Next Article in Journal
Data-Driven Decision Support in SaaS Cloud-Based Service Models
Previous Article in Journal
Spatio-Temporal Characterization of Metal Stocks at a Provincial Scale: The Case of Iron and Steel Industry in Henan Province, China
 
 
Font Type:
Arial Georgia Verdana
Font Size:
Aa Aa Aa
Line Spacing:
Column Width:
Background:
Article

Non-Carbon-Supported, Pt-Based Catalysts with Applications in the Electrochemical Hydrogen Pump/Compressor (EHP/C)

by
Galin Rusev Borisov
*,
Nevelin Rusev Borisov
and
Evelina Slavcheva
Academician Evgeni Budevski Institute of Electrochemistry and Energy Systems, Bulgarian Academy of Sciences, Acad. G. Bonchev bl. 10, 1113 Sofia, Bulgaria
*
Author to whom correspondence should be addressed.
Appl. Sci. 2025, 15(12), 6507; https://doi.org/10.3390/app15126507
Submission received: 18 May 2025 / Revised: 4 June 2025 / Accepted: 7 June 2025 / Published: 9 June 2025

Abstract

In this study, platinum (Pt) nanocatalysts were synthesized via a sol-gel method over the non-stoichiometric, Magnéli phase titanium oxides (TinO2n−1) at varying Pt loadings (10–40 wt.%). Their structural and morphological properties were characterized, and after preliminary electrochemical screening, the catalysts were integrated into commercially available gas diffusion electrodes (GDEs) with a three-layer structure to enhance mass transport and catalyst utilization. Membrane electrode assemblies (MEAs) were fabricated using a Nafion® 117 polymer membrane and tested in a laboratory PEM cell under controlled conditions. The electrochemical activity toward the hydrogen reduction reaction (HRR) was evaluated at room temperature and at elevated temperatures to determine the catalytic efficiency and stability. The optimal Pt loading was determined to be 30 wt.%, achieving a current density of approximately 0.12 A cm−2 at 0.25 V, demonstrating a balance between catalyst efficiency and material utilization. The chronoamperometry tests showed minimal degradation over prolonged operation, suggesting that the catalysts were durable. These findings highlight the potential of Pt-based catalysts supported on Magnéli phase titanium oxides (TinO2n−1) for efficient HRRs in electrochemical hydrogen pumps/compressors, offering a promising approach for improving hydrogen compression efficiency and advancing sustainable energy technologies.

1. Introduction

Hydrogen energy is playing an increasingly vital role in the global transition toward sustainable energy solutions [1,2,3]. Across Europe and beyond, large-scale pilot projects, typically around 1 MW in capacity, are being developed to demonstrate the potential of hydrogen technologies in replacing carbon-based energy sources [4,5]. These initiatives underscore the critical role of hydrogen in decarbonization efforts and the long-term reduction in greenhouse gas emissions [6,7,8]. A key advantage of hydrogen-based energy systems is their ability to store excess electrical energy in the form of hydrogen, ensuring flexibility and energy security [9,10,11]. However, for efficient storage and utilization, hydrogen must be compressed at high pressures, which presents both technical and economic challenges. Traditional mechanical compression methods, such as piston-based or valve-based compressors, have long been employed for hydrogen storage and transportation [12,13]. However, these systems are associated with several drawbacks, including significant energy losses, mechanical wear, frequent maintenance, and operational inefficiencies. By contrast, electrochemical hydrogen pumps/compressors (EHP/Cs) represent a promising alternative, offering a more efficient and reliable solution [14,15,16]. These devices operate based on electrochemical principles, enabling hydrogen pumping without moving parts, thereby eliminating mechanical degradation and reducing maintenance costs [17]. Additionally, EHP/Cs exhibit higher energy efficiency, as they require considerably less energy per unit of compressed hydrogen compared to conventional mechanical systems. Beyond compression, another key advantage of EHP/Cs is their ability to simultaneously purify hydrogen [18,19,20,21]. This dual functionality makes electrochemical compression particularly attractive for high-purity hydrogen applications, including fuel cell systems, laboratory-grade hydrogen supplies, and industrial processes requiring ultra-pure hydrogen [22].
The core component of EHP/C technology is the membrane electrode assembly (MEA), which shares structural and functional similarities with MEAs used in proton exchange membrane fuel cells (PEMFCs) and hydrogen generators (PEMHGs). The MEA consists of a reinforced polymer electrolyte membrane and gas diffusion electrodes, enabling efficient hydrogen compression. The integration of optimized MEAs in EHP/Cs enhances performance, allowing for scalable and modular solutions adaptable to a range of industrial and energy storage applications. The principal scheme of an MEA applicable in electrochemical hydrogen pumps/compressors is presented in Figure 1.
Hydrogen, produced through electrolysis or alternative methods such as natural gas reforming, is introduced to the anode electrode of an electrochemical hydrogen pump/compressor. Under the application of electric power, hydrogen molecules (H2) dissociate into protons (H+) and electrons (e). The protons move through the polymer electrolyte membrane, reaching the cathode where they recombine with electrons from the external circuit, ultimately forming atomic and, subsequently, molecular hydrogen. By maintaining a constant current throughout the process, the hydrogen compression occurs as the pressure in the cathode chamber (Pcathode) rises relative to the anode chamber (Panode). This pressure difference, known as the differential pressure (Pdifferential), is a critical parameter in the compression process. The electrochemical principles governing this process allow for efficient hydrogen compression, with differential pressure being a key performance indicator [23,24].
A key challenge in the development of electrochemical hydrogen pumps and compressors (EHP/Cs) is the optimization of catalyst loading in gas diffusion electrodes, which is crucial for the efficiency of the partial electrode reactions involved [25,26]. The catalytic layers, where electrochemical hydrogen oxidation (HOR) and reduction (HRR) occur, must facilitate the transport of protons, electrons, and gaseous reactants while simultaneously minimizing the activation energy required for the reactions at both the anode and cathode, as illustrated in Figure 2. Achieving an optimal balance in catalyst loading is vital to enhance the overall efficiency and performance of the EHP/C system [27].
Platinum (Pt) and palladium (Pd) nanoparticles are widely recognized for their exceptional catalytic activity in electrochemical hydrogen compression (EHP/C) and have been extensively studied in the literature [27,28,29,30]. However, a significant drawback of Pt and Pd nanoparticles is their tendency to agglomerate during the electrochemical reactions, particularly under high pressure [31,32]. This leads to a reduction in the active surface area of the catalysts, thereby decreasing catalyst utilization. To mitigate this issue, various catalytic support materials are employed to stabilize the catalyst nanoparticles and maintain their dispersion over the support [33,34]. The selection of appropriate support is critical for the performance of EHP/C systems. Key parameters influencing this choice include high electrical conductivity, large specific surface area, and optimized water management [35]. These characteristics are critical to maintaining the structural integrity and catalytic activity of the catalyst over prolonged operation.
Strong metal–support interactions (SMSIs) play a crucial role in enhancing the stability, efficiency, and overall performance of metal-based catalysts in hydrogen energy converter devices. One of the primary benefits of SMSIs is the prevention of nanoparticle agglomeration [36,37,38,39,40]. In EHP/C applications, the interaction between metal catalysts and the support material strengthens the adhesion of nanoparticles, minimizing their mobility under the high pressures, elevated temperatures, and fluctuating operational conditions typical of hydrogen compression.
This stabilization improves catalyst durability and maintains activity, addressing a key challenge associated with conventional carbon-supported catalysts, which often suffer from sintering-induced deactivation [41]. Beyond enhancing structural integrity, strong metal–support interactions (SMSIs) also increase the density of catalytically active sites at the metal–support interface. By promoting better metal dispersion and electronic communication with the support, SMSIs facilitate more efficient electrochemical processes. The optimized spatial and electronic distributions of the active sites accelerate the reaction kinetics, thereby improving hydrogen compression efficiency and enabling effective energy conversion in EHP/C systems [42,43].
In particular, Pt–O–Ti bonding exemplifies a tailored form of SMSIs that significantly enhances the metal–carrier electron interaction. This specific interfacial linkage plays a key role in modulating the electronic density of Pt, as the formation of Pt–O–Ti bonds leads to charge redistribution within the Pt nanoparticles. Such redistribution finely tunes the binding energy of reaction intermediates, optimizing catalytic performance. Additionally, this interfacial architecture stabilizes Pt against agglomeration and leaching under corrosive, acidic conditions while simultaneously enhancing its intrinsic catalytic activity. Consequently, interface engineering through Pt–O–Ti bonding presents a robust strategy for the development of high-performance and durable electrodes for hydrogen-related electrochemical technologies [44].
Magnéli phase titanium oxides with a common formula (TinO2n−1) are widely utilized as catalytic supports in PEM hydrogen generators, where the operational conditions are significantly more aggressive compared to EHP/C systems. In our previous work, these materials were integrated as catalytic carriers on the anode gas diffusion electrode, demonstrating enhanced current density and relatively low overpotential in comparison to commercially available carbon-supported, Pt- and Ir-based catalysts. Moreover, this material exhibits excellent stability and high electrical conductivity, further supporting its suitability for electrochemical applications [45,46]. Additionally, recent studies have demonstrated that Magnéli phase titanium oxides can enhance the catalytic activity not only of pure metals such as Pt and Ir but also of bimetallic catalysts using alloying strategies. These findings provide strong experimental validation of the theoretical predictions regarding the beneficial role of Magnéli phase titanium oxides in improving catalytic performance under harsh operating conditions [47,48].
In this study, a platinum (Pt)-based catalyst dispersed on non-stoichiometric titanium oxide was developed and is presented as a promising solution for electrochemical hydrogen pump/compressor (EHP/C) applications.

2. Materials and Methods

The Materials and Methods section includes several key stages: the synthesis of catalytic substrates, their physicochemical characterization, the preparation of electrodes and membrane electrode assemblies, as well as a detailed characterization using electrochemical techniques.

2.1. Catalyst’s Synthesis

The synthesis of the selected composite materials involved the direct and selective grafting of metal nanoparticles from Pt acetylacetonate precursors with the common formula M((C5H7O2)n)m. The chosen substrate as a catalytic carrier was a commercial material powder, identified as MPT (average particle size of 60 nm) provided by TI Dinamics. The metallic content in the prepared samples ranged from 10% wt. to 40% wt. The preparation procedure comprised two main steps. In the first step, the catalytic support and precursor underwent pretreatment using a magnetic stirrer and an ultrasonic bath. Subsequently, they were mixed and heated at 60 °C for 30 min until a fine gel was obtained. In the second step of the synthesis, the mixture was heated in an inert atmosphere at a temperature of 200 °C, followed by reduction in a H2 atmosphere, and then gradually cooled. The detailed procedure is described in [49].

2.2. Physicochemical Characterization

The structural and phase compositions of the synthesized samples were examined by X-ray diffraction (XRD) using a diffractometer of compact size from Malvern PANalytical B.V. The diffraction data were collected using an X-ray diffractometer with Cu-Kɑ radiation (1.54178 Å) at a constant rate of 0.02 s−1 over an angle range 2Ɵ = 4° ÷ 80°. The metal content in the catalyst layer was determined using energy dispersing X-ray analysis, and the element analysis was carried out by a Zeiss Evo 10 SEM (Carl Zeiss Microscopy, Oberkochen, Germany) controlled by SmartSEM (version 7.05) and EDX technics using an Oxford Ultim Max 40 (Oxford Instruments, Abingdon, UK) with Aztec software (version 6.1 HF4).

2.3. Electrode and MEA Preparation

The synthesized catalysts were mixed with 1 mL of deionized water and 5 mL of isopropanol, forming a mixture that was further combined in an ultrasonic bath to prepare the catalytic ink. This colloidal solution, referred to as the catalytic ink, was then loaded into an airbrush and sprayed as a thin film onto a flat graphite electrode with a geometric area of 0.3 cm2 from a 10 cm distance and an air pressure of 1.5 bar. Additionally, using the same technique and procedure, the catalytic ink was applied on commercially available gas diffusion electrodes (GDEs, Freudenberg H2315C2) with a three-layer structure to enhance mass transport and catalyst utilization. Subsequently, the prepared electrodes were air-dried at room temperature for 24 h, and then were attached on both sides of a Nafion 117 (180 µm thickness in dry conditions), forming MEAs for EHP/Cs. The assembly procedure is described in [50].

2.4. Electrochemical Testing

The electrochemical characterization of the prepared flat graphite electrodes was performed using cyclic voltammetry and linear sweep voltammetry at potential scan rates of 50 mV s−1 and 1 mV s−1 in a three-electrode cell with an electrolyte volume of 200 mL. A 0.5 M H2SO4 solution was used as the electrolyte, while a platinum wire with a diameter of 0.5 mm and a length of 25 cm, coiled into a spiral shape, served as the counter electrode. To ensure high measurement accuracy, a Gamry 1010E potentiostat–galvanostat with a maximum current of 1 A was used. Prior to measurement, the cell was purged with inert argon gas for 60 min. The MEAs were characterized in the prototype EHP/C cell, registered with the Bulgarian Patent Association [67663 B1], using linear sweep voltammetry at a cell voltage ranging from 0 V to 0.25 V both at room temperature and at an elevated temperature of 60 °C. For these experiments a Gamry Reference 3000 potentiostat–galvanostat was used. The hydrogen source for the experiments was a custom-built Zero-gap electrolyzer, capable of delivering hydrogen up to 70 mL/min at atmospheric pressure. The electrolyzer cell is registered with the Bulgarian Patent Association as a utility model [4552 U1]. In addition to the cell voltage data, the potentials of both partial reactions were recorded using a DAQ6008 data logger from National Instruments, with data acquisition managed through Signal Express software, version 2015.

2.5. Artificial Intelligence Tools

In this study, artificial intelligence tools, including ChatGPT 4.0, Gemini version 2.5, and DeepSeek version R1, were utilized for verification of calculations and language refinement. Additionally, DeepSeek and ChatGPT 4.0 were employed for tasks such as reference formatting tools. The authors take full responsibility for the accuracy and integrity of the information presented in this article.

3. Results

The results regarding the particle size distribution that were evaluated using scanning electron microscopy (SEM) are presented in Figure 3. The Pt nanoparticles are distinctly visible as bright contrast features in all examined samples, homogeneously distributed on the surface of the Magnéli phase titanium oxide catalytic support.
X-ray diffraction (XRD) analysis was employed to characterize the crystalline structure and orientation of the synthesized samples. This technique provides valuable insights into phase composition and structural integrity. Figure 4 presents the XRD spectra of the synthesized samples alongside the XRD pattern of the catalytic support, confirming the presence of characteristic peaks associated with the MPT phase in all examined samples. Platinum is predominantly observed in its crystalline form, with the main crystallographic orientations identified as (111) and (200). Additionally, secondary orientations, including (220), (311), and (222), are consistently detected, indicating a well-defined crystalline structure across all samples. These findings further validate the structural properties of the synthesized catalyst.
To determine the particle size of the synthesized samples, the Scherrer equation was applied [51]. This method provides an estimation of crystallite size based on the broadening of X-ray diffraction peaks. The calculated particle sizes are summarized in Table 1.
Particle sizes exhibit a noticeable range from 18 nm to 13 nm across all samples in the crystallographic orientation (111). In the case of the (200) orientation, the particle sizes are slightly smaller, ranging from 9 nm to 12 nm. The smallest particle size, indicative of a higher active surface area, is achieved in the (111) orientation for the Pt/MPT sample with a 40% wt. Pt content. Overall, there is a consistent trend of decreasing crystal size as the Pt percentage increases from Pt/MPT 10% wt. to Pt/MPT 40% wt., which was observed for both the (111) and (200) orientations.
The BET method was employed to determine the specific surface area of the synthesized samples. The multi-point BET analysis was conducted within the relative pressure range of p/p0 = 0.05–0.3, and the single-point BET analysis was performed at p/p0 = 0.3. Pore volume measurements were taken at a relative pressure approaching 1 (p/p0 = 0.99). The average pore diameter was calculated by assuming cylindrical geometry for the pores, utilizing a relative pressure of p/p0 = 0.99. The obtained results are presented in Table 2.
The surface area analysis of the synthesized Pt/MPT catalyst samples at 10% wt. and 20% wt. revealed comparable values from both multi-point and single-point measurements. These samples exhibited consistent total pore volume and average pore diameter without significant variations. By contrast, Pt/MPT samples at 30% wt. and 40% wt. demonstrated a notable decrease in surface area for both the multi- and single-point analyses. However, the total pore volume and average pore size diameter remained similar when compared to Pt/MPT at 10% wt. and 20% wt. The results unequivocally indicate that exceeding 20% wt. of Pt in the sample leads to a reduction in the surface area of the catalysts.
Following the physicochemical characterization of the powder containing Pt and MPT, catalytic ink was prepared and applied onto flat, graphite-based electrodes for screening purposes in a three-electrode cell with a liquid electrolyte. The catalyst ink was applied using a spray technique employing an airbrush with an 8 mL buffer zone and a two-stage trigger control. The spray distance was maintained at 10 cm, and the pressure was regulated up to 1.5 bar. The cyclic voltammograms recorded within the typical potential window for hydrogen energy devices in 0.5 M H2SO4 are depicted in Figure 5.
The cyclic voltammograms exhibit characteristic peaks indicative of Pt-based catalysts. In the anode side corresponding to the hydrogen oxidation reaction (HOR), the peak shape aligns with the crystallographic orientation (111) as determined from XRD measurements [52]. The peak intensity shows an increasing trend, with higher Pt content on both the anode and cathode sides, where the hydrogen evolution reaction occurs. The Pt/MPT samples with 10% wt. and 20% wt. show the lowest activity. The samples with 30% wt. and 40% wt. demonstrate comparable electrochemical activity for both hydrogen evolution and hydrogen oxidation reactions, which are crucial for EHP/C technology. The calculated active surface areas, derived from the cyclic voltammograms in Figure 5 using the methodology in [53], and the overpotential related to HRR calculated from data in Figure 6, are both presented in Table 3.
All examined samples exhibit nearly identical electrochemically active surface areas with small discrepancies in the decimal values.
In order to investigate the catalytic activity of the prepared flat electrodes in detail, potential dynamic curves were recorded at potential windows of 0.4 V up to −0.3 V vs. RHE, with a scan rate of 1 mV s−1. The results are presented in Figure 6.
Uniform trends are evident across all samples with respect to their behavior and polarization during the hydrogen evolution reaction in the acidic electrolyte. Specifically, samples with 10% wt. and 20% wt. of platinum display a relatively modest current density of around 40 mA cm−2. By contrast, samples containing 30% wt. and 40% wt. show a nearly twofold increase in current density. The overpotential for the hydrogen reduction reaction in all synthesized samples is measured relative to the reference hydrogen electrode (RHE). In conclusion, the Pt/MPT sample with 30% wt. emerges as the most favorable, exhibiting the highest current density and optimal utilization of Pt catalysts.
Following the screening process, membrane electrode assemblies (MEAs) were developed, incorporating Pt/MPT as catalysts for the hydrogen reduction reaction and commercially available Etek Pt/XC82 40% wt. for the hydrogen oxidation reaction. This MEA was integrated into a self-assembled electrochemical hydrogen compressor cell equipped with two reference electrodes to ensure precise control and diagnostics. The cell voltage measurements are presented in Figure 7.
Cell voltage measurements were conducted at both room temperature and an elevated temperature of 60 °C. The curves obtained exhibit characteristic behavior typical of electrochemical hydrogen pump/compressor (EHP/C) devices. At 20 °C, the process initiates at around 10 mV, and with an increase in cell voltage, the current density progressively rises. At a cell voltage of 0.25 mV, diffusion limitations are observed. As the temperature rises, the ionic transport between the anode and cathode intensifies, leading to an acceleration in both the hydrogen reduction reaction (HRR) and hydrogen oxidation reaction (HOR) rates. At 40 °C, the maximum current density peaks at 160 mA cm−2, while at 60 °C, this value further increases to 260 mA cm−2.
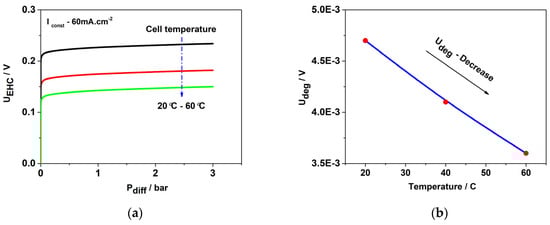
The compression tests up to 3 bar were carried out in the temperature range from 20 °C to 60 °C at 60 mA cm−2. The curves are presented in Figure 8a,b.
An elevation in the differential pressure corresponds to an increase in the cell voltage of the electrochemical hydrogen pump/compressor (EHP/C) [54]. The investigated membrane electrode assembly (MEA) displays a cell voltage of 60–70 mV at 60 mA cm−2 and demonstrates the capability to operate more effectively under the higher temperature. As the temperature rises, there is a noticeable reduction in the cell voltage, indicating an increase in the energy efficiency. The increase in cell voltage per bar calculated from the UEHC/Pdiff curves is presented in Figure 8b.
Elevating the operating temperature not only improves the efficiency of the electrochemical hydrogen pump but also leads to a reduction in cell voltage per bar. This suggests that employing higher temperatures makes it possible to increase the final pressure of the hydrogen converter. Specifically, at 20 °C, the cell voltage increases by 0.0047 V per bar, while at 60 °C, this value decreases to 0.0037 V, indicating a 0.001 V enhancement in efficiency.
In comparison with MEAs with commercial Pt/XC72 catalysts, the newly developed materials show better performance and low overpotential under compression mode. The curves are presented on Figure 9.
The integration of the newly synthesized Pt/MPT 30% wt. catalyst as the cathode improves the efficiency of the MEA. It decreases the cell voltage during the pumping process, with approximately 0.04 V at 1 bar of differential pressure and 0.05 V under 3 bar of differential pressure.

4. Conclusions

In conclusion, the structural and morphological analyses (XRD and particle size determination) revealed stable crystallographic orientations and a trend of decreasing particle size with increasing platinum content in the Pt/MPT catalysts. The samples with 10 and 20 wt.% Pt maintained a comparable specific surface area, whereas a significant reduction was observed for those with 30 and 40 wt.% Pt, emphasizing the need for precise optimization of Pt loading to maintain high catalytic activity.
Electrochemical evaluation indicated that the lowest overpotential for the hydrogen evolution reaction was observed for the samples containing 30 and 40 wt.% Pt. When integrated into a membrane electrode assembly (MEA), the 30 wt.% Pt catalyst demonstrated excellent performance, achieving a current density of approximately 0.06 A·cm−2, which increased to around 0.16 A·cm−2 at 60 °C. Differential pressure testing showed that the developed MEA with the integrated catalyst operated at lower cell voltages and, consequently, higher energy efficiency compared to analogous systems based on commercially available gas diffusion electrodes. These results highlight the significant potential of these catalysts to have applications in electrochemical hydrogen compressors and other advanced hydrogen technologies. The development of large-scale electrodes and their testing under more aggressive conditions are currently underway.

Author Contributions

Conceptualization, N.R.B. and G.R.B.; methodology, G.R.B.; software, N.R.B.; validation, E.S., N.R.B. and G.R.B.; formal analysis, G.R.B.; investigation, N.R.B.; resources, E.S.; data curation, G.R.B. and E.S.; writing—original draft preparation, N.R.B., G.R.B. and E.S.; writing—review and editing, E.S.; visualization, G.R.B.; supervision, E.S.; project administration, E.S. All authors have read and agreed to the published version of the manuscript.

Funding

This research received no external funding.

Institutional Review Board Statement

Not applicable.

Informed Consent Statement

Not applicable.

Data Availability Statement

The data that support the findings of this study are available within the article.

Acknowledgments

The authors kindly acknowledge the financial support of project No. BG16RFPR002-1.014-0009 titled “Development and sustainability of Center of competence HITMOBIL—Technologies and systems for generation, storage and consumption of clean energy” funded by l Program and “Research, innovations and digitalization for smart transformation” 2021–2027, co-funded by the EU from the European Regional Development Fund. Acknowledgments are also due to the artificial intelligence tools DeepSeek, ChatGPT 3.5, and Gemini for language checks and verification of calculations.

Conflicts of Interest

The authors declare no conflicts of interest.

References

  1. Boretti, A.; Pollet, B.G. Hydrogen economy: Paving the path to a sustainable, low-carbon future. Int. J. Hydrogen Energy 2024, 93, 307–319. [Google Scholar] [CrossRef]
  2. Barreto, L.; Makihira, A.; Riahi, K. The hydrogen economy in the 21st century: A sustainable development scenario. Int. J. Hydrogen Energy 2003, 28, 267–284. [Google Scholar] [CrossRef]
  3. Riahi, K.; Roehrl, R.A.; Schrattenholzer, L.; Miketa, A. Technology clusters in sustainable development scenarios. Prog. Rep. Environ. Issue Groups 2001, 112–120. [Google Scholar]
  4. Hydrogenics 1 MW PEM electrolyser for European consortium. Fuel Cells Bull. 2015, 2015, 9. [CrossRef]
  5. El-Hamalawy, A.F.; Farag, H.E.Z.; Asif, A. Multi-objective optimal modular design of PEM electrolyzers for efficient and scalable green hydrogen production plants. J. Power Sources 2025, 637, 236510. [Google Scholar] [CrossRef]
  6. Evro, S.; Oni, B.A.; Tomomewo, O.S. Carbon neutrality and hydrogen energy systems. Int. J. Hydrogen Energy 2024, 78, 1449–1467. [Google Scholar] [CrossRef]
  7. Shaterabadi, M.; Sadeghi, S.; Jirdehi, M.A. The role of green hydrogen in achieving low and net-zero carbon emissions: Climate change and global warming. In Green Hydrogen in Power Systems; Vahidinasab, V., Mohammadi-Ivatloo, B., Lim, J.S., Eds.; Springer: Cham, Switzerland, 2024; pp. 141–153. [Google Scholar]
  8. Tian, X.; An, C.; Chen, Z. The role of clean energy in achieving decarbonization of electricity generation, transportation, and heating sectors by 2050: A meta-analysis review. Renew. Sustain. Energy Rev. 2023, 182, 113404. [Google Scholar] [CrossRef]
  9. Hassan, Q.; Algburi, S.; Sameen, A.Z.; Jaszczur, M.; Salman, H.M. Hydrogen as an energy carrier: Properties, storage methods, challenges, and future implications. Environ. Syst. Decis. 2024, 44, 327–350. [Google Scholar] [CrossRef]
  10. Le, T.T.; Sharma, P.; Bora, B.J.; Tran, V.D.; Truong, T.H.; Le, H.C.; Nguyen, P.Q.P. Fueling the future: A comprehensive review of hydrogen energy systems and their challenges. Int. J. Hydrogen Energy 2024, 54, 791–816. [Google Scholar] [CrossRef]
  11. Wells, C.; Minunno, R.; Chong, H.-Y.; Morrison, G.M. Strategies for the adoption of hydrogen-based energy storage systems: An exploratory study in Australia. Energies 2022, 15, 6015. [Google Scholar] [CrossRef]
  12. Wang, Y.; Qi, Q.; Xiong, W.; Peng, X. Experimental investigation on the hydraulic-driven piston compressor for hydrogen under varied operating conditions. Int. J. Hydrogen Energy 2024, 74, 78–88. [Google Scholar] [CrossRef]
  13. Platzer, M.F.; Sarigul-Klijn, N. Hydrogen compression technology. In The Green Energy Ship Concept; Springer: Cham, Switzerland, 2021. [Google Scholar]
  14. Marciuš, D.; Kovač, A.; Firak, M. Electrochemical hydrogen compressor: Recent progress and challenges. Int. J. Hydrogen Energy 2022, 47, 24179–24193. [Google Scholar] [CrossRef]
  15. Durmus, G.N.B.; Colpan, C.O.; Devrim, Y. A review on the development of the electrochemical hydrogen compressors. J. Power Sources 2021, 494, 229743. [Google Scholar] [CrossRef]
  16. Rochlitz, L.; Steinberger, M.; Oechsner, R.; Weber, A.; Schmitz, S.; Schillinger, K.; Wolff, M.; Bayler, A. Second use or recycling of hydrogen waste gas from the semiconductor industry—Economic analysis and technical demonstration of possible pathways. Int. J. Hydrogen Energy 2019, 44, 17168–17184. [Google Scholar] [CrossRef]
  17. Ivanov, B.V.; Mensharapov, R.M.; Ivanova, N.A.; Spasov, D.D.; Sinyakov, M.V.; Grigoriev, S.A.; Fateev, V.N. Experimental study of the electrochemical hydrogen pump based on proton exchange membrane for the application in fusion fuel cycle. Process Saf. Environ. Prot. 2023, 180, 744–751. [Google Scholar] [CrossRef]
  18. Marciuš, D. The concept of electrochemical hydrogen compression and purification technology. In Challenges and Solutions in the Hydrogen Value Chain; Kovač, A., Ed.; Springer: Cham, Switzerland, 2024. [Google Scholar]
  19. Huang, F.; Pingitore, A.T.; Benicewicz, B.C. Electrochemical hydrogen separation from reformate using high-temperature polybenzimidazole (PBI) membranes: The role of chemistry. ACS Sustain. Chem. Eng. 2020, 8, 6234–6242. [Google Scholar] [CrossRef]
  20. Rhandi, M.; Trégaro, M.; Druart, F.; Deseure, J.; Chatenet, M. Electrochemical hydrogen compression and purification versus competing technologies: Part I. Pros and cons. Chin. J. Catal. 2020, 41, 756–769. [Google Scholar] [CrossRef]
  21. Gasparotto, G.; Chavhan, F.R.; Sgroi, M.F.; Recham, N.; Ventura, L.; Cavani, F.; Barbato, A.; Rozie, H.; Bertei, A. Energy and exergy analysis of hydrogen purification processes: A thermodynamic approach. Chem. Eng. Process. Process Intensif. 2021, 167, 108498. [Google Scholar]
  22. Trégaro, M.; Druart, F.; Chatenet, M.; Deseure, J. Electrochemical hydrogen purification and compression: Towards an energy-efficient, high-purity hydrogen production process. Int. J. Hydrogen Energy 2022, 47, 25050–25063. [Google Scholar]
  23. Alrwashdeh, S.S.; Obeidat, K.A. Review of hydrogen purification methods. Int. J. Hydrogen Energy 2023, 48, 15582–15599. [Google Scholar]
  24. Kang, D.; Jung, J.; Kim, Y. Hydrogen compression using electrochemical hydrogen pump with a solid polymer electrolyte. J. Power Sources 2008, 178, 163–168. [Google Scholar]
  25. Wang, L.; Liu, H.; Liu, S.; Song, Y. A review of recent developments in electrochemical hydrogen compressors. Renew. Sustain. Energy Rev. 2021, 151, 111618. [Google Scholar]
  26. Larminie, J.; Dicks, A. Fuel Cell Systems Explained, 2nd ed.; John Wiley & Sons: Chichester, UK, 2003. [Google Scholar]
  27. Skibina, L.; Kirillov, A.; Grigoriev, S.; Fateev, V. Optimization of electrochemical hydrogen compressor for low-temperature operation. Int. J. Hydrogen Energy 2020, 45, 12943–12950. [Google Scholar]
  28. Skibina, L.Y.; Grigoriev, S.A.; Fateev, V.N. The use of membrane–electrode assemblies in the electrochemical hydrogen compressor. Int. J. Hydrogen Energy 2019, 44, 14483–14490. [Google Scholar]
  29. Dickinson, E.J.F.; Wain, A.J.; Unwin, P.R. The hydrogen oxidation reaction on platinum: New insights into the kinetics and mechanism. J. Electroanal. Chem. 2021, 896, 115402. [Google Scholar]
  30. Ali, M.; Yamada, Y.; Umeda, M. Development of hydrogen pump using proton-conducting polymer electrolyte membrane. Electrochim. Acta 2007, 53, 245–252. [Google Scholar]
  31. Gaikwad, P.D.; Gupta, R.; Moholkar, V.S. Hybrid electrochemical–membrane process for hydrogen purification from reformate gas. Int. J. Hydrogen Energy 2022, 47, 21227–21243. [Google Scholar]
  32. Raygan, S.; Seraj, S.; Gharavi, M.J.; Sabetghadam, A. Electrochemical hydrogen pumping using proton-conducting membrane: Modeling and simulation. Int. J. Hydrogen Energy 2023, 48, 4128–4140. [Google Scholar]
  33. Mayer, K.; Riegel, F.; Heise, M. PEM electrochemical hydrogen compressor system with hydride buffer storage. Int. J. Hydrogen Energy 2020, 45, 7758–7767. [Google Scholar]
  34. Luo, W.; Takanabe, K. Role of pressure in electrochemical hydrogen compression using PEM electrolyzers. ACS Sustain. Chem. Eng. 2017, 5, 1712–1719. [Google Scholar]
  35. Basile, A.; Gallucci, F.; Iulianelli, A. (Eds.) Membranes for Hydrogen Production; Woodhead Publishing: Cambridge, UK, 2011. [Google Scholar]
  36. Marsh, D.; Flynn, T.M.; Gray, R.J. Hydrogen separation and purification. In Hydrogen Technology; Wiley-VCH: Weinheim, Germany, 2008; pp. 237–266. [Google Scholar]
  37. Matsushima, J.; Umeda, M.; Yamada, Y. Influence of membrane properties on performance of electrochemical hydrogen pump. Electrochim. Acta 2008, 53, 622–628. [Google Scholar]
  38. Hibbs, M.R.; Hickner, M.A.; Alam, T.M.; McIntyre, S.K.; Fujimoto, C.H.; Cornelius, C.J. Transport properties of hydrocarbon-based proton-exchange membranes: Enhanced performance at high temperature. Chem. Mater. 2005, 17, 5328–5333. [Google Scholar]
  39. Rubatat, L.; Gebel, G.; Diat, O. Fibrillar structure of Nafion: Matching SAXS and TEM. Macromolecules 2004, 37, 7772–7783. [Google Scholar] [CrossRef]
  40. Thomas, J.M.; Raja, R.; Lewis, D.W. Single-site heterogeneous catalysts. Angew. Chem. Int. Ed. 2005, 44, 6456–6482. [Google Scholar] [CrossRef] [PubMed]
  41. Chung, T.C.M. Functionalization of polymer membranes for high-temperature proton conduction. Macromolecules 2008, 41, 6474–6480. [Google Scholar]
  42. Wang, Y.; Chen, K.S.; Mishler, J.; Cho, S.C.; Adroher, X.C. A review of polymer electrolyte membrane fuel cells: Technology, applications, and needs on fundamental research. Appl. Energy 2011, 88, 981–1007. [Google Scholar] [CrossRef]
  43. Peighambardoust, S.J.; Rowshanzamir, S.; Amjadi, M. Review of the proton exchange membranes for fuel cell applications. Int. J. Hydrogen Energy 2010, 35, 9349–9384. [Google Scholar] [CrossRef]
  44. Yuan, H.; Li, J.; Tang, Z.; Wang, Y.; Wu, T.; Huang, M.; Zhao, L.; Zhao, Z.; Liu, H.; Xu, C.; et al. Enhanced interfacial stability of Pt/TiO₂/Ti via Pt–O bonding for efficient acidic electrolyzer. Chem. Eng. J. 2024, 492, 152339. [Google Scholar] [CrossRef]
  45. Slavcheva, E.; Borisov, G.; Lefterova, E.; Petkucheva, E.; Boshnakova, I. Ebonex supported iridium as anode catalyst for PEM water electrolysis. Int. J. Hydrogen Energy 2015, 40, 11356–11361. [Google Scholar] [CrossRef]
  46. Stoyanova, A.; Borisov, G.; Lefterova, E.; Slavcheva, E. Oxygen evolution on Ebonex-supported Pt-based binary compounds in PEM water electrolysis. Int. J. Hydrogen Energy 2012, 37, 16515–16521. [Google Scholar] [CrossRef]
  47. Asensio, J.A.; Sánchez, E.M.; Gómez-Romero, P. Proton-conducting membranes based on benzimidazole polymers for high-temperature PEM fuel cells. A chemical quest. Chem. Soc. Rev. 2010, 39, 3210–3239. [Google Scholar] [CrossRef] [PubMed]
  48. Jung, B.; Ahn, Y.; Kim, M.; Nam, S.Y. Enhancing the high-temperature performance of a PBI-based membrane using inorganic fillers for PEMFCs. J. Membr. Sci. 2019, 573, 651–658. [Google Scholar]
  49. Yang, C.; Srinivasan, S.; Arico, A.S.; Creti, P.; Baglio, V.; Antonucci, V. Composite Nafion membranes reinforced with inorganic nanomaterials for PEM fuel cells. Electrochim. Acta 2004, 50, 399–406. [Google Scholar]
  50. Peckham, T.J.; Holdcroft, S. Structure–property relationships of non-fluorinated proton-conducting membranes. Adv. Mater. 2010, 22, 4667–4690. [Google Scholar] [CrossRef]
  51. Langford, J.I.; Wilson, A.J.C. Scherrer after sixty years: A survey and some new results in the determination of crystallite size. J. Appl. Cryst. 1978, 11, 102–113. [Google Scholar] [CrossRef]
  52. Zhang, H.; Shen, P.K. Recent development of polymer electrolyte membranes for fuel cells. Chem. Rev. 2012, 112, 2780–2832. [Google Scholar]
  53. Cooper, K.R. In Situ PEM fuel cell electrochemical surface area and catalyst utilization measurement. Fuel Cell Mag. 2009, 1. Available online: https://www.scribner.com/files/tech-papers/Scribner-on-ECSA-Fuel-Cell-Magazine-2009.pdf (accessed on 1 June 2025).
  54. Unlu, M.; Zhou, Y.; Kohl, P.A. Polybenzimidazole membranes for high-temperature fuel cells and hydrogen separation. J. Membr. Sci. 2010, 350, 1–18. [Google Scholar]
Figure 1. Principal scheme of electrochemical hydrogen pump/compressor (EHP/C) in a single cell mode.
Figure 1. Principal scheme of electrochemical hydrogen pump/compressor (EHP/C) in a single cell mode.
Applsci 15 06507 g001
Figure 2. Principal scheme of nanosized, Pt-based catalysts dispersed over the catalytic support.
Figure 2. Principal scheme of nanosized, Pt-based catalysts dispersed over the catalytic support.
Applsci 15 06507 g002
Figure 3. SEM images of Pt/MPT with the following Pt content: (a) 10 wt.%, (b) 20 wt.%, (c) 30 wt.%, and (d) 40 wt.%. Scale bar: 100 nm.
Figure 3. SEM images of Pt/MPT with the following Pt content: (a) 10 wt.%, (b) 20 wt.%, (c) 30 wt.%, and (d) 40 wt.%. Scale bar: 100 nm.
Applsci 15 06507 g003
Figure 4. XRD spectra of Pt/MPT samples with Pt content ranging from 10 wt.% to 40 wt.%.
Figure 4. XRD spectra of Pt/MPT samples with Pt content ranging from 10 wt.% to 40 wt.%.
Applsci 15 06507 g004
Figure 5. Cyclic voltammograms of Pt/MPT catalysts (10–40 wt.% Pt) recorded at −0.2 V to 1.8 V vs. RHE; scan rate: 50 mV s−1, 20 °C, 0.5 M H2SO4.
Figure 5. Cyclic voltammograms of Pt/MPT catalysts (10–40 wt.% Pt) recorded at −0.2 V to 1.8 V vs. RHE; scan rate: 50 mV s−1, 20 °C, 0.5 M H2SO4.
Applsci 15 06507 g005
Figure 6. Linear voltammograms of Pt/MPT catalysts (10–40 wt.% Pt) recorded at 0.4 V to −0.3 V vs. RHE; scan rate: 1 mV s−1, 20 °C, 0.5 M H2SO4.
Figure 6. Linear voltammograms of Pt/MPT catalysts (10–40 wt.% Pt) recorded at 0.4 V to −0.3 V vs. RHE; scan rate: 1 mV s−1, 20 °C, 0.5 M H2SO4.
Applsci 15 06507 g006
Figure 7. Cell voltage measurements of MEA with 30 wt.% Pt/MPT as cathode and 40 wt.% Pt/XC72 as anode, at 20, 40, and 60 °C.
Figure 7. Cell voltage measurements of MEA with 30 wt.% Pt/MPT as cathode and 40 wt.% Pt/XC72 as anode, at 20, 40, and 60 °C.
Applsci 15 06507 g007
Figure 8. (a) Influence of pressure on MEA performance (30 wt.% Pt/MPT cathode, 40 wt.% Pt/XC72 anode) at constant current of 60 mA·cm−2 with maximum deviation below 3.2% (b) Change in cell voltage per bar with temperature.
Figure 8. (a) Influence of pressure on MEA performance (30 wt.% Pt/MPT cathode, 40 wt.% Pt/XC72 anode) at constant current of 60 mA·cm−2 with maximum deviation below 3.2% (b) Change in cell voltage per bar with temperature.
Applsci 15 06507 g008
Figure 9. Comparison of MEA performance: 30 wt.% Pt/MPT (cathode) vs. commercial 40 wt.% Pt/XC72 (both electrodes) at 60 mA·cm−2.
Figure 9. Comparison of MEA performance: 30 wt.% Pt/MPT (cathode) vs. commercial 40 wt.% Pt/XC72 (both electrodes) at 60 mA·cm−2.
Applsci 15 06507 g009
Table 1. Particle size calculations of the synthesized samples.
Table 1. Particle size calculations of the synthesized samples.
SampleCrystal Size
(111)(200)
FWHMWidthFWHMWidth
Pt/MPT 10% wt.16 (2)12 (2)11 (1)10 (1)
Pt/MPT 20% wt.18 (1)13 (1)12 (1)10 (1)
Pt/MPT 30% wt.16 (1)12 (1)12 (1)9 (1)
Pt/MPT 40% wt.13 (1)9 (1)9 (1)7 (1)
Table 2. BET analysis/results of the produced samples.
Table 2. BET analysis/results of the produced samples.
CharacteristicsPt/MPT
10% wt.
Pt/MPT
20% wt.
Pt/MPT
30% wt.
Pt/MPT
40% wt.
Surface area MP [m3/g]15.317.59.87.7
Surface area SP [m3/g]13.013.48.76.0
Total pore volume [cm3/g]0.0370.0390.0230.018
Average pore diameter [nm]9.799.29.5
Table 3. Active surface area calculated by cyclic voltammetry.
Table 3. Active surface area calculated by cyclic voltammetry.
SampleActive Area
[cm2]
Overpotential
[V]
Pt/MPT 10% wt.1.02−0.063
Pt/MPT 20% wt.1.12−0.063
Pt/MPT 30% wt.1.18−0.059
Pt/MPT 40% wt.1.25−0.058
Disclaimer/Publisher’s Note: The statements, opinions and data contained in all publications are solely those of the individual author(s) and contributor(s) and not of MDPI and/or the editor(s). MDPI and/or the editor(s) disclaim responsibility for any injury to people or property resulting from any ideas, methods, instructions or products referred to in the content.

Share and Cite

MDPI and ACS Style

Borisov, G.R.; Borisov, N.R.; Slavcheva, E. Non-Carbon-Supported, Pt-Based Catalysts with Applications in the Electrochemical Hydrogen Pump/Compressor (EHP/C). Appl. Sci. 2025, 15, 6507. https://doi.org/10.3390/app15126507

AMA Style

Borisov GR, Borisov NR, Slavcheva E. Non-Carbon-Supported, Pt-Based Catalysts with Applications in the Electrochemical Hydrogen Pump/Compressor (EHP/C). Applied Sciences. 2025; 15(12):6507. https://doi.org/10.3390/app15126507

Chicago/Turabian Style

Borisov, Galin Rusev, Nevelin Rusev Borisov, and Evelina Slavcheva. 2025. "Non-Carbon-Supported, Pt-Based Catalysts with Applications in the Electrochemical Hydrogen Pump/Compressor (EHP/C)" Applied Sciences 15, no. 12: 6507. https://doi.org/10.3390/app15126507

APA Style

Borisov, G. R., Borisov, N. R., & Slavcheva, E. (2025). Non-Carbon-Supported, Pt-Based Catalysts with Applications in the Electrochemical Hydrogen Pump/Compressor (EHP/C). Applied Sciences, 15(12), 6507. https://doi.org/10.3390/app15126507

Note that from the first issue of 2016, this journal uses article numbers instead of page numbers. See further details here.

Article Metrics

Back to TopTop