MScope: A Reliable Battery for Functional Status Assessment in Multiple Sclerosis
Abstract
1. Introduction
2. Materials and Methods
2.1. Study Design
2.2. Participants
2.3. Procedures
2.3.1. Muscle Mass Assessments
2.3.2. Functional Capacity Assessments
2.3.3. Neuromuscular Assessments
2.4. Statistical Analysis
2.4.1. Intra-Day Reproducibility
2.4.2. Inter-Day Reproducibility
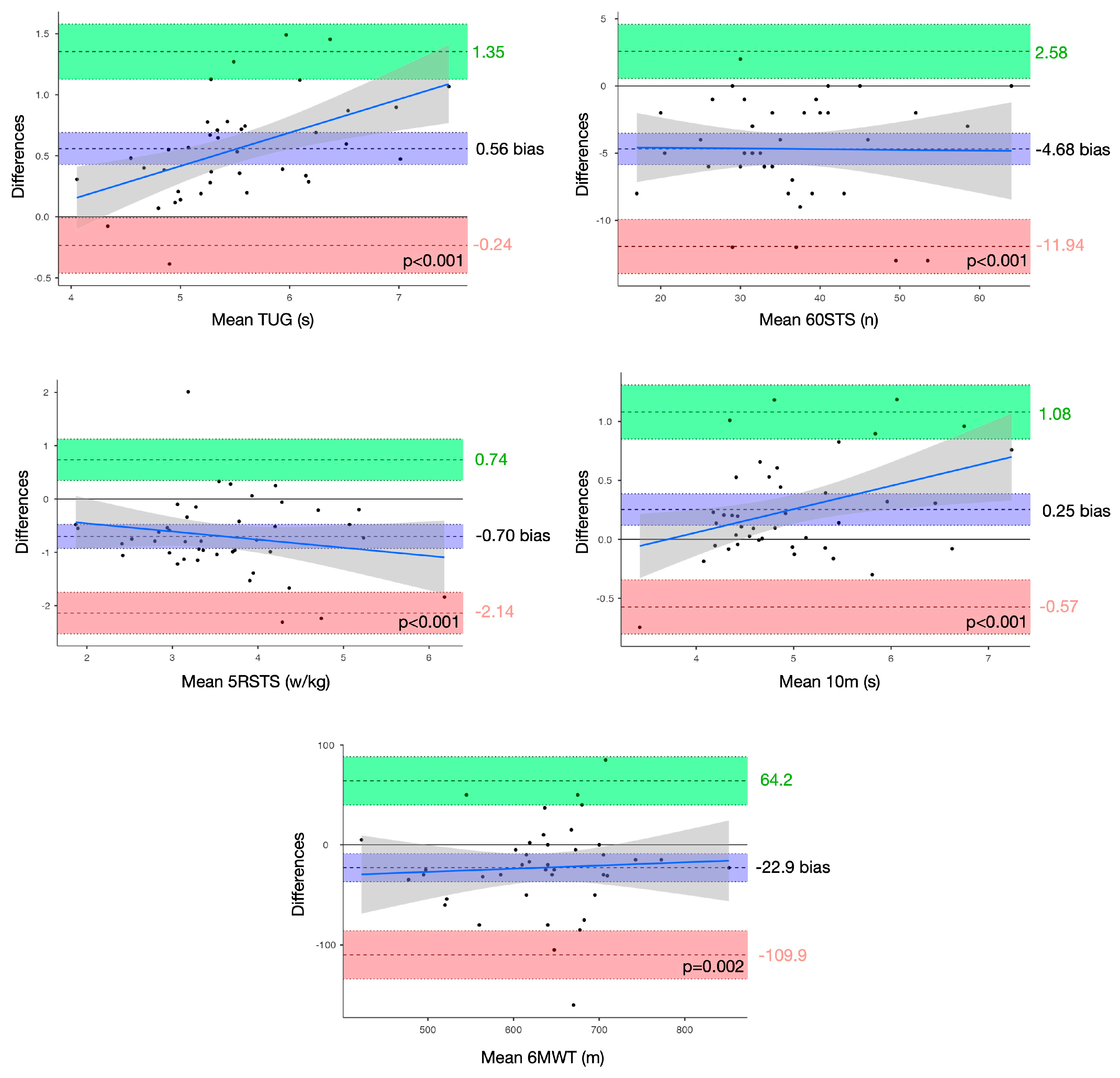
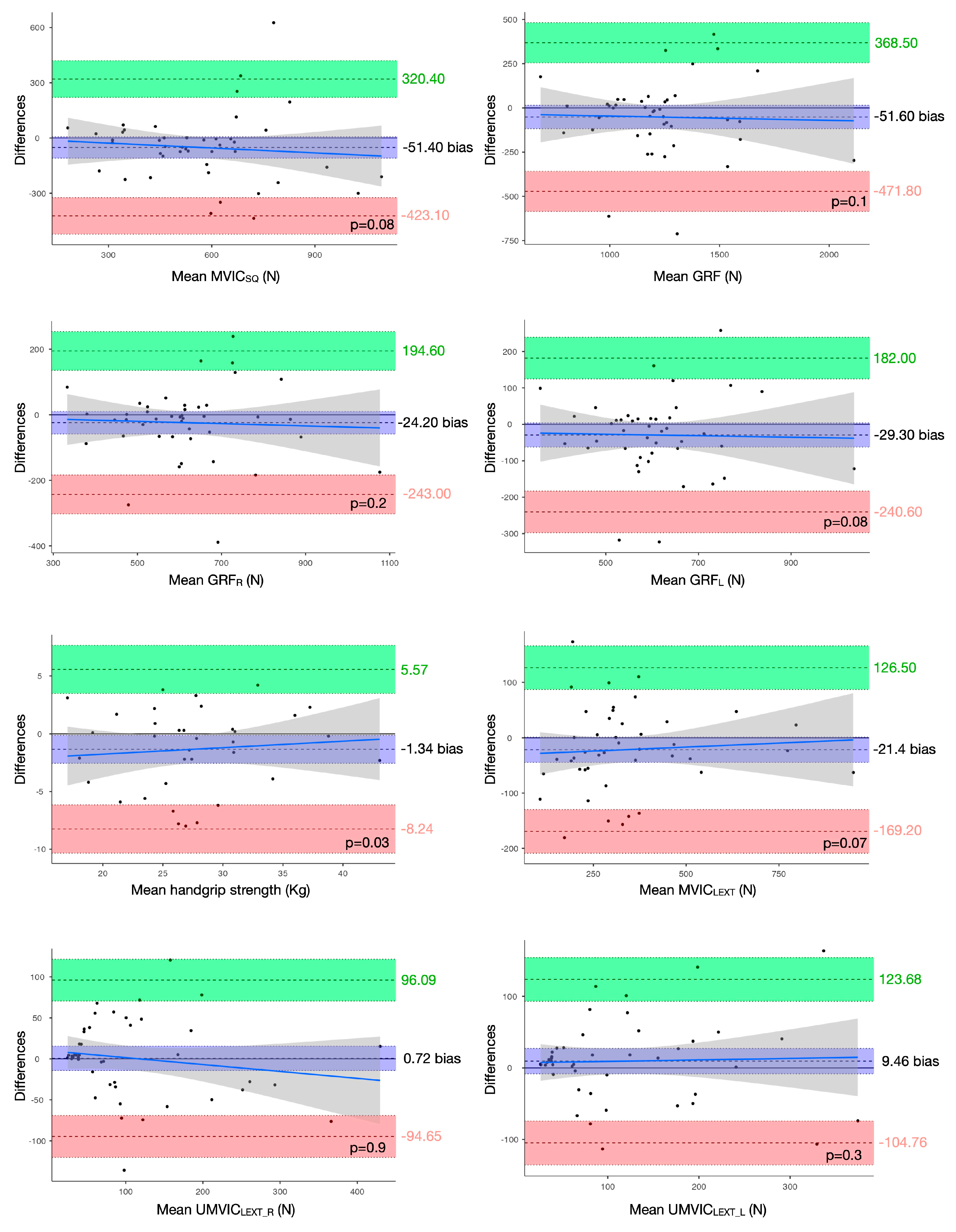
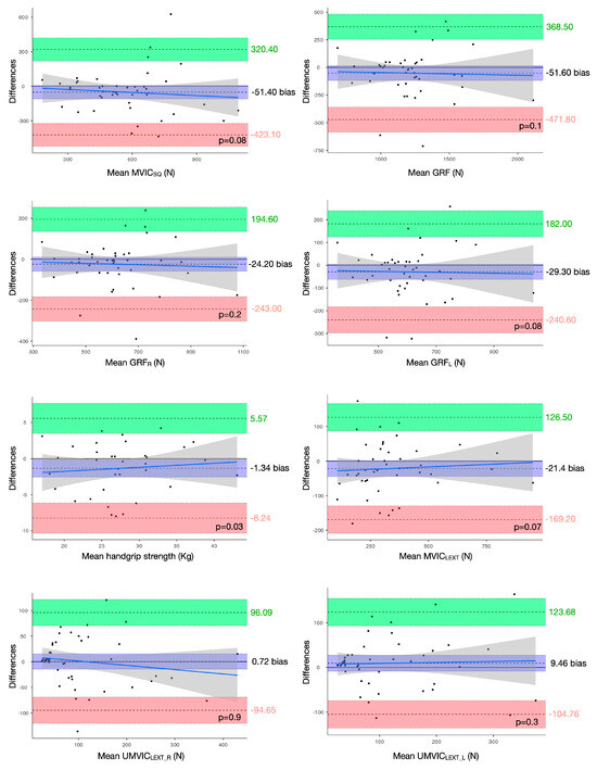
3. Results
3.1. Intra-Day Reproducibility
3.2. Inter-Day Reproducibility
4. Discussion
5. Conclusions
Supplementary Materials
Author Contributions
Funding
Institutional Review Board Statement
Informed Consent Statement
Data Availability Statement
Acknowledgments
Conflicts of Interest
References
- Reich, D.S.; Lucchinetti, C.F.; Calabresi, P.A. Multiple Sclerosis. N. Engl. J. Med. 2018, 378, 169–180. [Google Scholar] [CrossRef]
- Lublin, F.D.; Häring, D.A.; Ganjgahi, H.; Ocampo, A.; Hatami, F.; Čuklina, J.; Aarden, P.; Dahlke, F.; Arnold, D.L.; Wiendl, H.; et al. How Patients with Multiple Sclerosis Acquire Disability. Brain 2022, 145, 3147–3161. [Google Scholar] [CrossRef] [PubMed]
- Manca, A.; Dvir, Z.; Deriu, F. Meta-Analytic and Scoping Study on Strength Training in People With Multiple Sclerosis. J. Strength Cond. Res. 2019, 33, 874–889. [Google Scholar] [CrossRef]
- Beiki, O.; Frumento, P.; Bottai, M.; Manouchehrinia, A.; Hillert, J. Changes in the Risk of Reaching Multiple Sclerosis Disability Milestones In Recent Decades: A Nationwide Population-Based Cohort Study in Sweden. JAMA Neurol. 2019, 76, 665. [Google Scholar] [CrossRef] [PubMed]
- Motl, R.W.; Sandroff, B.M.; Kwakkel, G.; Dalgas, U.; Feinstein, A.; Heesen, C.; Feys, P.; Thompson, A.J. Exercise in Patients with Multiple Sclerosis. Lancet Neurol. 2017, 16, 848–856. [Google Scholar] [CrossRef]
- Latimer-Cheung, A.E.; Pilutti, L.A.; Hicks, A.L.; Martin Ginis, K.A.; Fenuta, A.M.; MacKibbon, K.A.; Motl, R.W. Effects of Exercise Training on Fitness, Mobility, Fatigue, and Health-Related Quality of Life among Adults with Multiple Sclerosis: A Systematic Review to Inform Guideline Development. Arch. Phys. Med. Rehabil. 2013, 94, 1800–1828 e3. [Google Scholar] [CrossRef] [PubMed]
- Dalgas, U.; Stenager, E.; Jakobsen, J.; Petersen, T.; Overgaard, K.; Ingemann-Hansen, T. Muscle Fiber Size Increases Following Resistance Training in Multiple Sclerosis. Mult. Scler. 2010, 16, 1367–1376. [Google Scholar] [CrossRef]
- Prosperini, L.; Di Filippo, M. Beyond Clinical Changes: Rehabilitation-Induced Neuroplasticity in MS. Mult. Scler. 2019, 25, 1348–1362. [Google Scholar] [CrossRef]
- Maroto-Izquierdo, S.; Mulero, P.; Menéndez, H.; Pinto-Fraga, J.; Lista, S.; Santos-Lozano, A.; Téllez, N. Pumping up the Fight against Multiple Sclerosis: The Effects of High-Intensity Resistance Training on Functional Capacity, Muscle Mass, and Axonal Damage. Healthcare 2024, 12, 837. [Google Scholar] [CrossRef]
- Mulero, P.; Maroto-Izquierdo, S.; Redondo, N.; Gonzalo-Benito, H.; Chavarría-Miranda, A.; Calvo, H.; Cabero, M.I.; Hernandez, M.; Nieto, M.L.; Tellez, N. Effect of Resistance Exercise Training on Plasma Neurofilaments in Multiple Sclerosis: A Proof of Concept for Future Designs. Neurol. Sci. 2023, 44, 3997–4000. [Google Scholar] [CrossRef] [PubMed]
- Faramarzi, M.; Banitalebi, E.; Nori, S.; Farzin, S.; Taghavian, Z. Effects of Rhythmic Aerobic Exercise plus Core Stability Training on Serum Omentin, Chemerin and Vaspin Levels and Insulin Resistance of Overweight Women. J. Sports Med. Phys. Fit. 2015, 56, 476–482. [Google Scholar]
- Kjølhede, T.; Vissing, K.; De Place, L.; Pedersen, B.G.; Ringgaard, S.; Stenager, E.; Petersen, T.; Dalgas, U. Neuromuscular Adaptations to Long-Term Progressive Resistance Training Translates to Improved Functional Capacity for People with Multiple Sclerosis and Is Maintained at Follow-Up. Mult. Scler. 2015, 21, 599–611. [Google Scholar] [CrossRef] [PubMed]
- Andreu-Caravaca, L.; Ramos-Campo, D.J.; Chung, L.H.; Manonelles, P.; Boas, J.P.V.; Rubio-Arias, J.Á. Fast-Velocity Resistance Training Improves Force Development and Mobility in Multiple Sclerosis. Int. J. Sports Med. 2022, 43, 593–599. [Google Scholar] [CrossRef]
- Dalgas, U.; Stenager, E.; Jakobsen, J.; Petersen, T.; Hansen, H.J.; Knudsen, C.; Overgaard, K.; Ingemann-Hansen, T. Resistance Training Improves Muscle Strength and Functional Capacity in Multiple Sclerosis. Neurology 2009, 73, 1478–1484. [Google Scholar] [CrossRef]
- Dalgas, U.; Kjølhede, T.; Gijbels, D.; Romberg, A.; Santoyo, C.; Noordhout, B.; Knuts, K.; Feys, P. Aerobic Intensity and Pacing Pattern during the Six-Minute Walk Test in Patients with Multiple Sclerosis. J. Rehabil. Med. 2014, 46, 59–66. [Google Scholar] [CrossRef] [PubMed]
- Møller, A.B.; Bibby, B.M.; Skjerbæk, A.G.; Jensen, E.; Sørensen, H.; Stenager, E.; Dalgas, U. Validity and Variability of the 5-Repetition Sit-to-Stand Test in Patients with Multiple Sclerosis. Disabil. Rehabil. 2012, 34, 2251–2258. [Google Scholar] [CrossRef]
- Callesen, J.; Cattaneo, D.; Brincks, J.; Kjeldgaard Jørgensen, M.-L.; Dalgas, U. How Do Resistance Training and Balance and Motor Control Training Affect Gait Performance and Fatigue Impact in People with Multiple Sclerosis? A Randomized Controlled Multi-Center Study. Mult. Scler. 2020, 26, 1420–1432. [Google Scholar] [CrossRef] [PubMed]
- Sebastião, E.; Sandroff, B.M.; Learmonth, Y.C.; Motl, R.W. Validity of the Timed Up and Go Test as a Measure of Functional Mobility in Persons With Multiple Sclerosis. Arch. Phys. Med. Rehabil. 2016, 97, 1072–1077. [Google Scholar] [CrossRef] [PubMed]
- Duncan, R.P.; Leddy, A.L.; Earhart, G.M. Five Times Sit-to-Stand Test Performance in Parkinson’s Disease. Arch. Phys. Med. Rehabil. 2011, 92, 1431–1436. [Google Scholar] [CrossRef] [PubMed]
- Dos Santos, F.C.; Candotti, C.T.; Rodrigues, L.P. Reliability of the Five Times Sit to Stand Test Performed Remotely by Multiple Sclerosis Patients. Mult. Scler. Relat. Disord. 2023, 73, 104654. [Google Scholar] [CrossRef] [PubMed]
- Mong, Y.; Teo, T.W.; Ng, S.S. 5-Repetition Sit-to-Stand Test in Subjects with Chronic Stroke: Reliability and Validity. Arch. Phys. Med. Rehabil. 2010, 91, 407–413. [Google Scholar] [CrossRef] [PubMed]
- Faramarzi, M.; Banitalebi, E.; Raisi, Z.; Samieyan, M.; Saberi, Z.; Mardaniyan Ghahfarrokhi, M.; Negaresh, R.; Motl, R.W. Effect of Combined Exercise Training on Pentraxins and Pro- Inflammatory Cytokines in People with Multiple Sclerosis as a Function of Disability Status. Cytokine 2020, 134, 155196. [Google Scholar] [CrossRef] [PubMed]
- Twork, S.; Wiesmeth, S.; Spindler, M.; Wirtz, M.; Schipper, S.; Pöhlau, D.; Klewer, J.; Kugler, J. Disability Status and Quality of Life in Multiple Sclerosis: Non-Linearity of the Expanded Disability Status Scale (EDSS). Health Qual. Life Outcomes 2010, 8, 55. [Google Scholar] [CrossRef] [PubMed]
- Thompson, A.J.; Banwell, B.L.; Barkhof, F.; Carroll, W.M.; Coetzee, T.; Comi, G.; Correale, J.; Fazekas, F.; Filippi, M.; Freedman, M.S.; et al. Diagnosis of Multiple Sclerosis: 2017 Revisions of the McDonald Criteria. Lancet Neurol. 2018, 17, 162–173. [Google Scholar] [CrossRef]
- Akagi, R.; Iwanuma, S.; Fukuoka, M.; Kanehisa, H.; Fukunaga, T.; Kawakami, Y. Methodological Issues Related to Thickness-Based Muscle Size Evaluation. J. Physiol. Anthropol. 2011, 30, 169–174. [Google Scholar] [CrossRef][Green Version]
- Franchi, M.V.; Longo, S.; Mallinson, J.; Quinlan, J.I.; Taylor, T.; Greenhaff, P.L.; Narici, M.V. Muscle Thickness Correlates to Muscle Cross-sectional Area in the Assessment of Strength Training-induced Hypertrophy. Scand. Med. Sci. Sports 2018, 28, 846–853. [Google Scholar] [CrossRef] [PubMed]
- Kalron, A.; Dolev, M.; Givon, U. Further Construct Validity of the Timed Up-and-Go Test as a Measure of Ambulation in Multiple Sclerosis Patients. Eur. J. Phys. Rehabil. Med. 2017, 53, 841–847. [Google Scholar] [CrossRef]
- Alcazar, J.; Losa-Reyna, J.; Rodriguez-Lopez, C.; Alfaro-Acha, A.; Rodriguez-Mañas, L.; Ara, I.; García-García, F.J.; Alegre, L.M. The Sit-to-Stand Muscle Power Test: An Easy, Inexpensive and Portable Procedure to Assess Muscle Power in Older People. Exp. Gerontol. 2018, 112, 38–43. [Google Scholar] [CrossRef]
- Bohannon, R.W. Measurement of Sit-to-Stand Among Older Adults. Top. Geriatr. Rehabil. 2012, 28, 11–16. [Google Scholar] [CrossRef]
- Courel-Ibáñez, J.; Hernández-Belmonte, A.; Cava-Martínez, A.; Pallarés, J.G. Familiarization and Reliability of the Isometric Knee Extension Test for Rapid Force Production Assessment. Appl. Sci. 2020, 10, 4499. [Google Scholar] [CrossRef]
- Severijns, D.; Lamers, I.; Kerkhofs, L.; Feys, P. Hand Grip Fatigability in Persons with Multiple Sclerosis According to Hand Dominance and Disease Progression. J. Rehabil. Med. 2015, 47, 154–160. [Google Scholar] [CrossRef] [PubMed]
- Koo, T.K.; Li, M.Y. A Guideline of Selecting and Reporting Intraclass Correlation Coefficients for Reliability Research. J. Chiropr. Med. 2016, 15, 155–163. [Google Scholar] [CrossRef] [PubMed]
- Hopkins, W.G.; Marshall, S.W.; Batterham, A.M.; Hanin, J. Progressive Statistics for Studies in Sports Medicine and Exercise Science. Med. Sci. Sports Exerc. 2009, 41, 3–13. [Google Scholar] [CrossRef]
- Learmonth, Y.C.; Paul, L.; McFadyen, A.K.; Mattison, P.; Miller, L. Reliability and Clinical Significance of Mobility and Balance Assessments in Multiple Sclerosis. Int. J. Rehabil. Res. 2012, 35, 69–74. [Google Scholar] [CrossRef]
- Nilsagard, Y.; Lundholm, C.; Gunnarsson, L.-G.; Dcnison, E. Clinical Relevance Using Timed Walk Tests and “timed up and Go” Testing in Persons with Multiple Sclerosis. Physiother. Res. Int. 2007, 12, 105–114. [Google Scholar] [CrossRef]
- Ayvat, F.; Ayvat, E.; Doğan, M.; Onursal Kılınç, Ö.; Kılınç, M. Can Timed Up and Go Test Discriminate the Risk of Falling in Patients with Multiple Sclerosis with Low to Moderate Impairment? Disabil. Rehabil. 2024, 1–6. [Google Scholar] [CrossRef]
- Polidori, A.; Malagoli, M.; Giacalone, R.; Brichetto, G.; Monti Bragadin, M.; Prada, V. 30-Second Chair Stand and 5-Times Sit-to-Stand Tests Are Interesting Tools for Assessing Disability and Ability to Ambulate among Patients with Multiple Sclerosis. Life 2024, 14, 703. [Google Scholar] [CrossRef] [PubMed]
- Cohen, J.A.; Krishnan, A.V.; Goodman, A.D.; Potts, J.; Wang, P.; Havrdova, E.; Polman, C.; Rudick, R.A. The Clinical Meaning of Walking Speed as Measured by the Timed 25-Foot Walk in Patients With Multiple Sclerosis. JAMA Neurol. 2014, 71, 1386. [Google Scholar] [CrossRef] [PubMed]
- Kalinowski, A.; Cutter, G.; Bozinov, N.; Hinman, J.A.; Hittle, M.; Motl, R.; Odden, M.; Nelson, L.M. The Timed 25-Foot Walk in a Large Cohort of Multiple Sclerosis Patients. Mult. Scler. 2022, 28, 289–299. [Google Scholar] [CrossRef]
- Lang, J.T.; Kassan, T.O.; Devaney, L.L.; Colon-Semenza, C.; Joseph, M.F. Test-Retest Reliability and Minimal Detectable Change for the 10-Meter Walk Test in Older Adults With Parkinson’s Disease. J. Geriatr. Phys. Ther. 2016, 39, 165–170. [Google Scholar] [CrossRef] [PubMed]
- Peters, D.M.; Fritz, S.L.; Krotish, D.E. Assessing the Reliability and Validity of a Shorter Walk Test Compared With the 10-Meter Walk Test for Measurements of Gait Speed in Healthy, Older Adults. J. Geriatr. Phys. Ther. 2013, 36, 24–30. [Google Scholar] [CrossRef] [PubMed]
- Paltamaa, J.; West, H.; Sarasoja, T.; Wikström, J.; Mälkiä, E. Reliability of Physical Functioning Measures in Ambulatory Subjects with MS. Physiother. Res. Int. 2005, 10, 93–109. [Google Scholar] [CrossRef] [PubMed]
- Fry, D.K.; Pfalzer, L.A. Reliability of Four Functional Tests and Rating of Perceived Exertion in Persons with Multiple Sclerosis. Physiother. Can. 2006, 58, 212–220. [Google Scholar] [CrossRef]
- Santinelli, F.B.; Abasıyanık, Z.; Ramari, C.; Gysemberg, G.; Kos, D.; Pau, M.; Kalron, A.; Meyns, P.; Ozakbas, S.; Feys, P. Manifestations of Walking Fatigability in People with Multiple Sclerosis Based on Gait Quality and Distance Walked during the Six Minutes Walking Test. Mult. Scler. Relat. Disord. 2024, 91, 105909. [Google Scholar] [CrossRef]
- Portilla-Cueto, K.; Medina-Pérez, C.; Romero-Pérez, E.M.; Hernández-Murúa, J.A.; Vila-Chã, C.; De Paz, J.A. Reliability of Isometric Muscle Strength Measurement and Its Accuracy Prediction of Maximal Dynamic Force in People with Multiple Sclerosis. Medicina 2022, 58, 948. [Google Scholar] [CrossRef]
- Blazevich, A.J.; Gill, N.; Newton, R.U. Reliability and Validity of Two Isometric Squat Tests. J. Strength Cond. Res. 2002, 16, 298–304. [Google Scholar] [PubMed]
- Pepin, E.B.; Spencer, M.K.; Hicks, R.W.; Jackson, C.G.R.; Tran, Z.V. Reliability of a Handgrip Test for Evaluating Heart Rate and Pressor Responses in Multiple Sclerosis. Med. Sci. Sports Exerc. 1998, 30, 1296–1298. [Google Scholar] [CrossRef]
- McGrath, R.; Johnson, N.; Klawitter, L.; Mahoney, S.; Trautman, K.; Carlson, C.; Rockstad, E.; Hackney, K.J. What Are the Association Patterns between Handgrip Strength and Adverse Health Conditions? A Topical Review. SAGE Open Med. 2020, 8, 2050312120910358. [Google Scholar] [CrossRef]
- Mañago, M.M.; Kline, P.W.; Harris-Love, M.O.; Christiansen, C.L. The Validity of the Single-Leg Heel Raise Test in People With Multiple Sclerosis: A Cross-Sectional Study. Front. Neurol. 2021, 12, 650297. [Google Scholar] [CrossRef]
- Bertoni, R.; Lamers, I.; Chen, C.C.; Feys, P.; Cattaneo, D. Unilateral and Bilateral Upper Limb Dysfunction at Body Functions, Activity and Participation Levels in People with Multiple Sclerosis. Mult. Scler. 2015, 21, 1566–1574. [Google Scholar] [CrossRef]
- Yuksel, H.; Balaban, M.; Tan, O.O.; Mungan, S. Sarcopenia in Patients with Multiple Sclerosis. Mult. Scler. Relat. Disord. 2022, 58, 103471. [Google Scholar] [CrossRef]
- Fu, H.; Wang, L.; Zhang, W.; Lu, J.; Yang, M. Diagnostic Test Accuracy of Ultrasound for Sarcopenia Diagnosis: A Systematic Review and Meta-analysis. J. Cachexia Sarcopenia Muscle 2023, 14, 57–70. [Google Scholar] [CrossRef] [PubMed]
- Nijholt, W.; Scafoglieri, A.; Jager-Wittenaar, H.; Hobbelen, J.S.M.; Van Der Schans, C.P. The Reliability and Validity of Ultrasound to Quantify Muscles in Older Adults: A Systematic Review. J. Cachexia Sarcopenia Muscle 2017, 8, 702–712. [Google Scholar] [CrossRef]
- Lesinski, M.; Bashford, G.; Markov, A.; Risch, L.; Cassel, M. Reliability of Assessing Skeletal Muscle Architecture and Tissue Organization of the Gastrocnemius Medialis and Vastus Lateralis Muscle Using Ultrasound and Spatial Frequency Analysis. Front. Sports Act. Living 2024, 6, 1282031. [Google Scholar] [CrossRef]




| Visit | Test | Measures | ICC (95% CI) | CV (%) | ||
|---|---|---|---|---|---|---|
| 1 | 2 | 3 | ||||
| Day 1 | Handgrip (kg) | 28.40 ± 10.6 | 29.0 ± 9.4 | - | 0.965 (0.936–0.980) | 7.3 |
| VLR muscle thickness (cm) | 1.82 ± 0.4 | 1.83 ± 0.4 | 1.83 ± 0.4 | 0.978 (0.964–0.987) | 3.4 | |
| VLL muscle thickness (cm) | 1.83 ± 0.4 | 1.83 ± 0.4 | 1.82 ± 0.4 | 0.995 (0.995–0.997) | 2.4 | |
| RFR muscle thickness (cm) | 1.88 ± 0.4 | 1.88 ± 0.4 | 1.89 ± 0.4 | 0.994 (0.990–0.997) | 2.5 | |
| RFL muscle thickness (cm) | 1.85 ± 0.4 | 1.86 ± 0.4 | 1.86 ± 0.4 | 0.996 (0.994–0.999) | 1.8 | |
| TUG test (s) | 6.28 ± 1.4 | 6.09 ± 1.2 | 5.94 ± 1.2 | 0.984 (0.974–0.991) | 4.4 | |
| 60STST (n) | 32.13 ± 9.4 | 32.22 ± 9.7 | - | 0.971 (0.947–0.984) | 4.6 | |
| 5RSTST (w/kg) | 2.97 ± 0.9 | 3.15 ± 0.9 | - | 0.968 (0.942–0.9802) | 6.8 | |
| MVICSQ (N) | 476.59 ± 218.3 | 504.98 ± 194.6 | - | 0.912 (0.840–0.951) | 13.2 | |
| GRF (N) | 1189.49 ± 271.8 | 1103.64 ± 280.2 | - | 0.935 (0.882–0.964) | 6.2 | |
| GRFR (N) | 596.64 ± 153.2 | 551.51 ± 149.6 | - | 0.922 (0.859–0.957) | 7.3 | |
| GRFL (N) | 588.20 ± 127.8 | 550.47 ± 136.9 | - | 0.935 (0.881–0.964) | 6.2 | |
| MVICLEXT (N) | 302.48 ± 174.1 | 315.36 ± 168.6 | - | 0.983 (0.969–0.991) | 8.1 | |
| UMVICLEXT_R (N) | 93.68 ± 75.5 | 105.66 ± 90.1 | - | 0.970 (0.946–0.983) | 11.5 | |
| UMVICLEXT_L (N) | 111.64 ± 91.0 | 109.84 ± 93.2 | - | 0.975 (0.955–0.986) | 12.6 | |
| 10MWT (s) | 5.27 ± 0.9 | 5.09 ± 1.0 | 5.00 ± 0.8 | 0.957 (0.930–0.975) | 3.2 | |
| Day 2 | Handgrip (kg) | 30.71 ± 9.8 | 31.17 ± 10.20 | - | 0.984 (0.970–0.991) | 4.4 |
| VLR muscle thickness (cm) | 1.89 ± 0.4 | 1.89 ± 0.4 | 1.89 ± 0.4 | 0.995 (0.992–0.997) | 2.1 | |
| VLL muscle thickness (cm) | 1.85 ± 0.4 | 1.86 ± 0.4 | 1.86 ± 0.4 | 0.996 (0.994–0.998) | 1.9 | |
| RFR muscle thickness (cm) | 1.95 ± 0.4 | 1.94 ± 0.4 | 1.96 ± 0.4 | 0.994 (0.991–0.997) | 2.0 | |
| RFL muscle thickness (cm) | 1.92 ± 0.4 | 1.91 ± 0.4 | 1.91 ± 0.4 | 0.998 (0.996–0.999) | 1.5 | |
| TUG test (s) | 5.55 ± 1.0 | 5.40 ± 0.9 | 5.30 ± 0.8 | 0.975 (0.959–0.986) | 3.8 | |
| 60STST (n) | 37.49 ± 10.4 | 36.60 ± 10.8 | - | 0.971 (0.946–0.984) | 5.0 | |
| 5STST (w/kg) | 3.78 ± 0.9 | 3.91 ± 1.0 | - | 0.979 (0.960–0.988) | 4.0 | |
| MVICSQ (N) | 556.75 ± 226.3 | 572.43 ± 238.7 | - | 0.970 (0.945–0.984) | 8.5 | |
| GRF (N) | 1241.25 ± 283.0 | 1178.98 ± 273.5 | - | 0.988 (0.977–0.993) | 3.4 | |
| GRFR (N) | 623.61 ± 157.4 | 593.82 ± 153.3 | - | 0.989 (0.980–0.994) | 3.8 | |
| GRFL (N) | 617.64 ± 132.5 | 585.07 ± 126.0 | - | 0.981 (0.965–0.990) | 4.0 | |
| MVICLEXT (N) | 332.25 ± 166.6 | 327.71 ± 186.8 | - | 0.980 (0.964–0.989) | 10.3 | |
| UMVICLEXT_R (N) | 102.35 ± 97.9 | 97.60 ± 89.8 | - | 0.972 (0.948–0.985) | 12.8 | |
| UMVICLEXT_L (N) | 103.42 ± 90.3 | 106.28 ± 92.7 | - | 0.984 (0.971–0.991) | 11.4 | |
| 10MWT (s) | 4.97 ± 0.8 | 4.83 ± 0.8 | 4.78 ± 0.7 | 0.982 (0.970–0.990) | 3.4 | |
| Tests | Measures | RMs p-Value | ICC (95% CI) | %CV | |
|---|---|---|---|---|---|
| Day 1 | Day 2 | ||||
| Handgrip (kg) | 26.84 ± 6.2 | 28.18 ± 5.9 | 0.031 | 0.817 (0.648–0.905) | 9.2 |
| VLR muscle thickness (cm) | 1.82 ± 0.4 | 1.88 ± 0.4 | 0.032 | 0.933 (0.875–0.964) | 6.2 |
| VLL muscle thickness (cm) | 1.81 ± 0.4 | 1.85± 0.4 | 0.130 | 0.958 (0.920–0.978) | 4.8 |
| RFR muscle thickness (cm) | 1.88 ± 0.4 | 1.94 ± 0.4 | 0.033 | 0.933 (0.874–0.964) | 5.5 |
| RFL muscle thickness (cm) | 1.85 ± 0.4 | 1.88 ± 0.4 | 0.028 * | 0.973 (0.948–0.986) | 3.2 |
| TUG test (s) | 5.80 ± 0.9 | 5.24 ± 0.7 | <0.001 | 0.866 (0.752–0.927) | 8.6 |
| 60STST (n) | 33.49 ± 10.0 | 38.17 ± 10.0 | <0.001 | 0.937 (0.884–0.966) | 10.8 |
| 5RSTST (w/kg) | 3.26 ± 0.9 | 3.96 ± 1.0 | <0.001 * | 0.832 (0.690–0.909) | 17.8 |
| MVICSQ (N) | 541.79 ± 213.0 | 593.18 ± 229.0 | 0.014 * | 0.775 (0.587–0.877) | 17.0 |
| GRF (N) | 1196.72 ± 276.6 | 1248.35 ± 282.4 | 0.102 * | 0.882 (0.682–0.907) | 9.6 |
| GRFR (N) | 604.49 ± 152.0 | 628.70 ± 156.7 | 0.136 * | 0.850 (0.723–0.919) | 9.6 |
| GRFL (N) | 592.47 ± 130.0 | 621.77 ± 132.2 | 0.082 | 0.797 (0.625–0.890) | 10.2 |
| MVICLEXT (N) | 327.87 ± 183.9 | 349.23 ± 178.9 | 0.067 | 0.955 (0.917–0.975) | 17.1 |
| UMVICLEXT_R (N) | 109.51 ± 92.3 | 108.8 ± 99.9 | 0.922 | 0.932 (0.875–0.963) | 25.9 |
| UMVICLEXT_L (N) | 122.14 ± 96.4 | 122.68 ± 94.6 | 0.288 | 0.897 (0.812–0.944) | 26.9 |
| 10MWT (s) | 5.11 ± 0.9 | 4.86 ± 0.8 | <0.001 * | 0.933 (0.875–0.964) | 4.9 |
| 6MWT (m) | 621.51 ± 87.3 | 644.40 ± 84.8 | 0.002 | 0.929 (0.866–0.962) | 4.2 |
Disclaimer/Publisher’s Note: The statements, opinions and data contained in all publications are solely those of the individual author(s) and contributor(s) and not of MDPI and/or the editor(s). MDPI and/or the editor(s) disclaim responsibility for any injury to people or property resulting from any ideas, methods, instructions or products referred to in the content. |
© 2024 by the authors. Licensee MDPI, Basel, Switzerland. This article is an open access article distributed under the terms and conditions of the Creative Commons Attribution (CC BY) license (https://creativecommons.org/licenses/by/4.0/).
Share and Cite
Lisardo, D.; López-Ortiz, S.; Jauregui-Fajardo, I.; Pinto-Fraga, J.; García-Chico, C.; Chavarría-Miranda, A.; Téllez, N.; Maroto-Izquierdo, S. MScope: A Reliable Battery for Functional Status Assessment in Multiple Sclerosis. Appl. Sci. 2025, 15, 11. https://doi.org/10.3390/app15010011
Lisardo D, López-Ortiz S, Jauregui-Fajardo I, Pinto-Fraga J, García-Chico C, Chavarría-Miranda A, Téllez N, Maroto-Izquierdo S. MScope: A Reliable Battery for Functional Status Assessment in Multiple Sclerosis. Applied Sciences. 2025; 15(1):11. https://doi.org/10.3390/app15010011
Chicago/Turabian StyleLisardo, Daniel, Susana López-Ortiz, Irati Jauregui-Fajardo, José Pinto-Fraga, Celia García-Chico, Alba Chavarría-Miranda, Nieves Téllez, and Sergio Maroto-Izquierdo. 2025. "MScope: A Reliable Battery for Functional Status Assessment in Multiple Sclerosis" Applied Sciences 15, no. 1: 11. https://doi.org/10.3390/app15010011
APA StyleLisardo, D., López-Ortiz, S., Jauregui-Fajardo, I., Pinto-Fraga, J., García-Chico, C., Chavarría-Miranda, A., Téllez, N., & Maroto-Izquierdo, S. (2025). MScope: A Reliable Battery for Functional Status Assessment in Multiple Sclerosis. Applied Sciences, 15(1), 11. https://doi.org/10.3390/app15010011

