Relationship Between Front Crawl Trunk Incline and Lower Limbs’ Biomechanics in Non-Expert Swimmers
Abstract
1. Introduction
2. Materials and Methods
2.1. Participants
2.2. Study Design and Data Collection
2.3. Statistical Procedures
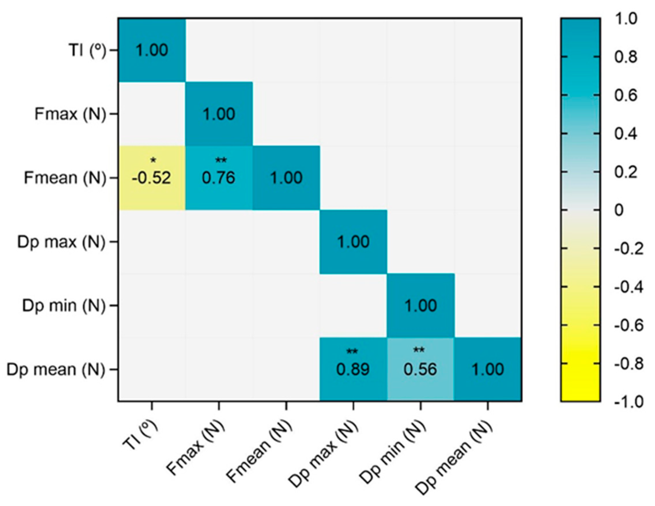
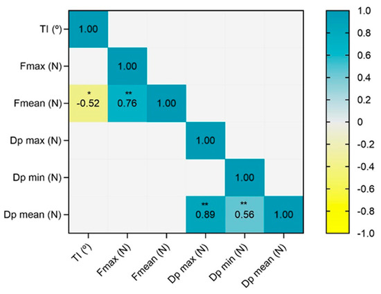
3. Results
4. Discussion
5. Conclusions
Author Contributions
Funding
Institutional Review Board Statement
Informed Consent Statement
Data Availability Statement
Acknowledgments
Conflicts of Interest
References
- Toussaint, H.M.; Beek, P.J. Biomechanics of Competitive Front Crawl Swimming. Sports Med. 1992, 13, 8–24. [Google Scholar] [CrossRef] [PubMed]
- Barbosa, T.M.; Marinho, D.A.; Costa, M.J.; Silva, A.J. Biomechanics of Competitive Swimming Strokes. In Biomechanics in Applications; InTech: Rijeka, Croatia, 2011; pp. 367–388. [Google Scholar]
- Zamparo, P.; Gatta, G.; Pendergast, D.; Capelli, C. Active and Passive Drag: The Role of Trunk Incline. Eur. J. Appl. Physiol. 2009, 106, 195–205. [Google Scholar] [CrossRef]
- Yanai, T.; Wilson, B.D. How Does Buoyancy Influence Front-Crawl Performance? Exploring the Assumptions. Sports Technol. 2008, 1, 89–99. [Google Scholar] [CrossRef]
- Washino, S.; Murai, A.; Mankyu, H.; Ogita, F.; Kanehisa, H.; Yoshitake, Y. Lower Lung-Volume Level Induces Lower Vertical Center of Mass Position and Alters Swimming Kinematics during Front-Crawl Swimming. J. Biomech. 2021, 121, 110428. [Google Scholar] [CrossRef] [PubMed]
- Washino, S.; Murai, A.; Mankyu, H.; Ogita, F.; Kanehisa, H.; Yoshitake, Y. Projected Frontal Area and Its Components during Front Crawl Depend on Lung Volume. Scand. J. Med. Sci. Sports 2022, 32, 1724–1737. [Google Scholar] [CrossRef]
- Zamparo, P.; Capelli, C.; Pendergast, D. Energetics of Swimming: A Historical Perspective. Eur. J. Appl. Physiol. 2011, 111, 367–378. [Google Scholar] [CrossRef]
- Hollander, A.P.; de Groot, G.; van Ingen, S.G.J.; Kahman, R.; Toussaint, H.M. Contribution of the Legs in Front Crawl Swimming. In Swimming V.; Ungerechts, B.E., Reischle, K., Wilke, K., Eds.; Human Kinetics: Champaign, IL, USA, 1988; pp. 39–43. [Google Scholar]
- Deschodt, V.; Arsac, L.; Rouard, A. Relative Contribution of Arms and Legs in Human to Propulsion in 25 m Sprint Front Crawl Swimming. Eur. J. Appl. Physiol. 1999, 80, 192–199. [Google Scholar] [CrossRef]
- Bartolomeu, R.F.; Costa, M.J.; Barbosa, T.M. Contribution of Limbs’ Actions to the Four Competitive Swimming Strokes: A Nonlinear Approach. J. Sports Sci. 2018, 36, 1836–1845. [Google Scholar] [CrossRef] [PubMed]
- Gourgoulis, V.; Boli, A.; Aggeloussis, N.; Toubekis, A.; Antoniou, P.; Kasimatis, P.; Vezos, N.; Michalopoulou, M.; Kambas, A.; Mavromatis, G. The Effect of Leg Kick on Sprint Front Crawl Swimming. J. Sports Sci. 2014, 32, 278–289. [Google Scholar] [CrossRef]
- Figueiredo, P.; Nazario, R.; Sousa, M.; Pelarigo, J.G.; Vilas-Boas, J.P.; Fernandes, R. Kinematical Analysis along Maximal Lactate Steady State Swimming Intensity. J. Sports Sci. Med. 2014, 13, 610–615. [Google Scholar]
- Zamparo, P.; Pendergast, D.R.; Termin, A.; Minetti, A.E. Economy and Efficiency of Swimming at the Surface with Fins of Different Size and Stiffness. Eur. J. Appl. Physiol. 2006, 96, 459–470. [Google Scholar] [CrossRef] [PubMed]
- Costa, M.J.; Barbosa, T.M.; Morais, J.E.; Miranda, S.; Marinho, D.A. Can Concurrent Teaching Promote Equal Biomechanical Adaptations at Front Crawl and Backstroke Swimming? Acta Bioeng. Biomech. 2017, 19, 81–88. [Google Scholar] [PubMed]
- Costill, D.; Kovaleski, J.; Porter, D.; Fielding, R.; King, D. Energy Expenditure during Front Crawl Swimming: Predicting Success in Middle-Distance Events. Int. J. Sports Med. 1985, 6, 266–270. [Google Scholar] [CrossRef]
- Cortesi, M.; Di Michele, R.; Gatta, G. Effects of Intracyclic Velocity Variations on the Drag Exerted by Different Swimming Parachutes. J. Strength Cond. Res. 2019, 33, 531–537. [Google Scholar] [CrossRef]
- Malina, R.M. Adherence to Physical Activity from Childhood to Adulthood: A Perspective from Tracking Studies. Quest 2001, 53, 346–355. [Google Scholar] [CrossRef]
- Ganzevles, S.P.M.; Beek, P.J.; Daanen, H.A.M.; Coolen, B.M.A.; Truijens, M.J. Differences in Swimming Smoothness between Elite and Non-Elite Swimmers. Sports Biomech. 2023, 22, 675–688. [Google Scholar] [CrossRef]
- Van Hooren, B.; Jukic, I.; Cox, M.; Frenken, K.G.; Bautista, I.; Moore, I.S. The Relationship between Running Biomechanics and Running Economy: A Systematic Review and Meta-Analysis of Observational Studies. Sports Med. 2024, 54, 1269–1316. [Google Scholar] [CrossRef]
- Matsuura, Y.; Matsunaga, N.; Iizuka, S.; Akuzawa, H.; Kaneoka, K. Muscle Synergy of the Underwater Undulatory Swimming in Elite Male Swimmers. Front. Sports Act. Living 2020, 2, 62. [Google Scholar] [CrossRef] [PubMed]
- Chatard, J.C.; Lavoie, J.M.; Bourgoin, B.; Lacour, J.R. The Contribution of Passive Drag as a Determinant of Swimming Performance. Int. J. Sports Med. 1990, 11, 367–372. [Google Scholar] [CrossRef]
- Kadi, T.; Washino, S.; Tsunokawa, T.; Narita, K.; Mankyu, H.; Murai, A.; Tamaki, H. Role of Kicking Action in Front Crawl: The Inter-Relationships between Swimming Velocity, Hand Propulsive Force and Trunk Inclination. Sports Biomech. 2024, 22, 1–19. [Google Scholar] [CrossRef]
- Narita, K.; Nakashima, M.; Takagi, H. Effect of Leg Kick on Active Drag in Front-Crawl Swimming: Comparison of Whole Stroke and Arms-Only Stroke during Front-Crawl and the Streamlined Position. J. Biomech. 2018, 76, 197–203. [Google Scholar] [CrossRef] [PubMed]



| Variables | Mean ± SD | Max | Min |
|---|---|---|---|
| Kinematics | |||
| TI (°) | 15.64 ± 3.16 | 25.9 | 12.5 |
| v (m/s) | 1.51 ± 0.14 | 1.71 | 1.21 |
| SR (Hz) | 0.88 ± 0.12 | 1.17 | 0.68 |
| SL (m) | 1.74 ± 0.09 | 2.17 | 1.29 |
| SI (m2/s) | 2.66 ± 0.66 | 3,42 | 1.75 |
| KneeMax (°) | 178.31 ± 2.68 | 180.00 | 172.00 |
| KneeMin (°) | 121 ± 11.45 | 141.75 | 102.70 |
| Knee ROM (°) | 56.83 ± 10.83 | 72.65 | 38.25 |
| DurKick (s) | 0.41 ± 0.14 | 0.96 | 0.30 |
| DurDesc (s) | 0.18 ± 0.07 | 0.46 | 0.13 |
| DurAsc (s) | 0.22 ± 0.07 | 0.50 | 0.16 |
| Kinetics | |||
| Fmax (N) | 130.31 ± 21.78 | 168.80 | 88.55 |
| Fmean (N) | 61.19 ± 12.78 | 83.52 | 38.98 |
| Dp max (N) | 160.02 ± 15.20 | 186.99 | 131.15 |
| Dp min (N) | 110.13 ± 13.77 | 134.43 | 81.86 |
| Dp mean (N) | 135.09 ± 11.00 | 153.99 | 115.54 |
Disclaimer/Publisher’s Note: The statements, opinions and data contained in all publications are solely those of the individual author(s) and contributor(s) and not of MDPI and/or the editor(s). MDPI and/or the editor(s) disclaim responsibility for any injury to people or property resulting from any ideas, methods, instructions or products referred to in the content. |
© 2025 by the authors. Licensee MDPI, Basel, Switzerland. This article is an open access article distributed under the terms and conditions of the Creative Commons Attribution (CC BY) license (https://creativecommons.org/licenses/by/4.0/).
Share and Cite
Costa, M.J.; Machado, M.L.; Pserchia, P.-A.; Hamaoui, A.; Santos, C.C. Relationship Between Front Crawl Trunk Incline and Lower Limbs’ Biomechanics in Non-Expert Swimmers. Appl. Sci. 2025, 15, 6676. https://doi.org/10.3390/app15126676
Costa MJ, Machado ML, Pserchia P-A, Hamaoui A, Santos CC. Relationship Between Front Crawl Trunk Incline and Lower Limbs’ Biomechanics in Non-Expert Swimmers. Applied Sciences. 2025; 15(12):6676. https://doi.org/10.3390/app15126676
Chicago/Turabian StyleCosta, Mário J., Marta L. Machado, Paul-Adrien Pserchia, Alain Hamaoui, and Catarina C. Santos. 2025. "Relationship Between Front Crawl Trunk Incline and Lower Limbs’ Biomechanics in Non-Expert Swimmers" Applied Sciences 15, no. 12: 6676. https://doi.org/10.3390/app15126676
APA StyleCosta, M. J., Machado, M. L., Pserchia, P.-A., Hamaoui, A., & Santos, C. C. (2025). Relationship Between Front Crawl Trunk Incline and Lower Limbs’ Biomechanics in Non-Expert Swimmers. Applied Sciences, 15(12), 6676. https://doi.org/10.3390/app15126676

