Assessing External Peak Physical Demands in Under-19 Years and Professional Male Football
Abstract
1. Introduction
2. Materials and Methods
2.1. Participants
2.2. Procedure
2.3. Variables
2.4. Statistical Analysis
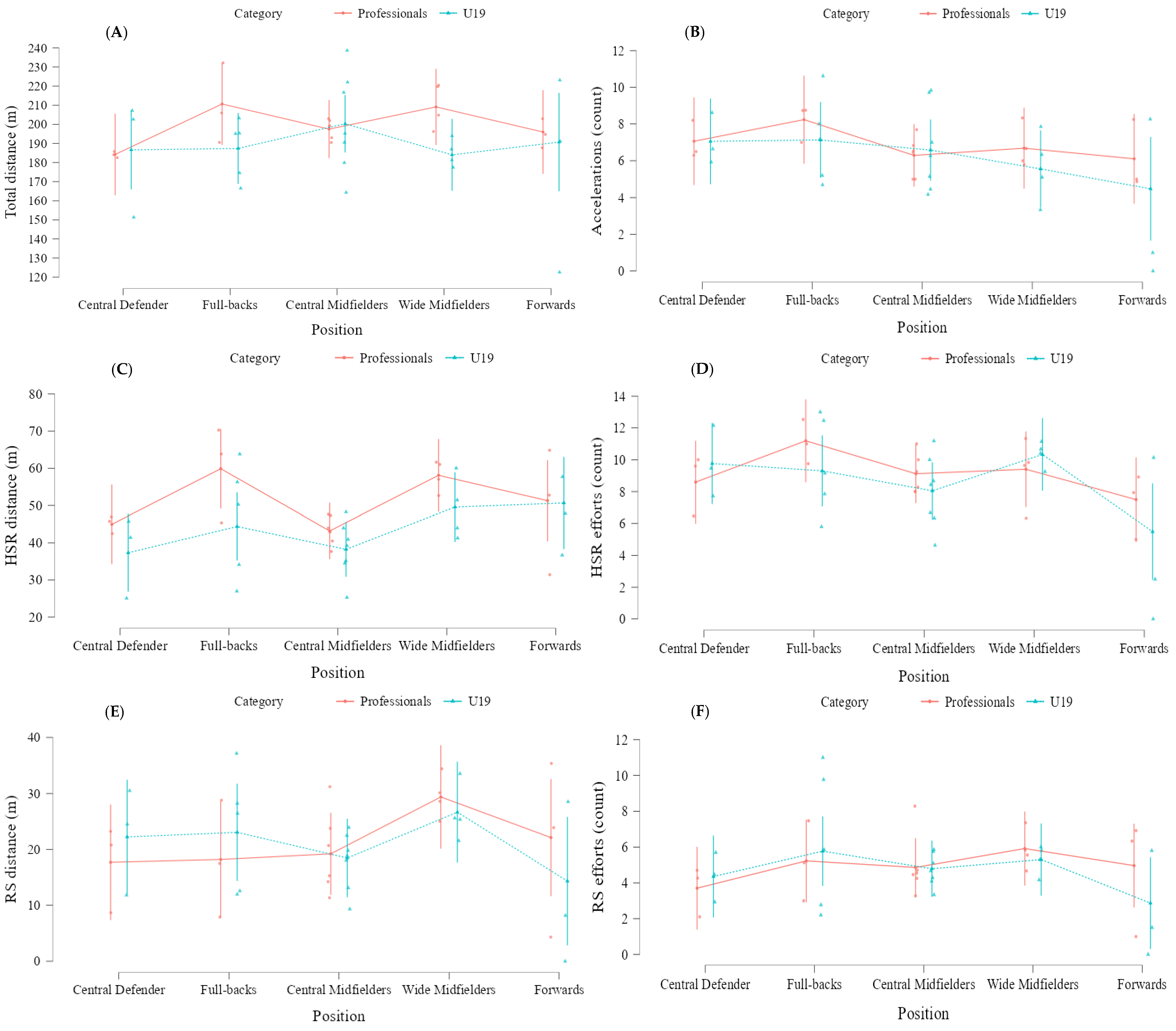
3. Results
4. Discussion
5. Conclusions
Author Contributions
Funding
Institutional Review Board Statement
Informed Consent Statement
Data Availability Statement
Acknowledgments
Conflicts of Interest
References
- Mohr, M.; Krustrup, P.; Bangsbo, J. Match performance of high-standard soccer players with special reference to development of fatigue. J. Sports Sci. 2003, 21, 519–528. [Google Scholar] [CrossRef] [PubMed]
 - Taylor, J.B.; Wright, A.A.; Dischiavi, S.L.; Townsend, M.A.; Marmon, A.R. Activity Demands During Multi-Directional Team Sports: A Systematic Review. Sports Med. 2017, 47, 2533–2551. [Google Scholar] [CrossRef]
 - Bangsbo, J.; Mohr, M.; Krustrup, P. Physical and metabolic demands of training and match-play in the elite football player. J. Sports Sci. 2006, 24, 665–674. [Google Scholar] [CrossRef]
 - Bush, M.; Barnes, C.; Archer, D.T.; Hogg, B.; Bradley, P.S. Evolution of match performance parameters for various playing positions in the English Premier League. Hum. Mov. Sci. 2015, 39, 1–11. [Google Scholar] [CrossRef]
 - García-Aliaga, A.; Martín-Castellanos, A.; Nieto, M.M.; Solana, D.M.; Resta, R.; del Campo, R.L.; Mon-López, D.; Refoyo, I. Effect of Increasing the Number of Substitutions on Physical Performance during Periods of Congested Fixtures in Football. Sports 2023, 11, 25. [Google Scholar] [CrossRef] [PubMed]
 - Perez-Chao, E.A.; Portes, R.; Gómez, M.; Parmar, N.; Lorenzo, A.; Sáiz, S.L.J. A Narrative Review of the Most Demanding Scenarios in Basketball: Current Trends and Future Directions. J. Hum. Kinet. 2023, 89, 231–245. [Google Scholar] [CrossRef]
 - Romero-Rodríguez, R.-C.; Alonso-Pérez-Chao, E.; Ribas, C.; Memmert, D.; Gómez-Ruano, M. Influence of contextual factors on most demanding scenarios in under-19 professional soccer players. Biol. Sport 2024, 41, 51–60. [Google Scholar] [CrossRef] [PubMed]
 - Alonso, E.; Miranda, N.; Zhang, S.; Sosa, C.; Trapero, J.; Lorenzo, J.; Lorenzo, A. Peak match demands in young basketball players: Approach and applications. Int. J. Environ. Res. Public Health 2020, 17, 2256. [Google Scholar] [CrossRef]
 - Ju, W.; Doran, D.; Hawkins, R.; Gómez-Díaz, A.; Martin-Garcia, A.; Ade, J.; Laws, A.; Evans, M.; Bradley, P. Contextualised peak periods of play in English Premier League matches. Biol. Sport 2022, 39, 973–983. [Google Scholar] [CrossRef]
 - Fang, Z.; Wang, Z.; Li, X.; Gómez, M.-A.; Liu, H. Physical and technical performance in and after the worst-case scenario in matches of the Chinese Super League of soccer. Biol. Sport 2025, 42, 95–103. [Google Scholar] [CrossRef]
 - Martín-García, A.; Díaz, A.G.; Bradley, P.S.; Morera, F.; Casamichana, D. Quantification of a Professional Football Team’s External Load Using a Microcycle Structure. J. Strength Cond. Res. 2018, 32, 3511–3518. [Google Scholar] [CrossRef] [PubMed]
 - González-García, J.; Giráldez-Costas, V.; Ramirez-Campillo, R.; Drust, B.; Romero-Moraleda, B. Assessment of Peak Physical Demands in Elite Women Soccer Players: Can Contextual Variables Play a Role? Res. Q. Exerc. Sport 2023, 94, 435–443. [Google Scholar] [CrossRef] [PubMed]
 - Lobo-Triviño, D.; García-Calvo, T.; Polo-Tejada, J.; Sanabria-Pino, B.; del Campo, R.L.; Nevado-Garrosa, F.; Raya-González, J. Analyzing Positional and Temporal Variations in Worst-Case Scenario Demands in Professional Spanish Soccer. J. Funct. Morphol. Kinesiol. 2025, 10, 172. [Google Scholar] [CrossRef]
 - Akenhead, R.; Nassis, G.P. Training load and player monitoring in high-level football: Current practice and perceptions. Int. J. Sports Physiol. Perform. 2016, 11, 587–593. [Google Scholar] [CrossRef]
 - Bortnik, L.; Nir, O.; Forbes, N.; Alexander, J.; Harper, D.; Bruce-Low, S.; Carling, C.; Rhodes, D. Worst Case Scenarios in Soccer Training and Competition: Analysis of Playing Position, Congested Periods, and Substitutes. Res. Q. Exerc. Sport 2024, 95, 588–600. [Google Scholar] [CrossRef]
 - Oliva-Lozano, J.M.; Rojas-Valverde, D.; Gómez-Carmona, C.D.; Fortes, V.; Pino-Ortega, J. Worst case scenario match analysis and contextual variables in professional soccer players: A longitudinal study. Biol. Sport 2020, 37, 429–436. [Google Scholar] [CrossRef]
 - Muñiz-González, J.; Giráldez-Costas, V.; González-García, J.; Romero-Moraleda, B.; Campos-Vázquez, M.Á. Diferencias posicionales en las fases de máxima exigencia condicional en fútbol femenino. RICYDE Rev. Int. De Cienc. Del Deporte 2020, 60, 199–213. [Google Scholar] [CrossRef]
 - Ingebrigtsen, J.; Dalen, T.; Hjelde, G.H.; Drust, B.; Wisløff, U. Acceleration and sprint profiles of a professional elite football team in match play. Eur. J. Sport Sci. 2015, 15, 101–110. [Google Scholar] [CrossRef]
 - Schuth, G.; Carr, G.; Barnes, C.; Carling, C.; Bradley, P. Positional interchanges influence the physical and technical match performance variables of elite soccer players. J. Sports Sci. 2016, 34, 501–508. [Google Scholar] [CrossRef]
 - Vieira, L.H.P.; Carling, C.; Barbieri, F.A.; Aquino, R.; Santiago, P.R.P. Match Running Performance in Young Soccer Players: A Systematic Review. Sports Med. 2019, 49, 289–318. [Google Scholar] [CrossRef]
 - Bastida Castillo, A.; Gómez Carmona, C.D.; De la cruz sánchez, E.; Pino Ortega, J. Accuracy, intra- and inter-unit reliability, and comparison between GPS and UWB-based position-tracking systems used for time–motion analyses in soccer. Eur. J. Sport Sci. 2018, 18, 450–457. [Google Scholar] [CrossRef] [PubMed]
 - Winter, E.M.; Maughan, R.J. Requirements for ethics approvals. J. Sports Sci. 2009, 27, 985. [Google Scholar]
 - Castellano, J.; Casamichana, D.; Calleja-González, J.; Román, J.S.; Ostojic, S.M. Reliability and accuracy of 10 Hz GPS devices for short-distance exercise. J. Sports Sci. Med. 2011, 10, 233–234. [Google Scholar] [PubMed]
 - Riboli, A.; Semeria, M.; Coratella, G.; Esposito, F. Effect of formation, ball in play and ball possession on peak demands in elite soccer. Biol. Sport 2021, 38, 195–205. [Google Scholar] [CrossRef]
 - Rico-González, M.; Oliveira, R.; Vieira, L.H.P.; Pino-Ortega, J.; Clemente, F. Players’ performance during worst-case scenarios in professional soccer matches: A systematic review. Biol. Sport 2022, 39, 695–713. [Google Scholar] [CrossRef]
 - Beato, M.; Youngs, A.; Costin, A.J. The Analysis of Physical Performance During Official Competitions in Professional English Football: Do Positions, Game Locations, and Results Influence Players’ Game Demands? J. Strength Cond. Res. 2024, 38, e226–e234. [Google Scholar] [CrossRef]
 - Bloomfield, J.; Polman, R.; O’Donoghue, P. Physical demands of Different Positions in FA Premier League Soccer. J. Sports Sci. Med. 2007, 6, 63–70. [Google Scholar]
 - Buchheit, M.; Mendez-Villanueva, A.; Simpson, B.M.; Bourdon, P.C. Match Running Performance and Fitness in Youth Soccer. Int. J. Sports Med. 2010, 31, 818–825. [Google Scholar] [CrossRef] [PubMed]
 - Martin-Garcia, A.; Casamichana, D.; Gomez Diaz, A.; Cos, F.; Gabbett, T.J. Positional differences in the most demanding passages of play in football competition. J. Sports Sci. Med. 2018, 17, 563–570. [Google Scholar]
 - Mandorino, M.; Lacome, M. Defining Worst-Case-Scenario Thresholds in Soccer: Intensity Versus Volume. Int. J. Sports Physiol. Perform. 2024, 19, 836–840. [Google Scholar] [CrossRef]
 - Sarmento, H.; Martinho, D.V.; Gouveia, É.R.; Afonso, J.; Chmura, P.; Field, A.; Savedra, N.O.; Oliveira, R.; Praça, G.; Silva, R.; et al. The Influence of Playing Position on Physical, Physiological, and Technical Demands in Adult Male Soccer Matches: A Systematic Scoping Review with Evidence Gap Map. Sports Med. 2024, 54, 2841–2864. [Google Scholar] [CrossRef]
 - Yousefian, F.; Zafar, A.; Fransson, D.; Brito, J.; Travassos, B. Peak Kinematic and Mechanical Demands According to Playing Positions in Professional Male Soccer: Composition Analysis and Characteristics of Locomotor Activities. Res. Q. Exerc. Sport 2025, 1, 1–11. [Google Scholar] [CrossRef] [PubMed]
 - Lino-Mesquita, J.; Baptista, I.; Nakamura, F.Y.; Casanova, F.; Yousefian, F.; Travassos, B.; Afonso, J. The Complexity of Defining and Assessing the Most Demanding Periods of Play in Team Sports: A Current Opinion. Strength Cond. J. 2024, 47, 86–94. [Google Scholar] [CrossRef]
 - Morgans, R.; Bezuglov, E.; Orme, P.; Burns, K.; Rhodes, D.; Babraj, J.; Di Michele, R.; Oliveira, R.F.S. The Physical Demands of Match-Play in Academy and Senior Soccer Players from the Scottish Premiership. Sports 2022, 10, 150. [Google Scholar] [CrossRef]
 - Vigh-Larsen, J.F.; Dalgas, U.; Andersen, T.B. Position-Specific Acceleration and Deceleration Profiles in Elite Youth and Senior Soccer Players. J. Strength Cond. Res. 2018, 32, 1114–1122. [Google Scholar] [CrossRef]
 - Doyle, B.; Browne, D.; Horan, D. Differences in anthropometric and physical performance characteristics between U17, U19, and Senior Irish female international football players. Int. J. Sports Sci. Coach. 2020, 16, 352–359. [Google Scholar] [CrossRef]
 - Houtmeyers, K.C.; Jaspers, A.; Brink, M.S.; Vanrenterghem, J.; Varley, M.C.; Helsen, W.F. External load differences between elite youth and professional football players: Ready for take-off? Sci. Med. Footb. 2020, 5, 1–5. [Google Scholar] [CrossRef]
 - Coppalle, S.; Ravé, G.; Moran, J.; Salhi, I.; Ben Abderrahman, A.; Zouita, S.; Granacher, U.; Zouhal, H. Internal and external training load in under-19 versus professional soccer players during the in-season period. Int. J. Environ. Res. Public Health 2021, 18, 558. [Google Scholar] [CrossRef] [PubMed]
 - Morgans, R.; Rhodes, D.; Teixeira, J.; Modric, T.; Versic, S.; Oliveira, R. Quantification of training load across two competitive seasons in elite senior and youth male soccer players from an English Premiership club. Biol. Sport 2023, 40, 1197–1205. [Google Scholar] [CrossRef]
 - Martín-Castellanos, A.; Flores, M.R.; Solana, D.M.; Del Campo, R.L.; Garrosa, F.N.; Mon-López, D. How do the football teams play in LaLiga? Analysis and comparison of playing styles according to the outcome. Int. J. Perform. Anal. Sport 2024, 24, 18–30. [Google Scholar] [CrossRef]
 - Modric, T.; Gabrilo, G.; Sekulič, D. Influence of Team Pressing on Match Performance in Highest-Level Soccer; Preliminary Report. Kinesiol. Slov. 2023, 29, 138–148. [Google Scholar] [CrossRef]
 - García-Rubio, J.; García-Vallejo, A.; Arenas-Pareja, M.d.L.Á.; López-Sierra, P.; Ibáñez, S.J. From Junior to Elite in Soccer: Exploring the Relative Age Effect and Talent Selection in Spanish Youth National Teams. Children 2022, 9, 1543. [Google Scholar] [CrossRef] [PubMed]
 - Rodríguez-Lorenzo, L.; Martín-Acero, R. Relative age effect, playing time and debut in a professional football club. Apunt. Educ. Fis. Y Deport. 2019, 4, 40–50. [Google Scholar] [CrossRef]
 - Andersson, H.; Ekblom, B.; Krustrup, P. Elite football on artificial turf versus natural grass: Movement patterns, technical standards, and player impressions. J. Sports Sci. 2008, 26, 113–122. [Google Scholar] [CrossRef] [PubMed]
 - Modric, T.; Esco, M.; Perkovic, S.; Basic, Z.; Versic, S.; Morgans, R.; Sekulic, D. Artificial Turf Increases the Physical Demand of Soccer by Heightening Match Running Performance Compared with Natural Grass. J. Strength Cond. Res. 2023, 37, 2222–2228. [Google Scholar] [CrossRef]
 


| Central Defenders | Full-Backs | Central Midfielders | Wide Midfielders | Forwards | ||||||||||||||||||||||||||
|---|---|---|---|---|---|---|---|---|---|---|---|---|---|---|---|---|---|---|---|---|---|---|---|---|---|---|---|---|---|---|
| Professionals | U19 | Professionals | U19 | Professionals | U19 | Professionals | U19 | Professionals | U19 | |||||||||||||||||||||
| EM | IC-L (95%) | IC-U (95%) | EM | IC-L (95%) | IC-U (95%) | EM | IC-L (95%) | IC-U (95%) | EM | IC-L (95%) | IC-U (95%) | EM | IC-L (95%) | IC-U (95%) | EM | IC-L (95%) | IC-U (95%) | EM | IC-L (95%) | IC-U (95%) | EM | IC-L (95%) | IC-U (95%) | EM | IC-L (95%) | IC-U (95%) | EM | IC-L (95%) | IC-U (95%) | |
| Total distance (m) | 184.242 | 162.898 | 205.586 | 186.632 | 165.928 | 207.337 | 210.644 | 189.220 | 232.069 | 187.388 | 168.836 | 205.939 | 197.497 | 182.305 | 212.690 | 200.306 | 185.270 | 215.342 | 209.121 | 189.158 | 229.084 | 184.035 | 165.231 | 202.839 | 195.974 | 174.071 | 217.878 | 190.685 | 164.957 | 216.414 | 
| Accelerations (count) | 7.063 | 4.674 | 9.452 | 7.057 | 4.725 | 9.388 | 8.241 | 5.844 | 10.638 | 7.134 | 5.073 | 9.195 | 6.293 | 4.594 | 7.991 | 6.583 | 4.919 | 8.247 | 6.686 | 4.482 | 8.889 | 5.557 | 3.458 | 7.655 | 6.107 | 3.664 | 8.549 | 4.474 | 1.654 | 7.294 | 
| HSR distance (m) | 44.956 | 34.282 | 55.629 | 37.319 | 26.856 | 47.782 | 59.883 | 49.178 | 70.589 | 44.374 | 35.229 | 53.519 | 43.180 | 35.596 | 50.763 | 38.234 | 30.861 | 45.608 | 58.111 | 48.364 | 67.857 | 49.572 | 40.217 | 58.928 | 51.282 | 40.400 | 62.164 | 50.674 | 38.298 | 63.050 | 
| HSR efforts (count) | 8.593 | 5.991 | 11.194 | 9.762 | 7.213 | 12.310 | 11.191 | 8.581 | 13.800 | 9.300 | 7.070 | 11.531 | 9.119 | 7.271 | 10.967 | 8.046 | 6.248 | 9.845 | 9.401 | 7.023 | 11.779 | 10.332 | 8.052 | 12.613 | 7.494 | 4.841 | 10.146 | 5.491 | 2.469 | 8.513 | 
| RS distance (m) | 17.697 | 7.359 | 28.035 | 22.226 | 12.009 | 32.444 | 18.201 | 7.842 | 28.560 | 23.046 | 14.365 | 31.727 | 19.208 | 11.876 | 26.540 | 18.463 | 11.453 | 25.473 | 29.372 | 20.124 | 38.620 | 26.644 | 17.625 | 35.664 | 22.112 | 11.643 | 32.580 | 14.329 | 2.858 | 25.799 | 
| RS efforts (count) | 3.703 | 1.390 | 6.015 | 4.355 | 2.070 | 6.641 | 5.227 | 2.910 | 7.544 | 5.772 | 3.831 | 7.712 | 4.861 | 3.222 | 6.501 | 4.789 | 3.221 | 6.356 | 5.917 | 3.850 | 7.985 | 5.302 | 3.285 | 7.319 | 4.964 | 2.623 | 7.305 | 2.872 | 0.309 | 5.435 | 
Disclaimer/Publisher’s Note: The statements, opinions and data contained in all publications are solely those of the individual author(s) and contributor(s) and not of MDPI and/or the editor(s). MDPI and/or the editor(s) disclaim responsibility for any injury to people or property resulting from any ideas, methods, instructions or products referred to in the content.  | 
© 2025 by the authors. Licensee MDPI, Basel, Switzerland. This article is an open access article distributed under the terms and conditions of the Creative Commons Attribution (CC BY) license (https://creativecommons.org/licenses/by/4.0/).
Share and Cite
Rebollo Mejía, J.; Piñero Madrona, J.Á.; Alonso-Pérez-Chao, E.; Barba-Ruíz, M.; Solana, D.M.; Martín-Castellanos, A. Assessing External Peak Physical Demands in Under-19 Years and Professional Male Football. Appl. Sci. 2025, 15, 7135. https://doi.org/10.3390/app15137135
Rebollo Mejía J, Piñero Madrona JÁ, Alonso-Pérez-Chao E, Barba-Ruíz M, Solana DM, Martín-Castellanos A. Assessing External Peak Physical Demands in Under-19 Years and Professional Male Football. Applied Sciences. 2025; 15(13):7135. https://doi.org/10.3390/app15137135
Chicago/Turabian StyleRebollo Mejía, Jaime, Juan Ángel Piñero Madrona, Enrique Alonso-Pérez-Chao, Manuel Barba-Ruíz, Diego Muriarte Solana, and Adrián Martín-Castellanos. 2025. "Assessing External Peak Physical Demands in Under-19 Years and Professional Male Football" Applied Sciences 15, no. 13: 7135. https://doi.org/10.3390/app15137135
APA StyleRebollo Mejía, J., Piñero Madrona, J. Á., Alonso-Pérez-Chao, E., Barba-Ruíz, M., Solana, D. M., & Martín-Castellanos, A. (2025). Assessing External Peak Physical Demands in Under-19 Years and Professional Male Football. Applied Sciences, 15(13), 7135. https://doi.org/10.3390/app15137135
        
