The Influence of the Spillover Punishment Mechanism Under P-MA Theory on the Balance of Perceived Value in the Intelligent Construction of Coal Mines
Abstract
1. Introduction
2. Literature Review
2.1. Game Problems of Government and Enterprise in Coal Mining
2.2. Spillover Effect Theory
2.3. Prospect Mental Accounts Theory
3. Methods
3.1. Game Design and Description
3.2. Game Solution
4. Result and Discussion
4.1. Stability Analysis
4.2. Simulation Model Construction
4.3. System Simulation Analysis
4.3.1. The Impact of Selecting an Initial Change in Strategy on Evolutionary Results
4.3.2. The Impact of Spillover Penalties on Evolutionary Results
4.3.3. The Impact of Mental Account Factor on Evolutionary Results
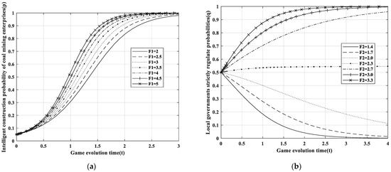
4.3.4. The Impact of Fines on Evolutionary Results
4.3.5. Scenario Validation
5. Conclusions and Implications
5.1. Conclusions
5.2. Implications
Author Contributions
Funding
Institutional Review Board Statement
Informed Consent Statement
Data Availability Statement
Acknowledgments
Conflicts of Interest
References
- International Energy Agency. Coal in Net Zero Transitions; OECD Publishing: Paris, France, 2023. [Google Scholar]
- Wang, G.F.; Ren, H.W.; Zhao, G.R.; Zhang, D.S.; Wen, Z.G.; Meng, L.Y.; Gong, S.X. Research and practice of intelligent coal mine technology systems in China. Int. J. Coal Sci. Technol. 2022, 9, 24. [Google Scholar] [CrossRef]
- Si, L.; Xiong, X.X.; Wang, Z.B.; Tan, C. A deep convolutional neural network model for intelligent discrimination between coal and rocks in coal mining face. Math. Probl. Eng. 2020, 2020, 2616510. [Google Scholar] [CrossRef]
- GB/T 51272-2021; Intelligent Mine Construction Standard. China Standards Press: Beijing, China, 2021.
- State Council. Guofa No. 8: Smart Mining Development Guidelines. Available online: http://www.gov.cn/zhengce/content/2020-03/04/content_5486720.htm (accessed on 1 September 2023).
- Gao, J.; Yang, W.; Shan, X.; Yu, K.; Zhang, Y. An Intervention Study of Employee Safety Behavior in Nuclear Power Plants Under Construction Based on the SEM-SD Model. Buildings 2025, 15, 954. [Google Scholar] [CrossRef]
- Abegaz, T.; Deressa, W.; Moen, B.E. The Relationship Between Safety Climate and Safety Performance in the Large-Scale Building Construction Industry in Ethiopia: A Structural Equation Model Using the NOSACQ-50 Tool. Safety 2025, 11, 28. [Google Scholar] [CrossRef]
- Ren, G.; Zhang, T.; Zhang, H. Ethical VS abusive leadership: How construction project manager influences workers’ safety behavior with the mediating role of alcohol use and moderating role of alcohol climate. Saf. Sci. 2025, 183, 106683. [Google Scholar] [CrossRef]
- Bachar, R.; Urlainis, A.; Wang, K.C.; Shohet, I.M. Optimal allocation of safety resources in small and medium construction enterprises. Saf. Sci. 2025, 181, 106680. [Google Scholar] [CrossRef]
- Kima, O.; Urlainis, A.; Wang, K.C.; Shohet, I.M. Safety climate in small and medium construction enterprises. Smart Sustain. Built Environ. 2024. Available online: https://www.emerald.com/insight/content/doi/10.1108/sasbe-01-2024-0038/full/html (accessed on 23 August 2024).
- Zeibak-Shini, R.; Malka, H.; Kima, O.; Shohet, I.M. Analytical Hierarchy Process for Construction Safety Management and Resource Allocation. Appl. Sci. 2024, 14, 9265. [Google Scholar] [CrossRef]
- Kim, M.J.; Ahn, S.P.; Shin, S.H.; Kang, M.G.; Won, J.H. Comparison of Influencing Factors on Safety Behavior and Perception Between Contractor Managers and Subcontractor Workers at Korean Construction Sites. Buildings 2025, 15, 963. [Google Scholar] [CrossRef]
- Al Mawli, B.; Al Alawi, M.; Elazouni, A.; Al-Mamun, A. Construction SMEs safety challenges in water sector in Oman. Saf. Sci. 2021, 136, 105156. [Google Scholar] [CrossRef]
- Adzivor, E.; Emuze, F.; Ahiabu, M.; Kusedzi, M. Scaling up a positive safety culture among construction small and medium-sized enterprises in Ghana. Int. J. Environ. Res. Public Health 2024, 21, 817. [Google Scholar] [CrossRef]
- Gong, X.; Li, B.; Yang, Y.; Li, M.; Li, T.; Zhang, B.; Zheng, L.; Duan, H.; Liu, P.; Hu, X.; et al. Construction and application of optimized model for mine water inflow prediction based on neural network and ARIMA model. Sci. Rep. 2025, 15, 2009. [Google Scholar] [CrossRef]
- Kaewunruen, S.; O’Nell, C.; Sengsri, P. Digital twin-driven strategic demolition plan for circular asset management of bridge infrastructures. Sci. Rep. 2025, 15, 10554. [Google Scholar]
- Liu, D.H.; Xiao, X.Z.; Li, H.Y.; Wang, W.G. Historical evolution and benefit–cost explanation of periodical fluctuation in coal mine safety supervision: An evolutionary game analysis framework. Eur. J. Oper. Res. 2015, 243, 974–984. [Google Scholar] [CrossRef]
- You, M.J.; Li, S.; Li, D.W.; Cao, Q.R.; Xu, F. Evolutionary game analysis of coal-mine enterprise internal safety inspection system in China based on system dynamics. Resour. Policy 2020, 67, 101673. [Google Scholar] [CrossRef]
- Liu, Q.L.; Li, X.C.; Meng, X.F. Effectiveness research on the multi-player evolutionary game of coal-mine safety regulation in China based on system dynamics. Saf. Sci. 2019, 111, 224–233. [Google Scholar] [CrossRef]
- Yu, K.; Zhou, L.J.; Cao, Q.G.; Li, Z. Evolutionary game research on symmetry of workers’ behavior in coal mine enterprises. Symmetry 2019, 11, 156. [Google Scholar] [CrossRef]
- Liu, Q.L.; Li, X.C.; Hassall, M. Evolutionary game analysis and stability control scenarios of coal mine safety inspection system in China based on system dynamics. Saf. Sci. 2015, 80, 13–22. [Google Scholar] [CrossRef]
- Wang, G.F.; Xu, Y.X.; Ren, H.W. Intelligent and ecological coal mining as well as clean utilization technology in China: Review and prospects. Int. J. Min. Sci. Technol. 2019, 29, 161–169. [Google Scholar] [CrossRef]
- Lu, R.W.; Wang, X.H.; Yu, H.; Li, D. Multiparty evolutionary game model in coal mine safety management and its application. Complexity 2018, 2018, 9620142. [Google Scholar] [CrossRef]
- Zhou, K.; Wang, Q.; Tang, J.N. Tripartite evolutionary game and simulation analysis of coal mining safe production supervision under the Chinese central government’s reward and punishment mechanism. Math. Probl. Eng. 2021, 2021, 5298890. [Google Scholar] [CrossRef]
- Sun, Z.Y.; Wang, W.; Zhu, W.X.; Ma, L.; Dong, Y.T.; Lu, J.W. Evolutionary game analysis of coal enterprise resource integration under government regulation. Environ. Sci. Pollut. Res. 2022, 29, 7127–7152. [Google Scholar] [CrossRef] [PubMed]
- Fan, B.; Guo, T.T.; Xu, R.Z.; Dong, W.Q. Evolutionary game research on the impact of environmental regulation on overcapacity in coal industry. Math. Probl. Eng. 2021, 2021, 5558112. [Google Scholar] [CrossRef]
- Qin, Y.B.; Wang, W.P. Research on ecological compensation mechanism for energy economy sustainable based on evolutionary game model. Energies 2022, 15, 2895. [Google Scholar] [CrossRef]
- Yu, H.; Wang, W.; Yang, B.H.; Li, C.F. Evolutionary game analysis of the stress effect of cross-regional transfer of resource-exhausted enterprises. Complexity 2019, 2019, 7652430. [Google Scholar] [CrossRef]
- Zhang, L. Research on the processing and identification of joint and several liabilities in the civil and commercial law of China. In International Conference on Education, Sports, Arts and Management Engineering; Atlantis Press: Beijing, China, 2017. [Google Scholar]
- Dickinson, D.L.; Dutcher, E.G.; Rodet, C.S. Observed punishment spillover effects: A laboratory investigation of behavior in a social dilemma. Exp. Econ. 2015, 18, 136–153. [Google Scholar] [CrossRef]
- He, Y.N.; Qin, R.X. Autonomous rectification behavior of coal mine safety hazards under a gambling mind: From an evolutionary game perspective. Process Saf. Environ. Prot. 2023, 169, 840–849. [Google Scholar]
- Edwards, K.D. Prospect theory: A literature review. Int. Rev. Financ. Anal. 1996, 5, 19–38. [Google Scholar] [CrossRef]
- Barberis, N.C. Thirty years of prospect theory in economics: A review and assessment. J. Econ. Perspect. 2013, 27, 173–196. [Google Scholar] [CrossRef]
- Treadwell, J.R.; Lenert, L.A. Health values and prospect theory. Med. Decis. Mak. 1999, 19, 344–352. [Google Scholar] [CrossRef]
- Henderson, P.W.; Peterson, R.A. Mental accounting and categorization. Organ. Behav. Hum. Decis. Process. 1992, 51, 92–117. [Google Scholar] [CrossRef]
- Thaler, R.H. Mental accounting and consumer choice. Mark. Sci. 2008, 27, 15–25. [Google Scholar] [CrossRef]
- Amaral, M.A.; Javarone, M.A. Heterogeneity in evolutionary games: An analysis of the risk perception. Proc. R. Soc. A 2020, 476, 20200116. [Google Scholar] [CrossRef]
- Zhao, H.; Liu, X.; Wang, Y.T. Evolutionary game analysis of opportunistic behavior of Sponge City PPP projects: A perceived value perspective. Sci. Rep. 2022, 12, 8798. [Google Scholar] [CrossRef]
- Fennema, H.; Wakker, P. Original and cumulative prospect theory: A discussion of empirical differences. J. Behav. Decis. Mak. 1997, 10, 53–64. [Google Scholar] [CrossRef]
- Kang, E. Director interlocks and spillover effects of reputational penalties from financial reporting fraud. Acad. Manag. J. 2008, 51, 537–555. [Google Scholar] [CrossRef]
- Tversky, A.; Koehler, D.J. Support theory: A non-extensional representation of subjective probability. Psychol. Rev. 1994, 101, 547. [Google Scholar] [CrossRef]
- Dijk, E.V.; Zeelenberg, M. On the psychology of ‘if only’: Regret and the comparison between factual and counterfactual outcomes. Organ. Behav. Hum. Decis. Process. 2005, 97, 152–160. [Google Scholar] [CrossRef]
- Yuan, X.; Wu, Y.; Sun, L.; Wang, X. Game analysis of the influence of the miner under carbon emotion on the intelligent development strategies of the SMEE in coal mines. Processes. 2023, 11, 550. [Google Scholar] [CrossRef]
- Levy, J.S. An introduction to prospect theory. Polit. Psychol. 1992, 13, 171–186. [Google Scholar]
- Li, M.-Q.; Tu, J.; Su, C. Evolutionary Game Analysis on Safety Supervision and Regulation of Coal Mine. In Proceedings of the 2020 Chinese Control and Decision Conference, Hefei, China, 22–24 August 2020. [Google Scholar]
- Lopez-Luzuriaga, A.; Scartascini, C. Compliance spillovers across taxes: The role of penalties and detection. J. Econ. Behav. Organ. 2019, 164, 518–534. [Google Scholar] [CrossRef]
- Arnoldi, J.F.; Haegeman, B. Unifying dynamical and structural stability of equilibria. Proc. Math. Phys. Eng. Sci. 2016, 472, 20150874. [Google Scholar] [CrossRef]
- Gregory, G.; Doron, K.; Ori, L. Decision-making under uncertainty—A field study of cumulative prospect theory. J. Bank. Financ. 2009, 33, 1221–1229. [Google Scholar]
- Wang, J.; Li, H.X.; Tian, S.C.; Yuan, X.F. Development of safety psychological capital scale for coal miners. China Saf. Sci. J. 2018, 28, 7. [Google Scholar]










| Variables | Meanings of Variables | Notes |
|---|---|---|
| p | Rate of intelligent construction in coal mining enterprises | 0 ≤ p ≤ 1 |
| q | Rate of strict regulation by local government departments | 0 ≤ q ≤ 1 |
| m0 | The labor cost of enterprises of fully implementing intelligent construction | m0 > 0 |
| m1 | The mental cost of enterprises of fully implementing intelligent construction | m1 > 0 |
| m2 | The psychological cost of enterprises of not fully implementing intelligent construction (from social norms) | m2 > 0 |
| g0 | The labor cost of strict regulation by local government departments | g0 > 0 |
| g1 | The mental cost of strict regulation by local government departments | g1 > 0 |
| g2 | The psychological cost of deregulation by local government departments (from superiors and the public) | g2 > 0 |
| R1 | The net revenue of coal mining enterprises intelligent construction (whether or not they undertake intelligent construction) | R1 > 0 |
| R2 | Additional revenue and rewards for companies due to intelligent construction | R2 > 0 |
| B1 | Tax revenue and performance of local governments in managing day-to-day affairs | B1 > 0 |
| B2 | Environmental and social benefits of local governments due to intelligent construction | B2> 0 |
| t | Safety accident risk transfer coefficient | 0 ≤ t ≤ 1 |
| L | Cost of safety accident risk to be borne by the responsible party after an accident | L> 0 |
| p0 | Accident risk probability of safety hazards due to not updating intelligent equipment | p0 > 0 |
| α1 | The safety hazard factor when enterprises fully implement intelligent construction and local governments deregulation | α1 > 0 |
| α2 | The safety hazard factor when enterprises do not implement intelligent construction and local governments strict supervision | α2 > 0 |
| μ | The fines factor of local governments is linked to their own reward coefficients | μ > 0 |
| F1 | Local government fines levied on coal mining enterprises that do not implement intelligent construction | F1 > 0 |
| F2 | The penalties from higher authorities when local governments deregulate | F2 > 0 |
| G | The benefits received from enterprises when local governments deregulate | G > 0 |
| p1 | Probability of receiving benefits from enterprises when local governments deregulate | p1 > 0 |
| Games Strategy | Local Government | ||
|---|---|---|---|
| Strict Regulation q | Deregulation 1 − q | ||
| Coal mining enterprise | full implementation p | V(R1 + R2) − C(m0 + m1) V(B1 + B2) − C(g0 + g1) | V(R1 + R2) − C(m0 + m1 + tα1ω(p0)L) V(B1 + B2) − C(g2 + F2 + α1ω(p0)L) |
| no implementation 1 − p | V(R1) − C(m2 + F1 + α2ω(p0)L) V(B1 + μF1) − C(g0 + g1 + tα2ω(p0)L) | V(R1) − C(m2 + ω(p0)L) V(B1 + ω(p1)G) − C(g2 + F2 + ω(p0)L) | |
| Games Strategy | Local Government | ||
|---|---|---|---|
| Strict Regulation q | Deregulation 1 − q | ||
| Coal mining enterprise | full implementation p | V(R1 + R2) − C(m0 + m1 + qF1) V(B1 + B2)-C(g0 + g1) | V(R1 + R2) − C(m0 + m1 + tα1ω(p0)L) V(B1 + B2) − C(g2 + F2 + α1ω(p0)L) |
| no implementation 1 − p | V(R1) − C(m2 + F1 + α2ω(p0)L) V(B1 + μF1) − C(g0 + g1 + tα2ω(p0)L) | V(R1) − C(m2 + ω(p0)L) V(B1 + ω(p1)G) − C(g2 + F2 + ω(p0)L) | |
| Variables | Meanings of the Variables | Notes |
|---|---|---|
| m0 | The labor cost of enterprises of fully implementing intelligent construction | 3 |
| m1 | The mental cost of enterprises of fully implementing intelligent construction | 3 |
| m2 | The psychological cost of enterprises of not fully implementing intelligent construction | 2 |
| g0 | The labor cost of strict regulation by local government departments | 3 |
| g1 | The mental cost of strict regulation by local government departments | 3 |
| g2 | The psychological cost of deregulation by local government departments | 1 |
| R1 | The net revenue of coal mining enterprises intelligent construction | 3 |
| R2 | Additional revenue and rewards for companies due to intelligent construction | 2 |
| B1 | Tax revenue and performance of local governments in managing day-to-day affairs | 3 |
| B2 | Environmental and social benefits of local governments due to intelligent construction | 3 |
| t | Safety accident risk transfer coefficient | 1 |
| L | Cost of safety accident risk to be borne by the responsible party after an accident | 100 |
| p0 | Accident risk probability of safety hazards due to not updating intelligent equipment | 0.03 |
| α1 | The safety hazard factor when enterprises fully implement intelligent construction and local governments deregulation | 0.4 |
| α2 | The safety hazard factor when enterprises do not implement intelligent construction and local governments strict supervision | 0.6 |
| μ | The fines factor of local governments is linked to their own reward coefficients | 0.3 |
| F1 | Local government fines levied on enterprises that do not implement intelligent construction | 3 |
| F2 | The penalties from higher authorities when local governments deregulate | 3 |
| G | The benefits received from enterprises when local governments deregulate | 0.5 |
| p1 | Probability of receiving benefits from enterprises when local governments deregulate | 0.5 |
| Scenario | μ | g0 | g1 | g2 | F1 | F2 | G |
|---|---|---|---|---|---|---|---|
| A | 0.3 | 3 | 3 | 1 | 3 | 3 | 0.35 |
| B | 0.4 | 3.1 | 3.1 | 0.9 | 4 | 2.7 | 0.4 |
| C | 0.5 | 3.2 | 3.2 | 0.8 | 5 | 2.4 | 0.45 |
| D | 0.6 | 3.3 | 3.3 | 0.7 | 6 | 2 | 0.5 |
Disclaimer/Publisher’s Note: The statements, opinions and data contained in all publications are solely those of the individual author(s) and contributor(s) and not of MDPI and/or the editor(s). MDPI and/or the editor(s) disclaim responsibility for any injury to people or property resulting from any ideas, methods, instructions or products referred to in the content. |
© 2025 by the authors. Licensee MDPI, Basel, Switzerland. This article is an open access article distributed under the terms and conditions of the Creative Commons Attribution (CC BY) license (https://creativecommons.org/licenses/by/4.0/).
Share and Cite
Guo, Y.; Li, J.; Cliff, D. The Influence of the Spillover Punishment Mechanism Under P-MA Theory on the Balance of Perceived Value in the Intelligent Construction of Coal Mines. Appl. Sci. 2025, 15, 6394. https://doi.org/10.3390/app15126394
Guo Y, Li J, Cliff D. The Influence of the Spillover Punishment Mechanism Under P-MA Theory on the Balance of Perceived Value in the Intelligent Construction of Coal Mines. Applied Sciences. 2025; 15(12):6394. https://doi.org/10.3390/app15126394
Chicago/Turabian StyleGuo, Yanyu, Jizu Li, and David Cliff. 2025. "The Influence of the Spillover Punishment Mechanism Under P-MA Theory on the Balance of Perceived Value in the Intelligent Construction of Coal Mines" Applied Sciences 15, no. 12: 6394. https://doi.org/10.3390/app15126394
APA StyleGuo, Y., Li, J., & Cliff, D. (2025). The Influence of the Spillover Punishment Mechanism Under P-MA Theory on the Balance of Perceived Value in the Intelligent Construction of Coal Mines. Applied Sciences, 15(12), 6394. https://doi.org/10.3390/app15126394

