Plant-Derived Phytobiotics as Emerging Alternatives to Antibiotics Against Foodborne Pathogens
Abstract
1. Introduction
2. The Major Classes of Phytobiotics
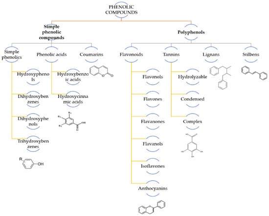
2.1. Phenolic Compounds
2.1.1. Simple Phenolic Compounds
2.1.2. Polyphenols
2.2. Terpenes and Terpenoids
2.3. Organosulfur Compounds (OSCs)
2.4. Alkaloids
2.5. Phytosterols
2.6. Saponins
2.7. Polysaccharides
3. Mechanisms of Action of Phytobiotics Against Foodborne Pathogens
3.1. Disruption of Bacterial Cell Wall Integrity, Membrane Structure, and Biofilm Formation
3.2. Inhibition of Protein and DNA Synthesis
3.3. Induction of Oxidative Stress
3.4. Disruption of Central Metabolism by Phytobiotics
3.5. Synergism Between Phytobiotics and Other Compounds
4. Impact of Phytobiotics on Microbiota of Food and the Intestine
4.1. Impact on Food-Associated Microbiota
4.2. Impact on Gut Microbiota
5. Phytobiotics in Practical Applications
6. Challenges and Limitations of the Effective Application of Phytobiotics in Combating Foodborne Pathogens
7. Key Knowledge Gaps
8. Future and Prospects of Phytobiotics in the Food Industry
Author Contributions
Funding
Institutional Review Board Statement
Informed Consent Statement
Data Availability Statement
Acknowledgments
Conflicts of Interest
Abbreviations
| UV | Ultraviolet |
| ROS | Reactive Oxygen Species |
| EFSA | European Food Safety Authority |
| LAB | Lactic Acid Bacteria |
| EPS | Exopolysaccharide |
| ATP | Adenosine triphosphate |
| TC | Trans-cinnamaldehyde |
| CR | Carvacrol |
| CFU | Colony-Forming Units |
| GSH | Glutathione |
| MIC | Minimum Inhibitory Concentration |
| NADH | Nicotinamide adenine dinucleotide |
| NAD+ | Nicotinamide adenine dinucleotide-oxidized form |
| OSCs | Organosulfur Compounds |
| TCA cycle | Tricarboxylic Acid Cycle |
| EF-Tu | Elongation Factor Thermounstable |
References
- Abdel-Latif, M.A.; Alsenosy, A.A.; Manaa, E.A.; Abaza, S.; Elshenawi, M.A.; Aboelnour, A.; Alagawany, M. Chapter 1—Phytobiotics and Their Application in Poultry and Aquaculture Industry. In Organic Feed Additives for Livestock; Alagawany, M., Sallam, S.M., El-Hack, M.E.A., Eds.; Academic Press: Cambridge, MA, USA, 2025; pp. 1–16. ISBN 978-0-443-13510-1. [Google Scholar]
- Garavito-Duarte, Y.; Deng, Z.; Kim, S.W. Literature Review: Opportunities with Phytobiotics for Health and Growth of Pigs. Ann. Anim. Sci. 2023, 14, 301. [Google Scholar] [CrossRef]
- Pandey, S.; Kim, E.S.; Cho, J.H.; Song, M.; Doo, H.; Kim, S.; Keum, G.B.; Kwak, J.; Ryu, S.; Choi, Y.; et al. Cutting-Edge Knowledge on the Roles of Phytobiotics and Their Proposed Modes of Action in Swine. Front. Vet. Sci. 2023, 10, 1265689. [Google Scholar] [CrossRef] [PubMed]
- Maldonado, A.F.S.; Schieber, A.; Gänzle, M.G. Plant Defence Mechanisms and Enzymatic Transformation Products and Their Potential Applications in Food Preservation: Advantages and Limitations. Trends Food Sci. Technol. 2015, 46, 49–59. [Google Scholar] [CrossRef]
- Kumar, P.; Mahato, D.K.; Gupta, A.; Pandhi, S.; Mishra, S.; Barua, S.; Tyagi, V.; Kumar, A.; Kumar, M.; Kamle, M. Use of Essential Oils and Phytochemicals against the Mycotoxins Producing Fungi for Shelf-Life Enhancement and Food Preservation. Int. J. Food Sci. Technol. 2022, 57, 2171–2184. [Google Scholar] [CrossRef]
- Lekshmi, M.; Ammini, P.; Kumar, S.; Varela, M.F. The Food Production Environment and the Development of Antimicrobial Resistance in Human Pathogens of Animal Origin. Microorganisms 2017, 5, 11. [Google Scholar] [CrossRef]
- Grudlewska-Buda, K.; Bauza-Kaszewska, J.; Wiktorczyk-Kapischke, N.; Budzyńska, A.; Gospodarek-Komkowska, E.; Skowron, K. Antibiotic Resistance in Selected Emerging Bacterial Foodborne Pathogens—An Issue of Concern? Antibiotics 2023, 12, 880. [Google Scholar] [CrossRef] [PubMed]
- Threlfall, J. 7—New Research on Antimicrobial Resistance in Foodborne Pathogens. In Advances in Microbial Food Safety; Sofos, J., Ed.; Woodhead Publishing Series in Food Science, Technology and Nutrition; Woodhead Publishing: Cambridge, UK, 2013; pp. 134–156. ISBN 978-0-85709-438-4. [Google Scholar]
- Zhang, Q.; Sahin, O.; McDermott, P.F.; Payot, S. Fitness of Antimicrobial-Resistant Campylobacter and Salmonella. Microbes Infect. 2006, 8, 1972–1978. [Google Scholar] [CrossRef]
- Bergonzi, M.C.; Heard, C.M.; Garcia-Pardo, J. Bioactive Molecules from Plants: Discovery and Pharmaceutical Applications. Pharmaceutics 2022, 14, 2116. [Google Scholar] [CrossRef] [PubMed]
- Christaki, E.; Florou-Paneri, P.; Giannenas, I. (Eds.) Feed Additives: Aromatic Plants and Herbs in Animal Nutrition and Health; Academic Press: Cambridge, MA, USA, 2020; ISBN 978-0-12-814701-6. [Google Scholar]
- Rafeeq, M.; Bilal, R.M.; Batool, F.; Yameen, K.; Farag, M.R.; Madkour, M.; Elnesr, S.S.; El-Shall, N.A.; Dhama, K.; Alagawany, M. Application of Herbs and Their Derivatives in Broiler Chickens: A Review. World’s Poult. Sci. J. 2023, 79, 95–117. [Google Scholar] [CrossRef]
- Zhang, Y.; Li, S.; Wang, X.; Zhang, L.; Cheung, P.C.K. Advances in Lentinan: Isolation, Structure, Chain Conformation and Bioactivities. Food Hydrocoll. 2011, 25, 196–206. [Google Scholar] [CrossRef]
- Mamari, H.H.A. Phenolic Compounds: Classification, Chemistry, and Updated Techniques of Analysis and Synthesis. In Phenolic Compounds; Badria, F.A., Ed.; IntechOpen: Rijeka, Croatia, 2021. [Google Scholar]
- Shahidi, F.; Ambigaipalan, P. Phenolics and Polyphenolics in Foods, Beverages and Spices: Antioxidant Activity and Health Effects—A Review. J. Funct. Foods 2015, 18, 820–897. [Google Scholar] [CrossRef]
- Tsao, R. Chemistry and Biochemistry of Dietary Polyphenols. Nutrients 2010, 2, 1231–1246. [Google Scholar] [CrossRef] [PubMed]
- Bento, C.; Gonçalves, A.C.; Jesus, F.; Simões, M.; Silva, L. Phenolic Compounds: Sources, Properties and Applications. In Bioactive Compounds: Sources, Properties and Applications; Nova Science Publishers: New York, NY, USA, 2017; pp. 271–299. [Google Scholar]
- Rashmi, H.B.; Negi, P.S. Phenolic Acids from Vegetables: A Review on Processing Stability and Health Benefits. Food Res. Int. 2020, 136, 109298. [Google Scholar] [CrossRef] [PubMed]
- Li, S.; Jiang, S.; Jia, W.; Guo, T.; Wang, F.; Li, J.; Yao, Z. Natural Antimicrobials from Plants: Recent Advances and Future Prospects. Food Chem. 2024, 432, 137231. [Google Scholar] [CrossRef] [PubMed]
- Das, K.; Yadav, S. Plant Secondary Metabolites: Sustainable Defense Mechanisms Against Insect Herbivores. FarmChron. Agric. Newsl. 2024, 3, 51–55. [Google Scholar]
- Tak, Y.; Kumar, M. Phenolics: A Key Defence Secondary Metabolite to Counter Biotic Stress. In Plant Phenolics in Sustainable Agriculture: Volume 1; Lone, R., Shuab, R., Kamili, A.N., Eds.; Springer Singapore: Singapore, 2020; pp. 309–329. ISBN 978-981-15-4890-1. [Google Scholar]
- Quideau, S.; Deffieux, D.; Douat-Casassus, C.; Pouységu, L. Plant Polyphenols: Chemical Properties, Biological Activities, and Synthesis. Angew. Chem. Int. Ed. 2011, 50, 586–621. [Google Scholar] [CrossRef]
- Manach, C.; Scalbert, A.; Morand, C.; Rémésy, C.; Jiménez, L. Polyphenols: Food Sources and Bioavailability. Am. J. Clin. Nutr. 2004, 79, 727–747. [Google Scholar] [CrossRef]
- Balasundram, N.; Sundram, K.; Samman, S. Phenolic Compounds in Plants and Agri-Industrial by-Products: Antioxidant Activity, Occurrence, and Potential Uses. Food Chem. 2006, 99, 191–203. [Google Scholar] [CrossRef]
- Pandey, K.B.; Rizvi, S.I. Plant Polyphenols as Dietary Antioxidants in Human Health and Disease. Oxidative Med. Cell. Longev. 2009, 2, 897484. [Google Scholar] [CrossRef]
- Panche, A.N.; Diwan, A.D.; Chandra, S.R. Flavonoids: An Overview. J. Nutr. Sci. 2016, 5, e47. [Google Scholar] [CrossRef] [PubMed]
- Al-Khayri, J.M.; Mascarenhas, R.; Harish, H.M.; Gowda, Y.; Lakshmaiah, V.V.; Nagella, P.; Al-Mssallem, M.Q.; Alessa, F.M.; Almaghasla, M.I.; Rezk, A.A. Stilbenes, a Versatile Class of Natural Metabolites for Inflammation—An Overview. Molecules 2023, 28, 3786. [Google Scholar] [CrossRef] [PubMed]
- Plaha, N.S.; Awasthi, S.; Sharma, A.; Kaushik, N. Distribution, Biosynthesis and Therapeutic Potential of Lignans. 3 Biotech 2022, 12, 255. [Google Scholar] [CrossRef]
- Cheng, A.-X.; Lou, Y.-G.; Mao, Y.-B.; Lu, S.; Wang, L.-J.; Chen, X.-Y. Plant Terpenoids: Biosynthesis and Ecological Functions. J. Integr. Plant Biol. 2007, 49, 179–186. [Google Scholar] [CrossRef]
- Toffolatti, S.L.; Maddalena, G.; Passera, A.; Casati, P.; Bianco, P.A.; Quaglino, F. 16—Role of Terpenes in Plant Defense to Biotic Stress. In Biocontrol Agents and Secondary Metabolites; Jogaiah, S., Ed.; Woodhead Publishing: Cambridge, UK, 2021; pp. 401–417. ISBN 978-0-12-822919-4. [Google Scholar]
- Perveen, S.; Al-Taweel, A.M. Terpenes and Terpenoids; IntechOpen: Rijeka, Croatia, 2021; ISBN 978-1-83881-917-0. [Google Scholar]
- Kopaczyk, J.M.; Warguła, J.; Jelonek, T. The Variability of Terpenes in Conifers under Developmental and Environmental Stimuli. Environ. Exp. Bot. 2020, 180, 104197. [Google Scholar] [CrossRef]
- Huang, A.C.; Osbourn, A. Plant Terpenes That Mediate Below-ground Interactions: Prospects for Bioengineering Terpenoids for Plant Protection. Pest Manag. Sci. 2019, 75, 2368–2377. [Google Scholar] [CrossRef] [PubMed]
- Kabir, A.; Cacciagrano, F.; Tartaglia, A.; Lipsi, M.; Ulusoy, H.; Locatelli, M. Analysis of Monoterpenes and Monoterpenoids. In Recent Advances in Natural Products Analysis; Elsevier: Amsterdam, The Netherlands, 2019; ISBN 978-0-12-816455-6. [Google Scholar]
- Brown, R.T. Chapter 12—Bicyclic Monoterpenoids. In Supplements to the 2nd Edition of Rodd’s Chemistry of Carbon Compounds; Ansell, M.F., Ed.; Elsevier: Amsterdam, The Netherlands, 1975; pp. 53–93. ISBN 978-0-444-53346-3. [Google Scholar]
- Vil’, V.A.; Yaremenko, I.A.; Ilovaisky, A.I.; Terent’ev, A.O. Peroxides with Anthelmintic, Antiprotozoal, Fungicidal and Antiviral Bioactivity: Properties, Synthesis and Reactions. Molecules 2017, 22, 1881. [Google Scholar] [CrossRef]
- De Cássia da Silveira e Sá, R.; Andrade, L.N.; De Sousa, D.P. A Review on Anti-Inflammatory Activity of Monoterpenes. Molecules 2013, 18, 1227–1254. [Google Scholar] [CrossRef]
- Breitmaier, E. Terpenes: Flavors, Fragrances, Pharmaca, Pheromones, 1st ed.; Wiley: Hoboken, NJ, USA, 2006; ISBN 978-3-527-31786-8. [Google Scholar]
- Abu-Izneid, T.; Rauf, A.; Shariati, M.A.; Khalil, A.A.; Imran, M.; Rebezov, M.; Uddin, M.S.; Mahomoodally, M.F.; Rengasamy, K.R.R. Sesquiterpenes and Their Derivatives-Natural Anticancer Compounds: An Update. Pharmacol. Res. 2020, 161, 105165. [Google Scholar] [CrossRef]
- Durán, A.G.; Rial, C.; Gutiérrez, M.T.; Molinillo, J.M.G.; Macías, F.A. Sesquiterpenes in Fresh Food. In Handbook of Dietary Phytochemicals; Xiao, J., Sarker, S.D., Asakawa, Y., Eds.; Springer Singapore: Singapore, 2019; pp. 1–66. ISBN 978-981-13-1745-3. [Google Scholar]
- Liu, Y.; Chen, X.; Zhang, C. Sustainable Biosynthesis of Valuable Diterpenes in Microbes. Eng. Microbiol. 2023, 3, 100058. [Google Scholar] [CrossRef]
- Kushiro, T.; Ebizuka, Y. Triterpenes. In Comprehensive Natural Products II; Elsevier: Amsterdam, The Netherlands, 2010; pp. 673–708. ISBN 978-0-08-045382-8. [Google Scholar]
- Barreiro, C.; Barredo, J.-L. Carotenoids Production: A Healthy and Profitable Industry. In Microbial Carotenoids: Methods and Protocols; Barreiro, C., Barredo, J.-L., Eds.; Springer: New York, NY, USA, 2018; pp. 45–55. ISBN 978-1-4939-8742-9. [Google Scholar]
- Szczepanowska, H.M.; Akhmedov, N.G. Gutta Percha, Natural Rubber and Balata-Chemical Characterization of Polyisoprenes in the Context of Cultural Heritage. Herit. Sci. 2023, 11, 125. [Google Scholar] [CrossRef]
- Zielińska-Błajet, M.; Feder-Kubis, J. Monoterpenes and Their Derivatives—Recent Development in Biological and Medical Applications. Int. J. Mol. Sci. 2020, 21, 7078. [Google Scholar] [CrossRef] [PubMed]
- Li, J.; Ge, F.; Wuken, S.; Jiao, S.; Chen, P.; Huang, M.; Gao, X.; Liu, J.; Tu, P.; Chai, X.; et al. Zerumbone, a Humulane Sesquiterpene from Syringa pinnatifolia, Attenuates Cardiac Fibrosis by Inhibiting of the TGF-Β1/Smad Signaling Pathway after Myocardial Infarction in Mice. Phytomedicine 2022, 100, 154078. [Google Scholar] [CrossRef] [PubMed]
- Reyes, M.; Schmeda-Hirschmann, G.; Razmilic, I.; Theoduloz, C.; Yáñez, T.; Rodríguez, J.A. Gastroprotective Activity of Sesquiterpene Derivatives from Fabiana imbricata. Phytother. Res. 2005, 19, 1038–1042. [Google Scholar] [CrossRef]
- Xavier, V.; Spréa, R.; Finimundy, T.C.; Heleno, S.A.; Amaral, J.S.; Barros, L.; Ferreira, I.C.F.R. Terpenes. In Natural Secondary Metabolites: From Nature, Through Science, to Industry; Carocho, M., Heleno, S.A., Barros, L., Eds.; Springer International Publishing: Cham, Switzerland, 2023; pp. 107–156. ISBN 978-3-031-18587-8. [Google Scholar]
- Thimmappa, R.; Geisler, K.; Louveau, T.; O’Maille, P.; Osbourn, A. Triterpene Biosynthesis in Plants. Annu. Rev. Plant Biol. 2014, 65, 225–257. [Google Scholar] [CrossRef]
- Mantiniotou, M.; Athanasiadis, V.; Kalompatsios, D.; Bozinou, E.; Lalas, S.I. Therapeutic Capabilities of Triterpenes and Triterpenoids in Immune and Inflammatory Processes: A Review. Compounds 2025, 5, 2. [Google Scholar] [CrossRef]
- Maoka, T. Carotenoids as Natural Functional Pigments. J. Nat. Med. 2020, 74, 1–16. [Google Scholar] [CrossRef]
- Priyanka, L.; Navya, R.; Chandrasekaran, M. Role of Secondary Plant Metabolites against Insects. In Hi-tech Crop Production and Pest Management; Biotech Books: New Delhi, India, 2022; pp. 325–340. ISBN 978-81-7622-500-7. [Google Scholar]
- Tiku, A.R. Antimicrobial Compounds and Their Role in Plant Defense. In Molecular Aspects of Plant-Pathogen Interaction; Singh, A., Singh, I.K., Eds.; Springer: Singapore, 2018; pp. 283–307. ISBN 978-981-10-7371-7. [Google Scholar]
- Ramirez, D.A.; Locatelli, D.A.; González, R.E.; Cavagnaro, P.F.; Camargo, A.B. Analytical Methods for Bioactive Sulfur Compounds in Allium: An Integrated Review and Future Directions. J. Food Compos. Anal. 2017, 61, 4–19. [Google Scholar] [CrossRef]
- Sagdic, O.; Tornuk, F. Antimicrobial Properties of Organosulfur Compounds. In Dietary Phytochemicals and Microbes; Patra, A.K., Ed.; Springer Netherlands: Dordrecht, 2012; pp. 127–156. ISBN 978-94-007-3926-0. [Google Scholar]
- Manoharlal, R.; Saiprasad, G.V.S.; Dwivedi, S.D.; Singh, M.R.; Singh, D. Chapter 12—Commercial Aspect and Market Potential of Phytoactive Products. In Phytopharmaceuticals and Herbal Drugs; Singh, M.R., Singh, D., Eds.; Academic Press: Cambridge, MA, USA, 2023; pp. 281–301. ISBN 978-0-323-99125-4. [Google Scholar]
- Bhatwalkar, S.B.; Mondal, R.; Krishna, S.B.N.; Adam, J.K.; Govender, P.; Anupam, R. Antibacterial Properties of Organosulfur Compounds of Garlic (Allium sativum). Front. Microbiol. 2021, 12, 613077. [Google Scholar] [CrossRef]
- He, T.; Chambers, M.I.; Musah, R.A. Application of Direct Analysis in Real Time–High Resolution Mass Spectrometry to Investigations of Induced Plant Chemical Defense Mechanisms—Revelation of Negative Feedback Inhibition of an Alliinase. Anal. Chem. 2018, 90, 12802–12809. [Google Scholar] [CrossRef]
- Kumar, G. Naturally Occurring Organosulfur for Treating Metabolic Disorders and Infectious Diseases. Med. Chem. Res. 2025, 34, 45–85. [Google Scholar] [CrossRef]
- Barba, F.J.; Esteve, M.J.; Frígola, A. Chapter 11—Bioactive Components from Leaf Vegetable Products. In Studies in Natural Products Chemistry; Atta-ur-Rahman, Ed.; Elsevier: Amsterdam, The Netherlands, 2014; Volume 41, pp. 321–346. [Google Scholar]
- Carrión, O.; Zhu, X.-Y.; Williams, B.T.; Wang, J.; Zhang, X.-H.; Todd, J.D. Chapter Two—Molecular Discoveries in Microbial DMSP Synthesis. In Advances in Microbial Physiology; Poole, R.K., Kelly, D.J., Eds.; Advances in Microbial Physiology; Academic Press: Cambridge, MA, USA, 2023; Volume 83, pp. 59–116. [Google Scholar]
- Dubreuil-Maurizi, C.; Poinssot, B. Role of Glutathione in Plant Signaling under Biotic Stress. Plant Signal. Behav. 2012, 7, 210–212. [Google Scholar] [CrossRef] [PubMed]
- Goyal, S. Ecological Role of Alkaloids. In Natural Products: Phytochemistry, Botany and Metabolism of Alkaloids, Phenolics and Terpenes; Ramawat, K.G., Mérillon, J.-M., Eds.; Springer: Berlin/Heidelberg, Germany, 2013; pp. 149–171. ISBN 978-3-642-22144-6. [Google Scholar]
- Srivasatava, P. Chapter 13 Use of Alkaloids in Plant Protection. In From Chemicals to Biologicals; Soni, R., Suyal, D.C., Goel, R., Eds.; De Gruyter: Berlin, Germany; Boston, MA, USA, 2022; pp. 337–352. ISBN 978-3-11-077155-8. [Google Scholar]
- Ali, A.H.; Abdelrahman, M.; El-Sayed, M.A. Alkaloid Role in Plant Defense Response to Growth and Stress. In Bioactive Molecules in Plant Defense: Signaling in Growth and Stress; Jogaiah, S., Abdelrahman, M., Eds.; Springer International Publishing: Cham, Switzerland, 2019; pp. 145–158. ISBN 978-3-030-27165-7. [Google Scholar]
- Wang, X.; Xin, J.; Sun, L.; Sun, Y.; Xu, Y.; Zhao, F.; Niu, C.; Liu, S. Exploring the Biomedical Potential of Terpenoid Alkaloids: Sources, Structures, and Activities. Molecules 2024, 29, 1968. [Google Scholar] [CrossRef] [PubMed]
- Pereira, A.G.; Cassani, L.; Garcia-Oliveira, P.; Otero, P.; Mansoor, S.; Echave, J.; Xiao, J.; Simal-Gándara, J.; Prieto, M.A. Plant Alkaloids: Production, Extraction, and Potential Therapeutic Properties. In Natural Secondary Metabolites: From Nature, Through Science, to Industry; Carocho, M., Heleno, S.A., Barros, L., Eds.; Springer International Publishing: Cham, Switzerland, 2023; pp. 157–200. ISBN 978-3-031-18587-8. [Google Scholar]
- Gutiérrez-Grijalva, E.; Lopez-Martinez, L.; Contreras, L.; Romero, C.A.; Heredia, J.B. Plant Alkaloids: Structures and Bioactive Properties. In Plant-Derived Bioactives: Chemistry and Mode of Action; Springer Nature: Singapore, 2020; pp. 85–117. ISBN 978-981-15-2360-1. [Google Scholar]
- Moreau, R.A.; Nyström, L.; Whitaker, B.D.; Winkler-Moser, J.K.; Baer, D.J.; Gebauer, S.K.; Hicks, K.B. Phytosterols and Their Derivatives: Structural Diversity, Distribution, Metabolism, Analysis, and Health-Promoting Uses. Prog. Lipid Res. 2018, 70, 35–61. [Google Scholar] [CrossRef] [PubMed]
- Zhu, D.; Nyström, L. Phytosterols. In Whole Grains and their Bioactives; John Wiley & Sons, Ltd.: Hoboken, NJ, USA, 2019; pp. 427–466. ISBN 978-1-119-12948-6. [Google Scholar]
- Valitova, J.N.; Sulkarnayeva, A.G.; Minibayeva, F.V. Plant Sterols: Diversity, Biosynthesis, and Physiological Functions. Biochemistry 2016, 81, 819–834. [Google Scholar] [CrossRef]
- Kim, Y.A.; Kim, H.K. Antibacterial Activity of a Linolenic Acid Stigmasterol Ester Produced by Lipase-Mediated Transesterification. J. Microbiol. Biotechnol. 2025, 35, e2410055. [Google Scholar] [CrossRef]
- Singh, V.; Bharadwaj, A.; Wahi, N.; Tripathi, V.L. Phytochemical Analysis and in Vitro Antimicrobial Activities of Terminalia arjuna Leaf, Bark and Fruit Extracts in Different Solvents. Curr. Trends Biotechnol. Pharm. 2018, 12, 286–294. [Google Scholar]
- Madhumitha, G.; Saral, A.M. Preliminary Phytochemical Analysis, Antibacterial, Antifungal and Anticandidal Activities of Successive Extracts of Crossandra infundibuliformis. Asian Pac. J. Trop. Med. 2011, 4, 192–195. [Google Scholar] [CrossRef]
- Majhi, B.; Satapathy, K.B.; Mishra, S.K. Antimicrobial Activity of Averrhoa carambola L. Leaf Extract and Its Phytochemical Analysis. Res. J. Pharm. Technol. 2019, 12, 1219. [Google Scholar] [CrossRef]
- Singh, I. Antimicrobials in Higher Plants: Classification, Mode of Action and Bioactivities. Chem. Biol. Lett. 2017, 4, 48–62. [Google Scholar]
- Khallouki, F.; Zennouhi, W.; Hajji, L.; Bourhia, M.; Benbacer, L.; Bouhali, B.E.; Rezig, L.; Poirot, M.; Lizard, G. Current Advances in Phytosterol Free Forms and Esters: Classification, Biosynthesis, Chemistry, and Detection. Steroids 2024, 212, 109520. [Google Scholar] [CrossRef]
- Trautwein, E.A.; Demonty, I. Phytosterols: Natural Compounds with Established and Emerging Health Benefits. OCL 2007, 14, 259–266. [Google Scholar] [CrossRef]
- Bacchetti, T.; Masciangelo, S.; Bicchiega, V.; Bertoli, E.; Ferretti, G. Phytosterols, Phytostanols and Their Esters: From Natural to Functional Foods. Mediterr. J. Nutr. Metab. 2011, 4, 165–172. [Google Scholar] [CrossRef]
- Azadmard-Damirchi, S.; Nemati, M.; Hesari, J.; Ansarin, M.; Fathi-Achachlouei, B. Rapid Separating and Enrichment of 4,4′-Dimethylsterols of Vegetable Oils by Solid-Phase Extraction. J. Am. Oil Chem. Soc. 2010, 87, 1155–1159. [Google Scholar] [CrossRef]
- Moses, T.; Papadopoulou, K.K.; Osbourn, A. Metabolic and Functional Diversity of Saponins, Biosynthetic Intermediates and Semi-Synthetic Derivatives. Crit. Rev. Biochem. Mol. Biol. 2014, 49, 439–462. [Google Scholar] [CrossRef] [PubMed]
- Sharma, S.; Nagpal, A.K. Protective and Therapeutic Effects of Plant Saponins. In Functional Foods for Health Maintenance: Understanding Their Role in Cancer Prevention; Arora, S., Kaur, T., Mehta, R.G., Singh, B., Kaur, S., Eds.; Bentham Science Publishers: Sharjah, United Arab Emirates, 2023; pp. 215–227. ISBN 978-981-5179-21-7. [Google Scholar]
- Abdelrahman, M.; Jogaiah, S. Bioactive Molecules in Plant Defense: Saponins; Springer International Publishing: Cham, Switzerland, 2020; ISBN 978-3-030-61148-4. [Google Scholar]
- Augustin, J.M.; Kuzina, V.; Andersen, S.B.; Bak, S. Molecular Activities, Biosynthesis and Evolution of Triterpenoid Saponins. Phytochemistry 2011, 72, 435–457. [Google Scholar] [CrossRef] [PubMed]
- Oleszek, W.A.; Hoagland, R.E.; Zablotowicz, R. M Ecological Significance of Plant Saponins. In Principles and Practices in Plant Ecology: Allelochemical Interactions; CRC Press: Boca Raton, FL, USA, 2023; pp. 451–465. [Google Scholar]
- Mugford, S.T.; Osbourn, A. Saponin Synthesis and Function. In Isoprenoid Synthesis in Plants and Microorganisms; Bach, T.J., Rohmer, M., Eds.; Springer: New York, NY, USA, 2012; pp. 405–424. ISBN 978-1-4614-4062-8. [Google Scholar]
- Faizal, A.; Geelen, D. Saponins and Their Role in Biological Processes in Plants. Phytochem. Rev. 2013, 12, 877–893. [Google Scholar] [CrossRef]
- Avato, P.; Bucci, R.; Tava, A.; Vitali, C.; Rosato, A.; Bialy, Z.; Jurzysta, M. Antimicrobial Activity of Saponins from Medicago Sp.: Structure-activity Relationship. Phytother. Res. 2006, 20, 454–457. [Google Scholar] [CrossRef]
- Dong, S.; Yang, X.; Zhao, L.; Zhang, F.; Hou, Z.; Xue, P. Antibacterial Activity and Mechanism of Action Saponins from Chenopodium quinoa Willd. Husks against Foodborne Pathogenic Bacteria. Ind. Crops Prod. 2020, 149, 112350. [Google Scholar] [CrossRef]
- Naik, P.M.; Sudheer, W.N.; Dubey, S.; Surya Ulhas, R.; Praveen, N. In Vitro Production of Saponins. In Nutraceuticals Production from Plant Cell Factory; Belwal, T., Georgiev, M.I., Al-Khayri, J.M., Eds.; Springer Nature: Singapore, 2022; pp. 229–263. ISBN 978-981-16-8857-7. [Google Scholar]
- Porte, S.; Joshi, V.; Shah, K.; Chauhan, N.S. Plants’ Steroidal Saponins—A Review on Its Pharmacology Properties and Analytical Techniques. World J. Tradit. Chin. Med. 2022, 8, 350–385. [Google Scholar] [CrossRef]
- Kongala, S.I.; Kondreddy, A. A Review on Plant and Pathogen Derived Carbohydrates, Oligosaccharides and Their Role in Plant’s Immunity. Carbohydr. Polym. Technol. Appl. 2023, 6, 100330. [Google Scholar] [CrossRef]
- Herburger, K.; Głazowska, S.; Mravec, J. Bricks out of the Wall: Polysaccharide Extramural Functions. Trends Plant Sci. 2022, 27, 1231–1241. [Google Scholar] [CrossRef] [PubMed]
- Gorshkova, T.A.; Kozlova, L.V.; Mikshina, P.V. Spatial Structure of Plant Cell Wall Polysaccharides and Its Functional Significance. Biochem. Mosc. 2013, 78, 836–853. [Google Scholar] [CrossRef]
- Zhu, Y.; Delbianco, M.; Seeberger, P.H. Automated Assembly of Starch and Glycogen Polysaccharides. J. Am. Chem. Soc. 2021, 143, 9758–9768. [Google Scholar] [CrossRef] [PubMed]
- Swaminathan, G.; Noor, A. Biological Activities of Plant Polysaccharides, Mechanism of Action and Biomedical Applications. Res. J. Biotechnol. 2021, 16, 255–272. [Google Scholar] [CrossRef]
- Zhou, Y.; Chen, X.; Chen, T.; Chen, X. A Review of the Antibacterial Activity and Mechanisms of Plant Polysaccharides. Trends Food Sci. Technol. 2022, 123, 264–280. [Google Scholar] [CrossRef]
- Huan, C.; Zhang, R.; Xie, L.; Wang, X.; Wang, X.; Wang, X.; Yao, J.; Gao, S. Plantago Asiatica, L. Polysaccharides: Physiochemical Properties, Structural Characteristics, Biological Activity and Application Prospects: A Review. Int. J. Biol. Macromol. 2024, 258, 128990. [Google Scholar] [CrossRef]
- Yokoyama, R.; Shinohara, N.; Asaoka, R.; Narukawa, H.; Nishitani, K. The Biosynthesis and Function of Polysaccharide Components of the Plant Cell Wall. In Plant Cell Wall Patterning and Cell Shape; Fukuda, H., Ed.; Wiley: Hoboken, NJ, USA, 2014; pp. 1–34. ISBN 978-1-118-64737-0. [Google Scholar]
- Ball, S.G.; Morell, M.K. From Bacterial Glycogen to Starch: Understanding the Biogenesis of the Plant Starch Granule. Annu. Rev. Plant Biol. 2003, 54, 207–233. [Google Scholar] [CrossRef]
- Barbieri, R.; Coppo, E.; Marchese, A.; Daglia, M.; Sobarzo-Sánchez, E.; Nabavi, S.F.; Nabavi, S.M. Phytochemicals for Human Disease: An Update on Plant-Derived Compounds Antibacterial Activity. Microbiol. Res. 2017, 196, 44–68. [Google Scholar] [CrossRef] [PubMed]
- Sakarikou, C.; Kostoglou, D.; Simões, M.; Giaouris, E. Exploitation of Plant Extracts and Phytochemicals against Resistant Salmonella Spp. in Biofilms. Food Res. Int. 2020, 128, 108806. [Google Scholar] [CrossRef]
- Iwiński, H.; Wódz, K.; Chodkowska, K.; Nowak, T.; Różański, H. In Vitro Evaluation of Antimicrobial Effect of Phytobiotics Mixture on Salmonella Spp. Isolated from Chicken Broiler. Antibiotics 2022, 11, 868. [Google Scholar] [CrossRef]
- Mahamud, A.S.U.; Ashrafudoulla, M.; Nahar, S.; Chowdhury, M.A.H.; Park, S.H.; Ha, S.-D. Luteolin Exhibits Antimicrobial Actions against Salmonella typhimurium and Escherichia coli: Impairment of Cell Adhesion, Membrane Integrity, and Energy Metabolism. Food Control 2024, 166, 110734. [Google Scholar] [CrossRef]
- Bai, J.; Wu, Y.; Liu, X.; Zhong, K.; Huang, Y.; Gao, H. Antibacterial Activity of Shikimic Acid from Pine Needles of Cedrus Deodara against Staphylococcus aureus through Damage to Cell Membrane. Int. J. Mol. Sci. 2015, 16, 27145–27155. [Google Scholar] [CrossRef] [PubMed]
- Pitarch, A.; Nombela, C.; Gil, C. Cell Wall Fractionation for Yeast and Fungal Proteomics. In 2D PAGE: Sample Preparation and Fractionation; Posch, A., Ed.; Humana Press: Totowa, NJ, USA, 2008; pp. 217–239. ISBN 978-1-60327-210-0. [Google Scholar]
- Marraffini, L.A.; DeDent, A.C.; Schneewind, O. Sortases and the Art of Anchoring Proteins to the Envelopes of Gram-Positive Bacteria. Microbiol. Mol. Biol. Rev. 2006, 70, 192–221. [Google Scholar] [CrossRef] [PubMed]
- Isah, M.; Sul’ain, M.D.; Wahab, W.-N.-A.W.A.; Abdullah, H.; Jamil, S.; Syamira, N.; Shabudin, M.; Shuid, A.N.; Ishak, W.R.W. Chemical Profiling and Mechanistic Insights into the Antibacterial Efficacy of Melaleuca Cajuputi Leaf Extract. BMC Complement. Med. Ther. 2025, 25, 121. [Google Scholar] [CrossRef]
- Lopez-Romero, J.C.; González-Ríos, H.; Borges, A.; Simões, M. Antibacterial Effects and Mode of Action of Selected Essential Oils Components against Escherichia coli and Staphylococcus aureus. Evid. -Based Complement. Altern. Med. 2015, 2015, 795435. [Google Scholar] [CrossRef]
- da Silva, B.D.; Bernardes, P.C.; Pinheiro, P.F.; Fantuzzi, E.; Roberto, C.D. Chemical Composition, Extraction Sources and Action Mechanisms of Essential Oils: Natural Preservative and Limitations of Use in Meat Products. Meat Sci. 2021, 176, 108463. [Google Scholar] [CrossRef]
- Nazzaro, F.; Fratianni, F.; De Martino, L.; Coppola, R.; De Feo, V. Effect of Essential Oils on Pathogenic Bacteria. Pharmaceuticals 2013, 6, 1451–1474. [Google Scholar] [CrossRef]
- Burt, S. Essential Oils: Their Antibacterial Properties and Potential Applications in Foods—A Review. Int. J. Food Microbiol. 2004, 94, 223–253. [Google Scholar] [CrossRef]
- Guo, Y.; Yang, R.; Chen, F.; Yan, T.; Wen, T.; Li, F.; Su, X.; Wang, L.; Du, J.; Liu, J. Triphenyl-Sesquineolignan Analogues Derived from Illicium simonsii Maxim Exhibit Potent Antibacterial Activity against Methicillin-Resistant Staphylococcus aureus (MRSA) by Disrupting Bacterial Membranes. Bioorganic Chem. 2021, 110, 104824. [Google Scholar] [CrossRef]
- Chen, X.; Yi, L.-K.; Bai, Y.-B.; Cao, M.-Z.; Wang, W.-W.; Shang, Z.-X.; Li, J.-J.; Xu, M.-L.; Wu, L.-F.; Zhu, Z. Antibacterial Activity and Mechanism of Stevia Extract against Antibiotic-Resistant Escherichia Coli by Interfering with the Permeability of the Cell Wall and the Membrane. Front. Microbiol. 2024, 15, 1397906. [Google Scholar] [CrossRef]
- Champney, W. Bacterial Ribosomal Subunit Assembly Is an Antibiotic Target. CTMC 2003, 3, 929–947. [Google Scholar] [CrossRef] [PubMed]
- Kurnia, D.; Hutabarat, G.S.; Windaryanti, D.; Herlina, T.; Herdiyati, Y.; Satari, M.H. Potential Allylpyrocatechol Derivatives as Antibacterial Agent Against Oral Pathogen of S. Sanguinis ATCC 10,556 and as Inhibitor of MurA Enzymes: In Vitro and in Silico Study. DDDT 2020, 14, 2977–2985. [Google Scholar] [CrossRef] [PubMed]
- Riyana, B.; Huspa, D.H.P.; Satari, M.H.; Kurnia, D. The Potency of Catechin from Gambir (Uncaria Gambir Roxb.) as a Natural Inhibitor of MurA (1UAE) Enzyme: In Vitro and In Silico Studies. LDDD 2020, 17, 1531–1537. [Google Scholar] [CrossRef]
- Fiedler, S.M.; Graumann, P.L. Dynamics of Cell Wall-Binding Proteins at a Single Molecule Level: B. Subtilis Autolysins Show Different Kinds of Motion. MBoC 2024, 35, ar55. [Google Scholar] [CrossRef]
- Si, L.; Li, P.; Liu, X.; Luo, L. Chinese Herb Medicine against Sortase A Catalyzed Transformations, a Key Role in Gram-Positive Bacterial Infection Progress. J. Enzym. Inhib. Med. Chem. 2016, 31, 184–196. [Google Scholar] [CrossRef]
- Johnson, B.J.; Lin, B.; Dinderman, M.A.; Rubin, R.A.; Malanoski, A.P.; Ligler, F.S. Impact of Cranberry on Escherichia coli Cellular Surface Characteristics. Biochem. Biophys. Res. Commun. 2008, 377, 992–994. [Google Scholar] [CrossRef]
- Lewtak, K.; Fiołka, M.J.; Szczuka, E.; Ptaszyńska, A.A.; Kotowicz, N.; Kołodziej, P.; Rzymowska, J. Analysis of Antifungal and Anticancer Effects of the Extract from Pelargonium Zonale. Micron 2014, 66, 69–79. [Google Scholar] [CrossRef]
- Brown, A.R.; Ettefagh, K.A.; Todd, D.A.; Cole, P.S.; Egan, J.M.; Foil, D.H.; Lacey, E.P.; Cech, N.B. Bacterial Efflux Inhibitors Are Widely Distributed in Land Plants. J. Ethnopharmacol. 2021, 267, 113533. [Google Scholar] [CrossRef]
- Seukep, A.J.; Kuete, V.; Nahar, L.; Sarker, S.D.; Guo, M. Plant-Derived Secondary Metabolites as the Main Source of Efflux Pump Inhibitors and Methods for Identification. J. Pharm. Anal. 2020, 10, 277–290. [Google Scholar] [CrossRef]
- Macêdo, N.S.; De Sousa Silveira, Z.; Cordeiro, P.P.M.; Coutinho, H.D.M.; Júnior, J.P.S.; Júnior, L.J.Q.; Siyadatpanah, A.; Kim, B.; Da Cunha, F.A.B.; Da Silva, M.V. Inhibition of Staphylococcus aureus Efflux Pump by O-Eugenol and Its Toxicity in Drosophila melanogaster Animal Model. BioMed Res. Int. 2022, 2022, 1440996. [Google Scholar] [CrossRef]
- Irianti, M.I.; Malloci, G.; Ruggerone, P.; Lodinsky, E.V.; Vincken, J.-P.; Pos, K.M.; Araya-Cloutier, C. Indole Phytochemical Camalexin as a Promising Scaffold for AcrB Efflux Pump Inhibitors against Escherichia coli. Biomed. Pharmacother. 2025, 182, 117779. [Google Scholar] [CrossRef] [PubMed]
- Espinoza, J.; Urzúa, A.; Sanhueza, L.; Walter, M.; Fincheira, P.; Muñoz, P.; Mendoza, L.; Wilkens, M. Essential Oil, Extracts, and Sesquiterpenes Obtained from the Heartwood of Pilgerodendron uviferum Act as Potential Inhibitors of the Staphylococcus aureus NorA Multidrug Efflux Pump. Front. Microbiol. 2019, 10, 337. [Google Scholar] [CrossRef]
- Samreen; Ahmad, I.; Siddiqui, S.A.; Naseer, A.; Nazir, A. Efflux Pump Inhibition-Based Screening and Anti-Infective Evaluation of Punica granatum Against Bacterial Pathogens. Curr. Microbiol. 2024, 81, 51. [Google Scholar] [CrossRef]
- Pun, M.; Khazanov, N.; Galsurker, O.; Kerem, Z.; Senderowitz, H.; Yedidia, I. Inhibition of AcrAB-TolC Enhances Antimicrobial Activity of Phytochemicals in Pectobacterium Brasiliense. Front. Plant Sci. 2023, 14, 1161702. [Google Scholar] [CrossRef]
- Khan, F.; Jeong, G.-J.; Tabassum, N.; Mishra, A.; Kim, Y.-M. Filamentous Morphology of Bacterial Pathogens: Regulatory Factors and Control Strategies. Appl. Microbiol. Biotechnol. 2022, 106, 5835–5862. [Google Scholar] [CrossRef]
- Jones, E.M.; Snow, L.C.; Carrique-Mas, J.J.; Gosling, R.J.; Clouting, C.; Davies, R.H. Risk Factors for Antimicrobial Resistance in Escherichia coli Found in GB Turkey Flocks. Vet. Rec. 2013, 173, 422. [Google Scholar] [CrossRef] [PubMed]
- Dimitrova, P.D.; Ivanova, V.; Trendafilova, A.; Paunova-Krasteva, T. Anti-Biofilm and Anti-Quorum-Sensing Activity of Inula Extracts: A Strategy for Modulating Chromobacterium violaceum Virulence Factors. Pharmaceuticals 2024, 17, 573. [Google Scholar] [CrossRef]
- Jafri, H.; Ansari, F.A.; Ahmad, I. Prospects of Essential Oils in Controlling Pathogenic Biofilm. In New Look to Phytomedicine; Elsevier: Amsterdam, The Netherlands, 2019; pp. 203–236. [Google Scholar]
- Kondrashova, K.S.; Kosyan, D.B.; Atlanderova, K.N.; Lebedev, S.V. Prospects of antiquorum substances as an alternative to antibiotic therapy in animal husbandry (review). Sel’skokhozyaistvennaya Biol. [Agric. Biol.] 2020, 55, 1073–1089. [Google Scholar] [CrossRef]
- Lebeloane, M.M.; Famuyide, I.M.; Dzoyem, J.P.; Adeyemo, R.O.; Makhubu, F.N.; Elgorashi, E.E.; Kgosana, K.G.; McGaw, L.J. Influence of Selected Plant Extracts on Bacterial Motility, Aggregation, Hydrophobicity, Exopolysaccharide Production and Quorum Sensing during Biofilm Formation of Enterohaemorrhagic Escherichia coli O157: H7. S. Afr. J. Bot. 2024, 167, 197–208. [Google Scholar] [CrossRef]
- Efenberger-Szmechtyk, M.; Nowak, A.; Czyzowska, A. Plant Extracts Rich in Polyphenols: Antibacterial Agents and Natural Preservatives for Meat and Meat Products. Crit. Rev. Food Sci. Nutr. 2021, 61, 149–178. [Google Scholar] [CrossRef]
- Markova, J.A.; Anganova, E.V.; Turskaya, A.L.; Bybin, V.A.; Savilov, E.D. Regulation of Escherichia coli Biofilm Formation (Review). Appl. Biochem. Microbiol. 2018, 54, 1–11. [Google Scholar] [CrossRef]
- Wei, L.S.; Téllez-Isaías, G.; Abdul Kari, Z.; Tahiluddin, A.B.; Wee, W.; Kabir, M.A.; Abdul Hamid, N.K.; Cheadoloh, R. Role of Phytobiotics in Modulating Transcriptomic Profile in Carps: A Mini-Review. Biochem. Genet. 2024, 62, 3285–3304. [Google Scholar] [CrossRef]
- Adnan, S.M.; Farhana, I.; Rempoulakis, P.; Taylor, P.W. Methoprene Treatment Increases Activity, Starvation and Desiccation Risk of Queensland Fruit Fly. J. Insect Physiol. 2020, 136, 104340. [Google Scholar] [CrossRef]
- Priha, O.; Virkajärvi, V.; Juvonen, R.; Puupponen-Pimiä, R.; Nohynek, L.; Alakurtti, S.; Pirttimaa, M.; Storgårds, E. Quorum Sensing Signalling and Biofilm Formation of Brewery-Derived Bacteria, and Inhibition of Signalling by Natural Compounds. Curr. Microbiol. 2014, 69, 617–627. [Google Scholar] [CrossRef] [PubMed]
- Thomsen, S.; Hansen, H.; Nyman, U. Ribosome-Inhibiting Proteins from In Vitro Cultures of Phytolacca dodecandra. Planta Medica 1989, 57, 232–236. [Google Scholar] [CrossRef]
- Pahal, V.; Devi, U.; Dadhich, K.S. Quercetin, a Secondary Metabolite Present in Methanolic Extract of Calendula Officinalis, Is a Potent Inhibitor of Peptide Deformylase, Undecaprenyl Pyrophosphate Synthase and DNA Primase Enzymes of Staphylococcus aureus: An in Vitro and in Silico Result Analysis. MOJ Drug Des. Dev. Ther. 2018, 2, 216–225. [Google Scholar]
- Landini, P.; Bandera, M.; Goldstein, B.P.; Ripamonti, F.; Soffientini, A.; Islam, K.; Denaro, M. Inhibition of Bacterial Protein Synthesis by Elongation-Factor-Tu-Binding Antibiotics MDL 62,879 and Efrotomycin. Biochem. J. 1992, 283, 649–652. [Google Scholar] [CrossRef]
- Yong, A.-L.; Ooh, K.-F.; Ong, H.-C.; Chai, T.-T.; Wong, F.-C. Investigation of Antibacterial Mechanism and Identification of Bacterial Protein Targets Mediated by Antibacterial Medicinal Plant Extracts. Food Chem. 2015, 186, 32–36. [Google Scholar] [CrossRef]
- Nowicki, D.; Maciąg-Dorszyńska, M.; Bogucka, K.; Szalewska-Pałasz, A.; Herman-Antosiewicz, A. Various Modes of Action of Dietary Phytochemicals, Sulforaphane and Phenethyl Isothiocyanate, on Pathogenic Bacteria. Sci. Rep. 2019, 9, 13677. [Google Scholar] [CrossRef]
- Banerjee, M.; Parai, D.; Chattopadhyay, S.; Mukherjee, S.K. Andrographolide: Antibacterial Activity against Common Bacteria of Human Health Concern and Possible Mechanism of Action. Folia Microbiol. 2017, 62, 237–244. [Google Scholar] [CrossRef]
- Hegde, V.R.; Pu, H.; Patel, M.; Black, T.; Soriano, A.; Zhao, W.; Gullo, V.P.; Chan, T.-M. Two New Bacterial DNA Primase Inhibitors from the Plant Polygonum Cuspidatum. Bioorg. Med. Chem. Lett. 2004, 14, 2275–2277. [Google Scholar] [CrossRef] [PubMed]
- Duggirala, S.; Nankar, R.P.; Rajendran, S.; Doble, M. Phytochemicals as Inhibitors of Bacterial Cell Division Protein FtsZ: Coumarins Are Promising Candidates. Appl. Biochem. Biotechnol. 2014, 174, 283–296. [Google Scholar] [CrossRef] [PubMed]
- Ahmed Azad Ahmed Detection of the Antibacterial Role of Achillea Millefolium against Escherichia Coli Isolated from Urinary Tract Infections. GSC Biol. Pharm. Sci. 2024, 29, 026–032. [CrossRef]
- Kalita, N.; Kalita, M.C.; Banerjee, M. Reactive Oxygen Species Generation in the Antibacterial Activity of Litsea salicifolia Leaf Extract. Int. J. Pharm. Pharm. Sci. 2016, 8, 189–193. [Google Scholar]
- Behr, J.; Vogel, R.F. Mechanisms of Hop Inhibition Include the Transmembrane Redox Reaction. Appl. Environ. Microbiol. 2010, 76, 142–149. [Google Scholar] [CrossRef]
- Yuan, F.; Yin, S.; Xu, Y.; Xiang, L.; Wang, H.; Li, Z.; Fan, K.; Pan, G. The Richness and Diversity of Catalases in Bacteria. Front. Microbiol. 2021, 12, 645477. [Google Scholar] [CrossRef]
- Kobayashi, M.; Kawakita, K.; Maeshima, M.; Doke, N.; Yoshioka, H. Subcellular Localization of Strboh Proteins and NADPH-Dependent O2−-Generating Activity in Potato Tuber Tissues. J. Exp. Bot. 2006, 57, 1373–1379. [Google Scholar] [CrossRef] [PubMed]
- Kovganko, N.V.; Kashkan, Z.N.; Krivenok, S.N.; Potapovich, M.V.; Eremin, A.N.; Metelitsa, D.I. Bioactive Compounds in the Flora of Belarus. 2. Astragalin, an Effective Protector of Catalase from Ultrasonic Inactivation in Aqueous Solutions. Chem. Nat. Compd. 2004, 40, 71–74. [Google Scholar] [CrossRef]
- Enany, S. Impact of Low PH on Microbial Growth Rate, ATP Production, and NADH to NAD+ Ratio. Egypt. J. Med. Microbiol. 2020, 29, 121–128. [Google Scholar] [CrossRef]
- Hughes, T.; Azim, S.; Ahmad, Z. Inhibition of Escherichia Coli ATP Synthase by Dietary Ginger Phenolics. Int. J. Biol. Macromol. 2021, 182, 2130–2143. [Google Scholar] [CrossRef]
- Walker, J.E.; Gledhill, J.R. Inhibitors of Mitochondrial F1-ATPase. In Biophysical and Structural Aspects of Bioenergetics; Royal Society of Chemistry: Cambridge, UK, 2005; pp. 334–358. [Google Scholar]
- Guefack, M.-G.F.; Messina, N.D.M.; Mbaveng, A.T.; Nayim, P.; Kuete, J.R.N.; Matieta, V.Y.; Chi, G.F.; Ngadjui, B.T.; Kuete, V. Antibacterial and Antibiotic-Potentiation Activities of the Hydro-Ethanolic Extract and Protoberberine Alkaloids from the Stem Bark of Enantia Chlorantha against Multidrug-Resistant Bacteria Expressing Active Efflux Pumps. J. Ethnopharmacol. 2022, 296, 115518. [Google Scholar] [CrossRef] [PubMed]
- Russell, J.B. The Energy Spilling Reactions of Bacteria and Other Organisms. Microb. Physiol. 2007, 13, 1–11. [Google Scholar] [CrossRef]
- Saeed, M.; Khan, M.S.; Alagawany, M.; Farag, M.R.; Alqaisi, O.; Aqib, A.I.; Qumar, M.; Siddique, F.; Ramadan, M.F. Clove (Syzygium aromaticum) and Its Phytochemicals in Ruminant Feed: An Updated Review. Rend. Fis. Acc. Lincei 2021, 32, 273–285. [Google Scholar] [CrossRef]
- Calsamiglia, S.; Busquet, M.; Cardozo, P.W.; Castillejos, L.; Ferret, A. Invited Review: Essential Oils as Modifiers of Rumen Microbial Fermentation. J. Dairy. Sci. 2007, 90, 2580–2595. [Google Scholar] [CrossRef] [PubMed]
- Lee, S.J.; Kim, D.-G.; Lee, K.-Y.; Koo, J.S.; Lee, B.-J. Regulatory Mechanisms of Thiol-Based Redox Sensors: Lessons Learned from Structural Studies on Prokaryotic Redox Sensors. Arch. Pharm. Res. 2018, 41, 583–593. [Google Scholar] [CrossRef]
- Schellhorn, H.E.; Mohiuddin, M.; Hammond, S.M.; Botts, S. Regulators of Oxidative Stress Response Genes in Escherichia Coli and Their Conservation in Bacteria. In Stress and Environmental Regulation of Gene Expression and Adaptation in Bacteria; De Bruijn, F.J., Ed.; Wiley: Hoboken, NJ, USA, 2016; pp. 632–637. ISBN 978-1-119-00488-2. [Google Scholar]
- Tran, H.T.; Bonilla, C.Y. SigB-Regulated Antioxidant Functions in Gram-positive Bacteria. World J. Microbiol. Biotechnol. 2021, 37, 38. [Google Scholar] [CrossRef] [PubMed]
- Kulkarni, C.; Rathod, P.; Yadav, R.P. Study of Chloroquine Susceptibility Potential of Plants Using Pseudomonas aeruginosa as in Vitro Model. 3 Biotech 2022, 12, 329. [Google Scholar] [CrossRef]
- Al-Sallami, D.; Alsultan, A.; Abbas, K.H.; Clarke, S.R. Evaluation of Efflux Pump Inhibitory Activity of Some Plant Extracts and Using Them as Adjuvants to Potentiate the Inhibitory Activity of Some Antibiotics against Staphylococcus aureus. Open Vet. J. 2023, 13, 42–47. [Google Scholar] [CrossRef]
- Tomás-Menor, L.; Barrajón-Catalán, E.; Segura-Carretero, A.; Martí, N.; Saura, D.; Menéndez, J.A.; Joven, J.; Micol, V. The Promiscuous and Synergic Molecular Interaction of Polyphenols in Bactericidal Activity: An Opportunity to Improve the Performance of Antibiotics? Phytother. Res. 2015, 29, 466–473. [Google Scholar] [CrossRef]
- Ulrich-Merzenich, G.; Panek, D.; Zeitler, H.; Wagner, H.; Vetter, H. New Perspectives for Synergy Research with the “Omic”-Technologies. Phytomedicine 2009, 16, 495–508. [Google Scholar] [CrossRef]
- Wink, M. Evolutionary Advantage and Molecular Modes of Action of Multi-Component Mixtures Used in Phytomedicine. CDM 2008, 9, 996–1009. [Google Scholar] [CrossRef] [PubMed]
- Loo, Y.T.; Howell, K.; Chan, M.; Zhang, P.; Ng, K. Modulation of the Human Gut Microbiota by Phenolics and Phenolic Fiber-rich Foods. Comp. Rev. Food Sci. Food Safe 2020, 19, 1268–1298. [Google Scholar] [CrossRef] [PubMed]
- Braune, A.; Blaut, M. Bacterial Species Involved in the Conversion of Dietary Flavonoids in the Human Gut. Gut Microbes 2016, 7, 216–234. [Google Scholar] [CrossRef] [PubMed]
- Braune, A.; Gütschow, M.; Engst, W.; Blaut, M. Degradation of Quercetin and Luteolin by Eubacterium ramulus. Appl. Environ. Microbiol. 2001, 67, 5558–5567. [Google Scholar] [CrossRef]
- Schoefer, L.; Mohan, R.; Schwiertz, A.; Braune, A.; Blaut, M. Anaerobic Degradation of Flavonoids by Clostridium orbiscindens. Appl. Environ. Microbiol. 2003, 69, 5849–5854. [Google Scholar] [CrossRef]
- Duda-Chodak, A. The Inhibitory Effect of Polyphenols on Human Gut Microbiota. J. Physiol. Pharmacol. 2012, 63, 497–503. [Google Scholar]
- Selma, M.V.; Espín, J.C.; Tomás-Barberán, F.A. Interaction between Phenolics and Gut Microbiota: Role in Human Health. J. Agric. Food Chem. 2009, 57, 6485–6501. [Google Scholar] [CrossRef]
- Wang, X.; Qi, Y.; Zheng, H. Dietary Polyphenol, Gut Microbiota, and Health Benefits. Antioxidants 2022, 11, 1212. [Google Scholar] [CrossRef]
- Moreno-Indias, I.; Sánchez-Alcoholado, L.; Pérez-Martínez, P.; Andrés-Lacueva, C.; Cardona, F.; Tinahones, F.; Queipo-Ortuño, M.I. Red Wine Polyphenols Modulate Fecal Microbiota and Reduce Markers of the Metabolic Syndrome in Obese Patients. Food Funct. 2016, 7, 1775–1787. [Google Scholar] [CrossRef]
- Molino, S.; Lerma-Aguilera, A.; Jiménez-Hernández, N.; Rufián Henares, J.Á.; Francino, M.P. Evaluation of the Effects of a Short Supplementation with Tannins on the Gut Microbiota of Healthy Subjects. Front. Microbiol. 2022, 13, 848611. [Google Scholar] [CrossRef]
- Molino, S.; Fernández-Miyakawa, M.; Giovando, S.; Rufián-Henares, J.Á. Study of Antioxidant Capacity and Metabolization of Quebracho and Chestnut Tannins through in Vitro Gastrointestinal Digestion-Fermentation. J. Funct. Foods 2018, 49, 188–195. [Google Scholar] [CrossRef]
- Braune, A.; Engst, W.; Blaut, M. Identification and Functional Expression of Genes Encoding Flavonoid O- and C-glycosidases in Intestinal Bacteria. Environ. Microbiol. 2016, 18, 2117–2129. [Google Scholar] [CrossRef]
- Chen, L.; Jiang, B.; Zhong, C.; Guo, J.; Zhang, L.; Mu, T.; Zhang, Q.; Bi, X. Chemoprevention of Colorectal Cancer by Black Raspberry Anthocyanins Involved the Modulation of Gut Microbiota and SFRP2 Demethylation. Carcinogenesis 2018, 39, 471–481. [Google Scholar] [CrossRef] [PubMed]
- Gu, J.; Thomas-Ahner, J.M.; Riedl, K.M.; Bailey, M.T.; Vodovotz, Y.; Schwartz, S.J.; Clinton, S.K. Dietary Black Raspberries Impact the Colonic Microbiome and Phytochemical Metabolites in Mice. Mol. Nutr. Food Res. 2019, 63, 1800636. [Google Scholar] [CrossRef]
- Paturi, G.; Butts, C.A.; Monro, J.A.; Hedderley, D. Effects of Blackcurrant and Dietary Fibers on Large Intestinal Health Biomarkers in Rats. Plant Foods Hum. Nutr. 2018, 73, 54–60. [Google Scholar] [CrossRef]
- Khanbabaee, K.; Van Ree, T. Tannins: Classification and Definition. Nat. Prod. Rep. 2001, 18, 641–649. [Google Scholar]
- Toney, A.M.; Fox, D.; Chaidez, V.; Ramer-Tait, A.E.; Chung, S. Immunomodulatory Role of Urolithin A on Metabolic Diseases. Biomedicines 2021, 9, 192. [Google Scholar] [CrossRef] [PubMed]
- Bialonska, D.; Ramnani, P.; Kasimsetty, S.G.; Muntha, K.R.; Gibson, G.R.; Ferreira, D. The Influence of Pomegranate By-Product and Punicalagins on Selected Groups of Human Intestinal Microbiota. Int. J. Food Microbiol. 2010, 140, 175–182. [Google Scholar] [CrossRef]
- Bialonska, D.; Kasimsetty, S.G.; Schrader, K.K.; Ferreira, D. The Effect of Pomegranate (Punica granatum L.) Byproducts and Ellagitannins on the Growth of Human Gut Bacteria. J. Agric. Food Chem. 2009, 57, 8344–8349. [Google Scholar] [CrossRef]
- Barnes, R.C.; Krenek, K.A.; Meibohm, B.; Mertens-Talcott, S.U.; Talcott, S.T. Urinary Metabolites from Mango (Mangifera indica L. cv. Keitt) Galloyl Derivatives and in Vitro Hydrolysis of Gallotannins in Physiological Conditions. Mol. Nutr. Food Res. 2016, 60, 542–550. [Google Scholar] [CrossRef]
- Liu, Z.; Zeng, X.; Cheng, J.; Liu, D.; Aadil, R.M. The Efficiency and Comparison of Novel Techniques for Cell Wall Disruption in Astaxanthin Extraction from Haematococcus pluvialis. Int. J. Food Sci. Technol. 2018, 53, 2212–2219. [Google Scholar] [CrossRef]
- De Filippo, C.; Cavalieri, D.; Di Paola, M.; Ramazzotti, M.; Poullet, J.B.; Massart, S.; Collini, S.; Pieraccini, G.; Lionetti, P. Impact of Diet in Shaping Gut Microbiota Revealed by a Comparative Study in Children from Europe and Rural Africa. Proc. Natl. Acad. Sci. USA 2010, 107, 14691–14696. [Google Scholar] [CrossRef] [PubMed]
- Tasse, L.; Bercovici, J.; Pizzut-Serin, S.; Robe, P.; Tap, J.; Klopp, C.; Cantarel, B.L.; Coutinho, P.M.; Henrissat, B.; Leclerc, M.; et al. Functional Metagenomics to Mine the Human Gut Microbiome for Dietary Fiber Catabolic Enzymes. Genome Res. 2010, 20, 1605–1612. [Google Scholar] [CrossRef]
- Chamorro, S.; Romero, C.; Brenes, A.; Sánchez-Patán, F.; Bartolomé, B.; Viveros, A.; Arija, I. Impact of a Sustained Consumption of Grape Extract on Digestion, Gut Microbial Metabolism and Intestinal Barrier in Broiler Chickens. Food Funct. 2019, 10, 1444–1454. [Google Scholar] [CrossRef]
- Díaz Carrasco, J.M.; Redondo, E.A.; Pin Viso, N.D.; Redondo, L.M.; Farber, M.D.; Fernández Miyakawa, M.E. Tannins and Bacitracin Differentially Modulate Gut Microbiota of Broiler Chickens. BioMed Res. Int. 2018, 2018, 1–11. [Google Scholar] [CrossRef] [PubMed]
- Souza, C.S.; Vieites, F.M.; Justino, L.R.; Lima, M.F.; Chaves, A.S.; Minafra, C.S.; Lima, C.A.R. Orange Essential Oil in the Diet of Broilers: Performance, Organ Biometrics, Bone Characteristics, and Intestinal Morphometry. Rev. Bras. De Zootec. 2019, 48, e20180277. [Google Scholar] [CrossRef]
- Ultee, A.; Bennik, M.H.J.; Moezelaar, R. The Phenolic Hydroxyl Group of Carvacrol Is Essential for Action against the Food-Borne Pathogen Bacillus cereus. Appl. Environ. Microbiol 2002, 68, 1561–1568. [Google Scholar] [CrossRef]
- Lim, W.Q.; Cheam, J.Y.; Law, J.W.-F.; Letchumanan, V.; Lee, L.-H.; Tan, L.T.-H. Role of Garlic in Chronic Diseases: Focusing on Gut Microbiota Modulation. Prog. Microbes Mol. Biol. 2022, 5, a0000271. [Google Scholar] [CrossRef]
- Borlinghaus, J.; Albrecht, F.; Gruhlke, M.C.; Nwachukwu, I.D.; Slusarenko, A.J. Allicin: Chemistry and Biological Properties. Molecules 2014, 19, 12591–12618. [Google Scholar] [CrossRef]
- Bayan, L.; Koulivand, P.H.; Gorji, A. Garlic: A Review of Potential Therapeutic Effects. Avicenna J. Phytomed. 2014, 4, 1–14. [Google Scholar]
- Chu, J.; Zhao, H.; Lu, Z.; Lu, F.; Bie, X.; Zhang, C. Improved Physicochemical and Functional Properties of Dietary Fiber from Millet Bran Fermented by Bacillus Natto. Food Chem. 2019, 294, 79–86. [Google Scholar] [CrossRef] [PubMed]
- Tan, H.; Zhao, Y.; Ling, Y.; Wang, Y.; Wang, X. Emission Characteristics and Variation of Volatile Odorous Compounds in the Initial Decomposition Stage of Municipal Solid Waste. Waste Manag. 2017, 68, 677–687. [Google Scholar] [CrossRef]
- Grasa, L.; Abecia, L.; Peña-Cearra, A.; Robles, S.; Layunta, E.; Latorre, E.; Mesonero, J.E.; Forcén, R. TLR2 and TLR4 Interact with Sulfide System in the Modulation of Mouse Colonic Motility. Neurogastroenterol. Motil. 2019, 31, e13648. [Google Scholar] [CrossRef] [PubMed]
- Axling, U.; Olsson, C.; Xu, J.; Fernandez, C.; Larsson, S.; Ström, K.; Ahrné, S.; Holm, C.; Molin, G.; Berger, K. Green Tea Powder and Lactobacillus Plantarum Affect Gut Microbiota, Lipid Metabolism and Inflammation in High-Fat Fed C57BL/6J Mice. Nutr. Metab. 2012, 9, 105. [Google Scholar] [CrossRef]
- Gupta, R.K.; Gracias, D.T.; Figueroa, D.S.; Miki, H.; Miller, J.; Fung, K.; Ay, F.; Burkly, L.; Croft, M. TWEAK Functions with TNF and IL-17 on Keratinocytes and Is a Potential Target for Psoriasis Therapy. Sci. Immunol. 2021, 6, eabi8823. [Google Scholar] [CrossRef]
- Nisar, A.; Jagtap, S.; Vyavahare, S.; Deshpande, M.; Harsulkar, A.; Ranjekar, P.; Prakash, O. Phytochemicals in the Treatment of Inflammation-Associated Diseases: The Journey from Preclinical Trials to Clinical Practice. Front. Pharmacol. 2023, 14, 1177050. [Google Scholar] [CrossRef] [PubMed]
- Le Chatelier, E.; Nielsen, T.; Qin, J.; Prifti, E.; Hildebrand, F.; Falony, G.; Almeida, M.; Arumugam, M.; Batto, J.-M.; Kennedy, S. Richness of Human Gut Microbiome Correlates with Metabolic Markers. Nature 2013, 500, 541–546. [Google Scholar] [CrossRef]
- Tombola, F.; Campello, S.; De Luca, L.; Ruggiero, P.; Del Giudice, G.; Papini, E.; Zoratti, M. Plant Polyphenols Inhibit VacA, a Toxin Secreted by the Gastric Pathogen Helicobacter pylori. FEBS Lett. 2003, 543, 184–189. [Google Scholar] [CrossRef]
- Maru, G.B.; Hudlikar, R.R.; Kumar, G.; Gandhi, K.; Mahimkar, M.B. Understanding the Molecular Mechanisms of Cancer Prevention by Dietary Phytochemicals: From Experimental Models to Clinical Trials. World J. Biol. Chem. 2016, 7, 88. [Google Scholar] [CrossRef]
- Heymsfield, S.B.; Wadden, T.A. Mechanisms, Pathophysiology, and Management of Obesity. N. Engl. J. Med. 2017, 376, 254–266. [Google Scholar] [CrossRef]
- Shin, S.A.; Joo, B.J.; Lee, J.S.; Ryu, G.; Han, M.; Kim, W.Y.; Park, H.H.; Lee, J.H.; Lee, C.S. Phytochemicals as Anti-Inflammatory Agents in Animal Models of Prevalent Inflammatory Diseases. Molecules 2020, 25, 5932. [Google Scholar] [CrossRef] [PubMed]
- Zhao, X.; Karkare, S.; Nash, A.I.; Sheehan, J.J.; Aboumrad, M.; Near, A.M.; Banerji, T.; Joshi, K. Characteristics and Current Standard of Care among Veterans with Major Depressive Disorder in the United States: A Real-World Data Analysis. J. Affect. Disord. 2022, 307, 184–190. [Google Scholar] [CrossRef]
- Wang, C.; Han, Z.; Wu, Y.; Lu, X.; Tang, X.; Xiao, J.; Li, N. Enhancing Stability and Anti-Inflammatory Properties of Curcumin in Ulcerative Colitis Therapy Using Liposomes Mediated Colon-Specific Drug Delivery System. Food Chem. Toxicol. 2021, 151, 112123. [Google Scholar] [CrossRef]
- Riaz, M.; Khalid, R.; Afzal, M.; Anjum, F.; Fatima, H.; Zia, S.; Rasool, G.; Egbuna, C.; Mtewa, A.G.; Uche, C.Z.; et al. Phytobioactive Compounds as Therapeutic Agents for Human Diseases: A Review. Food Sci. Nutr. 2023, 11, 2500–2529. [Google Scholar] [CrossRef] [PubMed]
- Zhu, Y.; Sun, H.; He, S.; Lou, Q.; Yu, M.; Tang, M.; Tu, L. Metabolism and Prebiotics Activity of Anthocyanins from Black Rice (Oryza sativa L.) In Vitro. PLoS ONE 2018, 13, e0195754. [Google Scholar] [CrossRef]
- Kikusato, M. Phytobiotics to Improve Health and Production of Broiler Chickens: Functions beyond the Antioxidant Activity. Anim. Biosci. 2021, 34, 345. [Google Scholar] [CrossRef]
- Mohammadi Gheisar, M.; Kim, I.H. Phytobiotics in Poultry and Swine Nutrition—A Review. Ital. J. Anim. Sci. 2018, 17, 92–99. [Google Scholar] [CrossRef]
- Zhang, Y.; Cen, J.; Jia, Z.; Hsiao, C.-D.; Xia, Q.; Wang, X.; Chen, X.; Wang, R.; Jiang, Z.; Zhang, L.; et al. Hepatotoxicity Induced by Isoniazid-Lipopolysaccharide through Endoplasmic Reticulum Stress, Autophagy, and Apoptosis Pathways in Zebrafish. Antimicrob. Agents Chemother. 2019, 63, e01639-18. [Google Scholar] [CrossRef]
- Yu, X.; Wang, Y.; Xu, Y.; Li, X.; Zhang, J.; Su, Y.; Guo, L. Resveratrol Attenuates Intestinal Epithelial Barrier Dysfunction via Nrf2/HO-1 Pathway in Dextran Sulfate Sodium-induced Caco-2 Cells. Immun. Inflam. Dis. 2024, 12, e1193. [Google Scholar] [CrossRef]
- Azuma, T.; Shigeshiro, M.; Kodama, M.; Tanabe, S.; Suzuki, T. Supplemental Naringenin Prevents Intestinal Barrier Defects and Inflammation in Colitic Mice. J. Nutr. 2013, 143, 827–834. [Google Scholar] [CrossRef]
- Jang, H.-Y.; Kim, M.J.; Jeong, J.Y.; Hwang, I.M.; Lee, J.-H. Exploring the Influence of Garlic on Microbial Diversity and Metabolite Dynamics during Kimchi Fermentation. Heliyon 2024, 10, e24919. [Google Scholar] [CrossRef] [PubMed]
- Yoon, S.Y.; Dela Peña, I.C.; Shin, C.Y.; Son, K.H.; Lee, Y.S.; Ryu, J.H.; Cheong, J.H.; Ko, K.H. Convulsion-Related Activities of Scutellaria Flavones Are Related to the 5,7-Dihydroxyl Structures. Eur. J. Pharmacol. 2011, 659, 155–160. [Google Scholar] [CrossRef] [PubMed]
- Pinto, L.; Tapia-Rodríguez, M.R.; Baruzzi, F.; Ayala-Zavala, J.F. Plant Antimicrobials for Food Quality and Safety: Recent Views and Future Challenges. Foods 2023, 12, 2315. [Google Scholar] [CrossRef]
- Sharma, N.; Gulati, A. Natural Vitamins as Food Antimicrobials in Stem and Thorn Extracts of Hippophae Species Studied by HPLC-ESI-MS. Food Humanit. 2023, 1, 415–420. [Google Scholar] [CrossRef]
- Abd El-Aziz, N.M.A.; Shehata, M.G.; Alsulami, T.; Badr, A.N.; Elbakatoshy, M.R.; Ali, H.S.; El-Sohaimy, S.A. Characterization of Orange Peel Extract and Its Potential Protective Effect against Aluminum Chloride-Induced Alzheimer’s Disease. Pharmaceuticals 2022, 16, 12. [Google Scholar] [CrossRef]
- Imran, M.; Khan, A.S.; Khan, M.A.; Saeed, M.U.; Noor, N.; Warsi, M.H.; Qadir, A. Antimicrobial Activity of Different Plants Extracts against Staphylococcus aureus and Escherichia coli. Polym. Med. 2021, 51, 69–75. [Google Scholar] [CrossRef]
- Liu, W.; Su, E. Screening, Evaluation and Identification of Promising Plant Extracts for Development of Novel Natural Preservatives. Food Biosci. 2024, 58, 103672. [Google Scholar] [CrossRef]
- Kamiński, P.; Szymczak, M.; Szymczak, B. Application of a Crude Digestive Proteases Preparation to Improve the Ripening of Marinated Fillets from Low-technological Value Baltic Herring (Clupea harengus membras L.). J. Sci. Food Agric. 2024, 104, 5315–5325. [Google Scholar] [CrossRef] [PubMed]
- Hussain, A.S.; Mohammad, D.A.; Sallam, W.S.; Shoukry, N.M.; Davis, D.A. Effects of Culturing the Pacific White Shrimp Penaeus Vannamei in “Biofloc” vs “Synbiotic” Systems on the Growth and Immune System. Aquaculture 2021, 542, 736905. [Google Scholar] [CrossRef]
- Hongyan, L.I.; Minglei, X.U.; Saiya, Z. Research Progress of Plant Extracts in Preservation of Meat Products. Food Mach. 2025, 40, 236–240. [Google Scholar]
- Gonelimali, F.D.; Lin, J.; Miao, W.; Xuan, J.; Charles, F.; Chen, M.; Hatab, S.R. Antimicrobial Properties and Mechanism of Action of Some Plant Extracts against Food Pathogens and Spoilage Microorganisms. Front. Microbiol. 2018, 9, 1639. [Google Scholar] [CrossRef] [PubMed]
- Nasar-Abbas, S.M.; Halkman, A.K. Antimicrobial Effect of Water Extract of Sumac (Rhus coriaria L.) on the Growth of Some Food Borne Bacteria Including Pathogens. Int. J. Food Microbiol. 2004, 97, 63–69. [Google Scholar] [CrossRef] [PubMed]
- Olaimat, A.N.; Holley, R.A. Effects of Changes in pH and Temperature on the Inhibition of Salmonella and Listeria monocytogenes by Allyl Isothiocyanate. Food Control 2013, 34, 414–419. [Google Scholar] [CrossRef]
- El Khatib, K.; Hadeer, R.A.; Saad, A.; Kalaydjian, A.; Fayad, E.; Mahfouz, Y.; Dougnon, V.; Daoud, Z.; Abdel-Massih, R.M. Determination of MIC, MPC, and MSW of Ilex Paraguariensis against Non-Typhoidal Salmonella with Identification of the Mechanisms of Resistance and Pathogenicity Factors. Microb. Pathog. 2023, 174, 105905. [Google Scholar] [CrossRef]
- Du, R.; Qu, Y.; Zhao, M.; Liu, Y.; Qi, P.X.; Sun, X. Logistic Modeling to Predict the Minimum Inhibitory Concentration (MIC) of Olive Leaf Extract (OLE) against Listeria monocytogenes. PLoS ONE 2022, 17, e0263359. [Google Scholar] [CrossRef]
- Carvalho, A.D.A.T.; Sampaio, M.C.C.; Sampaio, F.C.; De Melo, A.F.M.; De Sena, K.X.D.F.R.; Chiappeta, A.D.A.; Higino, J.S. In Vitro Antimicrobial Activity of Hydro-Alcoholic Extracts of Psidium guajava L. against Gram-Negative Bacteria. Acta Farm. Bonaer. 2003, 21, 255–258. [Google Scholar]
- Keyvan, E.; Tutun, H.; Kahraman, H.A.; Şen, E.; Demirtaş, A.; Dönmez, S.; Akyüz, A.Ö. Determination of Time Dependent Antibacterial Activities of Curcumin, Carvacrol and Styrax Liquidus on Salmonella enteritidis. Ank. Univ. Vet. Fak. Derg. 2022, 69, 355–360. [Google Scholar] [CrossRef]
- Mkangara, M.; Mpenda, F.N. Antimicrobial and Cytotoxicity Activities of Medicinal Plants against Salmonella gallinarum Isolated from Chickens. Vet. Med. Int. 2022, 2022, 2294120. [Google Scholar] [CrossRef]
- Lertchirakarn, P.; Muangrat, R. Antibacterial Efficacy of Essential Oils from Four Spices against Salmonella typhimurium: Mathematical Modelling and Application in Enhancing Salad Cream Safety. Curr. Res. Nutr. Food Sci. 2023, 11, 1282–1299. [Google Scholar] [CrossRef]
- Wang, Y.; Kong, L.; Liu, L.; Odah, K.A.; Liu, S.; Jiang, X.; Ma, H. Antibacterial Mode of Fibrauretine and Synergistic Effect with Kanamycin against Multi-Drug Resistant Escherichia coli. Biotechnol. Lett. 2019, 41, 1023–1031. [Google Scholar] [CrossRef]
- Timilsina, R.P.; Baral, S.K.; Dhakal, A.; Dhungana, B.; Acharya, B. Antimicrobial Potential of Three Nepalese Medicinal Plants Against Multidrug Resistance Escherichia coli Isolates From Normal Individuals. Sci. World J. 2024, 2024, 8031371. [Google Scholar] [CrossRef]
- Hatab, S.; Athanasio, R.; Holley, R.; Rodas-Gonzalez, A.; Narvaez-Bravo, C. Survival and Reduction of Shiga Toxin-Producing Escherichia coli in a Fresh Cold-Pressed Juice Treated with Antimicrobial Plant Extracts. J. Food Sci. 2016, 81, M1987–M1995. [Google Scholar] [CrossRef] [PubMed]
- Sarjit, A.; Wang, Y.; Dykes, G.A. Antimicrobial Activity of Gallic Acid against Thermophilic Campylobacter Is Strain Specific and Associated with a Loss of Calcium Ions. Food Microbiol. 2015, 46, 227–233. [Google Scholar] [CrossRef] [PubMed]
- Olaimat, A.N.; Fang, Y.; Holley, R.A. Inhibition of Campylobacter jejuni on Fresh Chicken Breasts by κ-Carrageenan/Chitosan-Based Coatings Containing Allyl Isothiocyanate or Deodorized Oriental Mustard Extract. Int. J. Food Microbiol. 2014, 187, 77–82. [Google Scholar] [CrossRef] [PubMed]
- Bogun, K.; Peh, E.; Siekmann, L.; Plötz, M.; Kittler, S. Combining Antimicrobial Substances for Campylobacter Post Harvest Mitigation on Chicken Breast Fillet and Chicken Skin—Any Synergistic Effects? J. Appl. Microbiol. 2023, 134, lxad209. [Google Scholar] [CrossRef]
- Silván, J.M.; Mingo, E.; Hidalgo, M.; de Pascual-Teresa, S.; Carrascosa, A.V.; Martinez-Rodriguez, A.J. Antibacterial Activity of a Grape Seed Extract and Its Fractions against Campylobacter Spp. Food Control 2013, 29, 25–31. Food Control 2013, 29, 25–31. [Google Scholar] [CrossRef]
- Lee, C.-F.; Han, C.-K.; Tsau, J.-L. In Vitro Inhibitory Activity of Chinese Leek Extract against Campylobacter Species. Int. J. Food Microbiol. 2004, 94, 169–174. [Google Scholar] [CrossRef]
- Odedina, G.F.; Vongkamjan, K.; Voravuthikunchai, S.P. Potential Bio-Control Agent from Rhodomyrtus tomentosa against Listeria monocytogenes. Nutrients 2015, 7, 7451–7468. [Google Scholar] [CrossRef]
- Gong, S.; Jiao, C.; Guo, L. Antibacterial Mechanism of Beetroot (Beta vulgaris) Extract against Listeria monocytogenes through Apoptosis-like Death and Its Application in Cooked Pork. LWT 2022, 165, 113711. [Google Scholar] [CrossRef]
- Upadhyay, A.; Johny, A.K.; Amalaradjou, M.A.R.; Ananda Baskaran, S.; Kim, K.S.; Venkitanarayanan, K. Plant-Derived Antimicrobials Reduce Listeria monocytogenes Virulence Factors In Vitro, and down-Regulate Expression of Virulence Genes. Int. J. Food Microbiol. 2012, 157, 88–94. [Google Scholar] [CrossRef]
- Mathkoor, M.M.; Oda, N.A.; Omran, Z.S. Comparative Study Antibacterial Activity of Some Medicinal Plants Extracts (Leaves and Peel) against Some Multi-Drug Resistant Bacteria from Clinical Isolates. Int. J. Drug Deliv. Technol. 2019, 9, 41–46. [Google Scholar] [CrossRef]
- Cooper, B.; Islam, N.; Xu, Y.; Beard, H.S.; Garrett, W.M.; Gu, G.; Nou, X. Quantitative Proteomic Analysis of Staphylococcus aureus Treated With Punicalagin, a Natural Antibiotic From Pomegranate That Disrupts Iron Homeostasis and Induces SOS. Proteomics 2018, 18, 1700461. [Google Scholar] [CrossRef] [PubMed]
- Jiang, Y.-H.; Ying, J.-P.; Xin, W.-G.; Yang, L.-Y.; Li, X.-Z.; Zhang, Q.-L. Antibacterial Activity and Action Target of Phenyllactic Acid against Staphylococcus aureus and Its Application in Skim Milk and Cheese. J. Dairy Sci. 2022, 105, 9463–9475. [Google Scholar] [CrossRef]
- Bouguenoun, W.; Benbelaid, F.; Mebarki, S.; Bouguenoun, I.; Boulmaiz, S.; Khadir, A.; Benziane, M.Y.; Bendahou, M.; Muselli, A. Selected antimicrobial essential oils to eradicate multi-drug resistant bacterial biofilms involved in human nosocomial infections. Biofouling 2023, 39, 816–829. [Google Scholar] [CrossRef]
- Santomauro, F.; Sacco, C.; Donato, R.; Bellumori, M.; Innocenti, M.; Mulinacci, N. The Antimicrobial Effects of Three Phenolic Extracts from Rosmarinus officinalis L., Vitis vinifera L. and Polygonum cuspidatum L. on Food Pathogens. Nat. Prod. Res. 2018, 32, 2639–2645. [Google Scholar] [CrossRef] [PubMed]
- Ji-Hyun, B.; Kug-Hee, S.; Eun-Joo, L. Synergistic Antimicrobial Effect of Patrinia Scabiosaefolia and Forsythiae Fructus Extracts on Food-Borne Pathogens. Microbiol. Biotechnol. Lett 2005, 33, 130–135. [Google Scholar]
- Bagheri, L.; Khodaei, N.; Salmieri, S.; Karboune, S.; Lacroix, M. Correlation between Chemical Composition and Antimicrobial Properties of Essential Oils against Most Common Food Pathogens and Spoilers: In-Vitro Efficacy and Predictive Modelling. Microb. Pathog. 2020, 147, 104212. [Google Scholar] [CrossRef]
- Nair, A.; Balasaravanan, T.; Jadhav, S.; Mohan, V.; Kumar, C. Harnessing the Antibacterial Activity of Quercus infectoria and Phyllanthus emblica against Antibiotic-Resistant Salmonella Typhi and Salmonella Enteritidis of Poultry Origin. Vet. World 2020, 13, 1388. [Google Scholar] [CrossRef]
- Oyedara, O.O.; Fadare, O.A.; Franco-Frías, E.; Heredia, N.; García, S. Computational Assessment of Phytochemicals of Medicinal Plants from Mexico as Potential Inhibitors of Salmonella enterica Efflux Pump AcrB Protein. J. Biomol. Struct. Dyn. 2023, 41, 1776–1789. [Google Scholar] [CrossRef]
- Ashraf, S.; Anjum, A.A.; Ahmad, A.; Firyal, S.; Sana, S.; Latif, A.A. In Vitro Activity of Nigella sativa against Antibiotic Resistant Salmonella enterica. Environ. Toxicol. Pharmacol. 2018, 58, 54–58. [Google Scholar] [CrossRef]
- Naz, S.; Alam, S.; Ahmed, W.; Khan, S.M.; Qayyum, A.; Sabir, M.; Naz, A.; Iqbal, A.; Bibi, Y.; Nisa, S. Therapeutic Potential of Selected Medicinal Plant Extracts against Multi-Drug Resistant Salmonella enterica Serovar Typhi. Saudi J. Biol. Sci. 2022, 29, 941–954. [Google Scholar] [CrossRef] [PubMed]
- Amoussa, A.M.; Lagnika, L.; Jullian, V.; Chassagne, F. Anti-Salmonella activity of plant species in the Benin republic: Artemisia afra and Detarium senegalense with promising in vitro and in vivo activities. Biomed. Pharmacother. 2023, 158, 114119. [Google Scholar] [CrossRef]
- Balasubramanian, B.; Xue, J.; Luo, Y.; Upadhyay, A. Eugenol Nanoemulsion Reduces Listeria monocytogenes Biofilm by Modulating Motility, Quorum Sensing, and Biofilm Architecture. Front. Sustain. Food Syst. 2023, 7, 1272373. [Google Scholar] [CrossRef]
- Vattem, D.A.; Lin, Y.-T.; Labbe, R.G.; Shetty, K. Antimicrobial Activity against Select Food-Borne Pathogens by Phenolic Antioxidants Enriched in Cranberry Pomace by Solid-State Bioprocessing Using the Food Grade Fungus Rhizopus Oligosporus. Process Biochem. 2004, 39, 1939–1946. [Google Scholar] [CrossRef]
- Elafify, M.; Elabbasy, M.T.; Mohamed, R.S.; Mohamed, E.A.; Saad Eldin, W.F.; Darwish, W.S.; Eldrehmy, E.H.; Shata, R.R. Prevalence of Multidrug-Resistant Listeria monocytogenes in Dairy Products with Reduction Trials Using Rosmarinic Acid, Ascorbic Acid, Clove, and Thyme Essential Oils. J. Food Qual. 2022, 2022, 9696927. [Google Scholar] [CrossRef]
- Upadhyay, A.; Venkitanarayanan, K. In Vivo Efficacy of Trans-Cinnamaldehyde, Carvacrol, and Thymol in Attenuating Listeria monocytogenes Infection in a Galleria Mellonella Model. J. Nat. Med. 2016, 70, 667–672. [Google Scholar] [CrossRef] [PubMed]
- Obianwuna, U.E.; Chang, X.; Oleforuh-Okoleh, V.U.; Onu, P.N.; Zhang, H.; Qiu, K.; Wu, S. Phytobiotics in poultry: Revolutionizing broiler chicken nutrition with plant-based feed additives. J. Anim. Sci. Biotechnol. 2024, 15, 169. [Google Scholar] [CrossRef]
- Kim, G.; Xu, Y.; Zhang, J.; Sui, Z.; Corke, H. Antibacterial Activity and Multi-Targeting Mechanism of Dehydrocorydaline From Corydalis Turtschaninovii Bess. Against Listeria monocytogenes. Front. Microbiol. 2022, 12, 799094. [Google Scholar] [CrossRef]
- Yoon, Y.; Choi, K.-H. Antimicrobial Activities of Therapeutic Herbal Plants against Listeria monocytogenes and the Herbal Plant Cytotoxicity on Caco-2 Cell: Antilisterial Effect of Therapeutic Herbal Plants. Lett. Appl. Microbiol. 2012, 55, 47–55. [Google Scholar] [CrossRef]
- Ilyas, I.; Ali, M.A.; Anjum, A.A.; Nawaz, M.; Firyal, S. Antibiotic Resistance Modulation of Clostridium perfringens Type D Using Indigenous Plants Extracts. Malays. J. Microbiol. 2024, 20, 1–9. [Google Scholar] [CrossRef]
- Ivarsen, E.; Fretté, X.C.; Christensen, K.B.; Christensen, L.P.; Engberg, R.M.; Grevsen, K.; Kjaer, A. Bioassay-Guided Chromatographic Isolation and Identification of Antibacterial Compounds from Artemisia annua L. That Inhibit Clostridium perfringens Growth. J. AOAC Int. 2014, 97, 1282–1290. [Google Scholar] [CrossRef] [PubMed]
- Cermak, P.; Olsovska, J.; Mikyska, A.; Dusek, M.; Kadleckova, Z.; Vanicek, J.; Nyc, O.; Sigler, K.; Bostikova, V.; Bostik, P. Strong Antimicrobial Activity of Xanthohumol and Other Derivatives from Hops (Humulus lupulus L.) on Gut Anaerobic Bacteria. APMIS 2017, 125, 1033–1038. [Google Scholar] [CrossRef] [PubMed]
- Friedlein, U.; Dorn-In, S.; Schwaiger, K. Antimicrobial Effects of Plant Extracts against Clostridium perfringens with Respect to Food-Relevant Influencing Factors. J. Food Prot. 2021, 84, 1809–1818. [Google Scholar] [CrossRef]
- Balta, I.; Marcu, A.; Linton, M.; Kelly, C.; Gundogdu, O.; Stef, L.; Pet, I.; Ward, P.; Deshaies, M.; Callaway, T.; et al. Mixtures of Natural Antimicrobials Can Reduce Campylobacter jejuni, Salmonella enterica and Clostridium perfringens Infections and Cellular Inflammatory Response in MDCK Cells. Gut Pathog 2021, 13, 37. [Google Scholar] [CrossRef]
- Ostrosky, E.A.; Marcondes, E.M.C.; Nishikawa, S.D.O.; Lopes, P.S.; Varca, G.H.C.; Pinto, T.D.J.A.; Consiglieri, T.V.O.; Baby, A.R.; Velasco, M.V.R.; Kaneko, T.M. Rubus Rosaefolius Extract as a Natural Preservative Candidate in Topical Formulations. AAPS PharmSciTech 2011, 12, 732–737. [Google Scholar] [CrossRef] [PubMed]
- Buckley, H.L.; Hart-Cooper, W.M.; Kim, J.H.; Faulkner, D.M.; Cheng, L.W.; Chan, K.L.; Vulpe, C.D.; Orts, W.J.; Amrose, S.E.; Mulvihill, M.J. Design and Testing of Safer, More Effective Preservatives for Consumer Products. ACS Sustain. Chem. Eng. 2017, 5, 4320–4331. [Google Scholar] [CrossRef]
- Hayden, J. Safety Evaluation of Preservatives. In Microbial Quality Assurance in Pharmaceuticals, Cosmetics, and Toiletries; CRC Press: Boca Raton, FL, USA, 2017; pp. 175–183. [Google Scholar]
- Burenjargal, M.; Narangerel, T.; Batmunkh, T.; Dong, A.; Idesh, S. A Review of the Bioactive Properties of Mongolian Plants, with a Focus on Their Potential as Natural Food Preservatives. Food Sci. Nutr. 2023, 11, 5736–5752. [Google Scholar] [CrossRef]
- Teneva, D.; Denev, P. Biologically Active Compounds from Probiotic Microorganisms and Plant Extracts Used as Biopreservatives. Microorganisms 2023, 11, 1896. [Google Scholar] [CrossRef]
- Mogoşanu, G.D.; Grumezescu, A.M.; Bejenaru, C.; Bejenaru, L.E. Natural Products Used for Food Preservation. In Food Preservation; Academic Press: Cambridge, MA, USA, 2016; pp. 365–411. [Google Scholar]
- Zaikina, A.S.; Buryakov, N.P.; Buryakova, M.A.; Zagarin, A.Y.; Razhev, A.A.; Aleshin, D.E. Impact of Supplementing Phytobiotics as a Substitute for Antibiotics in Broiler Chicken Feed on Growth Performance, Nutrient Digestibility, and Biochemical Parameters. Vet. Sci. 2022, 9, 672. [Google Scholar] [CrossRef]
- Aziz, M.; Karboune, S. Natural Antimicrobial/Antioxidant Agents in Meat and Poultry Products as Well as Fruits and Vegetables: A Review. Crit. Rev. Food Sci. Nutr. 2018, 58, 486–511. [Google Scholar] [CrossRef]
- Cheng, C.; Jiang, L.; Li, X.; Song, H.; Fang, W. Can Natural Preservatives Serve as a New Line of Protective Technology against Bacterial Pathogens in Meat and Meat Products? Food Qual. Saf. 2024, 8, fyad049. [Google Scholar] [CrossRef]
- Shah, M.A.; Mir, S.A. Plant Extracts as Food Preservatives. In Plant Extracts: Applications in the Food Industry; Elsevier: Amsterdam, The Netherlands, 2022; pp. 127–141. [Google Scholar]
- Yildiz, A.Y.; Öztekin, S.; Anaya, K. Effects of Plant-Derived Antioxidants to the Oxidative Stability of Edible Oils under Thermal and Storage Conditions: Benefits, Challenges and Sustainable Solutions. Food Chem. 2025, 479, 143752. [Google Scholar] [CrossRef]
- Nastasi, J.R.; Kontogiorgos, V.; Daygon, V.D.; Fitzgerald, M.A. Pectin-Based Films and Coatings with Plant Extracts as Natural Preservatives: A Systematic Review. Trends Food Sci. Technol. 2022, 120, 193–211. [Google Scholar] [CrossRef]
- Antonino, C.; Difonzo, G.; Faccia, M.; Caponio, F. Effect of Edible Coatings and Films Enriched with Plant Extracts and Essential Oils on the Preservation of Animal-derived Foods. J. Food Sci. 2024, 89, 748–772. [Google Scholar] [CrossRef] [PubMed]
- Pedreiro, S.; Figueirinha, A.; Silva, A.S.; Ramos, F. Bioactive Edible Films and Coatings Based in Gums and Starch: Phenolic Enrichment and Foods Application. Coatings 2021, 11, 1393. [Google Scholar] [CrossRef]
- Pabast, M.; Shariatifar, N.; Beikzadeh, S.; Jahed, G. Effects of Chitosan Coatings Incorporating with Free or Nano-Encapsulated Satureja Plant Essential Oil on Quality Characteristics of Lamb Meat. Food Control 2018, 91, 185–192. [Google Scholar] [CrossRef]
- Lee, J.Y.; Garcia, C.V.; Shin, G.H.; Kim, J.T. Antibacterial and Antioxidant Properties of Hydroxypropyl Methylcellulose-Based Active Composite Films Incorporating Oregano Essential Oil Nanoemulsions. LWT 2019, 106, 164–171. [Google Scholar] [CrossRef]
- Duraiarasan, S.; Cui, H.; Lin, L. Encapsulation of Phlorotannin in Alginate/PEO Blended Nanofibers to Preserve Chicken Meat from Salmonella contaminations. Food Packag. Shelf Life 2019, 21, 100346. [Google Scholar] [CrossRef]
- Hosseini, H.; Jafari, S.M. Introducing Nano/Microencapsulated Bioactive Ingredients for Extending the Shelf-Life of Food Products. Adv. Colloid Interface Sci. 2020, 282, 102210. [Google Scholar] [CrossRef]
- Qu, B.; Xiao, Z.; Luo, Y. Sustainable Nanotechnology for Food Preservation: Synthesis, Mechanisms, and Applications of Zinc Oxide Nanoparticles. J. Agric. Food Res. 2025, 19, 101743. [Google Scholar] [CrossRef]
- Padhi, S.; Routray, W. Effects of Natural Materials on Food Preservation and Storage. In Natural Materials for Food Packaging Application; Wiley-VCH: Weinheim, Germany, 2023; pp. 313–331. [Google Scholar]
- Keener, L. Regulatory Aspects Relevant for HPTP. In High Pressure Thermal Processing; Academic Press (Elsevier): Cambridge, MA, USA, 2023; pp. 243–267. [Google Scholar]
- Negi, P.S. Plant Extracts for the Control of Bacterial Growth: Efficacy, Stability and Safety Issues for Food Application. Int. J. Food Microbiol. 2012, 156, 7–17. [Google Scholar] [CrossRef]
- Thakur, L.; Ghodasra, U.; Patel, N.; Dabhi, M. Novel Approaches for Stability Improvement in Natural Medicines. Pharmacogn. Rev. 2011, 5, 48. [Google Scholar] [CrossRef]
- Kaur, P.; Sharma, S.; Choudhury, D. Traditional Medicine Stability and Pharmacokinetic Issue. In Evidence Based Validation of Traditional Medicines; Mandal, S.C., Chakraborty, R., Sen, S., Eds.; Springer: Singapore, 2021; pp. 677–710. ISBN 978-981-15-8126-7. [Google Scholar]
- Tabboon, P.; Tuntiyasawasdikul, S.; Sripanidkulchai, B. Quality and Stability Assessment of Commercial Products Containing Phytoestrogen Diaryheptanoids from Curcuma comosa. Ind. Crops Prod. 2019, 134, 216–224. [Google Scholar] [CrossRef]
- Prasopsom, M.; Pratuangdejkul, J.; Petchprayoon, C.; Wichaiyo, S.; Jaturanpinyo, M.; Satitpatipan, V. Formulations of Topical Ointment for Wound Healing Activity Using Gynura procumbens (Lour.) Merr. Leaves Extract. Pharm Sci 2024, 51, 270–281. [Google Scholar] [CrossRef]
- Ansari, F.A.; Perazzolli, M.; Husain, F.M.; Khan, A.S.; Ahmed, N.Z.; Meena, R.P. Novel Decontamination Approaches for Stability and Shelf-Life Improvement of Herbal Drugs: A Concise Review. Microbe 2024, 3, 100070. [Google Scholar] [CrossRef]
- Temerdashev, Z.; Milevskaya, V.; Shpigun, O.; Prasad, S.; Vinitskaya, E.; Ryaboko, L. Stability of some biologically active substances in extracts and preparations based on st. john’s wort (Hypericum perforatum l.) and sage (Salvia officinalis l.). Ind. Crops Prod. 2020, 156, 112879. [Google Scholar] [CrossRef]
- Yadav, M.; Bhatia, V.J.; Doshi, G.; Shastri, K. Novel Techniques in Herbal Drug Delivery Systems. Int. J. Pharm. Sci. Rev. Res. 2014, 28, 83–89. [Google Scholar]
- Saini, P.; Ahmed, M. Bioavailability and Bio-Accessibility of Phytochemical Compounds: In Advances in Medical Diagnosis, Treatment, and Care; Singh, A., Ed.; IGI Global: Hershey, PA, USA, 2022; pp. 496–520. ISBN 978-1-6684-5129-8. [Google Scholar]
- Hariprasanna, K.; Chetankumar, B.; Venkateswarlu, R.; Niharika, G. Approaches for Enhancing the Nutrients Bioavailability. In Sorghum in the 21st Century: Food–Fodder–Feed–Fuel for a Rapidly Changing World; Tonapi, V.A., Talwar, H.S., Are, A.K., Bhat, B.V., Reddy, C.R., Dalton, T.J., Eds.; Springer: Singapore, 2020; pp. 809–835. ISBN 978-981-15-8248-6. [Google Scholar]
- Chandrababu, S.; Bastola, D.R. Culinary herbs: The regulator of gut microbiome. In An Introduction to Medicinal Herbs; Nova Science Publishers, Inc.: New York, NY, USA, 2021; pp. 131–170. [Google Scholar]
- Mathijssen, R.H.J.; Sparreboom, A.; Verweij, J. Determining the Optimal Dose in the Development of Anticancer Agents. Nat Rev. Clin. Oncol. 2014, 11, 272–281. [Google Scholar] [CrossRef]
- Shinde, Y.; Deokar, G. Regulation of Gut Microbiota by Herbal Medicines. CDM 2024, 25, 110–127. [Google Scholar] [CrossRef]
- Yin, R.; Kuo, H.-C.; Hudlikar, R.; Sargsyan, D.; Li, S.; Wang, L.; Wu, R.; Kong, A.-N. Gut Microbiota, Dietary Phytochemicals, and Benefits to Human Health. Curr. Pharmacol. Rep. 2019, 5, 332–344. [Google Scholar] [CrossRef]
- Zu, X.-P.; Lin, Z.; Xie, H.-S.; Yang, N.; Liu, X.-R.; Zhang, W.-D. [Interaction of effective ingredients from traditional Chinese medicines with intestinal microbiota]. Zhongguo Zhong Yao Za Zhi 2016, 41, 1766–1772. [Google Scholar] [CrossRef] [PubMed]
- European Food Safety Authority; EFSA Scientific Committee Guidance on Safety Assessment of Botanicals and Botanical Preparations Intended for Use as Ingredients in Food Supplements. EFS2 2009, 7. [CrossRef]
- Bandaranayake, W.M. Quality Control, Screening, Toxicity, and Regulation of Herbal Drugs. In Modern Phytomedicine; Ahmad, I., Aqil, F., Owais, M., Eds.; Wiley: Hoboken, NJ, USA, 2006; pp. 25–57. ISBN 978-3-527-31530-7. [Google Scholar]
- National Policy on Traditional Medicine and Regulation of Herbal Medicines: Report of a WHO Global Survey; World Health Organization: Geneva, Switzerland, 2005; ISBN 978-92-4-159323-6.
- Ramaswamy, S.; Gowthamarajan, K.; Priyanka Dwarampudi, L.; Bhaskaran, M.; Kadiyala, M. Analytical Method Development, Validation and Forced Degradation Studies for Rutin, Quercetin, Curcumin, and Piperine by RP-UFLC Method. Drug Dev. Ind. Pharm. 2021, 47, 562–568. [Google Scholar] [CrossRef] [PubMed]
- George, A.S.; Brandl, M.T. Plant Bioactive Compounds as an Intrinsic and Sustainable Tool to Enhance the Microbial Safety of Crops. Microorganisms 2021, 9, 2485. [Google Scholar] [CrossRef]
- Singh, A.A.; Naaz, Z.T.; Rakaseta, E.; Perera, M.; Singh, V.; Cheung, W.; Mani, F.; Nath, S. Antimicrobial Activity of Selected Plant Extracts against Common Food Borne Pathogenic Bacteria. Food Humanit. 2023, 1, 64–70. [Google Scholar] [CrossRef]
- Khan, J.A.; Gill, R.; Husain, F.M.; Gahtori, B.; Ahmad, I.; Neyaz, L.A.; Bazaid, F.; Albarakaty, F.; Elbanna, K.; Tolesa, L.D.; et al. Plant-Derived Antimicrobials against Foodborne Pathogenic Bacteria. Microbiol. Biotechnol. Lett. 2025, 53, 1–21. [Google Scholar] [CrossRef]
- Suchi, T.A.; Mishu, I.D.; Akhter, M.Z.; Hoque, M.M. Comparative Antimicrobial Efficacy, Kinetic Destruction Pattern and Microbial Inactivation Dynamics of Extracted Cinnamon Essential Oil and Commercial Cinnamaldehyde against Foodborne Pathogens. Iran. J. Med. Microbiol. 2023, 17, 230–242. [Google Scholar] [CrossRef]
- Guía-García, J.L.; Charles-Rodríguez, A.V.; Reyes-Valdés, M.H.; Ramírez-Godina, F.; Robledo-Olivo, A.; García-Osuna, H.T.; Cerqueira, M.A.; Flores-López, M.L. Micro and Nanoencapsulation of Bioactive Compounds for Agri-Food Applications: A Review. Ind. Crops Prod. 2022, 186, 115198. [Google Scholar] [CrossRef]
- Mobarak, J.; Doski, M.; Karwan; Kareem, K. The Influence of Different Levels of Postbiotic and Phytobiotic Combinations as Feed Additives on Growth Performance, Gut Morphology, and Faecal Bacteria In Broiler Chickens. Poult. Sci. 2024, 43–53. [Google Scholar] [CrossRef]

| Compound Group | Examples | Key Properties | Main Sources |
|---|---|---|---|
| Phenolic compounds | Flavonoids, phenolic acids, stilbens, and lignans | Antimicrobial, antioxidant, and anti-inflammatory | Herbs, spices, fruits, and vegetables [1,2,11] |
| Terpenes | Mono- and sesquiterpenes | Antimicrobial, antioxidant, and flavoring agents | Essential oils and oleoresins [2,11] |
| Organosulfur compounds | Allicin and glucosinolates | Antimicrobial, antioxidant, and anti-inflammatory | Garlic, onions, and cruciferous vegetables [2,12] |
| Alkaloids | Berberine and quinine | Antimicrobial and anti-inflammatory | Various medicinal plants [1,12] |
| Phytosterols | Beta-sitosterol and campesterol | Cholesterol-lowering and anti-inflammatory | Vegetable oils, nuts, and seeds [12] |
| Saponins | Diosgenin and ginsenosides | Antimicrobial, immune-modulating, and cholesterol-lowering | Legumes, soybeans, quinoa, and ginseng [2] |
| Polysaccharides | Beta-glucans and arabinogalactans | Immune-stimulating and prebiotic | Mushrooms, oats, and barley [13] |
| Class | Number of Isoprene Units (C5H8) | General Structural Formula | Examples | References |
|---|---|---|---|---|
| Monoterpenes and monoterpenoids | 2 | C10H16 | limonene, menthol, geraniol, myrcene, carvone, hinokitiol, linalol, carene, sabinene, camphene, thujene, camphor, borneol, eucalyptol, ascaridole, umbellulone, α-and β-phellandrene, terpinolene, α- and β-pinene, ocimene, zingiberene, terpineol, isopulegol, citral, nerol, thymol, carvacrol, pulegone, verbenone, myrtenol, and isoborneol. | [34,35,36,37] |
| Sesquiterpenes and sesquiterpenoids | 3 | C15H24 | farnesol, nerolidol, codonolactone, hydroxyisocostic acid, β-bisabolene, britannin, fumagalin, widdrol, zerumbone, β-elemene, guai-2-en-10α-ol, α-copaene, α-humulene, β-caryophyllene, germacrene D, nerolidol, β-cubebene, nootkatone, α-farnesene, lactucin, 11β,13-dihydrolactucin, lactupicrin, aubergenone, ketopelenolide b, and δ-cadinene | [38,39,40] |
| Diterpenes | 4 | C20H32 | phytol, retinol, retinal, geranylgeraniol, taxol, abietic acid, cembrene, crocetin, sugiol, totarol, taxodone, ferruginol, carnosol, solaneriosides, aphapolins, clerodane, carnosic acid, sahandone, salprzelactones, fischeriabietanes, roscotanes, abscisic acid, and gibberellin | [41] |
| Triterpenes | 6 | C30H48 | squalene, lanosterol, lupeol, β-amyrin, betulin, oleanol, aksytosterol, and ursolol | [42] |
| Tetraterpenes | 8 | C40H64 | β-carotene, lycopene, zeaxanthin, astaxanthin, canthaxanthin, capsanthin, zeaxanthin, and lutein | [43] |
| Polyterpenes | n > 8 | (C5H8)n | natural rubber (cis-polyisoprene), gutta-percha, and natural latex | [44] |
| Class | Examples | Sources | Properties |
|---|---|---|---|
| Pyridine | Nicotine, Anabasine, Coniine | Tobacco plants, Anabasis aphylla, Conium maculatum | Stimulant effects, addiction potential, antimicrobial activity |
| Tropane | Atropine, Scopolamine, Cocaine | Atropa belladonna, Erythroxylum coca, Datura stramonium | Anticholinergic, stimulant properties, antimicrobial activity |
| Isoquinoline | Morphine, Codeine, Berberine | Opium poppy, Coptis chinensis, Hydrastis canadensis | Analgesic effects, pain relief, antimicrobial |
| Indole | Vincristine, Vinblastine, Harmaline | Catharanthus roseus, Peganum harmala | Antineoplastic, antimicrobial |
| Purine | Caffeine, Theobromine, Theophylline | Coffee, tea plants, Theobroma cacao | Stimulant effects, mental alertness, antimicrobial |
| Imidazole | Pilocarpine, Miconazole | Pilocarpus species | Treatment of glaucoma, parasympathomimetic, antifungal |
| Steroidal | Solanine, Tomatine, Berberine | Solanaceae family, Berberis vulgaris | Toxic properties, effects on cell membranes, antimicrobial |
| Mechanism Category | Mechanism of Action | References |
|---|---|---|
| Disruption of bacterial cell wall integrity, membrane structure, and biofilm formation | Disruption of cell wall and membrane integrity | [101,102,103] |
| Alteration of membrane fluidity and membrane potential | [105] | |
| Targeting cell wall proteins and structural components | [106,107] | |
| Binding to membrane-associated proteins | [108] | |
| Interaction with lipopolysaccharides and teichoic acids | [41,107] | |
| Induction of oxidative stress damaging membranes | [111,112,113,114] | |
| Interference with membrane synthesis | [115] | |
| Inhibition of MurA enzyme in peptidoglycan synthesis | [116,117] | |
| Modulation of autolysins and sortase A | [118,119] | |
| Modification of bacterial morphology | [120,121] | |
| Efflux pump inhibition | [122,125,126,128] | |
| Inhibition of biofilm formation and quorum sensing | [129,130,131] | |
| Inhibition of EPS production and bacterial adhesion | [134,135] | |
| Modulation of gene expression linked to biofilm | [136,137] | |
| Inhibition of protein and DNA synthesis | Inhibition of protein synthesis (e.g., ribosomal binding) | [115,140,142] |
| Inhibition of DNA replication (e.g., DNA gyrase, primase) | [135,144,145,146] | |
| Inhibition of bacterial cell division (e.g., FtsZ inhibition) | [147] | |
| Inhibition of translation-related proteins and factors | [148] | |
| Induction of oxidative stress | ROS induction and catalase inhibition | [149,150,151] |
| Disruption of central metabolism by phytobiotics | Disruption of central metabolism (glycolysis, TCA, PPP) | [148,149] |
| Inhibition of ATP synthase and H+-ATPase activity | [155,156,157] | |
| Energy spilling and modulation of energy use | [158,159,160] |
| Pathogens Tested | Phytobiotic | MIC Value | References |
|---|---|---|---|
| Salmonella spp. | Mustard allyl isothiocyanate | 60–100 ppm | [230] |
| Ilex paraguariensis (Yerba Mate) | 0.78–6.25 mg/mL | [231] | |
| Olive leaf extract | 35.313 mg/mL | [232] | |
| Psidium guajava (Goiabeira Vermelha) | 1.8–2.4 mg/mL | [233] | |
| Curcumin, carvacrol, and styrax liquidus | 125.0 µg/mL for carvacrol, 132.5 µg/mL for curcumin, 31.3 mg/mL for styrax liquidus | [234] | |
| Aloe secundiflora leaf ethyl acetate, Aloe rabaiensis leaf methanolic, and Aloe rabaiensis leaf ethyl acetate extracts | 0.3906 mg/mL | [235] | |
| Finger root, clove, lemongrass, cardamom | 0.049 to 0.781 µL/mL | [236] | |
| E. coli | Fibrauretine | 2.5–5 mg/mL | [237] |
| Olive leaf extract | 41.083 mg/mL | [232] | |
| Curcuma longa | 40 mg/mL | [238] | |
| Zanthoxylum armatum | 40 mg/mL | [238] | |
| Azadirachta indica | 20 mg/mL | [238] | |
| Thyme essential oil | 2 μg/L | [239] | |
| Campylobacter spp. | Gallic acid | 15.63 to 250 μg/mL | [240] |
| Allyl isothiocyanate | 0.63 to 5 ppm | [241] | |
| Carvacrol | 0.06 mg/mL | [242] | |
| Grape seed extract | 20 mg/L | [243] | |
| Chinese leek extracts | 2.0 mg/mL | [244] | |
| Listeria monocytogenes | Rhodomyrtus tomentosa ethanolic extract | 16-32 μg/mL | [245] |
| Olive leaf extract | 37.055 mg/mL | [232] | |
| Beetroot extract | 20 mg/mL | [246] | |
| Trans-cinnamaldehyde | 0.90 mM | [247] | |
| Carvacrol | 0.75 mM | [247] | |
| Thymol | 0.60 mM | [247] |
| Difficulties in the Use of Probiotics | Description | Solutions |
|---|---|---|
| Chemical and physical degradation | Susceptible to environmental factors such as light, heat, and pH variations | Use of nanocarriers such as liposomes and phytosomes to enhance stability, ensuring proper storage conditions |
| Interaction with other components | Multi-component formulations can cause degradation or loss of activity; possible reactions between components lead to degradation or toxic metabolites | Careful formulation and use of advanced delivery systems |
| Bioavailability issues | Poor solubility and stability lead to low bioavailability | Nanocarrier systems to improve solubility and targeted delivery |
| Environmental and storage conditions | Susceptible to deterioration during storage | Advanced drug delivery systems to protect from degradation |
| Microbial contamination | Ensuring stability and pathogenic microorganisms degrading active constituents | Robust quantification and quality control methods |
| Regulatory and quality control | Ensuring stability and consistency is challenging due to the complex nature | Novel decontamination approaches |
| Extraction and preparation | Impact of extraction methods on compound stability | Advanced extraction techniques |
Disclaimer/Publisher’s Note: The statements, opinions and data contained in all publications are solely those of the individual author(s) and contributor(s) and not of MDPI and/or the editor(s). MDPI and/or the editor(s) disclaim responsibility for any injury to people or property resulting from any ideas, methods, instructions or products referred to in the content. |
© 2025 by the authors. Licensee MDPI, Basel, Switzerland. This article is an open access article distributed under the terms and conditions of the Creative Commons Attribution (CC BY) license (https://creativecommons.org/licenses/by/4.0/).
Share and Cite
Rachwał, K.; Gustaw, K. Plant-Derived Phytobiotics as Emerging Alternatives to Antibiotics Against Foodborne Pathogens. Appl. Sci. 2025, 15, 6774. https://doi.org/10.3390/app15126774
Rachwał K, Gustaw K. Plant-Derived Phytobiotics as Emerging Alternatives to Antibiotics Against Foodborne Pathogens. Applied Sciences. 2025; 15(12):6774. https://doi.org/10.3390/app15126774
Chicago/Turabian StyleRachwał, Kamila, and Klaudia Gustaw. 2025. "Plant-Derived Phytobiotics as Emerging Alternatives to Antibiotics Against Foodborne Pathogens" Applied Sciences 15, no. 12: 6774. https://doi.org/10.3390/app15126774
APA StyleRachwał, K., & Gustaw, K. (2025). Plant-Derived Phytobiotics as Emerging Alternatives to Antibiotics Against Foodborne Pathogens. Applied Sciences, 15(12), 6774. https://doi.org/10.3390/app15126774

