Abstract
This study explores the multifaceted aspects of sushi rice preparation, including the washing, soaking, and cooking processes and their impact on the texture, microbial, colour, and sensory properties of rice. Selenio rice, a premium short-grain rice of the Japonica variety, was analyzed for variations in amylose content and viscosity profiles. The study highlights how the rice’s compositional characteristics, particularly the amylose-to-amylopectin ratio, influence gelatinisation and cooling behaviour. The study examined washing duration, water-to-rice ratios, soaking times, and seasoning effects on product quality. The results demonstrated that washing rice for 230 s was optimal for the nigiri-forming process, while extending soaking beyond 3 min provided no additional water absorption benefits. Water temperature during soaking (10–50 °C) had minimal impact on water absorption. The addition of a vinegar mix reduced the pH to below 4.5, improving shelf life and sensory properties. During storage, textural profile analysis revealed that hardness and chewiness increased while adhesiveness decreased across all samples, with lower water-to-rice ratios resulting in firmer rice that maintained structural integrity better during storage. Sensory evaluation showed declining scores for odour, taste, texture, and overall acceptability over the 10-day storage period, though colour and appearance were less affected. Microbial loads remained relatively low across all samples during storage, and rice colour showed minimal changes over time. These findings contribute significantly to optimizing sushi rice production processes, ensuring consistent quality and desirable textural attributes throughout storage while advancing the broader fields of rice research and culinary science.
1. Introduction
Sushi is a traditional Japanese dish with a history dating back many centuries [1]. It has been successfully culturally adapted, and is currently a popular dish in countries all around the world [2]. The Japonica subspecies (Oryza sativa L. subsp. japonica), often called sushi rice, is the preferred choice for making sushi [3]. High-quality sushi rice is characterized by short, rounded grains that develop a sticky and chewy texture upon cooking. When cooled, the grains maintain a compact, soft structure, ensuring suitability for moulding into traditional sushi forms [4]. The specific textural properties of the sushi rice are due to its higher amylopectin content, which provides a sticky characteristic when cooked [5,6], while a higher content of amylose is generally associated with rice of a firmer texture, less prone to sticking [7]. In the research by Li et al. [8], it was demonstrated that rice varieties with smaller amylose molecules and a greater proportion of long amylose chains tend to exhibit a firmer texture following cooking.
The tradition of washing rice before cooking is commonly applied in the sushi industry, primarily to remove dust and impurities. In studies on the subject, it has been indicated that rinsing rice is vital for making rice products, and the number of required rinses depends on the rice variety [9,10]. According to Yu et al. [11], the act of washing rice has been identified as a means to eliminate lipids adhering to the surface of raw rice grains. Consequently, this procedure assumes significance because it serves as an effective method for mitigating lipid oxidation, primarily by the removal of free fatty acids, thereby contributing to the prevention of off-flavour development in cooked rice.
Soaking is a significant processing stage prior to cooking, since the process itself can help avoid uneven cooking between the surface and inner part of the rice. The even distribution of water during soaking ensures a reduction in cooking time and a decrease in energy consumption. Additionally, during soaking, foreign substances such as excess starch and free fatty acids are removed from the grain surface, resulting in less flavour deterioration [12,13].
The cooking and textural characteristics of rice are determined by a comprehensive set of interrelated parameters, including multiple stages of rice production and preparation. These critical factors comprise rice varieties (Pusa Basmati, Swarna), the conditions and techniques employed during drying and storage processes, the initial moisture content of the rice, amylose content, starch type, the extent of milling, water-to-rice ratio, as well as pre- and post-cooking processing. Each of these parameters substantively contributes to the ultimate sensory and textural properties of the cooked rice [14].
Domestic rice preparation methodologies typically include two primary cooking strategies: one characterized by the utilization of excess water, and an alternative approach involving a precisely predetermined water amount with a standardized rice-to-water ratio. In the latter method, the water is completely absorbed during the cooking process, resulting in a more controlled and predictable final rice preparation outcome [15]. Increasing the amount of water during thermal processing can mitigate the intensity of retrogradation phenomena while simultaneously enhancing the perception of juiciness, thereby counteracting undesirable textural changes in the product.
Extensive research has been conducted on the characterization of the physicochemical properties, cooking processes, sensory properties, and instrumental textural measurements of rice [16,17,18,19,20]. Despite extensive research on rice’s physicochemical properties and its behaviour during processing, limited studies focus specifically on sushi rice and the factors affecting its quality throughout production and storage. Most existing studies emphasize general rice properties without addressing sushi-rice-specific parameters such as texture profile analysis, nigiri formation, microbial analysis, and sensory acceptability. The importance of this work lies in its systematic approach to quantifying the effects of washing duration, soaking time, water temperature, water-to-rice ratios, and seasoning on both quality and storage stability. Understanding these aspects is crucial for improving industrial sushi rice processing, reducing waste due to improper hydration, and ensuring consistent product quality. Given the increasing global demand for sushi, optimizing these parameters can significantly impact the food industry. By identifying optimal processing conditions, this research provides valuable insights for industrial sushi production, where standardization, efficiency, and consistent quality are paramount.
The research hypothesized that optimizing sushi rice processing parameters including washing duration, soaking time, water temperature, water-to-rice ratio, and seasoning will significantly enhance the quality and storage stability of sushi rice, while maintaining acceptable sensory characteristics throughout a 10-day storage period. It is proposed that the optimal washing duration will effectively remove excess surface starch and impurities while preserving the cohesiveness necessary for sushi formation. Soaking time and water temperature are expected to influence water absorption and final texture, with longer soaking durations potentially offering higher water absorption. The water-to-rice ratio is anticipated to affect the firmness and structural integrity of the rice during storage.
Therefore, the aim of this study was to investigate the effect of processing parameters, specifically washing duration, soaking time, water temperature, water-to-rice ratio, and vinegar seasoning, on the quality and shelf life of sushi rice. Additionally, the study aimed to understand how inter-annual variability in rice composition, particularly amylose content, affects starch gelatinization behaviour. The goal was to generate scientifically grounded recommendations to optimize sushi rice production. This study is important to the ready-to-eat food industry because it addresses critical gaps in the scientific understanding of sushi rice production by providing quantitative measurements of processing parameters that have traditionally been guided only by experience and cultural practices.
2. Materials and Methods
2.1. Initial Characterization of Sushi Rice
Sushi rice (Oryza sativa L. subsp. japonica) of the Selenio variety was obtained from InnoAim Sp. z o.o. (Stalowa Wola, Poland). The rice was cultivated in Italy. The dry rice samples were ground using a spice mill (Santos P1, Lyon, France), with each batch undergoing two grinding cycles. The resulting flour was used for subsequent analyses. The initial characterization of the rice was conducted in fall 2020. All other experiments were carried out on rice harvested in spring 2020 and performed between fall 2020 and spring 2021 unless otherwise stated. Amylose content was determined spectrophotometrically, following the method described by Avaro et al. [21], with modified calibration curves which were adjusted using potato amylose (Sigma-Aldrich, St. Louis, MO, USA, CAS 9005-82-7) and maize amylopectin (Sigma-Aldrich, St. Louis, MO, USA, CAS 9037-22-3). Milled rice grains were ground into a fine powder using a faience pestle and mortar. The powder was collected in a paper envelope and dried in an oven at 135 °C for 1 h. After drying, 100 ± 0.01 mg of the rice powder was accurately weighed and transferred to a conical flask. Subsequently, 1 mL of 95% ethanol and 9 mL of 1 M NaOH were added to the flask to prepare the sample for analysis. The analysis for each rice sample was performed in triplicate. The calibration curve ranged from 0% to 100%, with calibration points at 10% intervals. Each point was measured in triplicate, and the average of the three replicates was used for the final calculation. The calibration curve exhibited a degree of linearity, with an R2 value of 0.9972. The gelatinisation examination of the rice flour employed a modified Brabender approach using a rotational rheometer equipped with a Vane-type sensor. Initial attempts using standard Brabender parameters (5% suspension, 25 °C to 96 °C heating at 1.5 °C/min, 10 min hold at 96 °C, cooling to 25 °C at 1.5 °C/min) proved insufficient for complete gelatinisation. Starch requires at least 65% water for complete gelatinization [22]. While the 5% suspension used in the original protocol met this requirement, the shortened heating phase limited water absorption, hindering full gelatinization. To address this, the heating time was extended to allow for sufficient molecular mobility for amylose leaching [23]. Therefore, the heating phase was extended to 3000 s, while the original cooling rate was maintained to ensure complete gelatinization.
2.2. Investigating the Sushi Rice Production Process
2.2.1. Washing and Soaking Sushi Rice
An automated rice-washing machine, the Ricemini 401 (Rice Techno Products, Saitama, Japan), was used for rice washing. Each time, exactly 0.75 kg of rice was washed with varying washing time from 200 to 350 s with a 30 s time interval between the analyzed groups (W1–W6). Following this, the rice underwent a soaking process, during which it was placed in stainless steel containers, covered with water, and left to soak for a specified time between 0 and 15 min, with a 3 min time interval between groups. Once the soaking was complete, the water was drained. The rice was then allowed to continue draining for an additional 15 min. Rice yield during soaking was determined by pre- and post-soak weights. The initial weight is calculated using the equation:
2.2.2. Cooking, Seasoning and Rice Formation
Cooking was performed in an induction rice cooker with an automated cooking parameter configuration (Panasonic SR-PGC54, Osaka, Japan). The rice-cooking methodology incorporated five distinct water-to-rice ratios: 1.3:1 (R1); 1.4:1 (R2); 1.6:1 (R3); 1.8:1 (R4) and 2:1 (R5).
After cooking, water was allowed to evaporate, and the rice was then combined with a vinegar solution. The vinegar solution was formulated using sucrose, rice vinegar, and salt. Four different vinegar-mix ratios were evaluated and their composition is presented in Table 1. Each mix was incorporated into the rice at quantities of 120 g and 180 g per 1 kg of cooked rice. The cooked rice was combined with the vinegar solution using an automated rice mixer (Robotic Sushi FTN-550R, Daegu City, Republic of Korea). The rice mixture was then cooled in stainless steel GN containers. Forming the rice into a shape for shari-dama was carried out using a semi-automatic Fujiseiki TSDG-4000 machine (Fukuoka, Japan). Nigiri samples were formed at temperatures of cooked rice ranging from 10 °C to 60 °C, with 10 °C increments (10, 20, 30, 40, 50, and 60 °C). The weight of five randomly selected pieces of nigiri were measured for each temperature condition. The weight of each piece was determined through triplicate measurements. Finally, the prepared rice was stored in sealed containers, which were packaged using the TraySealer (Mini Oceania, Italian Pack, Como, Italy) for the analyses of rice quality during storage.
Table 1.
Composition of vinegar mixes and proximate composition of rice [%].
The pH of the seasoned, homogenized cooked rice samples was determined by mixing 10 g of the sample with 10 mL of distilled water, followed by measurement using an Elmetron CP-505 pH metre (Zabrze, Poland). Before conducting the measurement, the pH metre was calibrated using standard phosphate buffers with pH values of 4.00 and 7.00, and adjustments for temperature were made.
2.3. Shelf-Life Examination of Cooked Sushi Rice
2.3.1. Texture Profile Analysis (TPA)
The TA-XT Plus texturometer (Stable Microsystems, Godalming, UK), equipped with the Ottawa cell and a plunger, was used to measure texture parameters. For each test, 100 g of rice was placed on the 3 mm diameter bar plate of the Ottawa cell. A double compression test was then performed, compressing the sample to 90% of its initial height at a rate of 3 mm/s. All measurements were performed at room temperature (20 °C ± 1) and repeated five times for each sample type. The force–deformation relationship during the double compression was analyzed to determine key parameters including hardness, adhesiveness, chewiness, and elasticity.
2.3.2. Sensory Evaluation
In this study, 10 trained panellists evaluated the samples using a descriptive method. The assessed sensory attributes included aroma, colour and appearance, taste, texture, and overall acceptability. The panel was composed of graduate students and staff from the Department of Animal Products Processing at the University of Agriculture in Krakow. All members, aged between 22 and 40 years (four males and six females), were free from food allergies and respiratory issues and had prior experience in descriptive sensory evaluation. Panellists were trained in the principles of sensory analysis specific to cooked rice, including aroma, appearance, colour, taste, texture, and overall acceptability. Written consent was obtained from all participants prior to their involvement in the study. The sensory evaluation was conducted using a 5-point descriptive scale for aroma, colour and appearance, texture, and taste, and a 9-point hedonic scale for overall impression. The evaluation demonstrates that high-quality sushi rice should maintain specific sensory attributes: a typical pleasant aroma, bright visual appearance, a juicy and delicate texture, and a balanced sweet–sour flavour profile. Scores of 5 and 4 indicate excellent to good quality with desirable characteristics. Rice with a score of 3 points is considered borderline, exhibiting neutral characteristics with some slight defects but no major faults. Any rice scoring 2 points or below is deemed unacceptable, displaying problems with smell, appearance, texture, and taste that become increasingly severe at the lowest rating. The trained descriptive panel also evaluated the overall acceptability of the cooked rice using a 9-point hedonic scale (where 1 represented “dislike extremely”, 5 indicated “neither like nor dislike”, and 9 meant “like extremely”). This assessment was conducted independently, without allowing other sensory attributes to influence their judgement.
2.3.3. Microbiological Analysis
Microbiological count was conducted using total viable count (TVC) analysis following the standardized ISO 4833-1:2013 methodology [24] on plate count agar (PCA) (Biomaxima, Lublin, Poland). Cooked rice samples (10–11 g) underwent homogenization with maximum recovery diluent at a 1:9 ratio utilizing a Stomacher device for 2 min. Sequential decimal dilutions were prepared, and samples were analyzed employing the pour plate technique using PCA (Sigma-Aldrich, St. Louis, MO, USA), with subsequent incubation at 30 °C for 48 h. Microbiological assessments were performed on days 1, 4, and 10 during refrigerated storage at 4 °C, with results quantified and expressed as logarithmic colony-forming units per gram (log cfu/g) of rice sample. The microbiological analyses were performed in spring 2025 on rice harvested in fall 2024.
2.3.4. Colour Analysis
The colour characterization of cooked rice was performed utilizing the Konica Minolta CM-3500d spectrophotometer (Osaka, Japan). The analysis employed the CIELAB colour-space parameters (L*, a*, and b*), with the instrument calibrated according to the manufacturer’s instructed protocol using standard black and white enamel. Measurements were conducted in reflectance mode under illuminant D lighting conditions, with a standardized observer angle of 10°. Each sample underwent three independent experimental replicates, with three individual measurements performed per replicate. The colour analyses were performed in spring 2025 on rice harvested in fall 2024.
2.4. Statistical Analysis
Data organization and preliminary analysis were conducted using Microsoft Excel 2019 (Microsoft Corporation, Redmond, WA, USA). Statistical analysis was carried out using the R software package, version 4.2.1. To determine significant mean differences between groups, two-way ANOVA was performed using Tukey’s post hoc test (p < 0.05). For washing time, soaking duration, and texture analysis, the significance of differences was determined separately. Relationships between various parameters were analyzed using Pearson’s correlation coefficients.
3. Results and Discussion
3.1. Initial Characterization of Sushi Rice
The rice sample displayed a proximate composition to that declared by the manufacturer (Table 1). An analysis of rice samples from consecutive harvest seasons revealed significant variations in their initial compositional characteristics. The amylose content, a crucial parameter influencing sushi rice functionality and quality, exhibited marked differences between harvests. Samples from the 2020 harvest yielded an amylose content of 20.20 ± 0.8%, whereas those from the 2019 harvest demonstrated a notably lower amylose content of 15.10 ± 0.2%. This inter-annual variation in amylose content suggests potential influences of environmental factors or agricultural practices on rice starch composition [25]. Such differences in amylose-to-amylopectin ratio are known to have significant impact on the physicochemical properties, cooking behaviour, and textural attributes of rice [26]. In a study conducted by Mohapatra and Bal [14], it was revealed that cooking and textural properties depend more on the cultivars’ chemical composition than physical characteristics. They found that high-amylose rice cooks faster than low-amylose varieties. Wang et al. [27] reported that amylose content in Japonica rice contributes to heterogeneity and can reduce starch product quality by increasing gelatinisation temperature and promoting retrogradation.
In Figure 1, the Brabender viscosity profiles are illustrated for two rice samples from different harvest years, alongside the applied temperature regime. The temperature profile, depicted by the purple curve, demonstrates the standardized heating and cooling cycles employed for both samples, ensuring comparable experimental conditions. The green curves represent the viscosity profiles of the rice starch suspensions during thermal processing. Sample A (20% amylose, 2020 harvest) exhibits a gradual viscosity increase with temperature elevation, reaching a peak (approximately 0.55 Pa·s) at the point of starch gelatinisation. Subsequently, a decrease in viscosity (approximately 0.13 Pa·s) is observed, indicative of starch granule disruption under prolonged thermal exposure. Upon cooling, a modest viscosity increase (approximately 1.35 Pa·s) is noted. In contrast, Sample B (15% amylose, 2019 harvest) displays a higher peak viscosity (approximately 2.9 Pa·s), followed by a more pronounced viscosity reduction (approximately 1.8 Pa·s) post peak, suggesting enhanced granule breakdown. Both samples show viscosity increases during the cooling phase, with Sample B demonstrating a more significant rise (approximately 5.1 Pa·s).
Figure 1.
Gelatinisation profiles for rice harvested in 2019 (A) and 2020 (B).
The cooling phase for this sample is characterized by a more substantial viscosity increase, resulting in a higher terminal viscosity compared to Sample A. The observed variations in viscosity profiles can be attributed to the differential amylose content between the samples. The higher amylose content (20%) in the 2020 sample restricts granule swelling and promotes the formation of a more rigid gel structure upon cooling. Conversely, the lower amylose content (15%) in the 2019 sample facilitates extensive granule swelling, manifesting as higher peak viscosity and more significant breakdown during continued heating. The final viscosity disparities further reflect the influence of amylose–amylopectin ratios. The 2019 sample’s higher terminal viscosity is consistent with its elevated amylopectin content, which forms a more viscous gel. In contrast, the 2020 sample shows a more stable viscosity profile during cooling, aligning with the characteristic behaviour of higher amylose content in forming a more rigid gel structure.
A study conducted by Zhu et al. [28] examined changes in starch fine structure and physicochemical properties in japonica, indica, and indica–japonica hybrid rice varieties after one year of storage. Their research demonstrated that storage leads to decreased peak viscosity and increased gelatinization temperatures. Another study conducted by Hu et al. [29] demonstrated that rice stored for two years exhibited significantly decreased viscosity. Specifically, their research documented that after two years of storage, the peak viscosity of rice declined substantially from 2735.00 mPa·s to 2163.67 mPa·s. These changes indicate reduced starch-granule swelling capacity and enhanced thermal stability, accounting for the lower viscosity observed in aged rice samples.
There is a significant impact of amylose content on the gelatinisation and pasting properties of rice starch, as evidenced by the distinct Brabender viscosity profiles. The 20% amylose rice exhibits controlled swelling and reduced breakdown during heating, resulting in a more stable gel upon cooling. In contrast, the 15% amylose rice demonstrates higher peak viscosity and more pronounced breakdown, culminating in a higher final viscosity due to the amylopectin-induced viscous gel formation.
While amylose content significantly influences rice starch pasting properties, a 5% difference alone cannot fully explain substantial viscosity variations [30]. Starches with higher amylose content generally exhibit higher gelatinization temperatures and lower peak viscosities. However, these effects are influenced by additional factors, including amylopectin molecular structure and residual enzyme presence. Research demonstrates that rice starches combining higher amylose content with specific amylopectin structures exhibit reduced swelling power and lower paste viscosities [28,31].
These findings highlight the pronounced decrease in viscosity observed in the 2019 sample compared to in the 2020. The difference is likely due to the combined effects of prolonged storage on starch structure and functionality. While a 5% difference in amylose content contributes to variations in gelatinization behaviour, storage-induced changes in starch molecular structure and physicochemical properties play a more significant role in the observed viscosity differences between the two samples.
3.2. Investigating the Sushi Rice Production Process
3.2.1. Washing and Soaking Sushi Rice
The weight variation in rice samples subjected to a combination of different washing durations and subsequent soaking times are presented in Table 2. Washing time significantly (p < 0.05) affected rice weight gain, with notable differences observed between W1 and W3, W4, and W6. Increasing washing time from 200 to 260–350 s appears to improve weight gain (1–2%). Although comparisons such as W1 and W2, as well as W3, W4, and W6, showed no significant differences (p < 0.05), the results indicate that washing duration does influence rice weight gain, particularly within certain time intervals. The working hypothesis was that increasing the rinsing time would result in more water being absorbed during the washing process itself, which would reduce the amount of water that could be absorbed during the soaking process. This hypothesis turned out to be incorrect. On the other hand, it was found that with longer washing times (from 4 min 50 s upwards), the rice stuck more in the rice-forming device, which resulted in nigiri balls with a more irregular shape and weight, requiring the machine to be stopped more often in order to clear out the stuck rice.
Table 2.
Rice weight gain depending on length of soaking and rinsing process.
For all washing groups (Table 2), the rice exhibits a gradual rise in weight gain as soaking time extends from 15 to 45 min. However, no significant differences (p < 0.05) were noted beyond 45 min. This pattern implies that rice achieves its peak absorption capacity within 30–45 min of soaking. Prolonged soaking beyond this period may result in minor weight reduction, likely caused by excessive water absorption (overhydration) or the breakdown and release of starches from the grains. Overall, while minor differences exist between washing groups and soaking durations, the data does not show a statistically significant (p < 0.05) or consistent trend in weight gain.
For culinary applications such as sushi rice preparation, washing and soaking processes should aim for balanced hydration, avoiding excessive washing or overly long soaking to maintain grain integrity and prevent undesirable textural changes [11]. Therefore, it was found in the study that rice washing for 230 s was enough to reach a good quality product, and increasing this time not only does not benefit rice quality but might even cause problems during the later forming process. Based on the washing time results, we selected a 230 s washing duration for subsequent soaking and shelf-life quality assessment of sushi rice.
Since no differences in rice weight gain were observed during the 15–75 min soaking period, we examined how shorter soaking durations (0–15 min) impact water absorption. We selected these specific time intervals to examine how both short and extended soaking durations affect rice hydration. In Figure 2, it is depicted how varying periods of soaking influence water absorption in sushi rice, consequently altering its total weight. During the initial soaking period (0–3 min), the rice showed a rapid increase in weight, suggesting a quick absorption phase. Initial rice weight increased from 0.75 kg to 0.84 kg during the first 3 min of soaking, demonstrating rapid water uptake. In a comparable study conducted by Kashaninejad et al. [32] examining the hydration kinetics of rice, it was found that moisture content increased rapidly within the first 5 min in Tarom Mahali (a long variety of rice). The researchers suggested this could be attributed to the presence of surface cracks and internal fissures in the grains, which likely formed during the milling process. In a study by Choi et al. [33], water absorption in Oryza sativa L. rice increased significantly during the first 20 min of soaking, with no further notable increase observed after 30 min.
Figure 2.
Effect of soaking duration on rice weight gain (kg). Values are presented as means with standard error bars. Bars labelled with different superscript letters indicate significant differences between treatments (p < 0.05).
During the soaking period of 3 to 6 min, the weight of the rice stabilized, indicating no further significant increase in water absorption. For longer soaking durations (6–15 min), the weight remained unchanged, suggesting that the grains reached a saturation point and can no longer absorb additional water under these conditions.
The findings demonstrate that extending soaking time beyond 3 min does not provide additional benefits in terms of water absorption. This information can be utilized during industrial rice preparation, in which time efficiency is important. Knowing that rice reaches near-maximum absorption by 3 min can help in planning cooking processes, ensuring the rice is adequately hydrated without unnecessary delay.
The impact of water temperature on weight gain during rice soaking was investigated by soaking rice in water at temperatures ranging from 10 to 50 °C for 30 min. As illustrated in Figure 3, the initial rice weights after soaking were consistent across all temperature conditions. The uniformity of the results demonstrates that temperature had minimal impact on water absorption.
Figure 3.
Rice weight gain after soaking in water at different temperatures. Values are presented as means with standard error bars. Bars labelled with the same superscript letters indicate no significant differences between treatments (p < 0.05).
Recent research by Wang et al. [34] examined water absorption in Indica rice when soaked at various temperatures (10 °C, 20 °C, 30 °C, and 40 °C) for different time periods (ranging from 10 to 360 min). Their results demonstrated that higher temperatures accelerated water absorption. For instance, after just 10 min of soaking, water absorption increased from 17.45% at 10 °C to 20.75% at 40 °C. This indicates that water absorption rates in rice grains increase with temperature until reaching a saturation point. Interestingly, our findings contradict these results, as our data showed no significant differences in water absorption between different temperatures, despite the expectation that warmer water would enhance absorption. However, water absorption during rice soaking is influenced not only by temperature but also by rice variety and compositional characteristics [35].
The practical implication of this finding is that rice can be soaked in regular tap water without temperature adjustment, as the absorption process reaches equilibrium regardless of water temperature within this range.
3.2.2. Seasoning
The addition of vinegar mix serves several functions in the case of sushi rice. It is responsible for the specific sensory qualities of the product, giving it the proper taste and aroma. In addition, by lowering the pH of rice, it extends its shelf-life during storage. The addition of sugar and salt to the vinegar mix serves primarily to balance the acidity of the vinegar while enhancing the overall flavour of the rice [36]. Sucrose inhibits retrogradation at low concentrations (<40%), but at higher concentrations (>40%) it acts as a retrogradation promoter. Additionally, the co-crystallization of an NaCl solution with amylopectin leads to a change in the molecular structure of amylopectin, thus inhibiting retrogradation [6]. The findings obtained by [37] demonstrated that reducing the pH to 4 significantly slows down the process of retrogradation compared to higher pH levels. Also, Lee et al. [38] reported that acidic conditions disrupt starch’s crystalline structure and inhibit retrogradation, while alkaline environments (pH > 7) increase crystallinity. Similarly, Chou et al. [39] confirmed that low pH (<4) inhibits starch retrogradation. This reduction in retrogradation preserves the desired softness and stickiness of the rice, essential for maintaining its textural qualities during storage. The addition of vinegar mix with a large amount of sucrose also increases the stickiness of the rice after it has been cooled and may inhibit the retrogradation process [40]. The addition of a properly configured vinegar mix is therefore a key parameter in obtaining rice of the right quality during storage. In addition, vinegar mix can be a good source of introducing thermolabile additive ingredients that cannot be used at the cooking stage.
The pH of cooked rice, without the addition of vinegar mix, ranges from 7.1 to 7.3, depending on the amount of water added during cooking. The initial pH values of mix 1, mix 2, mix 3, and mix 4 are 2.43, 2.37, 2.31, and 2.61, respectively. The addition of vinegar mix lowered the pH to below 4.5 relatively quickly. A greater reduction in pH, however, requires a significant increase in the amount of vinegar mix or vinegar concentration in the mix. For example, the addition of more mix 3, with the highest amount of vinegar, lowered the pH to only 4.08, while the addition of the same amount of vinegar mix with a smaller amount of vinegar (mix 2) reduced the pH to 4.09 (Table 3). In the case of adding 180 g/kg of the seasoning, it was difficult to evenly distribute the mix in the product and leakage accumulated at the bottom of the container, regardless of mixing duration. This explains the small difference in pH between rice with mixes 2 and 3. Based on the sensory evaluation, mix 1 was selected as the optimal formulation for use in our subsequent experiments.
Table 3.
pH of rice with addition of various vinegar mixes.
3.2.3. Nigiri Ball Weight at Different Temperatures
The global popularity of sushi products, especially nigiri sushi, makes this research particularly timely and significant. Nigiri sushi quality depends critically on the characteristics of the sushi rice, which are influenced by multiple factors including preparation methods, washing, soaking, water-to-rice ratio, seasoning, and nigiri-forming temperature. Therefore, it is important to investigate the effect on various production processes and their parameters on the quality of the final product.
Improper temperature and water-to-rice ratios adversely affect nigiri formation and quality. At temperatures above 38 °C, rice becomes overly soft and mushy, compromising its structural integrity. Conversely, temperatures below 30 °C reduce the rice’s natural stickiness, hindering its ability to form cohesive shapes. Similarly, a high water-to-rice ratio (>1.8:1) results in overly soft rice with compromised grain integrity, producing dense and compact nigiri, while excess surface stickiness combined with internal mushiness negatively influences texture and presentation. A low water-to-rice ratio (<1.3:1) yields rice that is too firm and prone to crumbling, making moulding difficult. Maintaining optimal temperature and hydration levels ensures consistent, high-quality nigiri with desirable taste and texture.
A soft texture in rice often means excessive moisture, causing the grains to stick excessively to hands or equipment and fall apart easily. A mushy texture suggests that the grains have lost their structure, becoming overly sticky and pasty, which can make the nigiri appear clumped and lacking in definition. In contrast, a firm texture means the grains retain their shape; however, if the rice is not sticky enough, it may not hold together well, making it difficult to form properly. Therefore, we carefully optimize both the rice temperature prior to forming and the water-to-rice ratio, as these factors greatly influence the texture and ultimately the quality of the nigiri.
In Figure 4, it is illustrated how different temperatures affect the weight of nigiri when shaping cooked rice. There appears to be a slight increase in weight as temperature increases from 10 °C to 50 °C, followed by a small decrease at 60 °C. The error bars increase in size at higher temperatures, indicating greater variability in weight measurements at these temperatures. The total change in weight across the temperature range is relatively small, with the difference between the lowest and highest mean weights being approximately 11 g.
Figure 4.
Impact of temperature on nigiri weight and repeatability during formation. Values are presented as means with standard error bars. Bars labelled with the same superscript letters indicate no significant differences between treatments (p < 0.05).
During nigiri formation, the temperature of sushi rice plays a crucial role in determining how well it can be shaped and maintain its form. Temperature affects both the handling characteristics and final weight of the nigiri in distinct ways: when the rice is warmer (30–40 °C), it becomes more malleable and easier to shape. Under these conditions, less compression force is needed, typically resulting in a lighter final weight of nigiri pieces.
Conversely, when the rice is cooler (20–29 °C), it becomes firmer and more resistant to shaping. More pressure is required during formation to get the grains to stick together. The increased compression typically results in denser, slightly heavier nigiri.
The relationship between temperature and weight is largely due to how much compression is required at different temperatures to achieve proper formation. Working with rice at the right temperature helps achieve consistent weight across pieces without over-compressing.
3.3. Shelf-Life Study of Cooked Sushi Rice
3.3.1. TPA
Different Washing Time on TPA
In Table 4, data are provided on TPA parameters for different storage times. These parameters are influenced by the washing time which, in turn, affects the quality and characteristics of the samples. Hardness generally significantly increases (p < 0.05) with storage time for all samples. For example, in W1, hardness increases from 59.44 N on day 1 to 132 N on day six. This indicates that over time, the samples become harder, which could be due to the re-crystallization of starch over time [19]. Shorter washing durations (W1) may leave more surface starch, initially contributing to higher cohesiveness and hardness, while prolonged washing (W2–W5) removes excess starch, resulting in softer textures. However, with extended washing (W6), the rice exhibits the highest initial hardness at 72.48 N, suggesting a complex relationship between washing duration and textural properties.
Table 4.
TPA results for sushi rice with different washing and storage durations.
The adhesiveness shows a marked decrease with increased storage time, although with minor fluctuations, as observed in sample W2. For example, in W4, it increases (p < 0.05) from −645.32 on day one to −21.06 on day six. The observed decrease in adhesiveness value (less sticky) may be attributed to the progressive retrogradation of starch molecules, particularly the reassociation of amylose and amylopectin chains [41]. Springiness remains relatively constant but exhibits slight fluctuations (p < 0.05). For example, in W2, it starts at 0.93 on day one, drops to 0.50 on day four, and then to 0.81 on day six. The stability of springiness suggests that the rice maintains its elastic properties even as other textural attributes change. This is crucial for the structural integrity of sushi rice, ensuring it can recover its shape after compression during handling or consumption.
Cohesiveness does not change significantly across storage times, maintaining values within a small range. For W5, it stays around 0.56 to 0.52 (p < 0.05) over the storage period. Cohesiveness, indicating the internal bonding strength of the rice grains, appears unaffected by washing duration or storage time. This stability ensures that the rice maintains its compact form, an essential characteristic for sushi preparation. Chewiness exhibits a general increase (p < 0.05) with storage time, as evidenced in sample W3, for which values rise from 16.19 on day one to 46.73 on day six. This trend indicates progressive textural changes in the rice, likely due to starch retrogradation and molecular restructuring. The increased chewiness suggests that samples become firmer and require more masticatory effort over time, reflecting changes in the rice’s textural properties during storage. Resilience remains relatively stable across the storage times, with slight fluctuations (p < 0.05). For example, the resilience of W6 ranges from 0.18 to 0.24. The uniformity in resilience across treatments indicates that this property is not significantly influenced by washing duration or storage.
As storage duration increases, the TPA parameters generally indicate that the samples become harder, adhesive, and chewier. This is a typical behaviour for products that lose moisture and become denser over time [42]. The washing time, although not explicitly stated, can be inferred to have a role in the initial texture of the rice [43]. If washing time affects the removal of certain components, it could influence the initial hardness and adhesiveness [11]. However, the data suggests that storage time has a more pronounced effect on the TPA parameters than the initial washing duration. The trends are consistent across all samples, suggesting that the washing processes affecting texture are similar across different sample groups. For optimal sushi quality, shorter washing durations may be preferred for immediate use, while extended storage requires careful moisture control to mitigate the effects of retrogradation and maintain desired textural properties.
Different Water-to-Rice Ratio on TPA
In Table 5, the TPA parameters are presented for rice cooked with varying water-to-rice ratios, measured for different storage durations. The hardness of the rice significantly varied (p < 0.05) between the groups and across the storage period. R1, having the lowest water content, exhibited the highest hardness values (p < 0.05) after 10 d (538.1 ± 27.73 N), maintaining its firmness better than other groups. Conversely, R5 consistently showed the lowest hardness across all storage times, indicating a softer texture (161.6 ± 12.82 N on day 10). This suggests that higher water-to-rice ratios lead to softer rice, while lower ratios (R1) preserve hardness over extended storage. This finding aligns with Prasert and Suwannaporn [44], who found that increased water content reduces rice hardness. The increase in hardness (p < 0.05) for R2 from day four to day 10 (265.4 ± 19.55 N to 415.3 ± 11.09 N) reflects the retrogradation process, in which starch crystallizes, contributing to texture changes.
Table 5.
TPA results for sushi rice cooked in different rice-to-water ratios and storage durations.
Adhesiveness, measured as the negative force required to overcome stickiness, was lowest (least adhesive) (p < 0.05) in R1 throughout storage (−369.3 ± 70.25 on day one, −532.1 ± 73.5 on day 10). In contrast, R5 exhibited the highest adhesiveness (−1474 ± 11.18 on day one, −1228 ± 47.98 on day 10), indicating that rice with higher water-to-rice ratios tends to remain stickier. According to Yi et al. [45], the rice-to-water ratio is a critical factor in the relationship between starch structures and cooked rice texture. Their research demonstrated that increased amounts of leached amylopectin with a degree of polymerization of 12–100 enhanced rice stickiness, but only when the rice was prepared at higher water-to-rice ratios. This correlation disappeared when using lower rice-to-water ratios of 1:1.2 and 1:1.4. Bett-Garber et al. [20] reported that higher water-to-rice ratios during cooking increase stickiness while decreasing hardness intensity. Similarly, Li et al. [8] and Yi et al. [45] confirmed that using higher amounts of water results in decreased rice hardness. The decline in adhesiveness (p < 0.05) for all groups over time may be attributed to moisture redistribution and retrogradation, which reduce stickiness. In a similar study by Tadele et al. [37], it was found that sushi rice became notably less sticky, showing a significant reduction in adhesiveness during the two-week storage period.
Springiness remained relatively consistent across all groups, with values ranging from 0.99 to 1.03. These findings allow us to demonstrate that the water-to-rice ratio has minimal impact on springiness during the storage period. The elastic properties of the cooked rice matrix were largely maintained, even as hardness and adhesiveness changed. Cohesiveness values were generally low (p < 0.05), ranging from 0.16 to 0.30, and they varied minimally across groups. R1 demonstrated higher cohesiveness on day 4 (0.30 ± 0.02), suggesting that lower water-to-rice ratios may enhance structural integrity over time. On the other hand, the decrease in cohesiveness for R5 (0.16 ± 0.01 on day 10) resulted in weaker internal bonding, particularly after storage.
Chewiness is influenced by a combination of hardness, cohesiveness, and springiness. Lower water ratios (R1) create firmer grains, contributing to higher chewiness. Over time, the retrogradation process further enhances chewiness due to the increased firmness of rice. R1 showed the highest chewiness values throughout the study, with a peak of 155.4 ± 14.19 on day four and a slight decrease (p < 0.05) by day 10 (152.9 ± 13.52). In contrast, R5 exhibited the lowest chewiness values across the storage period (25.28 ± 1.28 on day 10), reflecting its softer and less cohesive texture. These results suggest that higher water content reduces chewiness, potentially making the rice more appealing for specific uses. Resilience showed a gradual decline in most groups over the storage period, with R1 exhibiting the highest values (p < 0.05) on day 4 (0.16 ± 0.01), indicating its ability to recover its structure after deformation. R5 had the lowest resilience (0.05 ± 0.00), which correlates with its lower cohesiveness and chewiness, indicating structural degradation over time in rice with higher water content.
In summary, the results of the TPA indicate that the water-to-rice ratio significantly influences the textural attributes of cooked rice during storage. Lower water-to-rice ratios (e.g., R1) result in firmer, less adhesive rice with higher cohesiveness and resilience, maintaining its structural integrity over time. Conversely, higher water-to-rice ratios (e.g., R5) produce softer, stickier rice with reduced chewiness and resilience, potentially limiting its shelf stability. These findings underscore the importance of optimizing the water-to-rice ratio to achieve the desired textural properties for specific applications, while minimizing the impact of storage on rice quality. For sushi preparation, moderate water-to-rice ratios (e.g., R3 or R4) may provide balance between softness, stickiness, and cohesiveness, particularly in the case of rice intended for immediate use. For storage, adjustments to minimize retrogradation, such as controlling temperature and humidity, are essential to maintain optimal texture.
3.3.2. Sensory Evaluation
While the organoleptic characteristics of cooked sushi rice are fundamentally defined by its seasoning, the conventional preparation methodology involves the incorporation of sushi vinegar, a composite solution prepared from rice vinegar, sugar, and salt. The sugar and salt components serve a dual functional role: primarily modulating the vinegar’s acidic profile and secondarily enhancing the taste. These acidic interventions demonstrate the capacity to restore sensory freshness and decrease hardening phenomena observed in prolonged cooked rice storage [36].
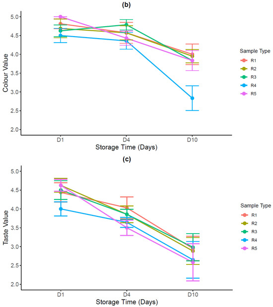
The sensory analysis of differently processed sushi rice samples over a 10-day period are illustrated in Figure 5. Evaluated sensory attributes included odour, taste, texture, colour, appearance, and overall acceptability. The data in the figure allow us to suggest that the water-to-rice ratio used in cooking sushi rice can have impact on odour profile and its changes during storage. This indicates that the rice samples experience a decline in odour quality as they are stored for longer periods. On day one, the different rice samples show varying initial odour values, with R2 having the highest baseline odour and R1 the lowest.


Figure 5.
Sensory evaluation of cooked sushi rice stored for 10 days. (a) Odour over storage time; (b) colour over storage time; (c) taste over storage time; (d) texture over storage time; and (e) overall score over storage time.
On day one, the sushi rice samples demonstrate varying initial colour and appearance scores, with R2 and R3 having the highest scores, and R1 the lowest. The different R1 to R5 water-to-rice ratios result in distinct texture profiles during storage. Samples R2 and R3 began with higher texture scores but declined more rapidly compared to samples R1 and R5. For all the rice samples, the taste scores declined over the 10-day storage period. However, the rate of decline differed between the samples. Samples R3 and R3 started with higher taste scores but declined more rapidly compared to samples R1 and R5. Bett-Garber et al. [20] found that water-to-rice ratio significantly impacts texture quality, and optimizing this ratio can maximize cooked rice texture without altering flavour. Colour and appearance ratings exhibited a less pronounced decline compared to other attributes, suggesting that these characteristics were less affected by storage time. The analysis indicates that odour and taste are significantly influenced by storage time, with noticeable declines over the 12-day period. In contrast, colour and appearance were the least affected, with most samples maintaining relatively high ratings. Notably, R1 and R5 generally maintained higher ratings across most attributes, suggesting that the specific water-to-rice ratio may be more effective in preserving sensory qualities.
A clear downward trend in overall acceptability was observed for all rice samples over the 10 d. However, the rate of decline differs between the samples. This suggests that the water-to-rice ratio used in cooking sushi rice can have significant impact on the overall acceptability of the rice during storage. On day one, the sushi rice samples have varying initial overall acceptability scores, with R2 demonstrating the highest and R1 having the lowest. The final days showed a more pronounced drop in ratings, indicating increased degradation of sensory qualities. The general decline in overall acceptability suggests that the sensory qualities of the rice degrade over time, impacting the perceived quality. In summary, the water-to-rice ratio used in cooking sushi rice appears to be a critical factor influencing the sensory profile and shelf-life of the final product.
3.3.3. Microbiological and Colour Analysis
Microbial load showed no significant differences between rice groups (Table 6). After 10 d of storage, microbial growth remained relatively low across all samples, with R1 and R3 at 0.66b ± 0.00 log cfu/g, while R4 exhibited a slightly higher count of 1.52ab ± 1.22 log cfu/g. Kulawik et al. [46] reported comparable findings, with initial contamination levels of 1.52 ± 0.15 log cfu/g in boiled sushi rice used for nigiri production without rice vinegar addition.
Table 6.
Microbiological and colour of sushi rice.
While significant colour differences were observed between rice groups, no consistent pattern or trend in these colour variations was evident (Table 6). The water-to-rice ratio had minimal impact on rice colour, with significant differences limited to the R4 rice showing higher lightness and the R1 rice displaying lower lightness on storage day 10. All rice groups except R5 showed an increasing trend in yellowness throughout storage. Yellowness generally increased over time, with R2 exhibiting the highest value (p < 0.05) on day 10 (2.16a ± 0.65), indicating the most pronounced yellowing. These findings align with research by Kulawik et al. [46], who investigated edible tea-extract coatings on stored sushi rice colour, and Tadele et al. [37], who examined the effects of multilayer bioactive peptide coatings on stored sushi rice.
3.3.4. Pearson Correlation
The Pearson correlation heatmap illustrates the relationships between different sensory, textural, and microbial properties of cooked rice during 10 d of storage (Figure 6). The correlation matrix reveals two distinct clusters of strongly related sushi rice quality attributes. The first cluster consists of sensory characteristics (odour, texture, taste, and overall score), which are highly correlated with each other (r > 0.95), suggesting these attributes are perceived as a unified sensory experience. The second cluster includes textural properties (hardness, cohesiveness, chewiness, and resilience), which also show strong positive correlations (r = 0.88–0.99), indicating these mechanical properties tend to occur together. Adhesiveness forms a partial bridge between clusters, correlating moderately with several texture attributes (r = 0.60–0.62). Notably, microbial growth shows moderate negative correlations with textural properties, suggesting firmer, more resilient sushi rice may be somewhat less susceptible to microbial contamination. These correlations suggest that the water-to-rice ratio influences both sensory and textural characteristics in stored rice, with possible implications for microbial stability. The strong correlations observed among sensory attributes indicate that enhancement of individual sensory aspects likely contributes to improved overall acceptability.
Figure 6.
Pearson’s correlation coefficient matrix among different sensory, textural, and microbial properties of sushi rice stored for 10 d in refrigerator.
The formed research hypotheses have been partially confirmed. The hypothesis concerning the optimal washing duration was confirmed, identifying 230 s as the critical threshold that effectively balances the removal of impurities and starch with the preservation of grain integrity. Initially, it was assumed that longer soaking durations might enhance water absorption, but this part of the hypothesis was not supported by the results. However, the soaking time component was validated, with a 3 min threshold proving effective for water absorption. The hypothesis accurately predicted that lower water-to-rice ratios would yield firmer rice with improved storage stability. Additionally, it correctly anticipated a decline in sensory characteristics over the storage period.
4. Conclusions and Future Prospects of Sushi Rice Production
This study concludes that amylose content plays a significant role in the gelatinisation and pasting properties of sushi rice. Rice samples from different harvest years exhibited varying amylose contents (15–20%), significantly influencing their gelatinisation and pasting behaviour. Higher amylose content results in a more stable gel structure and less retrogradation during cooling, whereas lower amylose content facilitates greater granule swelling and softer texture. The soaking time and washing duration influence water absorption and grain integrity, with optimal soaking periods around three minutes showing the best balance for sushi rice preparation. In the study, it was revealed that washing rice for 230 s provided optimal results. Nigiri ball formation was optimal within a temperature range of 30–40 °C, ensuring proper cohesion. Additionally, the water-to-rice ratio significantly influences texture, with lower ratios resulting in firmer, more cohesive rice, while higher ratios lead to softer, stickier rice. Storage studies revealed progressive changes in textural properties, particularly increased hardness and decreased adhesiveness. Sensory evaluation confirmed that the water-to-rice ratio affects rice quality attributes such as odour, taste, and overall acceptability during storage. Vinegar seasoning effectively lowered rice pH below 4.5, contributing to microbial stability during storage, with all samples showing minimal microbial growth over 10 d. The strong correlations observed between sensory attributes suggest that enhancing individual sensory aspects contributes to improved overall consumer acceptability. Proper control of these preparation parameters is essential for achieving high-quality sushi rice with desirable sensory and textural properties over its shelf life. These insights emphasize the necessity of meticulous preparation techniques to enhance sushi rice quality, offering valuable guidelines for culinary professionals and rice breeders aiming to improve end-use quality.
Future research should focus on exploring novel preservation methods specifically designed for sushi rice to further extend shelf life while maintaining sensory qualities. Investigating the application of natural antimicrobial compounds, modified atmosphere packaging, or bioactive coatings could potentially enhance microbial stability without compromising taste or texture. Additionally, examining the effects of different rice cultivars with varying amylose-to-amylopectin ratios would provide deeper insights into optimizing variety selection for sushi production. Research into sustainable washing and soaking techniques that minimize water usage while maintaining quality would benefit industry practices. Furthermore, conducting consumer preference studies across different markets would help establish culturally appropriate quality parameters for global distribution of sushi products.
Author Contributions
Conceptualization, W.T.W. and P.K.; methodology, W.T.W.; software, W.T.W.; validation, P.K., W.T.W. and E.E.T.; formal analysis, A.S.; investigation, E.E.T.; resources, P.K.; data curation, W.T.W.; writing—original draft preparation, W.T.W.; writing—review and editing, P.K.; visualization, A.S.; supervision, P.K.; project administration, P.K.; funding acquisition, P.K. All authors have read and agreed to the published version of the manuscript.
Funding
This research received no external funding.
Institutional Review Board Statement
Not applicable.
Informed Consent Statement
Not applicable.
Data Availability Statement
The data presented in this study are available on request from the corresponding author.
Acknowledgments
We would like to thank Marta Liszka-Skoczylas for her help in calculating results.
Conflicts of Interest
The authors declare no conflict of interest.
References
- Altintzoglou, T.; Heide, M.; Wien, A.H.; Honkanen, P. Traditional sushi for modern consumers: A comparison between sushi consumption behavior in Japan and Norway. J. Food Prod. Mark. 2016, 22, 717–732. [Google Scholar] [CrossRef]
- Kulawik, P.; Dordević, D. Sushi processing: Microbiological hazards and the use of emerging technologies. Crit. Rev. Food Sci. Nutr. 2022, 62, 1270–1283. [Google Scholar] [CrossRef]
- Hong, Y.; Lee, J.; Oh, S.; Yoon, M.; Choi, I.; Park, J.; Chung, H.; Cho, M.; Lee, J.; Kim, C. Quality characteristics of rice varieties suitable for sushi. Korean J. Crop Sci./Hanguk Jakmul Hakhoe Chi 2012, 57, 436–440. [Google Scholar] [CrossRef]
- Hebishy, E.; Buchanan, D.; Rice, J.; Oyeyinka, S. Variation in amylose content in three rice variants predominantly influences sushi rice. J. Food Meas. Charact. 2024, 18, 4545–4557. [Google Scholar] [CrossRef]
- Kang, M.-Y.; Rico, C.W.; Lee, S.-C. Physicochemical properties of eight popular glutinous rice varieties in Korea. Plant Prod. Sci. 2010, 13, 177–184. [Google Scholar] [CrossRef]
- Tadele, W.; Kulawik, P.; Szymkowiak, A.; Jambrak, A.R.; Ozogul, Y.; Ozogul, F. Cold-Storage Preservation of Cooked Rice Quality: Exploring Challenges and Strategies, Featuring Insights on Sushi Rice. Food Biosci. 2024, 61, 104553. [Google Scholar] [CrossRef]
- Bergman, C.J. Rice end-use quality analysis. In Rice: Chemistry and Technology; AACC International: St. Paul, MN, USA, 2019; pp. 273–337. [Google Scholar] [CrossRef]
- Li, H.; Prakash, S.; Nicholson, T.M.; Fitzgerald, M.A.; Gilbert, R.G. The importance of amylose and amylopectin fine structure for textural properties of cooked rice grains. Food Chem. 2016, 196, 702–711. [Google Scholar] [CrossRef] [PubMed]
- Champagne, E.T.; Bett-Garber, K.L.; Fitzgerald, M.A.; Grimm, C.C.; Lea, J.; Ohtsubo, K.I.; Jongdee, S.; Xie, L.; Bassinello, P.Z.; Resurreccion, A.; et al. Important sensory properties differentiating premium rice varieties. Rice 2010, 3, 270–281. [Google Scholar] [CrossRef]
- Yadav, G.P.; Kumar, D.; Dalbhagat, C.G.; Mishra, H.N. A Comprehensive Review on Instant rice: Preparation Methodology, Characterization, and Quality Attributes. Food Chem. Adv. 2024, 4, 100581. [Google Scholar] [CrossRef]
- Yu, L.; Turner, M.S.; Fitzgerald, M.; Stokes, J.R.; Witt, T. Review of the effects of different processing technologies on cooked and convenience rice quality. Trends Food Sci. Technol. 2017, 59, 124–138. [Google Scholar] [CrossRef]
- Zhu, L.; Wu, G.; Cheng, L.; Zhang, H.; Wang, L.; Qian, H.; Qi, X. Effect of soaking and cooking on structure formation of cooked rice through thermal properties, dynamic viscoelasticity, and enzyme activity. Food Chem. 2019, 289, 616–624. [Google Scholar] [CrossRef] [PubMed]
- Tian, Y.; Zhao, J.; Xie, Z.; Wang, J.; Xu, X.; Jin, Z. Effect of different pressure-soaking treatments on color, texture, morphology and retrogradation properties of cooked rice. LWT-Food Sci. Technol. 2014, 55, 368–373. [Google Scholar] [CrossRef]
- Mohapatra, D.; Bal, S. Cooking quality and instrumental textural attributes of cooked rice for different milling fractions. J. Food Eng. 2006, 73, 253–259. [Google Scholar] [CrossRef]
- Altheide, M.; Morawicki, R.; Hager, T. Impact of milling and water-to-rice ratio on cooked rice and wastewater properties. Food Sci. Technol. Int. 2012, 18, 291–298. [Google Scholar] [CrossRef]
- Peleg, M. Quantitative instrumental assessment of cooked rice stickiness. Food Eng. Rev. 2020, 12, 452–459. [Google Scholar] [CrossRef]
- Yamaguchi, Y.; OkAWA, Y.; Ninomiya, K.; Kumagai, H.; Kumagai, H. Evaluation and suppression of retrogradation of gelatinized rice starch. J. Nutr. Sci. Vitaminol. 2019, 65, S134–S138. [Google Scholar] [CrossRef]
- Tao, K.; Yu, W.; Prakash, S.; Gilbert, R.G. Investigating cooked rice textural properties by instrumental measurements. Food Sci. Hum. Wellness 2020, 9, 130–135. [Google Scholar] [CrossRef]
- Yu, S.; Ma, Y.; Sun, D.-W. Impact of amylose content on starch retrogradation and texture of cooked milled rice during storage. J. Cereal Sci. 2009, 50, 139–144. [Google Scholar] [CrossRef]
- Bett-Garber, K.L.; Champagne, E.T.; Ingram, D.A.; McClung, A.M. Influence of water-to-rice ratio on cooked rice flavor and texture. Cereal Chem. 2007, 84, 614–619. [Google Scholar] [CrossRef]
- Avaro, M.R.A.; Pan, Z.; Yoshida, T.; Wada, Y. Two alternative methods to predict amylose content of rice grain by using tristimulus CIE lab values and developing a specific color board of starch-iodine complex solution. Plant Prod. Sci. 2011, 14, 164–168. [Google Scholar] [CrossRef]
- Bertrand, R.; Holmes, W.; Orgeron, C.; McIntyre, C.; Hernandez, R.; Revellame, E.D. Rapid estimation of parameters for gelatinization of waxy corn starch. Foods 2019, 8, 556. [Google Scholar] [CrossRef] [PubMed]
- Qin, Y.; Liu, C.; Jiang, S.; Cao, J.; Xiong, L.; Sun, Q. Functional properties of glutinous rice flour by dry-heat treatment. PLoS ONE 2016, 11, e0160371. [Google Scholar] [CrossRef] [PubMed]
- ISO 4833-1:2013; Microbiology of the Food Chain—Horizontal Method for the Enumeration of Microorganisms—Part 1: Colony Count at 30 °C by the Pour Plate Technique. International Organization for Standardization: Geneva, Switzerland, 2013.
- Kim, H.-S.; Patel, B.; BeMiller, J.N. Effects of the amylose–amylopectin ratio on starch–hydrocolloid interactions. Carbohydr. Polym. 2013, 98, 1438–1448. [Google Scholar] [CrossRef] [PubMed]
- Jang, E.-H.; Lee, S.-J.; Hong, J.-Y.; Chung, H.-J.; Lee, Y.-T.; Kang, B.-S.; Lim, S.-T. Correlation between physicochemical properties of japonica and indica rice starches. LWT-Food Sci. Technol. 2016, 66, 530–537. [Google Scholar] [CrossRef]
- Wang, S.; Li, P.; Yu, J.; Guo, P.; Wang, S. Multi-scale structures and functional properties of starches from Indica hybrid, Japonica and waxy rice. Int. J. Biol. Macromol. 2017, 102, 136–143. [Google Scholar] [CrossRef]
- Zhu, D.; Li, M.; Fang, C.; Yu, J.; Zhu, Z.; Yu, Y.; Shao, Y. Effects of storage on the starch fine structure and physicochemical properties of different rice variety types. Carbohydr. Polym. 2023, 300, 120273. [Google Scholar] [CrossRef]
- Hu, H.; Li, S.; Pan, D.; Wang, K.; Qiu, M.; Qiu, Z.; Liu, X.; Zhang, J. The variation of rice quality and relevant starch structure during long-term storage. Agriculture 2022, 12, 1211. [Google Scholar] [CrossRef]
- Varavinit, S.; Shobsngob, S.; Varanyanond, W.; Chinachoti, P.; Naivikul, O. Effect of amylose content on gelatinization, retrogradation and pasting properties of flours from different cultivars of Thai rice. Starch-Stärke 2003, 55, 410–415. [Google Scholar] [CrossRef]
- Zhang, C.; Zhu, L.; Shao, K.; Gu, M.; Liu, Q. Toward underlying reasons for rice starches having low viscosity and high amylose: Physiochemical and structural characteristics. J. Sci. Food Agric. 2013, 93, 1543–1551. [Google Scholar] [CrossRef]
- Kashaninejad, M.; Maghsoudlou, Y.; Rafiee, S.; Khomeiri, M. Study of hydration kinetics and density changes of rice (Tarom Mahali) during hydrothermal processing. J. Food Eng. 2007, 79, 1383–1390. [Google Scholar] [CrossRef]
- Choi, I.; Oh, Y.-G.; Kwak, J.; Chun, A.; Kim, M.-J.; Hyun, W. Water-absorption characteristics and cooked rice texture of milled rice. Korean J. Food Sci. Technol. 2021, 53, 486–494. [Google Scholar] [CrossRef]
- Wang, L.; Guo, M.; Zhang, Y.; Xue, Y.; Li, S.; Xu, F.; Chen, J. Effects of soaking treatment on water distribution of rice grains, starch characteristics and eating quality of wet rice noodles. Int. J. Biol. Macromol. 2024, 278, 134621. [Google Scholar] [CrossRef] [PubMed]
- Hu, Z.; Yang, Y.; Lu, L.; Chen, Y.; Zhu, Z.; Huang, J. Kinetics of water absorption expansion of rice during soaking at different temperatures and correlation analysis upon the influential factors. Food Chem. 2021, 346, 128912. [Google Scholar] [CrossRef] [PubMed]
- Molina, C.N.; Garzón, R.; Rosell, C.M. Unraveling seasonings impact on cooked rice quality: Technological and nutritional implications for sushi. J. Cereal Sci. 2022, 104, 103442. [Google Scholar] [CrossRef]
- Tadele, W.; Kulawik, P.; Stępień, A.; Zając, M.; Nowak, N.; Grzebieniarz, W.; Jasińska, J.M.; Vlcko, T.; Szymkowiak, A.; Milosavljević, V. Effects of multilayer Nano/Mini Furcellaran/Chitosan Emulsions with oregano essential oil and bioactive peptides on sensory, physicochemical properties and retrogradation in Sushi in cold storage conditions. Innov. Food Sci. Emerg. Technol. 2024, 96, 103767. [Google Scholar] [CrossRef]
- Lee, S.Y.; Lee, K.Y.; Lee, H.G. Effect of different pH conditions on the in vitro digestibility and physicochemical properties of citric acid-treated potato starch. Int. J. Biol. Macromol. 2018, 107, 1235–1241. [Google Scholar] [CrossRef]
- Chou, S.; Li, B.; Tan, H.; Zhang, W.; Zang, Z.; Cui, H.; Wang, H.; Zhang, S.; Meng, X. The effect of pH on the chemical and structural interactions between apple polyphenol and starch derived from rice and maize. Food Sci. Nutr. 2020, 8, 5026–5035. [Google Scholar] [CrossRef]
- Wang, S.; Li, C.; Copeland, L.; Niu, Q.; Wang, S. Starch Retrogradation: A Comprehensive Review. Compr. Rev. Food Sci. Food Saf. 2015, 14, 568–585. [Google Scholar] [CrossRef]
- Sumida, R.; Inaguma, C.; Kawai, K. Effects of maltotriose syrup, water content, and pH on the retrogradation of cooked rice in chilled storage. J. Food Meas. Charact. 2022, 16, 2510–2517. [Google Scholar] [CrossRef]
- Balestra, F. Empirical and Fundamental Mechanical Tests in the Evaluation of Dough and Bread Rheological Properties; Alma Mater Studiorum—Università di bologna: Bologna, Italy, 2009. [Google Scholar] [CrossRef]
- Li, H.; Yang, J.; Gao, M.; Wang, J.; Sun, B. Washing rice before cooking has no large effect on the texture of cooked rice. Food Chem. 2019, 271, 388–392. [Google Scholar] [CrossRef]
- Prasert, W.; Suwannaporn, P. Optimization of instant jasmine rice process and its physicochemical properties. J. Food Eng. 2009, 95, 54–61. [Google Scholar] [CrossRef]
- Yi, X.; Yu, W.; Liu, H.; Li, C. Importance of both leached and residual starch molecular structures in determining cooked rice texture at different rice-to-water cooking ratios. Int. J. Biol. Macromol. 2024, 258, 129040. [Google Scholar] [CrossRef] [PubMed]
- Kulawik, P.; Jamróz, E.; Zając, M.; Guzik, P.; Tkaczewska, J. The effect of furcellaran-gelatin edible coatings with green and pu-erh tea extracts on the microbiological, physicochemical and sensory changes of salmon sushi stored at 4 C. Food Control 2019, 100, 83–91. [Google Scholar] [CrossRef]
Disclaimer/Publisher’s Note: The statements, opinions and data contained in all publications are solely those of the individual author(s) and contributor(s) and not of MDPI and/or the editor(s). MDPI and/or the editor(s) disclaim responsibility for any injury to people or property resulting from any ideas, methods, instructions or products referred to in the content. |
© 2025 by the authors. Licensee MDPI, Basel, Switzerland. This article is an open access article distributed under the terms and conditions of the Creative Commons Attribution (CC BY) license (https://creativecommons.org/licenses/by/4.0/).