xu, D.; Han, T.; Fu, L. Frequency-dependent seismic properties in layered and fractured rocks with partial saturation. Geophys. Prospect. 2021, 69, 1716–1732. [Google Scholar] [CrossRef]
- Mirkamali, M.S.; Javaherian, A.; Hassani, H.; Saberi, M.R.; Hosseini, S.A. Quantitative pore type characterization from well logs based on the seismic petrophysics in a carbonate reservoir. Geophys. Prospect. 2020, 68, 2195–2216. [Google Scholar] [CrossRef]
- Gardner, G.; Gardner, L.; Gregory, A. Formation velocity and density-the diagnostic basics for stratigraphic traps. Geophysics 1974, 39, 770–780. [Google Scholar] [CrossRef]
- Mordensky, S.P.; Villeneuve, M.C.; Kennedy, B.M.; Heap, M.J.; Gravley, D.M.; Farquharson, J.I.; Reuschle, T. Physical and mechanical property relationships of a shallow intrusion and volcanic host rock, Pinnacle Ridge, Mt. Ruapehu, New Zealand. J. Volcanol. Geotherm. Res. 2018, 359, 1–20. [Google Scholar] [CrossRef]
- Gray, S.H.; Marfurt, K.J. Migration from topography: Improving the near-surface image. Can. J. Explor. Geophys. 1995, 31, 18–24. [Google Scholar]
- Lu, C.; Liu, J.; Qu, L.; Gao, J.; Cai, H.; Liang, J. Resource-Efficient acoustic full-waveform inversion via dual-branch physics-informed RNN with scale decomposition. Appl. Sci. 2025, 15, 941. [Google Scholar] [CrossRef]
- Guan, J.; Li, Y.; Yin, C.; Yang, Z.; Jin, C.; Zhao, M.; Yang, H. Love wave full waveform inversion via Pseudo-Hessian gradient pre-conditioning operator. Coal Geol. Explor. 2021, 49, 49–59. [Google Scholar]
- Nocedal, J.; Wright, S.J. Numerical Optimization; Springer Science & Business Media: New York, NY, USA, 2006; pp. 140–145. [Google Scholar]
- Ren, Z.; Wang, L.; Bao, Q. Truncated Gauss-Newton full-waveform inversion of pure quasi-P waves in vertical transverse isotropic media. Pet. Sci. 2024, 21, 3102–3124. [Google Scholar] [CrossRef]
















| Abbreviation of Formation | Number of Samples | Velocity of P-Wave (m∙s−1) | Density of Rock (kg∙m−3) |
|---|---|---|---|
| UDCL | 16 | 4472 | 2630 |
| ADCL | 59 | 3701 | 2330 |
| UBLM | 6 | 2390 | 1911 |
| ABLM | 33 | 3112 | 2161 |
| UI | 41 | 4767 | 2645 |
| AI | 28 | 4118 | 2523 |
| Inversion Parameters | λTV = 0 | λTV = 500 | λTV = 1000 |
|---|---|---|---|
| Number of iterations | 39 | 48 | 38 |
| Objective function | 3.7335 × 108 | 3.4017 × 108 | 6.8019 × 108 |
| Reconstruction error of velocity | 0.4339 | 0.4208 | 0.4356 |
| Reconstruction error of density | 0.4066 | 0.3950 | 0.4084 |
| Inversion Parameters | TV Regularization Strategy | Lithological Constrained Strategy | Petrophysical Relationship Constrained Strategy |
|---|---|---|---|
| Number of iterations | 48 | 61 | 87 |
| Objective function | 3.4017 × 108 | 1.5627 × 108 | 1.0651 × 108 |
| Reconstruction error of velocity | 0.4208 | 0.3947 | 0.4026 |
| Reconstruction error of density | 0.3950 | 0.3923 | 0.3476 |
| Inversion Parameters | Unconstrained Strategy | Petrophysical Relationship Constrained Strategy |
|---|---|---|
| Number of iterations | 152 | 302 |
| Objective function | 7.0867 × 109 | 1.2560 × 109 |
| Reconstruction error of velocity | 0.4269 | 0.3575 |
| Reconstruction error of density | 0.6454 | 0.4869 |
Disclaimer/Publisher’s Note: The statements, opinions and data contained in all publications are solely those of the individual author(s) and contributor(s) and not of MDPI and/or the editor(s). MDPI and/or the editor(s) disclaim responsibility for any injury to people or property resulting from any ideas, methods, instructions or products referred to in the content. |
© 2025 by the authors. Licensee MDPI, Basel, Switzerland. This article is an open access article distributed under the terms and conditions of the Creative Commons Attribution (CC BY) license (https://creativecommons.org/licenses/by/4.0/).
Share and Cite
Cao, C.; Feng, D.; Tang, J.; Wang, X. Seismic Multi-Parameter Full-Waveform Inversion Based on Rock Physical Constraints. Appl. Sci. 2025, 15, 7849. https://doi.org/10.3390/app15147849
Cao C, Feng D, Tang J, Wang X. Seismic Multi-Parameter Full-Waveform Inversion Based on Rock Physical Constraints. Applied Sciences. 2025; 15(14):7849. https://doi.org/10.3390/app15147849
Chicago/Turabian StyleCao, Cen, Deshan Feng, Jia Tang, and Xun Wang. 2025. "Seismic Multi-Parameter Full-Waveform Inversion Based on Rock Physical Constraints" Applied Sciences 15, no. 14: 7849. https://doi.org/10.3390/app15147849
APA StyleCao, C., Feng, D., Tang, J., & Wang, X. (2025). Seismic Multi-Parameter Full-Waveform Inversion Based on Rock Physical Constraints. Applied Sciences, 15(14), 7849. https://doi.org/10.3390/app15147849

