Prototype System for Supporting Medical Diagnosis Based on Voice Interviewing
Abstract
1. Introduction
1.1. Non-Standard or Colloquial Language in a Diverse Patient Population
1.2. Methodology
Machine Learning Classifiers
1.3. Preparation of Data for the System
1.3.1. Creation of Disease Vectors
1.3.2. Description of Data and Disease Classes
1.3.3. Classes of Disease
- 19—Lyme disease
- 27—Infectious mononucleosis
- 47—Dermatophytosis (skin fungus infection)
- 51—Hemiplegia
- 112—Kidney stones
- 125—Diabetes
- 126—Type II diabetes
- 135—Pneumonia
- 177—Influenza (flu)
- 178—Osteoarthritis
- 184—Herpangina
- 188—Bacterial middle ear infection
- 191—Giardiasis
- 194—Iron deficiency anemia
- 196—Benign prostatic hyperplasia
1.3.4. Exemplary Questions
1.3.5. Example Disease Vector—Sparse Representation
- 0,0,0,0,0,0,0,0,0,0,0,0,0,0,0,0,0,0,0,0,0,0,0,0,0,0,0,0,0,0,0,0,0,0,0,0,0,0,0,0,0,0,0,0,2,0,0,0,0,0,0,0,
- 0,0,0,0,0,0,0,0,0,0,0,0,0,0,0,0,0,0,0,0,0,0,0,0,0,0,0,0,0,0,0,0,0,0,0,0,0,0,0,0,0,0,0,0,0,0,0,0,0,0,0,0,
- 0,0,0,0,0,0,0,0,0,0,0,0,0,0,0,0,0,0,0,0,0,0,0,0,0,0,0,0,0,0,0,0,0,0,0,0,0,0,0,0,0,0,0,0,0,0,0,0,0,0,0,0,
- 0,0,0,0,0,0,0,0,0,0,0,0,0,0,0,0,0,0,0,0,0,0,0,0,0,0,0,0,0,0,0,0,0,0,0,0,0,0,0,0,0,0,0,0,0,0,0,0,0,0,0,0,
- 0,0,0,0,0,0,0,0,0,0,0,0,0,0,0,0,0,0,0,0,0,0,0,0,0,0,0,0,0,0,0,0,0,0,0,0,0,0,0,0,0,0,0,0,0,0,0,0,0,0,0,0,
- 0,0,0,0,0,0,0,0,0,0,0,0,0,0,0,0,0,0,0,0,0,0,0,0,0,0,0,0,0,0,0,0,0,0,0,0,0,0,0,0,0,0,0,0,0,0,0,0,0,0,0,0,
- 0,0,0,0,0,0,0,0,0,0,0,0,0,0,0,0,0,0,0,0,0,0,0,0,0,0,0,0,0,0,0,0,0,0,0,0,0,0,2,0,2,0,0,0,0,0,0,0,4,0,0,0,
- 0,0,0,0,0,0,0,0,0,0,0,0,0,0,2,0,0,0,0,0,2,0,0,0,0,0,0,0,0,0,0,0,0,0,0,0,0,0,0,0,0,0,0,0,0,0,0,0,0,0,0,0,
- 0,0,0,0,0,0,0,0,0,0,0,0,0,0,0,0,0,0,0,0,0,0,0,0,0,0,0,0,0,0,0,0,0,0,0,0,0,0,0,0,0,0,0,0,0,0,0,0,0,0,0,0,
- 0,0,0,0,0,0,0,0,0,0,0,0,0,0,0,0,0,0,0,0,0,0,0,0,0,0,0,0,0,0,0,0,0,0,0,0,0,0,0,0,0,0,0,0,0,0,0,0,0,0,0,0,
- 0,0,0,0,0,0,0,0,0,0,0,0,0,0,0,0,0,0,0,0,0,0,0,0,0,0,0,0,0,0,0,0,0,0,0,0,0,0,0,0,0,0,0,0,0,0,0,0,0,0,0,0,
- 0,0,0,0,0,0,0,0,0,0,0,0,0,0,0,0,0,0,0,0,0,0,0,0,0,0,0,0,0,0,0,0,0,0,0,0,0,0,0,0,0,0,0,0,0,0,0,0,0,0,0,0,
- 0,0,0,0,0,0,0,0,0,0,0,0,0,0,0,0,0,0,0,0,0,0,0,0,0,0,0,0,0,0,0,0,0,0,0,0,0,0,0,0,0,0,0,0,0,0,0,0,0,0,0,126
1.3.6. Interpretation of Response Vectors
- 0—Indicates that there is no question for this specific disease entity (class) at this position in the vector. In disease-related questions, the absence of a question means that this feature is not relevant for diagnosing this disease entity.
- 1—Indicates that the question was asked, and the patient answered negatively.
- 2—Indicates that the question was asked, and the patient answered positively.
- 3 and above—These values are used for multiple-choice questions, where each number represents a specific answer identifier within the question system. For example, the question “Where do you feel pain?” might have the following answers: neck (3), leg (4), abdomen (5), and so on.
1.3.7. Data Sources
- Surveys conducted by doctors based on interviews with patients.
- Anonymised disease epics, which are detailed descriptions of disease cases.
- Diagnostic charts from the medical literature, especially from the book ‘Interna Szczeklika’ [8], which contains recognised assessment schemes for many diseases.
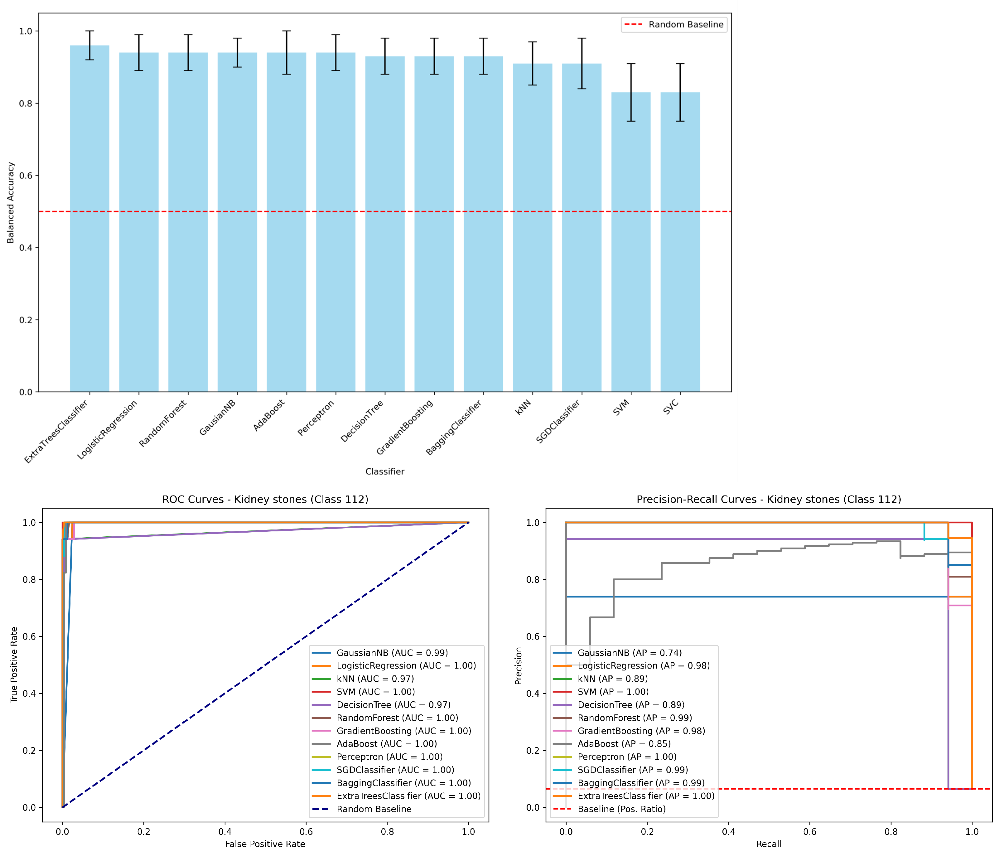
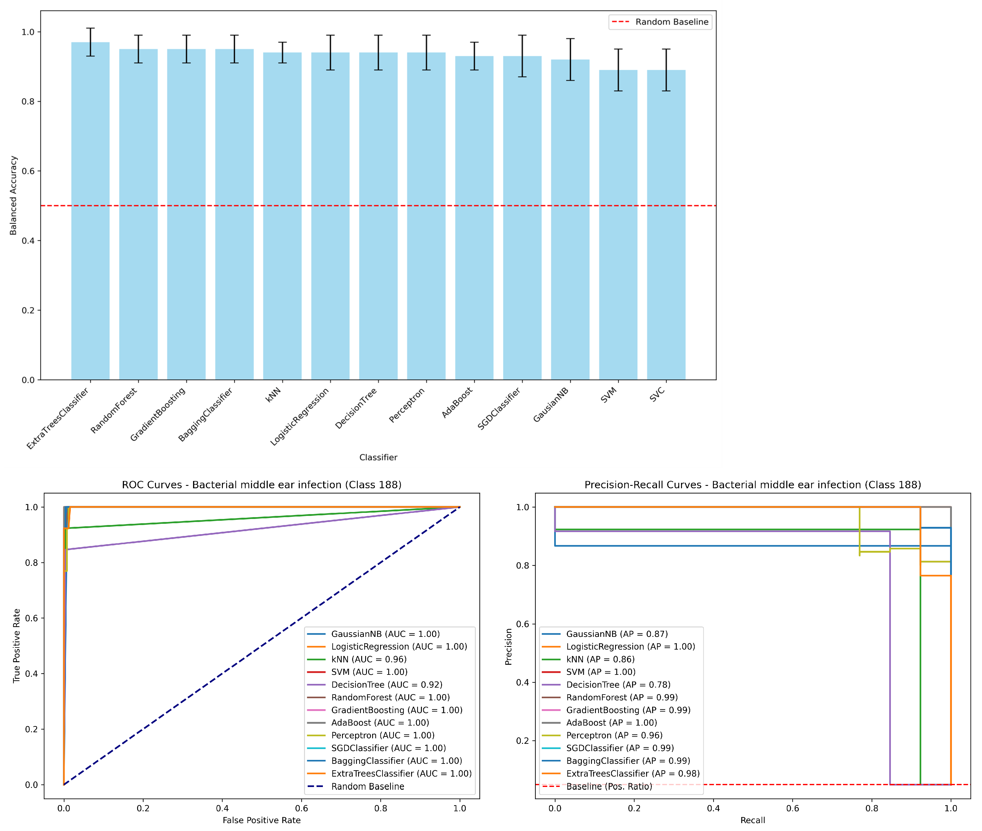
2. In Search of the Effectiveness of a Diagnosis Support System—Results
3. Summary of Results
4. Discussion of the Difficulties Encountered
- Irregularities involving an inappropriate sequence of questions asked, which included questions relating to areas of the body unrelated to the reported health problems.
- The practice of asking questions referring to symptoms already mentioned at the time of the first statement, i.e., the so-called verbosity, limited the possibility of obtaining a detailed medical history.
- Lack of precision in identifying the symptoms reported by the patient.
- The interviews collected did not provide detailed information on the medical condition, which hindered an effective diagnostic analysis.
- The need to adapt the questioning process to obtain more balanced and precise data for medical analysis.
- Automated tests of the system showed that the diagnostic sensitivity of the solution under development was too low.
- Errors in symptom determination due to misclassification of the word ‘pain’.
- Generation of questions that were too general. The questions did not detail the interview but added other information that was not very relevant to the diagnosis.
5. Conclusions
Author Contributions
Funding
Institutional Review Board Statement
Informed Consent Statement
Data Availability Statement
Acknowledgments
Conflicts of Interest
References
- Wang, Y.; Kung, L.; Byrd, T.A. Big data analytics: Understanding its capabilities and potential benefits for healthcare organizations. Technol. Forecast. Soc. Change 2018, 126, 3–13. [Google Scholar] [CrossRef]
- Medyczny System Wspomagania Decyzji Lekarskiej Oparty na Sztucznej Inteligencji. Available online: https://ptt.arp.pl/bazy/ (accessed on 20 December 2024).
- Shortliffe, E.H. Computer-Based Medical Consultations: MYCIN; Elsevier: New York, NY, USA, 1976. [Google Scholar]
- Ferrucci, D.; Levas, A.; Bagchi, S.; Gondek, D.; Mueller, E.T. Watson: Beyond jeopardy! Artif. Intell. 2013, 199, 93–105. [Google Scholar] [CrossRef]
- Xu, Q.-S.; Liang, Y.-Z. Monte Carlo cross-validation. Chemom. Intell. Lab. Syst. 2001, 56, 1–11. [Google Scholar] [CrossRef]
- Kohavi, R. A Study of Cross-Validation and Bootstrap for Accuracy Estimation and Model Selection. In Proceedings of the International Joint Conference on Artificial Intelligence, Montreal, QC, Canada, 20–25 August 1995. [Google Scholar]
- Pedregosa, F.; Varoquaux, G.; Gramfort, A.; Michel, V.; Thirion, B.; Grisel, O.; Blondel, M.; Prettenhofer, P.; Weiss, R.; Dubourg, V.; et al. Scikit-learn: Machine Learning in Python. J. Mach. Learn. Res. 2011, 12, 2825–2830. [Google Scholar]
- Szczeklik, A.; Gajewski, P. Interna Szczeklika; MP (Medycyna praktyczna): Kraków, Poland, 2024; ISBN 9788374307178. [Google Scholar]
- Tharwat, A. Classification Assessment Methods. Appl. Comput. Inform. 2018, 17, 168–192. [Google Scholar] [CrossRef]








| Question | Type |
|---|---|
| Is there chest pain? | boolean |
| Where is the chest pain located? | answers |
| Is there radiating chest pain? | answers |
| In which part of the body does thoracic radiation occur? | answers |
| What is the nature of the chest pain? | boolean |
| What is the duration of chest pain? | range |
| What causes chest pain and what are the circumstances of its occurrence? | answers |
| What causes chest pain to subside? | answers |
| What is the intensity of the chest pain? | answers |
| Classifier | Sensitivity | Specificity | Balanced Accuracy | Sensitivity SD | Specificity SD | Balanced Accuracy SD |
|---|---|---|---|---|---|---|
| LogisticRegression | 1.0 | 0.94 | 0.97 | 0.0 | 0.07 | 0.04 |
| RandomForest | 1.0 | 0.92 | 0.96 | 0.0 | 0.08 | 0.04 |
| AdaBoost | 1.0 | 0.93 | 0.96 | 0.0 | 0.08 | 0.04 |
| ExtraTreesClassifier | 1.0 | 0.92 | 0.96 | 0.0 | 0.07 | 0.03 |
| Perceptron | 0.99 | 0.9 | 0.95 | 0.01 | 0.07 | 0.04 |
| SGDClassifier | 1.0 | 0.9 | 0.95 | 0.0 | 0.09 | 0.04 |
| kNN | 1.0 | 0.88 | 0.94 | 0.0 | 0.09 | 0.04 |
| DecisionTree | 1.0 | 0.88 | 0.94 | 0.0 | 0.1 | 0.05 |
| GradientBoosting | 1.0 | 0.88 | 0.94 | 0.0 | 0.09 | 0.04 |
| BaggingClassifier | 1.0 | 0.89 | 0.94 | 0.0 | 0.09 | 0.04 |
| GausianNB | 0.95 | 0.88 | 0.92 | 0.01 | 0.1 | 0.05 |
| SVM | 1.0 | 0.82 | 0.91 | 0.0 | 0.11 | 0.06 |
| SVC | 1.0 | 0.82 | 0.91 | 0.0 | 0.11 | 0.06 |
| Classifier | Sensitivity | Specificity | Balanced Accuracy | Sensitivity SD | Specificity SD | Balanced Accuracy SD |
|---|---|---|---|---|---|---|
| ExtraTreesClassifier | 1.0 | 0.92 | 0.96 | 0.0 | 0.07 | 0.04 |
| LogisticRegression | 1.0 | 0.88 | 0.94 | 0.0 | 0.1 | 0.05 |
| RandomForest | 1.0 | 0.89 | 0.94 | 0.0 | 0.1 | 0.05 |
| GausianNB | 0.99 | 0.89 | 0.94 | 0.01 | 0.08 | 0.04 |
| AdaBoost | 0.99 | 0.89 | 0.94 | 0.0 | 0.11 | 0.06 |
| Perceptron | 0.99 | 0.89 | 0.94 | 0.0 | 0.1 | 0.05 |
| DecisionTree | 1.0 | 0.87 | 0.93 | 0.0 | 0.09 | 0.05 |
| GradientBoosting | 1.0 | 0.86 | 0.93 | 0.0 | 0.1 | 0.05 |
| BaggingClassifier | 1.0 | 0.87 | 0.93 | 0.0 | 0.1 | 0.05 |
| kNN | 0.99 | 0.82 | 0.91 | 0.01 | 0.12 | 0.06 |
| SGDClassifier | 1.0 | 0.82 | 0.91 | 0.0 | 0.14 | 0.07 |
| SVM | 1.0 | 0.66 | 0.83 | 0.0 | 0.15 | 0.08 |
| SVC | 1.0 | 0.66 | 0.83 | 0.0 | 0.15 | 0.08 |
| Classifier | Sensitivity | Specificity | Balanced Accuracy | Sensitivity SD | Specificity SD | Balanced Accuracy SD |
|---|---|---|---|---|---|---|
| RandomForest | 1.0 | 0.97 | 0.99 | 0.0 | 0.04 | 0.02 |
| ExtraTreesClassifier | 1.0 | 0.97 | 0.99 | 0.0 | 0.04 | 0.02 |
| LogisticRegression | 1.0 | 0.96 | 0.98 | 0.0 | 0.05 | 0.03 |
| kNN | 0.99 | 0.95 | 0.97 | 0.0 | 0.06 | 0.03 |
| SVM | 1.0 | 0.95 | 0.97 | 0.0 | 0.05 | 0.03 |
| SVC | 1.0 | 0.95 | 0.97 | 0.0 | 0.05 | 0.03 |
| DecisionTree | 1.0 | 0.95 | 0.97 | 0.0 | 0.06 | 0.03 |
| GradientBoosting | 1.0 | 0.95 | 0.97 | 0.0 | 0.06 | 0.03 |
| AdaBoost | 1.0 | 0.95 | 0.97 | 0.0 | 0.06 | 0.03 |
| Perceptron | 1.0 | 0.93 | 0.97 | 0.0 | 0.09 | 0.05 |
| BaggingClassifier | 1.0 | 0.95 | 0.97 | 0.0 | 0.06 | 0.03 |
| SGDClassifier | 1.0 | 0.92 | 0.96 | 0.01 | 0.11 | 0.05 |
| GausianNB | 0.99 | 0.91 | 0.95 | 0.0 | 0.08 | 0.04 |
| Classifier | Sensitivity | Specificity | Balanced Accuracy | Sensitivity SD | Specificity SD | Balanced Accuracy SD |
|---|---|---|---|---|---|---|
| ExtraTreesClassifier | 1.0 | 0.93 | 0.97 | 0.0 | 0.07 | 0.04 |
| RandomForest | 1.0 | 0.9 | 0.95 | 0.0 | 0.09 | 0.04 |
| GradientBoosting | 1.0 | 0.9 | 0.95 | 0.0 | 0.08 | 0.04 |
| BaggingClassifier | 1.0 | 0.91 | 0.95 | 0.0 | 0.08 | 0.04 |
| kNN | 0.99 | 0.89 | 0.94 | 0.01 | 0.07 | 0.03 |
| LogisticRegression | 1.0 | 0.89 | 0.94 | 0.0 | 0.1 | 0.05 |
| DecisionTree | 0.99 | 0.89 | 0.94 | 0.0 | 0.09 | 0.05 |
| Perceptron | 0.99 | 0.9 | 0.94 | 0.01 | 0.1 | 0.05 |
| AdaBoost | 0.99 | 0.86 | 0.93 | 0.0 | 0.08 | 0.04 |
| SGDClassifier | 1.0 | 0.87 | 0.93 | 0.0 | 0.12 | 0.06 |
| GausianNB | 0.99 | 0.85 | 0.92 | 0.01 | 0.11 | 0.06 |
| SVM | 1.0 | 0.79 | 0.89 | 0.0 | 0.12 | 0.06 |
| SVC | 1.0 | 0.79 | 0.89 | 0.0 | 0.12 | 0.06 |
| Classifier | Sensitivity | Specificity | Balanced Accuracy | Sensitivity SD | Specificity SD | Balanced Accuracy SD |
|---|---|---|---|---|---|---|
| GausianNB | 0.91 | 0.97 | 0.94 | 0.02 | 0.05 | 0.02 |
| LogisticRegression | 1.0 | 0.87 | 0.93 | 0.0 | 0.09 | 0.05 |
| Perceptron | 0.99 | 0.87 | 0.93 | 0.01 | 0.12 | 0.06 |
| SGDClassifier | 0.99 | 0.86 | 0.93 | 0.01 | 0.15 | 0.07 |
| ExtraTreesClassifier | 1.0 | 0.84 | 0.92 | 0.0 | 0.09 | 0.05 |
| BaggingClassifier | 0.99 | 0.83 | 0.91 | 0.0 | 0.09 | 0.04 |
| RandomForest | 1.0 | 0.8 | 0.9 | 0.0 | 0.1 | 0.05 |
| GradientBoosting | 1.0 | 0.81 | 0.9 | 0.0 | 0.11 | 0.06 |
| kNN | 1.0 | 0.79 | 0.89 | 0.0 | 0.1 | 0.05 |
| DecisionTree | 0.99 | 0.79 | 0.89 | 0.01 | 0.12 | 0.06 |
| AdaBoost | 0.99 | 0.78 | 0.89 | 0.01 | 0.09 | 0.05 |
| SVM | 1.0 | 0.67 | 0.83 | 0.0 | 0.13 | 0.06 |
| SVC | 1.0 | 0.67 | 0.83 | 0.0 | 0.13 | 0.06 |
Disclaimer/Publisher’s Note: The statements, opinions and data contained in all publications are solely those of the individual author(s) and contributor(s) and not of MDPI and/or the editor(s). MDPI and/or the editor(s) disclaim responsibility for any injury to people or property resulting from any ideas, methods, instructions or products referred to in the content. |
© 2025 by the authors. Licensee MDPI, Basel, Switzerland. This article is an open access article distributed under the terms and conditions of the Creative Commons Attribution (CC BY) license (https://creativecommons.org/licenses/by/4.0/).
Share and Cite
Samojluk, A.; Artiemjew, P. Prototype System for Supporting Medical Diagnosis Based on Voice Interviewing. Appl. Sci. 2025, 15, 440. https://doi.org/10.3390/app15010440
Samojluk A, Artiemjew P. Prototype System for Supporting Medical Diagnosis Based on Voice Interviewing. Applied Sciences. 2025; 15(1):440. https://doi.org/10.3390/app15010440
Chicago/Turabian StyleSamojluk, Artur, and Piotr Artiemjew. 2025. "Prototype System for Supporting Medical Diagnosis Based on Voice Interviewing" Applied Sciences 15, no. 1: 440. https://doi.org/10.3390/app15010440
APA StyleSamojluk, A., & Artiemjew, P. (2025). Prototype System for Supporting Medical Diagnosis Based on Voice Interviewing. Applied Sciences, 15(1), 440. https://doi.org/10.3390/app15010440

