Evidence for Proximity Effect in Superconductor–Organic Semiconductor–Superconductor Stacked Devices
Featured Application
Abstract
1. Introduction
2. Materials and Methods
2.1. Material Considerations
2.2. Sample Preparation
2.3. Transport Measurements
2.4. Film Characterization
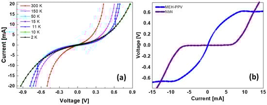
3. Results and Discussion
3.1. Overcoming Pinholes
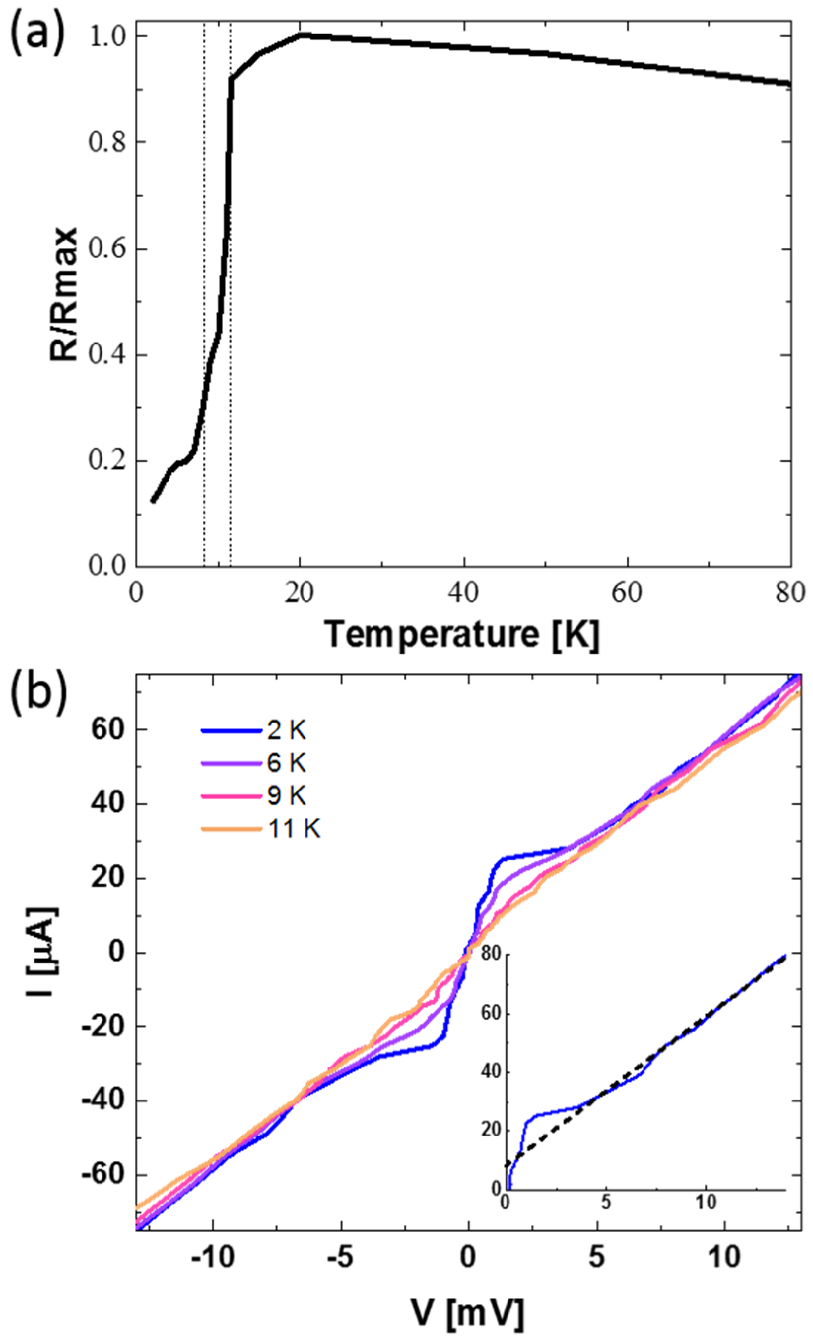
3.2. Superconductors’ Properties
3.3. SC-O-SC Temperature-Dependent Transport Properties
4. Conclusions
Supplementary Materials
Author Contributions
Funding
Institutional Review Board Statement
Informed Consent Statement
Data Availability Statement
Acknowledgments
Conflicts of Interest
References
- Josephson, B.D. Potential differences in the mixed state of type II superconductors. Phys. Lett. 1965, 16, 1963–1964. [Google Scholar] [CrossRef]
- Bouscher, S.; Panna, D.; Balasubramanian, K.; Cohen, S.; Ritter, D.; Hayat, A. Enhanced Cooper-Pair Injection into a Semiconductor Structure by Resonant Tunneling. Phys. Rev. Lett. 2022, 128, 127701. [Google Scholar] [CrossRef]
- Suemune, I.; Sasakura, H.; Hayashi, Y.; Tanaka, K.; Akazaki, T.; Asano, Y.; Inoue, R.; Takayanagi, H.; Hanamura, E.; Huh, J.-H.; et al. Cooper-Pair Radiative Recombination in Semiconductor Heterostructures: Impact on Quantum Optics and Optoelectronics. Jpn. J. Appl. Phys. 2012, 51, 010114. [Google Scholar] [CrossRef]
- Mou, S.S.; Irie, H.; Asano, Y.; Akahane, K.; Nakajima, H.; Kumano, H.; Sasaki, M.; Murayama, A.; Suemune, I. Optical observation of superconducting density of states in luminescence spectra of InAs quantum dots. Phys. Rev. B 2015, 92, 035308. [Google Scholar] [CrossRef]
- Asano, Y.; Suemune, I.; Takayanagi, H.; Hanamura, E. Luminescence of a Cooper Pair. Phys. Rev. Lett. 2009, 103, 4. [Google Scholar] [CrossRef]
- Sasakura, H.; Kuramitsu, S.; Hayashi, Y.; Tanaka, K.; Akazaki, T.; Hanamura, E.; Inoue, R.; Takayanagi, H.; Asano, Y.; Hermannstädter, C.; et al. Enhanced Photon Generation in a Nb/n-InGaAs/p-InP Superconductor/Semiconductor-Diode Light Emitting Device. Phys. Rev. Lett. 2011, 107, 157403. [Google Scholar] [CrossRef]
- Benz, S.P.; Burroughs, C.J. Coherent emission from two-dimensional Josephson junction arrays. Appl. Phys. Lett. 1991, 58, 2162–2164. [Google Scholar] [CrossRef]
- Ozyuzer, L.; Koshelev, A.E.; Kurter, C.; Gopalsami, N.; Li, Q.; Tachiki, M.; Kadowaki, K.; Yamamoto, T.; Minami, H.; Yamaguchi, H.; et al. Emission of Coherent THz Radiation from Superconductors. Science 2007, 318, 1291–1293. [Google Scholar] [CrossRef]
- Godschalk, F.; Hassler, F.; Nazarov, Y.V. Proposal for an Optical Laser Producing Light at Half the Josephson Frequency. Phys. Rev. Lett. 2011, 107, 073901. [Google Scholar] [CrossRef]
- Recher, P.; Nazarov, Y.V.; Kouwenhoven, L.P. Josephson Light-Emitting Diode. Phys. Rev. Lett. 2010, 104, 156802. [Google Scholar] [CrossRef]
- Bouscher, S.; Panna, D.; Hayat, A. Semiconductor–superconductor optoelectronic devices. J. Opt. 2017, 19, 103003. [Google Scholar] [CrossRef]
- Hayat, A.; Kee, H.-Y.; Burch, K.S.; Steinberg, A.M. Cooper-pair-based photon entanglement without isolated emitters. Phys. Rev. B 2014, 89, 094508. [Google Scholar] [CrossRef]
- Shailos, A.; Nativel, W.; Kasumov, A.; Collet, C.; Ferrier, M.; Guéron, S.; Deblock, R.; Bouchiat, H. Proximity effect and multiple Andreev reflections in few-layer graphene. Europhys. Lett. 2007, 79, 57008. [Google Scholar] [CrossRef]
- Borzenets, I.V.; Coskun, U.C.; Jones, S.J.; Finkelstein, G. Phase Diffusion in Graphene-Based Josephson Junctions. Phys. Rev. Lett. 2011, 107, 137005. [Google Scholar] [CrossRef]
- Kasumov, A.Y.; Kociak, M.; Guéron, S.; Reulet, B.; Volkov, V.T.; Klinov, D.V.; Bouchiat, H. Proximity-Induced Superconductivity in DNA. Science 2001, 291, 280–282. [Google Scholar] [CrossRef]
- Kasumov, A.Y. Supercurrents Through Single-Walled Carbon Nanotubes. Science 1999, 284, 1508–1511. [Google Scholar] [CrossRef]
- Winkelmann, C.B.; Roch, N.; Wernsdorfer, W.; Bouchiat, V.; Balestro, F. Superconductivity in a single-C60 transistor. Nat Phys 2009, 5, 876–879. [Google Scholar] [CrossRef]
- Haupt, S.G.; Riley, D.R.; Jones, C.T.; Zhao, J.; McDevitt, J.T. Reversible modulation of Tc in conductive polymer/high temperature superconductor assemblies. J. Am. Chem. Soc. 1993, 115, 1196–1198. [Google Scholar] [CrossRef]
- Chen, H.; Qiu, C.; Wong, M.; Kwok, H.S. DC sputtered indium-tin oxide transparent cathode for organic light-emitting diode. IEEE Electron Device Lett. 2003, 24, 315–317. [Google Scholar] [CrossRef]
- Gu, G.; Bulović, V.; Burrows, P.E.; Forrest, S.R.; Thompson, M.E. Transparent organic light emitting devices. Appl. Phys. Lett. 1996, 68, 2606–2608. [Google Scholar] [CrossRef]
- Drachmann, A.C.C.; Suominen, H.J.; Kjaergaard, M.; Shojaei, B.; Palmstrøm, C.J.; Marcus, C.M.; Nichele, F. Proximity Effect Transfer from NbTi into a Semiconductor Heterostructure via Epitaxial Aluminum. Nano Lett. 2017, 17, 1200–1203. [Google Scholar] [CrossRef] [PubMed]
- Ju, J.; Yamagata, Y.; Higuchi, T. Thin-Film Fabrication Method for Organic Light-Emitting Diodes Using Electrospray Deposition. Adv. Mater. 2009, 21, 4343–4347. [Google Scholar] [CrossRef] [PubMed]
- Zhao, X.; Zhan, X. Electron transporting semiconducting polymers in organic electronics. Chem. Soc. Rev. 2011, 40, 3728–3743. [Google Scholar] [CrossRef] [PubMed]
- Daire, A.; Goeke, W.; Tupta, M.A. White Paper: New Instruments Can Lock out Lock-Ins. Available online: https://www.tek.com/en/documents/whitepaper/new-instruments-can-lock-out-lock-ins (accessed on 18 December 2024).
- Reddy, V.S.; Dhar, a. Optical and charge carrier transport properties of polymer light emitting diodes based on MEH-PPV. Phys. B Condens. Matter 2010, 405, 1596–1602. [Google Scholar] [CrossRef]
- Chand, M.; Mishra, A.; Xiong, Y.; Kamlapure, A.; Chockalingam, S.; Jesudasan, J.; Bagwe, V.; Mondal, M.; Adams, P.; Tripathi, V.; et al. Temperature dependence of resistivity and Hall coefficient in strongly disordered NbN thin films. Phys. Rev. B 2009, 80, 134514. [Google Scholar] [CrossRef]
- Waldram, J.R.; Pippard, A.B.; Clarke, J. Theory of the Current-Voltage Characteristics of SNS Junctions and other Superconducting Weak Links. Philos. Trans. R. Soc. London Ser. A Math. Phys. Sci. 1970, 268, 265–287. [Google Scholar] [CrossRef][Green Version]
- Magnée, P.H.C.; van der Post, N.; Kooistra, P.H.M.; van Wees, B.J.; Klapwijk, T.M. Enhanced conductance near zero voltage bias in mesoscopic superconductor-semiconductor junctions. Phys. Rev. B 1994, 50, 4594–4599. [Google Scholar] [CrossRef]
- Aly, A.H.; Phillips, A.H. Quantum Transport in a Superconductor-Semiconductor Mesoscopic System. Phys. Status Solidi (B) 2002, 232, 283–287. [Google Scholar] [CrossRef]
- Paajaste, J.; Amado, M.; Roddaro, S.; Bergeret, F.S.; Ercolani, D.; Sorba, L.; Giazotto, F. Pb/InAs Nanowire Josephson Junction with High Critical Current and Magnetic Flux Focusing. Nano Lett. 2015, 15, 1803–1808. [Google Scholar] [CrossRef]
- Wegmann, G.; Giessen, H.; Greiner, A.; Mahrt, R.F. Laser emission from a solid conjugated polymer: Gain, tunability, and coherence. Phys. Rev. B 1998, 57, R4218–R4221. [Google Scholar] [CrossRef]
- Samuel, I.D.W.; Turnbull, G.A. Organic semiconductor lasers. Chem. Rev. 2007, 107, 1272–1295. [Google Scholar] [CrossRef]





Disclaimer/Publisher’s Note: The statements, opinions and data contained in all publications are solely those of the individual author(s) and contributor(s) and not of MDPI and/or the editor(s). MDPI and/or the editor(s) disclaim responsibility for any injury to people or property resulting from any ideas, methods, instructions or products referred to in the content. |
© 2024 by the authors. Licensee MDPI, Basel, Switzerland. This article is an open access article distributed under the terms and conditions of the Creative Commons Attribution (CC BY) license (https://creativecommons.org/licenses/by/4.0/).
Share and Cite
Kremen, A.; Aviv, H.; Tischler, Y.R.; Sharoni, A. Evidence for Proximity Effect in Superconductor–Organic Semiconductor–Superconductor Stacked Devices. Appl. Sci. 2025, 15, 85. https://doi.org/10.3390/app15010085
Kremen A, Aviv H, Tischler YR, Sharoni A. Evidence for Proximity Effect in Superconductor–Organic Semiconductor–Superconductor Stacked Devices. Applied Sciences. 2025; 15(1):85. https://doi.org/10.3390/app15010085
Chicago/Turabian StyleKremen, Anna, Hagit Aviv, Yaakov Raphael Tischler, and Amos Sharoni. 2025. "Evidence for Proximity Effect in Superconductor–Organic Semiconductor–Superconductor Stacked Devices" Applied Sciences 15, no. 1: 85. https://doi.org/10.3390/app15010085
APA StyleKremen, A., Aviv, H., Tischler, Y. R., & Sharoni, A. (2025). Evidence for Proximity Effect in Superconductor–Organic Semiconductor–Superconductor Stacked Devices. Applied Sciences, 15(1), 85. https://doi.org/10.3390/app15010085

