Next Article in Journal
Research on the Influence Mechanism of Foam Slurry Wall Formation
Previous Article in Journal
Dynamic Heterogeneous Search-Mutation Structure-Based Equilibrium Optimizer
 
 
Font Type:
Arial Georgia Verdana
Font Size:
Aa Aa Aa
Line Spacing:
Column Width:
Background:
Article

Influence of the Type of Load on Characteristics of a Dedicated USB PD Charging System—A Case Study

by
Przemysław Ptak
*,
Tadeusz Lorkowski
and
Krzysztof Górecki
Department of Power Electronics, Faculty of Electrical Engineering, Gdynia Maritime University, Morska 81-87, 81-225 Gdynia, Poland
*
Author to whom correspondence should be addressed.
Appl. Sci. 2025, 15(10), 5254; https://doi.org/10.3390/app15105254
Submission received: 5 April 2025 / Revised: 2 May 2025 / Accepted: 6 May 2025 / Published: 8 May 2025
(This article belongs to the Section Electrical, Electronics and Communications Engineering)

Abstract

Featured Application

The experimental results presented can be useful for designers of power supply and charging systems for mobile devices operating with the USB Power Delivery standard.

Abstract

This paper presents the results of an experimental study on the charging process of selected mobile device batteries using a dedicated charging system operating in the Universal Serial Bus Power Delivery (USB PD) mode. The charging circuit was developed in the Flyback topology using a power factor correction (PFC) circuit. A block diagram of the charging system under consideration and a block diagram of the measurement set-up are presented. Power resistors with different resistance values and two selected mobile devices with different built-in battery capacitances were used as the load of the charging system under test. The test results are presented as a function of load resistance and the State of Charge (SoC) level of the batteries used. The measurement results obtained are discussed.

1. Introduction

Mobile devices, which include mobile phones, laptops, portable energy stores, or selected wearable devices, require electrical energy stored in built-in batteries in order to operate [1,2,3,4]. A promising solution for charging various mobile devices is the Universal Serial Bus Power Delivery (USB PD) standard in version 3.1. It provides a maximum power output of 240 W and uses a USB Type-C connector to connect to the mobile device. The standard specifies that the charging systems are supplied with a maximum voltage of 48 V and a maximum load current of 5 A. Such high voltage and current values make it possible to charge the battery packs of various mobile devices using a USB Type-C connector [5,6]. The USB PD charging standard works with the Quick Charge 4.0 and 4+ fast charging technology. The Quick Charge technology allows mobile device batteries to be charged quickly, and the charging time for the 20 to 80% State of Charge (SoC) range does not exceed 30 min for a 3 Ah battery capacity [6].
In order to charge a system with the USB PD technology, isolated Flyback converters are used [7,8]. In these converters, Junction Field Effect Transistors (JFETs) made with the Gallium Nitride (GaN) or Silicon (Si) technology are used as switching devices [9,10]. Most of the design solutions are mains-powered, which requires an active power factor correction (PFC) circuit. To control it, a negative feedback loop is used, where the source signal is voltage at the output of the Flyback converter [11,12].
In the literature, many solutions can be found for controlling transistors operating in power supplies using the Flyback topology. There are also different solutions for negotiating different output voltages during a fast charging process. The next part of this section contains a literature review of such control circuits.
In the literature, there are many different control methods described that are dedicated to semiconductor devices used in Flyback converters, which are very often used as voltage conditioning systems supplied from the power grid. In the paper [13], the topology of a Flyback converter is presented, the output of which is connected to inputs of several Buck converters. The solution of such a charging system topology allows several output voltage levels to be obtained, for several independent USB Type-C connectors. The paper [14] presents a Flyback-type charger architecture dedicated to high-performance USB PD-type chargers; what distinguishes this architecture is the control of an Active Clamp Flyback (ACF) converter requiring only two dedicated ICs for full converter operation in the Flyback configuration. This configuration allows for operation at high power density (up to 32.5 W/inch3).
The Variable Frequency Peak Current Mode (VFPCM) control method is used in Flyback converters. This method is widely used in dedicated USB PD charging circuits with an output power less than 100 W. The presented control network ensures high converter efficiency even at low load resistances by reducing the switching frequency of semiconductor devices contained in the Flyback converter [15].
In the literature, different topologies can be found that are dedicated to charging circuits, divided into single-input and multi-output circuits incorporating both a Flyback converter and a Buck converter in their structure. The Buck converter provides a multi-output network dedicated to charging circuits used to power supply and charge mobile devices [16,17,18,19].
A dedicated charging circuit in which the negotiation and communication protocol between the charging circuit and the mobile device was developed using a Field Programmable Gate Array (FPGA) is described in [20]. The difference with respect to the standard charging circuits is that the use of dedicated ICs negotiating voltage and current values between the charging circuit and the mobile device is bypassed.
In the literature, one can find the results of experimental studies on Flyback power supply systems dedicated to the power supply of solid-state light sources. These sources were used in both Light Emitting Diode (LED) lamps emitting the entire visible spectrum used for room illumination [21] and white LED lamps used for roadway illumination in excess of 100 W [22].
The paper [23] presents the results of an experimental study on the use of a PID-controlled Reverse-Buck DC-DC converter with switching devices made of different materials. The use of GaN-based semiconductor devices improves the efficiency of the converter and enables operation at a higher switching frequency. Two different transistors were selected for experimental studies. As the first one, a JFET developed with the GaN technology was used, and as the other one, a MOSFET developed with the Si technology was used. The presented experimental results showed that better performance of the presented DC-DC converters was obtained for the JFET developed with the GaN technology, while it should be noted that the control circuit of this type of transistor is much more complicated than that of a Silicon transistor.
The papers [24,25,26] discuss the results of measurements of currents drawn from the power grid and measurements of parameters determining the degree of distortion of these currents. The total harmonic distortion (THD) and power factor (PF) were indicated as parameters determining distortion. Mobile and smart home devices including power circuits in the Flyback topology and active PFC circuits are presented in [24,25,26]. The paper [26] discusses in detail the standards for the quality of current drawn from the power grid, which must be met by power consumers, whose rated current does not exceed 16 A per supply phase.
Mobile devices require different kinds of electrochemical energy storage [27] for their operation, while different energy storage requires different voltage and power during the charging process. In order to eliminate the need for using different power circuits, the standardization of solutions is carried out, which specifically includes the USB-C connector standard and the USB PD charging standard in the latest version 3.1.
In the papers [28,29], the problem of temperature influence on the charging process of selected Li-Ion batteries and the problem of determining the State of Charge (SoC) level in mobile devices are considered. In the paper [28], the influence of temperature on the charging process parameters and durability of Li-Ion cells charged using fast charging techniques is analyzed. Measurements of the parameters of a Li-Ion cell during the charging process were carried out for two different arbitrarily selected operating temperature values of the cell. In turn, the paper [29] describes the problem of determining the SoC for mobile devices depending on the ambient temperature at which such a device operates. It was noted during the experimental studies that mobile devices operating at very low ambient temperatures, as low as −15 °C, exhibit a very high SoC determination error.
There are many charging systems on the market dedicated to operation with the USB PD standard and allowing fast charging (QC 4.0 and QC 4+) of mobile devices. These chargers also operate in the ACF topology and have a PFC circuit to improve the quality of current drawn from the power grid. Most USB PD charging circuits allow fast charging processes in the QC4.0 and QC 4+, and in the Extended Power Range (ERP) standard, which is the latest standard for USB PDs delivering up to 240 W of the output power.
The main manufacturers of development boards containing dedicated charging circuits are ST Microelectronics (Geneva, Switzerland) (EVLVIPGAN100PD [30], STEVAL-ISC004V1 [31]); Power Integrations (San Jose, CA, USA) (RDR-1002 InnoSwitch5-Pro [32]); Texas Instruments (Dallas, TX, USA) (SSZT522 [33]); and Infineon (Neubiberg, Germany) (XDPS2222 [34]). Charging systems described in [30,32,33,34,35] can operate with mains supply voltages of VinRMS ranging from 90 to 264 V and fline frequency from 47 to 63 Hz. Only the system described in [31] is a DC charging system, which can be supplied with a maximum DC voltage of 48 V and can deliver an output power of up to 100 W. All charging circuits feature the USB PD 3.1 charging standard and operate with mobile devices via a USB Type-C connector. The output power of the charging systems ranges from 100 [30,31,33] to 240 W [34]. The maximum output voltage of these systems can change in the range from 20 to 48 V. The operating parameters of selected charging system are summarized in Table 1.
The aim of this study is to analyze the performance of a dedicated charging system loaded with two selected mobile devices and a charging system operating with a resistive load varying over a wide range. The measurement set-up was designed and constructed. Using this set-up, some tests of the considered charging system were performed. The experimental results on the distortion of the input current drawn from the power grid were discussed. The results of an analysis of the battery SoCs used in two arbitrarily selected mobile devices on the parameters of the tested charging system were also presented. On the basis of the performed measurements, parameters characterizing the influence of the tested system on the power grid were computed and the obtained results were discussed.
Section 2 presents the topology of the dedicated USB Power Delivery (PD) charging system selected for the study and describes its performance parameters. Section 3 presents the measurement set-up used, while Section 4 shows and discusses selected experimental results.

2. Structure of the EVLONE140W Charging System

Figure 1 shows a block diagram of the EVLONE140W [35] dedicated charging system for mobile device batteries with the main components highlighted, manufactured by ST Microelectronics. The circuit is a cascade combination of a PFC controller, a High-Voltage DC to Low-Voltage DC converter in the Flyback topology, and a USB PD 3.1 technology controller performing the fast charging function with Extended Power Range (EPR) for mobile device batteries. A detailed schematic diagram of the EVLONE140W circuit solution is given in [35].
The PFC circuit was developed using the L6563S [36] controller operating in the transition mode PFC. This driver controls a high-voltage STL36N60M6 [37] n-type MOSFET. This transistor has a maximum voltage between the drain and the source VDSmax = 600 V and a maximum drain current IDmax = 25 A. The on-channel resistance RDSon of the transistor under consideration has a value equal to 91 mΩ. The transistor is mounted in an 8 × 8 mm PowerFLAT enclosure dedicated to high-voltage (HV) solutions. A key component of the dedicated charging circuit is the Flyback converter driver with the manufacturer’s designation ST-ONEHP. This circuit includes a Zero-Voltage Switching (ZVS) inverter controller and a 32-bit Advanced Risc Machine (ARM) Cortex M0+ core microcontroller in its structure. The microcontroller is used to generate control waveforms for the MOSFETs operating as switches on the primary side of the Flyback converter, and there is also a USB PD 3.1-based controller in its structure.
The converter under consideration is controlled on the primary side, and the switching devices are two series-connected p-MOSFETs. These transistors are contained in a single Quad Flat No-Leads (QFN) housing with the dimensions of 9 × 9 mm. The transistor module used, designated MASTERGAN1 [38], was fabricated using the GaN technology and features a maximum drain-to-source voltage of VDSmax = 600 V, a maximum drain current IDmax = 10 A, and an on-channel resistance value RDSon = 150 mΩ. Figure 2 shows a view of the Printed Circuit Board (PCB) of the EVLONE140W circuit with the most important components of the topology used marked. The PCB area of the charging circuit under test was 4.1 dm2.
The operating parameters of the EVLONE140W charging system under consideration are summarized in Table 2.
The charging system under study was supplied with AC voltage from the power grid with an RMS value VinRMS ranging from 90 to 250 V and a power grid frequency fline, whose value can vary from 47 to 63 Hz. The USB PD 3.1 technology allows the charging system to operate with different output voltages Vout, and the tested system delivers voltages of 5, 9, 15, 20, and 28 V with output currents Iout equal to 3.75 A @ (5, 9, and 15 V) and 5 A @ (20 and 28 V), respectively. The topology tested allows for operation with a maximum output power Pout not exceeding 140 W. The average energy efficiency ηavg of the tested system when operating at the maximum output power does not exceed 92.58% and does not depend on the RMS value of the power grid voltage.

3. Description of the Measurement Set-Up

Figure 3 shows a block diagram of the set-up for measuring the performance of the EVLONE140W dedicated mobile device charging system.
The measurement system contains three interconnected functional blocks: Power supply block, Measurement block and Load block. The Power supply block contains the ATS-REG1.2 autotransformer, which allows an Alternating Current (AC) supply voltage to be obtained with an RMS value in the range from 0 to 230 V.
The Measurement block, whose main components are the TCPA300 current probe by Tektronix (Beaverton, OR, USA), records waveforms of the supply current for further Fast Fourier (FFT) analysis of these waveforms. A Pintek (Shulin, New Taipei City, Taiwan) differential voltage probe, type DP-25, is used to record the waveforms of the supply voltage of the charging system under test. The current and voltage probes operate together with a GwInstek GDS2104 oscilloscope (New Taipei City, Taiwan), whose software allows a Fast Fourier Transformation (FFT) analysis of the recorded waveforms. The RMS value of input voltage VinRMS and current IinRMS are measured by a voltmeter and ammeter, similarly to the output current Iout and output voltage Vout of the tested charging system. All the considered voltmeters and ammeters are of the type Rigol DM3058E (Suzhou, China). The values of VinRMS and IinRMD are analyzed using a Tektronix PA1000 power analyzer. This analyzer allows the coefficients of total harmonic distortion of the THDI current and THDV voltage to be measured and the power factor (PF) of the charging system under test to be measured. The Device Under Test (DUT) block contains the charging circuit under test operating in the USB PD 3.1 mode.
According to the data given by the manufacturers of the used instruments, the uncertainty of the measurements of the output voltage is described as the sum of 0.015% of the measured voltage and 0.03% of the measurement range. For the output current, the uncertainty is smaller as it is the sum of 0.25% of the measured value and 0.01% of the measurement range. In turn, the uncertainty of measurement of the RMS values of input voltage and current is smaller than the sum of 0.1% of the measured value and 0.1% of the measurement range. The uncertainty of the measurement of power is equal to the sum of 0.075% of the measured value and 0.075% of the range value. The value of uncertainty of PF depends on the phase shift between the input voltage and the input current, and it is not smaller than 0.002.
The measurement set-up analyzed also includes a Load block that allows the system under test to be loaded with a resistor from 1 Ω to 10 kΩ, as well as charging the batteries of selected mobile devices. A switch S was used to switch the type of load. In the experimental tests, the performance of the test charging system was recorded for selected State of Charge (SoC) levels from 10 to 90%.
During the experiments, two mobile devices with different battery capacities were selected. The Galaxy A23 5G smartphone (SM-A236B) manufactured by Samsung (Suwon, Republic of Korea), which contains a Li-Po battery with a capacity of 5 Ah and a voltage rating of 3.7 V, was selected as the first device for the experimental study. The other mobile device was the ThinkBook 14 G2 ITL Notebook manufactured by Lenovo (Beijing, China), which contains a Li-Po battery with a capacity of 3.8 Ah and a voltage rating of 11.55 V. The two mobile devices also differ in the maximum power with which they can be charged; for the smartphone, it is 25 W, while for the notebook, it can be as high as 65 W. Figure 4 shows a view of the measurement set-up.
The total distortion of the current drawn from the power grid can be characterized by the total harmonic distortion coefficient, THDI, of the supply current, which is described by the following formula [8,39]:
T H D I = k = 2 n I k 2 k = 1 n I k 2 100 %
where Ik is the k-th harmonic of the supply current. One of the important parameters describing the performance of the selected power electronic system is energy efficiency η, which can be calculated using the following formula [7,39]:
η = P o u t P i n = P o u t 1 T 0 T V i n ( t ) I i n ( t ) d t 100 %
where Pout is the output power of the power supply system under test, and Pin is the power drawn from the power grid, the value of which was measured with a PA1000 power analyzer.
The adverse effect of time-domain disturbances in the current drawn from the power grid is usually described by the power factor (PF) using a suitable formula implemented in a PA1000 power analyzer [7].
P F = 1 T 0 T V i n ( t ) I i n ( t ) d t V i n R M S I i n R M S
where Vin(t) and Iin(t) denote the instantaneous values of the waveforms of voltage and current drawn from the power grid, while VinRMS and IinRMS denote the RMS values of voltage and current drawn from the power grid, respectively. The paper [8] presents a method for determining the power factor using the THDI current harmonic distortion coefficient, which was used in further experimental studies [8].
P F = 1 1 + T H D I 100 % 2
where THDI is the total harmonic distortion coefficient of the time course of the current drawn from the power grid and determined from the spectrum measured with a GwInstek GDS2104 oscilloscope and Formula (1).
The uncertainty of the measurement of energy efficiency is equal to the product of this efficiency and the sum of a relative error of measurement of output power and input power. In turn, the uncertainty of the measurement of THDI factor can be estimated using the total differential method [40]. It can be described using the following formula:
Δ T H D I = I 1 T H D I I 1 k = 2 n I k Δ I k + Δ I 1 k = 2 n I k 2 k = 1 n I k 2 2
where ΔIk denotes the uncertainty of measurement of RMS values of harmonics Ik. The analogue formula can be used for calculating the uncertainty of THDV.

4. Results of Measurements

Using the measurement set-up shown in Figure 3, the characteristics of the dedicated mobile device charging system were measured. The measurement results were recorded using a PA1000 power analyzer and Rigol DM3058E multimeters, while the results used for further calculations were recorded using a GDS2104 oscilloscope. The oscilloscope software 1.19 version allowed for a Fast Fourier Transform (FFT) analysis of the recorded periodic current and voltage waveforms of the power supply, taking into account 30 consecutive harmonics. The total harmonic distortion coefficient calculations were performed by substituting the RMS values of the individual harmonics in Formula (1).
Figure 5, Figure 6 and Figure 7 illustrate the influence of the SoC level values of the batteries of selected mobile devices on the performance of the EVLONE140W system loaded with the two selected mobile devices, which are hereafter named Smartphone and Notebook. Detailed descriptions of the batteries used in selected mobile devices are presented in Section 3 of the article. The values of the individual operating parameters were measured for the RMS value of the power grid voltage VinRMS = 230 V. The black line indicates the Smartphone load, while the red line indicates the Notebook load.
Figure 5 shows the influence of the SoC level of the batteries of selected mobile devices on the RMS value of the input current IinRMS and the value of the output current Iout.
It can be seen that the RMS value of the input current IinRMS drawn from the power grid adopts an approximately constant value regardless of the change in the SoC level of the mobile device battery, and takes on a value of approximately 0.25 A for Notebook and 0.12 A for Smartphone, respectively. The value of output current Iout for both the mobile devices under test increases as the battery’s SoC level increases, and then, after exceeding SoC = 50% (Smartphone) and SoC = 70% (Notebook), the value of output current Iout decreases to Iout = 1.27 A (Notebook) and Iout = 0.65 A (Smartphone), respectively. The observed dependence of output current Iout for both the mobile devices is qualitatively similar, but quantitatively different due to the lower permissible power that the Smartphone battery can accept, which is only 25 W in the fast charging mode.
Figure 6 shows the influence of the SoC level of the batteries of selected mobile devices on the values of THDI and THDV coefficients. The values of both the coefficients were determined using Formula (1), where the individual harmonics were determined using Fast Fourier Transformation (FFT) and a GDS2104 oscilloscope.
It can be observed that the highest THDI values were obtained for the current drawn from the power grid (THDI = 95.7%) when the charging system was loaded with Smartphone and its SoC level was equal to 70%. It can also be observed that the THDI value for the tested system loaded with Notebook was a slowly decreasing function of the SoC level of the battery. The changes in the value of THDI were very small. They did not exceed 1% for Smartphone and 3% for Notebook. Slightly smaller THD values were obtained for the power grid voltage. These changed in the range from 88% to 91.5%. The high values of THDI and THDV prove that the tested charging system had an adverse effect on the power grid. This system probably did not include any power factor correction circuit.
Figure 7 shows the dependence of energy efficiency η and the PF on the SoC level of the batteries of selected mobile devices. The energy efficiency value was determined using Formula (2), while the PF was determined using Formula (4).
It can be seen that the highest energy efficiency value was obtained for the dedicated charging system loaded with Smartphone for an SoC level equal to 70% and was as high as 99.6%. In contrast, the lowest energy efficiency value was obtained for the tested system loaded with Notebook for an SoC level equal to 10% and was only 81.5%. It can also be seen that the value of the PF for the tested system loaded with Notebook was an increasing function for the whole range of variations in the SoC level battery; its highest value was equal to 0.73 for an SoC level equal to 90%, and the value of energy efficiency at the same level of SoC was the highest at η = 92.5%.
The characteristics shown in Figure 5, Figure 6 and Figure 7 prove that the battery charge state practically does not affect the input current value, but an increase in the SoC value results in a significant decrease in the output current value. The values of the THDI and THDV parameters change only slightly, by a maximum of 3%, in the entire range of changes in the SoC value. It is also worth noting that the energy efficiency of the charging system under consideration increases with an increase in the SoC value and reaches a value equal to even 95%.
Figure 8, Figure 9 and Figure 10 show the effect of the SoC level of the batteries of selected mobile devices on the measured waveforms of input current Iin and the spectrum of this current for the charging system loaded with two selected mobile devices. The waveforms of input current Iin were measured for the RMS value of the power grid voltage VinRMS = 230 V and frequency f = 50 Hz. Two values of the SoC level equal to 10 and 90%, respectively, were selected for the experimental tests. The output voltage Vout of the charging system depended on the mobile device currently being charged and took on values Vout = 9 V (Smartphone) and Vout = 20 V (Notebook). The dependence of the measured input current spectrum Iin on the SoC level battery was presented as the ratio of the individual harmonics to the value of the fundamental harmonic amplitude of the supply current waveform. In the experimental study of input current spectrum Iin, both odd and even harmonics were presented.
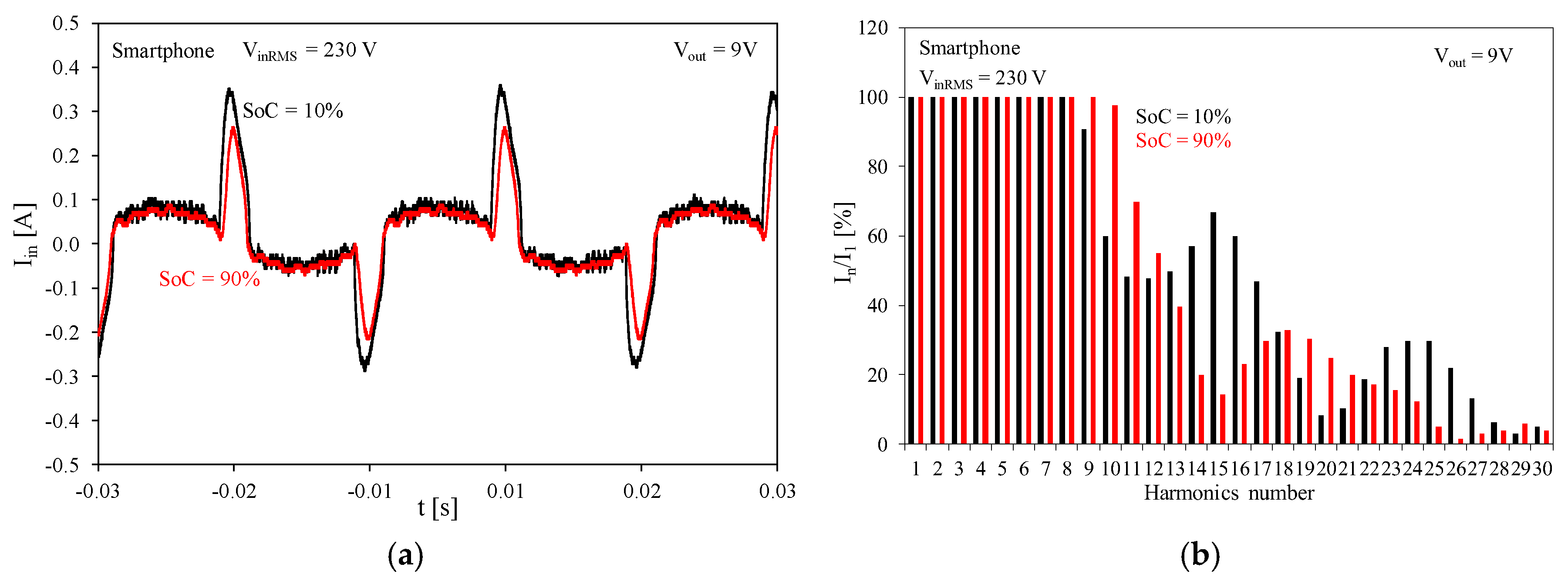
Figure 8 shows the waveforms of input current Iin (a) and the input current spectrum (b) as a function of the SoC level of the built-in battery in the smartphone. The output voltage Vout during the battery charging process was equal to approximately 9 V.
Analyzing Figure 8a, it can be observed that the time waveforms of Iin current are highly distorted and do not resemble sinusoidal waveforms regardless of the charge level of the selected mobile device. It should be noted that a higher peak-to-peak value of input current Iin drawn from the power grid was obtained for SoC equal to 10% and was Iinpp = 0.64 A, and a lower value of 0.48 A was obtained for SoC equal to 90%. The mentioned peak-to-peak value was equal to the difference between the maximum and minimum values of the considered waveform.
Analyzing Figure 8b, it should be noted that regardless of the SoC level of the Smartphone battery, the spectrum of the input current waveform had large normalized harmonic values. For SoC equal to 90%, it can be noted that as many as nine harmonics of the fundamental frequency had the maximum amplitude. It should also be noted that the large amplitude values of the individual harmonics corresponded to very strongly distorted waveforms of input current Iin regardless of the SoC of the mobile device battery.
Figure 9 shows the waveforms of input current Iin (a) and the input current spectrum (b) as a function of the battery SoC used in Notebook. The output voltage Vout of the dedicated charging circuit during the battery charging process was approximately 20 V.
Analyzing Figure 9a, it should be noted that a lower peak-to-peak value of input current Iinpp = 0.62 A was obtained for SoC equal to 90%, while for SoC equal to 10%, the peak-to-peak current value was higher at 0.83 A, which is related to the start of the charging process of the battery used. As the SoC of the battery increased, the charging current decreased. It can also be seen that the waveform of the input current Iin was still far from a sinusoidal shape.
Analyzing Figure 9b, it should be noted that, regardless of the SoC level of the Notebook battery, the spectrum of the input current contained large normalized values of consecutive harmonics. For SoC = 10%, we can observe that as many as nine harmonics of the fundamental frequency had a value significantly close to the maximum amplitude. It should also be noted that the large values of the amplitudes of the individual harmonics correspond to highly distorted waveforms of the input current drawn from the power grid regardless of the SoC level of the Notebook battery.
Figure 10 compares the waveforms of input current Iin (Figure 10a) and the input current spectrum (Figure 10b) for two arbitrary selected loads in the form of mobile device batteries Smartphone and Notebook, respectively. The output voltage Vout of the charging system during the charging process of the Smartphone battery was equal to approximately 9 V, while that of Notebook was equal to approximately 20 V. The SoC level of both the batteries during the analysis of the waveforms of input current Iin and the spectrum of the current under test was equal to 50%.
Analyzing Figure 10a, it can be seen that the recorded input current waveforms are heavily distorted and do not resemble a sinusoidal waveform in their shape. It should be noted that the highest peak-to-peak value of the input current (Iinpp = 0.82 A) was obtained for the charging system loaded with the Notebook battery, while when using the Smartphone battery as the load, the current value was 45% lower and amounted to Iinpp = 0.46 A. The different peak-to-peak values of input current Iin are the result of the different power supplied to the batteries of the selected mobile devices during the tests.
In Figure 10b, it should be noted that the spectrum of the input current waveform contains significant normalized harmonic values. In the case of loading the tested system with the Smartphone battery, we can observe that as many as nine harmonics of the fundamental frequency contained a value significantly close to the maximum amplitude. It should also be noted that the large values of the amplitudes of the individual harmonics correspond to highly distorted waveforms of input current Iin drawn from the power grid regardless of the type of load. It can also be noted that the 30 harmonic bars of the fundamental frequency are presented in the experimental study, and the value of the amplitude of 30 harmonic bars is quite high at about 15% of the amplitude of the first harmonic bar.
Comparing the results presented in Figure 8, Figure 9 and Figure 10, it can be seen that for the load containing a smaller capacity battery (Smartphone), much larger distortions were visible than for Notebook. It can also be seen that the input current distortions were smaller at higher SoC values.
It is also worth noting that the value of the battery charging current also depends on the value of its internal resistance. This resistance limits the maximum value of the charging current, and its increase results in an extension of the charging time [27]. This limitation translates into a limitation of the input current amplitude of the charging system and a reduction in the distortion of this current.
Figure 11, Figure 12 and Figure 13 show the influence of the load resistance Ro on the operating parameters of the charging system. The values of individual operating parameters were measured for the RMS value of the power grid voltage VinRMS = 230 V and for three selected values of output voltages Vout equal to 5, 9, and 20 V, respectively. Changing the output voltage Vout would not be possible without the use of an external USB PD 3.1 port triggering system. In [41], the full technical and operational documentation of the COM-ZY12PDN Trigger the USB PD 3.0 system was presented, which allows the dedicated charging system to operate without a connected mobile device and allows output voltage Vout to be changed within a set range not exceeding 20 V for the tested system. This system acted as a system negotiating the level of the output voltage normally used in mobile devices.
Figure 11 shows the influence of load resistance Ro on the RMS value of the input current IinRMS (Figure 11a) and output current Iout (Figure 11b).
Analyzing the dependences shown in Figure 11, it can be seen that they are a decreasing function of load resistance Ro regardless of output voltage Vout. Figure 11a shows that the highest RMS value of input current IinRMS equal to 0.46 A was obtained for the charging system operating with output voltage Vout = 20 V and load Ro = 4 Ω, while a much smaller value of IinRMS = 0.11 A was obtained for output voltage Vout = 5 V and load resistance Ro = 1 Ω. The lowest effective value of input current IinRMS, about 50 mA, was obtained for resistance Ro = 10 kΩ, for all three values of output voltages Vout.
In Figure 11b, one can see the identical shape of Iout(Ro) dependence as in Figure 11a, while the values of output current Iout are much higher than in the case of the dependence from Figure 11a. For load resistance Ro = 4 Ω and output voltage Vout = 20 V, output current was equal to 4.2 A.
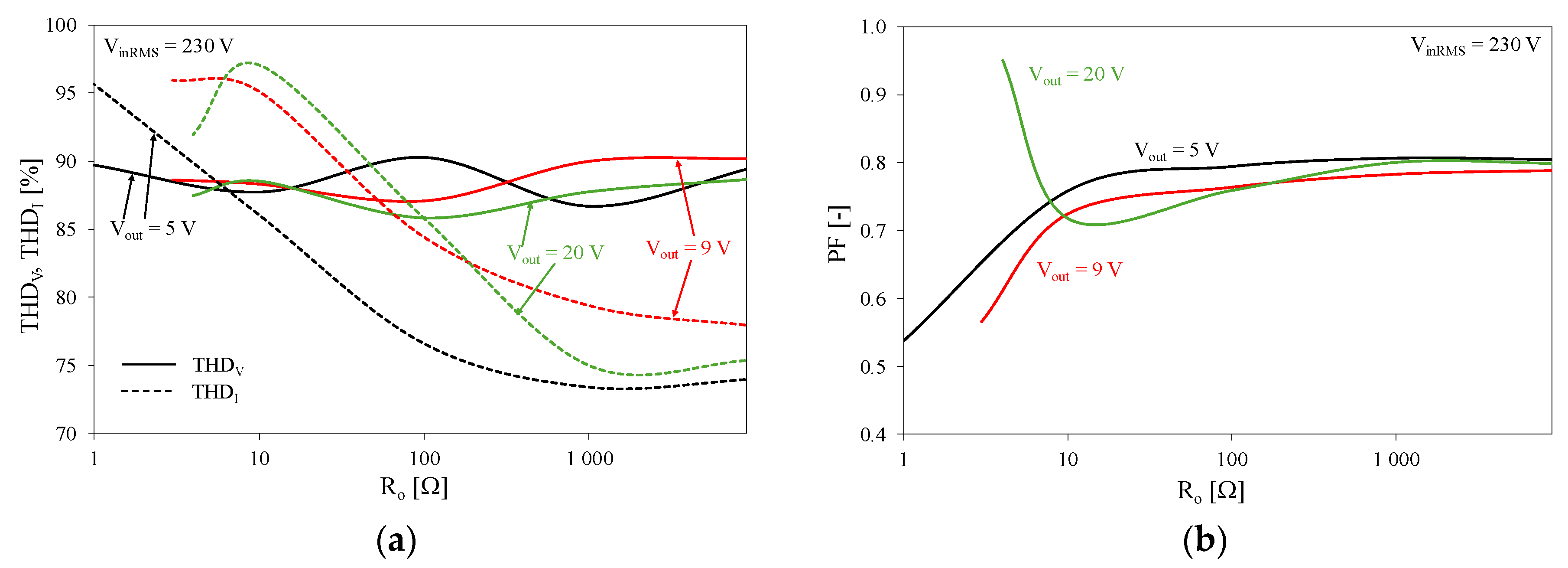
Figure 12 illustrates the influence of load resistance Ro on the total harmonic distortion value THD of the voltage and current drawn from the power grid (a) and the power factor PF (b) for three different values of output voltage Vout. The value of THD was calculated using Formula (1), while the PF value was calculated using Formula (4).
In Figure 12a, it can be seen that, in the whole range of changes in load resistance Ro, the dependence of both the THD coefficients on Ro is a decreasing function. It can be seen that the power network voltage THDV in the whole range of changes in Ro changes only by 5%, while the value of the total harmonic content of the current THDI changes by as much as 18.5%. The highest value of the THDI was obtained for the considered system operating with output voltage Vout = 20 V (THDI = 92% @ Ro = 4 Ω), while the lowest value of the THDI was obtained for the tested system operating with Vout = 5 V (THDI = 73.4% @ Ro = 1 kΩ).
In Figure 12b, it can be seen that the biggest changes in the power factor value were observed for load resistance Ro changing in the range from 1 to 10 Ω. The highest value of the power factor PF = 0.95 was obtained for the charging system operating with load resistance Ro = 4 Ω and output voltage Vout = 20 V. For the load resistance Ro in the range from 1 kΩ to 10 kΩ, the power factor stabilizes at a value of about 0.8.
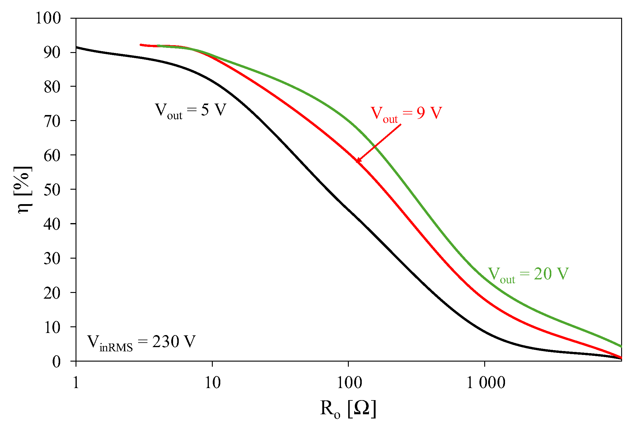
Figure 13 illustrates the influence of load resistance Ro on energy efficiency η of the tested EVLONE140W system for three different values of output voltage Vout. The value of η was calculated using Formula (2).
In Figure 13, it can be seen that the dependence of energy efficiency η of the tested system is a decreasing function of load resistance in the whole range of Ro changes regardless of output voltage Vout. With an increase in the output voltage, the energy efficiency increases. Its highest value η = 91.9% was obtained for Vout = 20 V and Ro = 4 Ω.
In Figure 11, Figure 12 and Figure 13, it can be seen that, at higher values of the output voltage, higher values of the energy efficiency and the input and output current were obtained. The energy efficiency was higher in the range of low values of load resistance. At high values of load resistance, PF values practically did not depend on the value of Vout voltage.
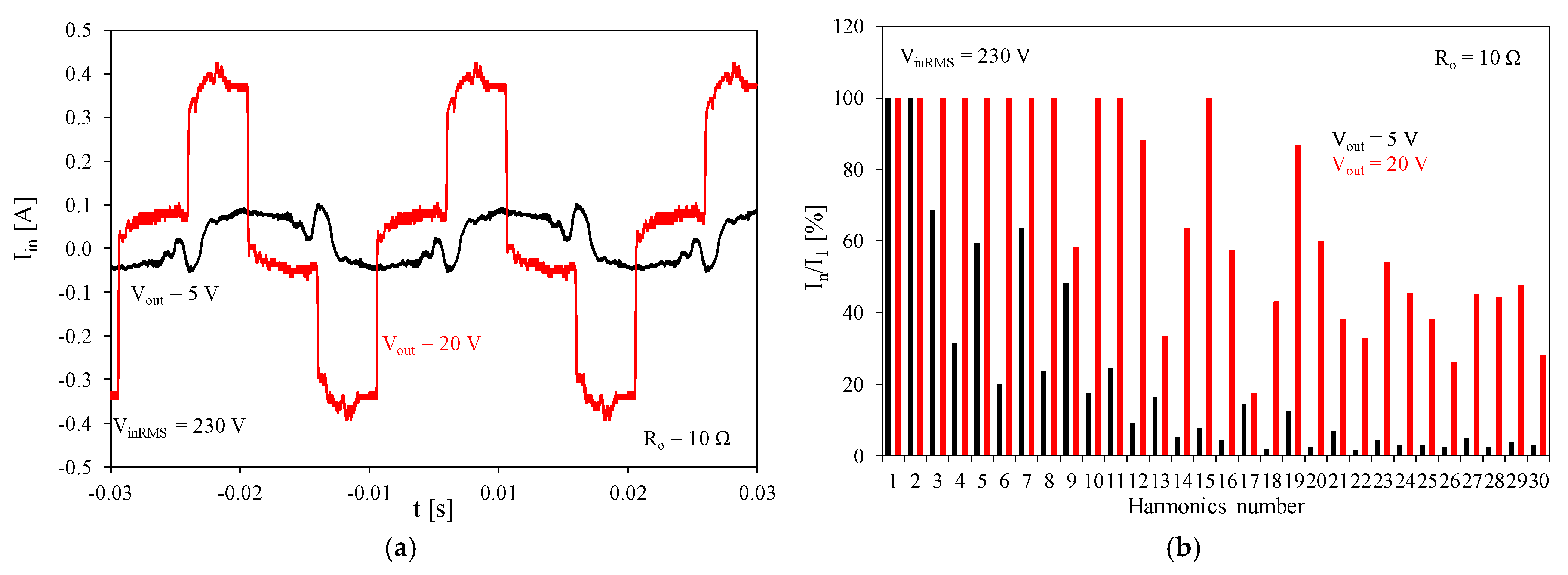
Figure 14 and Figure 15 present the influence of load resistance (Figure 14) and the output voltage (Figure 15) on the waveforms of input current Iin drawn from the power grid by the tested system. Experimental studies were carried out for the power grid voltage VinRMS = 230 V. Figure 14 presents the studies carried out for two different values of load resistance Ro equal to 10 Ω and 1 kΩ, respectively, and for output voltage Vout = 20 V.
In Figure 14a, it should be noted that the highest peak-to-peak value of input current Iinpp = 0.82 A was obtained for load resistance Ro = 10 Ω, and the lowest value Iinpp = 0.16 A for load resistance Ro = 1 kΩ. In turn, in Figure 14b, it can be observed that the highest normalized values of the harmonics in the spectrum of current Iin were obtained for Ro = 10 Ω. During the tests, up to 15 harmonics with the maximum normalized value were recorded, which confirms the high level of distortion of current Iin. In turn, for the considered values of load resistance, only the first and second harmonics with the maximum normalized value could be observed, and higher harmonics had an increasingly smaller amplitude.
Figure 15 presents the test results carried out for two values of output voltage Vout equal to 5 and 20 V, respectively, and for load resistance Ro = 10 Ω. Analyzing Figure 15a, it should be noted that the highest peak-to-peak value of the input current Iinpp = 0.82 A was obtained for output voltage Vout = 20 V, and the lowest value Iinpp = 0.15 A for Vout = 5 V.
In Figure 15b, it can be seen that the largest normalized values of harmonics of the spectrum of current drawn from the power network were obtained for output voltage Vout = 20 V. In turn, for output voltage Vout = 5 V, only the first and second harmonics with the maximum normalized value could be observed. The subsequent harmonics had increasingly smaller amplitudes.
The results presented in Figure 14 and Figure 15 show that the input current of the charging system is much less distorted when operating at low output voltage and high load resistance. Unfortunately, these are not typical operating conditions for such a system and can be observed when the load is a low-voltage battery in a state close to full charge.
The investigations results presented in this section refer only to room temperature. As demonstrated in the paper [27], temperature significantly affects the characteristics of charging and discharging of batteries and their electric capacity. Similarly, in the paper [42], it was found that the properties of switch-mode power supply systems can significantly change when the junction temperature of their components changes. However, thanks to the use of specialized control systems and compensatory properties of the feedback loop, it is possible to ensure the desired parameters of the battery charging current.

5. Conclusions

This paper presents the results of experimental studies on the characteristics of the charging system of different mobile devices operating in the USB Power Delivery 3.1 ERP standard and using a USB Type-C connector for charging. During the studies, the tested system was powered by voltage from the power grid with an RMS value VinRMS = 230 V and operating at three values of output voltage Vout equal to 5, 9, and 20 V, respectively. The effect of the SoC level of selected mobile devices on selected operating parameters of the dedicated charging system was also measured in the range from 10 to 90% of the SoC value.
The experimental studies were conducted using the developed measurement set-up. The measured characteristics confirm the strong influence of the tested switched-mode power supply system made in the ACF topology on the quality of electricity drawn from the power grid, as the recorded values of the input current harmonic distortion factor THDI for the rated RMS value of the supply voltage VinRMS = 230 V exceed the value of even 95%, which may be the result of interference introduced by the complex control system, common to the converter operating in the Flyback topology and to the driver system in USB Power Delivery technology. High values of the current harmonic distortion factor THDI exceeding even 95% occurred during the operation of a dedicated charging system loaded with Smartphone. It should also be noted that the value of output voltage Vout on the value of the power grid voltage harmonic distortion factor THDV in a wide range of load resistance Ro changed from 1 Ω to 10 kΩ. The change in the THDV coefficient value did not exceed 5%.
During the experiments, the waveforms of the current drawn from the power grid were also recorded. The level of distortion of these waveforms corresponds to high values of the harmonic content factor THDI of the current drawn from the power grid, whose courses significantly deviate from the sinusoidal shape.
The tested switching power supply system in the ACF topology has a very high energy efficiency η in the range of small load resistances. It is as high as 91.2% for load resistance Ro = 4 Ω at an RMS value of the supply voltage VinRMS = 230 V. It can be seen that the highest value of energy efficiency η, as high as 99.6%, was obtained for a dedicated charging system loaded with Smartphone for the battery SoC level = 70%.
The above results demonstrated not only the efficiency of the operation of the considered charging system, but also analyzed the influence of this system on the power grid. It was shown that the considered charging system at typical operating conditions is characterized by a high value of THDI and high energy efficiency. From the point of view of the power grid, the lowest value of THDI can be obtained at low values of the output voltage and high values of SoC.
The results presented in this paper may be useful for designers of power supply and charging systems for mobile devices equipped with different electrical energy storage systems whose charging power does not exceed 140 W. The aim of further studies will be to prepare a model of a selected class of power electronic systems operating in a wide range of changes in output voltage Vout and with linear and nonlinear load in the form of batteries used in mobile devices. The developed model should also take into account the SoC charge level of the electrical energy storage devices used. In order to perform such investigations, models of different kinds of batteries should be elaborated. Such models will describe the dynamic properties of these batteries. Investigations should also be performed for higher values of the output power.

Author Contributions

Conceptualization (P.P., T.L. and K.G.); methodology (P.P. and K.G.); validation (P.P., T.L. and K.G.); investigation (P.P. and T.L.); writing—original draft preparation (P.P. and K.G.); writing—review and editing (P.P., T.L. and K.G.); visualization (P.P. and T.L.); supervision (P.P. and K.G.). All authors have read and agreed to the published version of the manuscript.

Funding

This research received no funding.

Institutional Review Board Statement

Not applicable.

Informed Consent Statement

Not applicable.

Data Availability Statement

The original contributions presented in this study are included in the article. Further inquiries can be directed to the corresponding author.

Conflicts of Interest

The authors declare no conflicts of interest.

Abbreviations

The following abbreviations are used in this manuscript:
USB PDUniversal Serial Bus Power Delivery
TM PFCTransition mode power factor correction
QCQuick Charge
JFETJunction Field Effect Transistor
GaNGallium Nitride
SiSilicon
THDTotal harmonic distortion
PFPower factor
LEDLight Emitting Diode
ACFActive Clamp Flyback
VFPCMVariable Frequency Peak Current Mode
MOSFETMetal Oxide Semiconductor Field Effect Transistor
SoCState of Charge
FPGAField Programmable Gate Array
HVDCHigh-Voltage Direct Current
DCDirect Current
ACAlternating Current
ARMAdvanced Risc Machine
QFNQuad Flat No-Leads
PCBPrinted Circuit Board
FFTFast Fourier Transform
DUTDevice Under Test
QCQuick Charge
EPRExtended Power Range

References

  1. Manoharan, S.; Mahalakshmi, B.; Ananthi, K.; Elakya, A. A review on smartphone charger: Technologies and challenges. In Proceedings of the 2024 5th International Conference on Intelligent Communication Technologies and Virtual Mobile Networks ICICV 2024, Tirunelveli, India, 11–12 March 2024. [Google Scholar] [CrossRef]
  2. Simhadri, S.; Pong, P.; Prasad, V. USB-C/A Charger with GaN FET. In Proceedings of the 2024 7th International Conference on Electrical Engineering and Green Energy CEEGE 2024, Los Angeles, CA, USA, 28 June–1 July 2024. [Google Scholar] [CrossRef]
  3. Plett, G.L. Battery Management Systems: Battery Modelling; Artech House: Norwood, MA, USA, 2015. [Google Scholar]
  4. Ahmad, I.; Fernandes, B.G. Concept of universal USB charger. In Proceedings of the IEEE Industry Applications Society Annual Meeting IAS 2020, Detroit, MI, USA, 10–16 October 2020. [Google Scholar] [CrossRef]
  5. Kasper, M.J.; Anderson, J.A.; Deboy, G.; Li, Y.; Haider, M.; Kolar, J.W. Next generation GaN-based architectures: From 240W USB-C adapters to 11kW EV on-board chargers with ultra-high power density and wide output voltage range. In Proceedings of the International Exhibition and Conference for Power Electronics, Intelligent Motion, Renewable Energy and Energy Management PCIM Europe 2022, Nuremberg, Germany, 10–12 May 2022. [Google Scholar] [CrossRef]
  6. Universal Serial Bus Power Delivery Standard Documentation. Available online: https://www.usb.org/usb-charger-pd (accessed on 21 March 2025).
  7. Rashid, M.H. Power Electronics Handbook, 3rd ed.; Elsevier: Amsterdam, The Netherlands, 2011. [Google Scholar]
  8. Winder, S. Power Supplies for LED Driving, 2nd ed.; Elsevier BV: Aalborg, Denmark, 2017. [Google Scholar]
  9. Meneghini, M.; Meneghesso, G.; Zanoni, E. Power GaN Devices. Materials, Applications and Reliability; Springer: Cham, Switzerland, 2017. [Google Scholar]
  10. Xue, L.; Zhang, J. Design considerations of highly-efficient active clamp flyback converter using GaN power ICs. In Proceedings of the 2018 IEEE Applied Power Electronics Conference and Exposition APEC 2018, San Antonio, TX, USA, 4–8 March 2018. [Google Scholar] [CrossRef]
  11. Safwat, I.M.; Xiahua, W. Comparative study between passive PFC and active PFC based on buck-boost conversion. In Proceedings of the 2017 IEEE 2nd Advanced Information Technology, Electronic and Automation Control Conference IAEAC 2017, Chongqing, China, 25–26 March 2017. [Google Scholar] [CrossRef]
  12. Adragna, C.; Gritti, G.; Raciti, A.; Rizzo, S.A.; Susinni, G. Analysis of the input current distortion and guidelines for designing high power factor quasi-resonant flyback LED drivers. Energies 2020, 13, 2989. [Google Scholar] [CrossRef]
  13. Terry, L. Multiport Type-C & PD charger topology and control methodologies. In Proceedings of the International Exhibition and Conference for Power Electronics, Intelligent Motion, Renewable Energy and Energy Management PCIM Europe 2023, Nuremberg, Germany, 9–11 May 2023. [Google Scholar] [CrossRef]
  14. Milind, D.; Thomas, J.; Rajarajan, R.; Acharya, K.G. Secondary side-controlled fly-back converter for usb pd charger application. In Proceedings of the 2024 IEEE International Communications Energy Conference INTELEC 2024, Bengaluru, India, 4–7 August 2024. [Google Scholar] [CrossRef]
  15. Cheng, C.-H.; Wu, P.-S.; Wang, S.-S. Unified small-signal model and compensator design of flyback converter with peak-current control at variable frequency for USB power delivery. IEEE Trans. Power Electron. 2018, 34, 783–793. [Google Scholar] [CrossRef]
  16. Zole, P.; Neole, B. Design of USB power supply hub with battery charger. In Proceedings of the 2023 International Conference on Innovative Mechanisms for Industry Applications ICIMIA 2023, Bengaluru, India, 21–23 December 2023. [Google Scholar] [CrossRef]
  17. Xue, L.; Tian, X.; Cui, H. Implementation of time division multiplexing with commercial flyback controller for multi-outputs USB power delivery charger. IEEE Open J. Power Electron. 2022, 3, 665–678. [Google Scholar] [CrossRef]
  18. Chang, W.-H.; Lin, K.-Y.; Lee, C.-C.; Lo, L.-D.; Lin, J.-Y.; Yang, T.-Y. 18.5 ZVS flyback-converter ICs optimizing USB power delivery for fast-charging mobile devices to achieve 93.5% efficiency. In Proceedings of the 2020 IEEE International Solid-State Circuits Conference ISSCC 2020, San Francisco, CA, USA, 16–20 February 2020. [Google Scholar] [CrossRef]
  19. Hu, J.; Wen, B.; Burgos, R.; Fernandez-Mattos, R.; Mclean, A. Design of a flying-capacitor-based voltage divider LLC resonant converter for USB-C PD charger in aircraft applications. IEEE Trans. Power Electron. 2023, 38, 9944–9960. [Google Scholar] [CrossRef]
  20. Xi, D. Research and design of fast charge controller based on USB PD protocol of FPGA. J. Phys. Conf. Ser. IOP Publ. 2020, 1639, 012005. [Google Scholar] [CrossRef]
  21. Ptak, P.; Górecki, K.; Heleniak, J.; Orlikowski, M. Investigations of electrical and optical parameters of some LED luminaires—A study case. Energies 2021, 14, 1612. [Google Scholar] [CrossRef]
  22. Ptak, P. Experimental studies of LED street lamp power supply. Prz. Elektrotechniczny 2021, 97, 179–182. [Google Scholar] [CrossRef]
  23. Ptak, P.; Górecki, K.; Klewer, D. Zasilacz sterowany cyfrowo z przetwornicą reverse buck. Prz. Elektrotechniczny 2023, 1, 287–290. [Google Scholar] [CrossRef]
  24. Dolara, A.; Leva, S. Power quality and harmonic analysis of end user devices. Energies 2012, 5, 5453–5466. [Google Scholar] [CrossRef]
  25. Devarapalli, H.P.; Dhanikonda, V.S.S.S.S.; Gunturi, S.B. Non-intrusive identification of load patterns in smart homes using percentage total harmonic distortion. Energies 2020, 13, 4628. [Google Scholar] [CrossRef]
  26. EN 61000–3–2; Electromagnetic Compatibility (EMC)—Part 3-2: Limits—Limits for Harmonic Current Emissions (Equipment Input Current up to and Including 16 A per Phase). 5th ed. Official Journal of the European Union: Luxembourg, 2018.
  27. Detka, K.; Górecki, K. Selected Technologies of Electrochemical Energy Storage—A Review. Energies 2023, 16, 5034. [Google Scholar] [CrossRef]
  28. Burzyński, D.; Głuchy, D.; Godek, M. Temperature influence on the charging process parameters and lifespan of lithium-ion cells with use of the quick charge technology. Pozn. Univ. Technol. Acad. J. Electr. Eng. 2018, 95, 309–320. [Google Scholar] [CrossRef]
  29. He, L.; Lee, Y.; Kim, E.; Shin, K.G. Environment-aware estimation of battery state-of-charge for mobile devices. In Proceedings of the ICCPS ‘19: ACM/IEEE 10th International Conference on Cyber-Physical Systems, Montreal, QC, Canada, 16–18 April 2019; pp. 227–236. [Google Scholar] [CrossRef]
  30. Datasheet EVLVIPGAN100PD USB PD 3.1 AC Power Supply Evaluation Board. Available online: https://www.st.com/en/evaluation-tools/evlvipgan100pd.html (accessed on 28 April 2025).
  31. Datasheet STEVAL-ISC004V1 USB PD 3.1 DC Power Supply Evaluation Board. Available online: https://www.st.com/en/evaluation-tools/steval-isc004v1.html (accessed on 28 April 2025).
  32. Datasheet RDR-1002 InnoSwitch5-Pro USB PD 3.1 AC Power Supply Evaluation Board. Available online: https://www.power.com/design-support/design-examples/rdr-1002-140-w-usb-pd-3pt1-epr-innoswitch5-pro-powigan-hiperpfs-5 (accessed on 28 April 2025).
  33. Datasheet SSZT522 USB PD 3.1 AC Power Supply Evaluation Board. Available online: https://www.ti.com/document-viewer/lit/html/SSZT522 (accessed on 28 April 2025).
  34. Datasheet XDPS2222 USB PD 3.1 AC Power Supply Evaluation Board. Available online: https://www.infineon.com/cms/en/product/evaluation-boards/eval_xdps2222_240w1/ (accessed on 28 April 2025).
  35. Datasheet EVLONE140W USB PD 3.1 AC Power Supply Evaluation Board. Available online: https://www.st.com/en/evaluation-tools/evlone140w.html (accessed on 28 April 2025).
  36. Datasheet L6563S TMPFC Driver. Available online: https://www.st.com/en/power-management/l6563s.html (accessed on 28 April 2025).
  37. Datasheet STL36N60M6 MOSFET Transistor. Available online: https://www.st.com/en/power-transistors/stl36n60m6.html (accessed on 28 April 2025).
  38. Datasheet MASTERGAN1 Half-Bridge Power Module. Available online: https://www.st.com/en/power-management/mastergan1.html (accessed on 28 April 2025).
  39. Beaty, W.H. Handbook of Electric Power Calculations, 3rd ed.; McGraw-Hill: New York, NY, USA, 2012. [Google Scholar]
  40. Górecki, K.; Posobkiewicz, K. Influence of the selection of the approximating function of thermometric characteristics on the measurement results of thermal resistance of power mosfets. Metrol. Meas. Syst. 2024, 31, 307–321. [Google Scholar] [CrossRef]
  41. Datasheet COM-ZY12PDN Trigger USB PD 3.0. Available online: https://www.gotronik.pl/wyzwalacz-tester-dla-ladowarek-powerdelivery-usb-typ-c-p-7813.html (accessed on 28 April 2025).
  42. Górecki, K. Influence of parasitic elements and operating conditions of semiconductor switches on power losses and the junction temperature of these switches. Energies 2023, 16, 5803. [Google Scholar] [CrossRef]
Figure 1. Block diagram of the EVLONE140W dedicated charging system.
Figure 1. Block diagram of the EVLONE140W dedicated charging system.
Applsci 15 05254 g001
Figure 2. View of the key components of the dedicated charging circuit: top side of the PCB (a), bottom side of the PCB (b).
Figure 2. View of the key components of the dedicated charging circuit: top side of the PCB (a), bottom side of the PCB (b).
Applsci 15 05254 g002
Figure 3. Measurement set-up scheme.
Figure 3. Measurement set-up scheme.
Applsci 15 05254 g003
Figure 4. View of the measurement set-up.
Figure 4. View of the measurement set-up.
Applsci 15 05254 g004
Figure 5. Measured dependence of the RMS value of input current IinRMS and output current Iout on the SoC level of the batteries.
Figure 5. Measured dependence of the RMS value of input current IinRMS and output current Iout on the SoC level of the batteries.
Applsci 15 05254 g005
Figure 6. Calculated dependence of the current THDI and voltage THDV coefficient on the SoC level of the batteries.
Figure 6. Calculated dependence of the current THDI and voltage THDV coefficient on the SoC level of the batteries.
Applsci 15 05254 g006
Figure 7. Calculated dependence of energy efficiency and the power factor on the SoC level of the batteries.
Figure 7. Calculated dependence of energy efficiency and the power factor on the SoC level of the batteries.
Applsci 15 05254 g007
Figure 8. Measured waveforms (a) and the spectrum (b) of the input current for different values of the SoC battery used in Smartphone.
Figure 8. Measured waveforms (a) and the spectrum (b) of the input current for different values of the SoC battery used in Smartphone.
Applsci 15 05254 g008
Figure 9. Measured waveforms (a) and the spectrum (b) of the input current for different values of the level of the SoC battery used in Notebook.
Figure 9. Measured waveforms (a) and the spectrum (b) of the input current for different values of the level of the SoC battery used in Notebook.
Applsci 15 05254 g009
Figure 10. Measured waveforms (a) and the spectrum (b) of input current Iin for different mobile devices at SoC = 50%.
Figure 10. Measured waveforms (a) and the spectrum (b) of input current Iin for different mobile devices at SoC = 50%.
Applsci 15 05254 g010
Figure 11. Measured dependences of the RMS value of the input current (a) and the output current (b) on load resistance.
Figure 11. Measured dependences of the RMS value of the input current (a) and the output current (b) on load resistance.
Applsci 15 05254 g011
Figure 12. Calculated dependence of the total harmonic distortion factor of the current THDI, the total harmonic distortion factor of the voltage THDV (a) and the power factor PF (b) on load resistance Ro.
Figure 12. Calculated dependence of the total harmonic distortion factor of the current THDI, the total harmonic distortion factor of the voltage THDV (a) and the power factor PF (b) on load resistance Ro.
Applsci 15 05254 g012
Figure 13. Calculated dependence of the energy efficiency on load resistance.
Figure 13. Calculated dependence of the energy efficiency on load resistance.
Applsci 15 05254 g013
Figure 14. Measured waveforms (a) and the spectrum (b) of input current Iin for different values of load resistance.
Figure 14. Measured waveforms (a) and the spectrum (b) of input current Iin for different values of load resistance.
Applsci 15 05254 g014
Figure 15. Measured waveforms (a) and the spectrum (b) of the input current for different values of the charging system output voltage.
Figure 15. Measured waveforms (a) and the spectrum (b) of the input current for different values of the charging system output voltage.
Applsci 15 05254 g015
Table 1. Operating parameters of the selected charging system [30,31,32,33,34,35].
Table 1. Operating parameters of the selected charging system [30,31,32,33,34,35].
Type of ChargerPower SupplyInput
Frequency [Hz]
Input Voltage Range [V]Maximum Output Power [W]Output Voltage [V]
EVLONE140W [35]AC47-632501405, 9, 12, 15, 20, 28
RDR-1002 InnoSwitch5-Pro [32]AC47-6390-2651405, 9, 12, 15, 20, 28
EVLVIPGAN100PD [30]AC47-6390-2641005, 9, 12, 15, 20
STEVAL-ISC004V1 [31]DC---5-481005, 9, 12, 15, 20
SSZT522 [33]AC47-63100-2401005, 9, 12, 15, 20
XDPS2222 [34]AC47-6390-2642405, 9, 12, 15, 20, 28, 40, 48
Table 2. Operating parameters of the EVLONE140W charging system [35].
Table 2. Operating parameters of the EVLONE140W charging system [35].
Parameter [Unit]MinNominalMax
Input line voltage, VinRMS [V]90115/230250
Input line frequency, fline [Hz]4750/6063
Output voltage, Vout [V] (@ VinRMS = 115 V to 230 V, Iout = 0 to 3 A/5 A) 5, 9, 15, 20, 28
Output current, Iout [A] 03.75 @ 5 V, 9 V, 15 V
5 @ 20 V, 28 V
Continuous output power, Pout [W]0 140
Average energy efficiency, ηavg [%] (@ VinRMS = 115 V, Vout = 28 V) 92.43
Average energy efficiency, ηavg [%] (@ VinRMS = 230 V, Vout = 28 V) 92.58
Disclaimer/Publisher’s Note: The statements, opinions and data contained in all publications are solely those of the individual author(s) and contributor(s) and not of MDPI and/or the editor(s). MDPI and/or the editor(s) disclaim responsibility for any injury to people or property resulting from any ideas, methods, instructions or products referred to in the content.

Share and Cite

MDPI and ACS Style

Ptak, P.; Lorkowski, T.; Górecki, K. Influence of the Type of Load on Characteristics of a Dedicated USB PD Charging System—A Case Study. Appl. Sci. 2025, 15, 5254. https://doi.org/10.3390/app15105254

AMA Style

Ptak P, Lorkowski T, Górecki K. Influence of the Type of Load on Characteristics of a Dedicated USB PD Charging System—A Case Study. Applied Sciences. 2025; 15(10):5254. https://doi.org/10.3390/app15105254

Chicago/Turabian Style

Ptak, Przemysław, Tadeusz Lorkowski, and Krzysztof Górecki. 2025. "Influence of the Type of Load on Characteristics of a Dedicated USB PD Charging System—A Case Study" Applied Sciences 15, no. 10: 5254. https://doi.org/10.3390/app15105254

APA Style

Ptak, P., Lorkowski, T., & Górecki, K. (2025). Influence of the Type of Load on Characteristics of a Dedicated USB PD Charging System—A Case Study. Applied Sciences, 15(10), 5254. https://doi.org/10.3390/app15105254

Note that from the first issue of 2016, this journal uses article numbers instead of page numbers. See further details here.

Article Metrics

Back to TopTop