Enhanced Magnetic Properties of Co1−xMnxFe2O4 Nanoparticles
Abstract
Featured Application
Abstract
1. Introduction
2. Materials and Methods
2.1. Samples Preparation
2.2. Characterization of the Materials
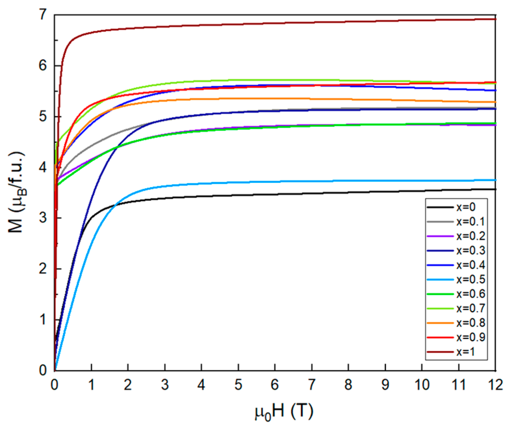
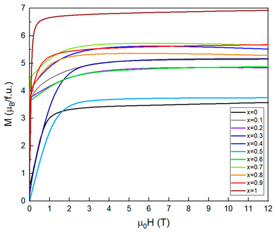
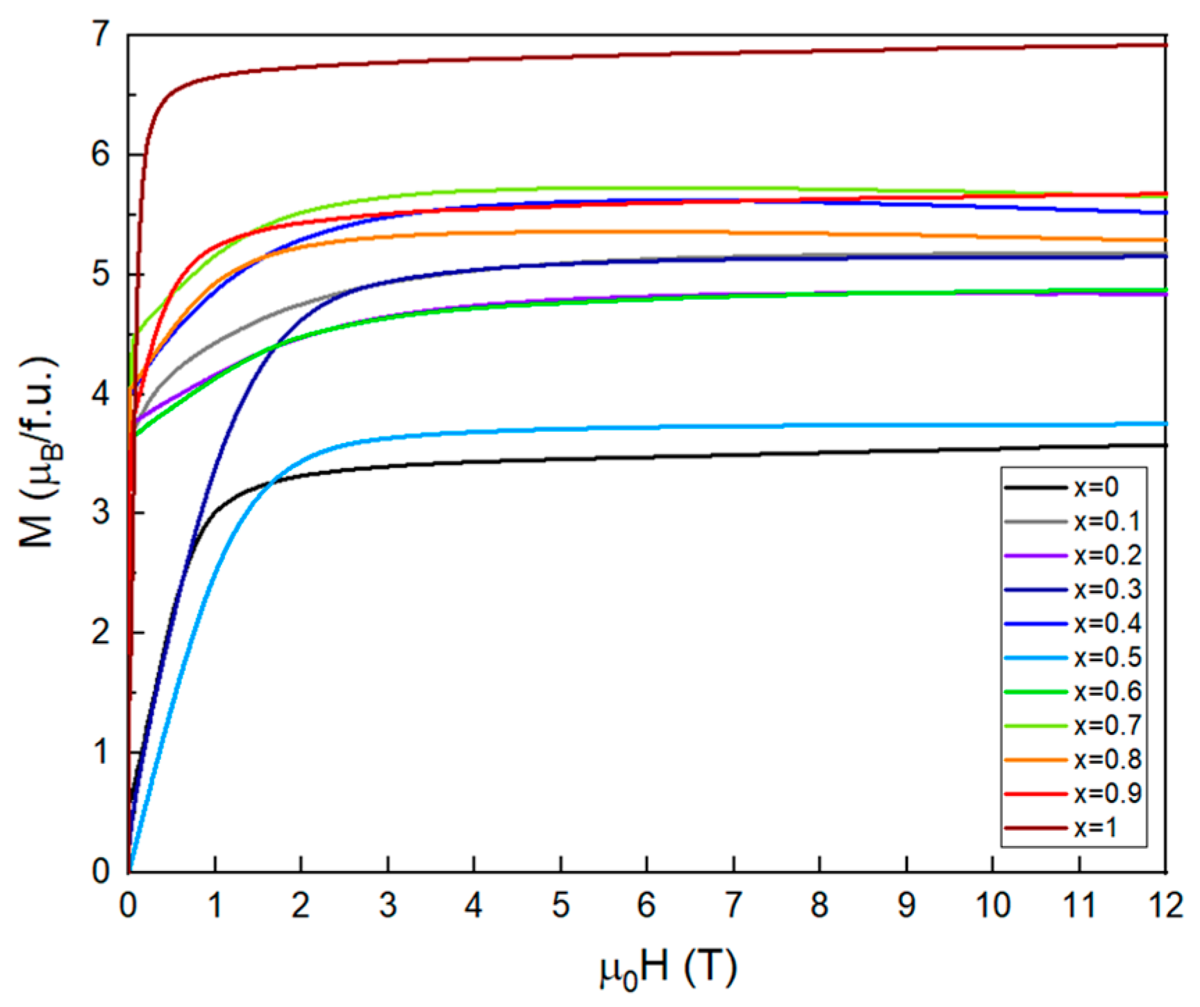
3. Results and Discussion
4. Conclusions
Author Contributions
Funding
Institutional Review Board Statement
Informed Consent Statement
Data Availability Statement
Conflicts of Interest
References
- Salih, S.J.; Mahmood, W.M. Review on magnetic spinel ferrite (MFe2O4) nanoparticles: From synthesis to application. Heliyon 2023, 9, e16601. [Google Scholar] [CrossRef] [PubMed]
- Karaagac, O.; Yildiz, B.B.; Köçkar, H. The influence of synthesis parameters on one-step synthesized superparamagnetic cobalt ferrite nanoparticles with high saturation magnetization. J. Magn. Magn. Mater. 2019, 473, 262–267. [Google Scholar] [CrossRef]
- Radmansouri, M.; Bahmani, E.; Sarikhani, E.; Rahmani, K.; Sharifianjazi, F.; Irani, M. Doxorubicin hydrochloride—Loaded electrospun chitosan/cobalt ferrite/titanium oxide nanofibers for hyperthermic tumor cell treatment and controlled drug release. Int. J. Biol. Macromol. 2018, 116, 378–384. [Google Scholar] [CrossRef] [PubMed]
- Humbe, A.V.; Kounsalye, J.S.; Shisode, M.V.; Jadhav, K.M. Rietveld refinement, morphology and superparamagnetism of nanocrystalline Ni0.70−xCuxZn0.30Fe2O4 spinel ferrite. Ceram. Int. 2018, 44, 5466–5472. [Google Scholar] [CrossRef]
- Song, G.; Kenney, M.; Chen, Y.S.; Zheng, X.; Deng, Y.; Chen, Z.; Wang, S.X.; Gambhir, S.S.; Dai, H.; Rao, J. Carbon-coated FeCo nanoparticles as sensitive magnetic-particle-imaging tracers with photothermal and magnetothermal properties. Nat. Biomed. Eng. 2020, 4, 325–334. [Google Scholar] [CrossRef]
- Cardoso, V.F.; Francesko, A.; Ribeiro, C.; Bañobre-López, M.; Martins, P.; Lanceros-Mendez, S. Advances in Magnetic Nanoparticles for Biomedical Applications. Adv. Healthc. Mater. 2018, 7, 1700845. [Google Scholar] [CrossRef]
- Sharifianjazi, F.; Moradi, M.; Parvin, N.; Nemati, A.; Rad, A.J.; Sheysi, N.; Abouchenari, A.; Mohammadi, A.; Karbasi, S.; Ahmadi, Z.; et al. Magnetic CoFe2O4 nanoparticles doped with metal ions: A review. Ceram. Int. 2020, 46, 18391–18412. [Google Scholar] [CrossRef]
- Qu, Y.; Yang, H.; Yang, N.; Fan, Y.; Zhu, H.; Zou, G. The effect of reaction temperature on the particle size, structure and magnetic properties of coprecipitated CoFe2O4 nanoparticles. Mater. Lett. 2006, 60, 3548–3552. [Google Scholar] [CrossRef]
- Zhao, D.; Wu, X.; Guan, H.; Han, E. Study on supercritical hydrothermal synthesis of CoFe2O4 nanoparticles. J. Supercrit. Fluids 2007, 42, 226–233. [Google Scholar] [CrossRef]
- Cote, L.J.; Teja, A.S.; Wilkinson, A.P.; Zhang, Z.J. Continuous hydrothermal synthesis of CoFe2O4 nanoparticles. Fluid Phase Equilib. 2003, 210, 307–317. [Google Scholar] [CrossRef]
- Mahala, C.; Sharma, M.D.; Basu, M. 2D Nanostructures of CoFe2O4 and NiFe2O4: Efficient Oxygen Evolution Catalyst. Electrochim. Acta 2018, 273, 462–473. [Google Scholar] [CrossRef]
- Xiong, Q.Q.; Tu, J.P.; Shi, S.J.; Liu, X.Y.; Wang, X.L.; Gu, C.D. Ascorbic acid-assisted synthesis of cobalt ferrite (CoFe2O4) hierarchical flower-like microspheres with enhanced lithium storage properties. J. Power Sources 2014, 256, 153–159. [Google Scholar] [CrossRef]
- Ajroudi, L.; Mliki, N.; Bessais, L.; Madigou, V.; Villain, S.; Leroux, C. Magnetic, electric and thermal properties of cobalt ferrite nanoparticles. Mater. Res. Bull. 2014, 59, 49–58. [Google Scholar] [CrossRef]
- Naik, M.M.; Naik, H.S.B.; Kottam, N.; Vinuth, M.; Nagaraju, G.; Prabhakara, M.C. Multifunctional properties of microwave-assisted bioengineered nickel doped cobalt ferrite nanoparticles. J. Sol-Gel Sci. Technol. 2019, 91, 578–595. [Google Scholar] [CrossRef]
- Bortnic, R.; Szatmari, A.; Souca, G.; Hirian, R.; Dudric, R.; Barbu-Tudoran, L.; Toma, V.; Stiufiuc, R.; Tetean, R.; Burzo, E. New Insights into the Magnetic Properties of CoFe2O4@SiO2@Au Magnetoplasmonic Nanoparticles. Nanomaterials 2022, 12, 942. [Google Scholar] [CrossRef] [PubMed]
- Oh, Y.; Moorthy, M.S.; Manivasagan, P.; Bharathiraja, S.; Oh, J. Magnetic hyperthermia and pH-responsive effective drug delivery to the sub-cellular level of human breast cancer cells by modified CoFe2O4 nanoparticles. Biochimie 2017, 133, 7–19. [Google Scholar] [CrossRef]
- Fan, H.; Li, B.; Shi, Z.; Zhao, L.; Wang, K.; Qiu, D. A fibrous morphology silica-CoFe2O4 nanocarrier for anti-cancer drug delivery. Ceram. Int. 2018, 44, 2345–2350. [Google Scholar] [CrossRef]
- Dudric, R.; Souca, G.; Szatmari, A.; Azilard, T.; Nitica, S.; Iacovita, C.; Moldovan, A.I.; Stiufiuc, R.; Tetean, R.; Burzo, E. Magnetite nanoparticles for medical applications. AIP Conf. Proc. 2020, 2218, 030014. [Google Scholar] [CrossRef]
- Monisha, P.; Priyadharshini, P.; Gomathi, S.S.; Pushpanathan, K. Influence of Mn dopant on the crystallite size, optical and magnetic behaviour of CoFe2O4 magnetic nanoparticles. J. Phys. Chem. Solids 2021, 148, 109654. [Google Scholar] [CrossRef]
- Il Kim, Y.; Kim, D.; Lee, C.S. Synthesis and characterization of CoFe2O4 magnetic nanoparticles prepared by temperature-controlled coprecipitation method. Phys. B Condens. Matter 2003, 337, 42–51. [Google Scholar] [CrossRef]
- Goyal, A.; Bansal, S.; Kumar, V.; Singh, J.; Singhal, S. Mn substituted cobalt ferrites (CoMnxFe2−xO4 (x = 0.0, 0.2, 0.4, 0.6, 0.8, 1.0)): As magnetically separable heterogeneous nanocatalyst for the reduction of nitrophenols. Appl. Surf. Sci. 2015, 324, 877–889. [Google Scholar] [CrossRef]
- Ghahfarokhi, S.E.M.; Toulabinezhad, H.; Kazeminezhad, I. Fabrication of CoMnFeO4/PANI nanocomposite as an efficient electrode in supercapacitors. J. Energy Storage 2023, 69, 107949. [Google Scholar] [CrossRef]
- Zhang, L.; Zhao, X.; Niu, C.; Tang, N.; Guo, H.; Wen, X.; Liang, C.; Zeng, G. Enhanced activation of peroxymonosulfate by magnetic Co3MnFeO6 nanoparticles for removal of carbamazepine: Efficiency, synergetic mechanism and stability. Chem. Eng. J. 2019, 362, 851–864. [Google Scholar] [CrossRef]
- Jangam, K.; Patil, K.; Balgude, S.; Patange, S.; More, P. Synthesis and characterization of magnetically separable Zn1-xCoxFeMnO4 nanoferrites as highly efficient photocatalyst for degradation of dye under solar light irradiation. J. Phys. Chem. Solids 2021, 148, 109700. [Google Scholar] [CrossRef]
- Saleh Ghadimi, L.; Arsalani, N.; Ahadzadeh, I.; Hajalilou, A.; Abouzari-Lotf, E. Effect of synthesis route on the electrochemical performance of CoMnFeO4 nanoparticles as a novel supercapacitor electrode material. Appl. Surf. Sci. 2019, 494, 440–451. [Google Scholar] [CrossRef]
- Amani, S.; Sohrabi, N.; Mohammadi, R.; Ahadzadeh, I. Synthesis and investigation of CoMnFeO4/reduced graphene oxide as ecofriendly electrode material for supercapacitor and its electrochemical performances. J. Alloys Compd. 2023, 937, 168020. [Google Scholar] [CrossRef]
- Keswani, B.C.; Patil, S.I.; Kolekar, Y.D.; Ramana, C.V. Improved magnetostrictive properties of cobalt ferrite (CoFe2O4) by Mn and Dy co-substitution for magneto-mechanical sensors. J. Appl. Phys. 2019, 126, 174503. [Google Scholar] [CrossRef]
- Kim, D.H.; Nikles, D.E.; Brazel, C.S. Synthesis and characterization of multifunctional chitosan-MnFe2o4 nanoparticles for magnetic hyperthermia and drug delivery. Materials 2010, 3, 4051–4065. [Google Scholar] [CrossRef]
- Asghar, K.; Qasim, M.; Das, D. Preparation and characterization of mesoporous magnetic MnFe2O4@mSiO2 nanocomposite for drug delivery application. Mater. Today Proc. 2020, 26, 87–93. [Google Scholar] [CrossRef]
- Jung, S.; Jung, J.G.; Choi, H.; Kim, M.; Shim, I.-B.; Kim, C.S. Magnetic, Mössbauer and hyperthermia properties of Co1−xMnxFe2O4 nanoparticles. J. Radioanal. Nucl. Chem. 2021, 330, 433–437. [Google Scholar] [CrossRef]
- Caltun, O.; Rao, G.S.N.; Rao, K.H.; Rao, B.P.; Dumitru, I.; Kim, C.O.; Kim, C. The influence of Mn doping level on magnetostriction coefficient of cobalt ferrite. J. Magn. Magn. Mater. 2007, 316, e618–e620. [Google Scholar] [CrossRef]
- Mohaideen, K.K.; Joy, P.A. High magnetostriction coefficient of Mn substituted cobalt ferrite sintered from nanocrystalline powders and after magnetic field annealing. Curr. Appl. Phys. 2013, 13, 1697–1701. [Google Scholar] [CrossRef]
- Jauhar, S.; Singhal, S.; Dhiman, M. Manganese substituted cobalt ferrites as efficient catalysts for H2O2 assisted degradation of cationic and anionic dyes: Their synthesis and characterization. Appl. Catal. A Gen. 2014, 486, 210–218. [Google Scholar] [CrossRef]
- Epifani, M.; Arbiol, J.; Andreu, T.; Morante, J.R. Crystallization Pathways of Multicomponent Oxide Nanocrystals: Critical Role of the Metal Cations Distribution in the Case Study of Metal Ferrites. Cryst. Growth Des. 2010, 10, 5176–5181. [Google Scholar] [CrossRef]
- Atif, M.; Sato Turtelli, R.; Grossinger, R.; Siddique, M.; Nadeem, M. Effect of Mn substitution on the cation distribution and temperature dependence of magnetic anisotropy constant in Co1-xMnxFe2O4 (0.0 ≤ x ≤ 0.4) ferrites. Ceram. Int. 2014, 40, 471–478. [Google Scholar] [CrossRef]
- Yadav, S.P.; Shinde, S.S.; Bhatt, P.; Meena, S.S.; Rajpure, K.Y. Distribution of cations in Co1-xMnxFe2O4 using XRD, magnetization and Mossbauer spectroscopy. J. Alloys Compd. 2015, 646, 550–556. [Google Scholar] [CrossRef]
- Ammar, S.; Helfen, A.; Jouini, N.; Fievet, F.; Rosenman, I.; Villain, F.; Molinie, P.; Danot, M. Magnetic properties of ultrafine cobalt ferrite particles synthesized by hydrolysis in a polyol medium. J. Mater. Chem. 2001, 11, 186–192. [Google Scholar] [CrossRef]
- Nlebedim, I.C.; Ranvah, N.; Williams, P.I.; Melikhov, Y.; Snyder, J.E.; Moses, A.J.; Jiles, D.C. Effect of heat treatment on the magnetic and magnetoelastic properties of cobalt ferrite. J. Magn. Magn. Mater. 2010, 322, 1929–1933. [Google Scholar] [CrossRef]
- Hema, E.; Venkatraman, B.R. Microwave combustion synthesis of magnetically reusable CoMnFe2O4 nanocatalysts. Malaya J. Mat. 2020, S, 4977–4980. [Google Scholar] [CrossRef]
- Ansari, S.M.; Ghosh, K.C.; Devan, R.S.; Sen, D.; Sastry, P.U.; Kolekar, Y.D.; Ramana, C.V. Eco-Friendly Synthesis, Crystal Chemistry, and Magnetic Properties of Manganese-Substituted CoFe2O4 Nanoparticles. ACS Omega 2020, 5, 19315–19330. [Google Scholar] [CrossRef]
- Iacovita, C.; Stiufiuc, G.F.; Dudric, R.; Vedeanu, N.; Tetean, R.; Stiufiuc, R.I.; Lucaciu, C.M. Saturation of Specific Absorption Rate for Soft and Hard Spinel Ferrite Nanoparticles Synthesized by Polyol Process. Magnetochemistry 2020, 6, 23. [Google Scholar] [CrossRef]
- Szatmari, A.; Bortnic, R.; Souca, G.; Hirian, R.; Barbu-Tudoran, L.; Nekvapil, F.; Iacovita, C.; Burzo, E.; Dudric, R.; Tetean, R. The Influence of Zn Substitution on Physical Properties of CoFe2O4 Nanoparticles. Nanomaterials 2023, 13, 189. [Google Scholar] [CrossRef] [PubMed]
- Burzo, E.; Tetean, R. New Insights on the Spin Glass Behavior in Ferrites Nanoparticles. Nanomaterials 2022, 12, 1782. [Google Scholar] [CrossRef]
- Vințeler, V.; Dudric, R.; Bortnic, R.; Szatmari, A.; Barbu-Tudoran, L.; Tetean, R. Synthesis and Characterization of CoFe2O4 Nanoparticles and CoFe2O4@BaTiO3 Nanocomposites for Biomedical Applications. Rom. J. Phys. 2024, 69, 611. [Google Scholar] [CrossRef]
- Fernandes, C.; Pereira, C.; Fernandez-Garc, M.P.; Pereira, A.M.; Guedes, A.; Fernandez-Pacheco, R.; Ibarra, A.; Ibarra, M.R.; Araujo, J.P.; Freire, C. Tailored design of CoxMn1-xFe2O4 nanoferrites: A new route for dual control of size and magnetic properties. J. Mater. Chem. C 2014, 2, 5818. [Google Scholar] [CrossRef]
- Rietveld, H.M. A profile refinement method for nuclear and magnetic structures. J. Appl. Crystallogr. 1969, 2, 65–71. [Google Scholar] [CrossRef]
- Kambale, R.C.; Shaikh, P.A.; Harale, N.S.; Bilur, V.A.; Kolekar, Y.D.; Bhosale, C.H.; Rajpure, K.Y. Structural and magnetic properties of Co1−xMnxFe2O4 (0 ≤ x ≤ 0.4) spinel ferrites synthesized by combustion route. J. Alloys Compd. 2010, 490, 568–571. [Google Scholar] [CrossRef]
- Nekvapil, F.; Bunge, A.; Radu, T.; Cinta Pinzaru, S.; Turcu, R. Raman spectra tell us so much more: Raman features and saturation magnetization for efficient analysis of manganese zinc ferrite nanoparticles. J. Raman Spectrosc. 2020, 51, 959–968. [Google Scholar] [CrossRef]
- White, W.B.; DeAngelis, B.A. Interpretation of the vibrational spectra of spinels. Spectrochim. Acta Part A Mol. Spectrosc. 1967, 23, 9850995. [Google Scholar] [CrossRef]
- Kovtunenko, P.V. Defect formation in spinels in oxygen nonstoichiometry. Glass Ceram. 1997, 54, 143–148. [Google Scholar] [CrossRef]
- Chakrabarty, S.; Dutta, A.; Pal, M. Enhanced magnetic properties of doped cobalt ferrite nanoparticles by virtue of cation distribution. J. Alloys Compd. 2015, 625, 216–223. [Google Scholar] [CrossRef]
- Botez, C.E.; Adair, A.H.; Tackett, R.J. Evidence of superspin-glass behavior in Zn0.5Ni0.5Fe2O4 nanoparticles. J. Phys. Condens. Matter 2015, 27, 076005. [Google Scholar] [CrossRef] [PubMed]
- Kurtan, U.; Topkaya, R.; Baykal, A.; Toprak, M.S. Temperature dependent magnetic properties of CoFe2O4 /CTAB nanocomposite synthesized by sol–gel auto-combustion technique. Ceram. Int. 2013, 39, 6551–6558. [Google Scholar] [CrossRef]
- Stoner, E.C.; Wohlfarth, E.P. A mechanism of magnetic hysteresis in heterogeneous alloys. Philos. Trans. R. Soc. Lond. Ser. A 1948, 240, 599–642. [Google Scholar] [CrossRef]
- Alzoubi, G.M.; Masadeh, A.S.; Shatnawi, M.T.M. Investigation of the structural, morphological, and magnetic properties of small crystalline Co–Cu ferrite nanoparticles in the single-domain regime. AIP Adv. 2022, 12, 065101. [Google Scholar] [CrossRef]
- Ganguly, S.; Das, P.; Srinivasan, S.; Rajabzadeh, A.R.; Tang, X.S.; Margel, S. Superparamagnetic Amine-Functionalized Maghemite Nanoparticles as a Thixotropy Promoter for Hydrogels and Magnetic Field-Driven Diffusion-Controlled Drug Release. ACS Appl. Nano Mater. 2024, 7, 5272–5286. [Google Scholar] [CrossRef]
- Klee, A.; Prevost, S.; Kunz, W.; Schweins, R.; Kiefer, K.; Gradzielski, M. Magnetic microemulsions based on magnetic ionic liquids. Phys. Chem. Chem. Phys. 2012, 14, 15355–15360. [Google Scholar] [CrossRef] [PubMed]













| x | Cation Distribution | MS (μB) calculated | MS (μB) experimental T = 4.2 k | MS (μB) experimental T = 300 k | |
|---|---|---|---|---|---|
| Tetrahedral Site | Octahedral Sites | ||||
| 0 | (Co0.08Fe0.92) | (Co0.92Fe1.08) | 3.32 | 3.38 | 3.20 |
| 0.1 | (Co0.4Mn0.1Fe0.5) | (Co0.5Fe1.5) | 5.20 | 5.16 | 4.05 |
| 0.2 | (Co0.2Mn0.2Fe0.6) | (Co0.6Fe1.4) | 5.00 | 4.86 | 3.75 |
| 0.3 | (Co0.1Mn0.3Fe0.6) | (Co0.6Fe1.4) | 5.20 | 5.12 | 3.30 |
| 0.4 | (Co0.3Mn0.3Fe0.4) | (Co0.3Mn0.1Fe1.6) | 5.80 | 5.81 | 4.05 |
| 0.5 | (Mn0.4Fe0.6) | (Co0.5Mn0.1Fe1.4) | 4.00 | 3.71 | 2.60 |
| 0.6 | (Mn0.15Fe0.85) | (Co0.4Mn0.45Fe1.1.5) | 4.80 | 4.78 | 3.45 |
| 0.7 | (Co0.3Mn0.6Fe0.1) | (Mn0.1Fe1.9) | 5.80 | 5.86 | 4.10 |
| 0.8 | (Co0.2Mn0.7Fe0.1) | Mn0.1Fe1.9) | 5.60 | 5.48 | 3.75 |
| 0.9 | (Co0.1Mn0.6Fe0.3) | (Mn0.3Fe1.7) | 5.80 | 5.55 | 3.80 |
| 1.0 | (Mn0.33Fe0.67) | (Mn0.67Fe1.33) | 6.33 | 6.78 | 4.60 |
Disclaimer/Publisher’s Note: The statements, opinions and data contained in all publications are solely those of the individual author(s) and contributor(s) and not of MDPI and/or the editor(s). MDPI and/or the editor(s) disclaim responsibility for any injury to people or property resulting from any ideas, methods, instructions or products referred to in the content. |
© 2024 by the authors. Licensee MDPI, Basel, Switzerland. This article is an open access article distributed under the terms and conditions of the Creative Commons Attribution (CC BY) license (https://creativecommons.org/licenses/by/4.0/).
Share and Cite
Szatmari, A.; Bortnic, R.; Atanasov, R.; Barbu-Tudoran, L.; Nekvapil, F.; Dudric, R.; Tetean, R. Enhanced Magnetic Properties of Co1−xMnxFe2O4 Nanoparticles. Appl. Sci. 2025, 15, 290. https://doi.org/10.3390/app15010290
Szatmari A, Bortnic R, Atanasov R, Barbu-Tudoran L, Nekvapil F, Dudric R, Tetean R. Enhanced Magnetic Properties of Co1−xMnxFe2O4 Nanoparticles. Applied Sciences. 2025; 15(1):290. https://doi.org/10.3390/app15010290
Chicago/Turabian StyleSzatmari, Adam, Rareș Bortnic, Roman Atanasov, Lucian Barbu-Tudoran, Fran Nekvapil, Roxana Dudric, and Romulus Tetean. 2025. "Enhanced Magnetic Properties of Co1−xMnxFe2O4 Nanoparticles" Applied Sciences 15, no. 1: 290. https://doi.org/10.3390/app15010290
APA StyleSzatmari, A., Bortnic, R., Atanasov, R., Barbu-Tudoran, L., Nekvapil, F., Dudric, R., & Tetean, R. (2025). Enhanced Magnetic Properties of Co1−xMnxFe2O4 Nanoparticles. Applied Sciences, 15(1), 290. https://doi.org/10.3390/app15010290

