A Novel Cell-Based Adaptive Cartesian Grid Approach for Complex Flow Simulations
Abstract
1. Introduction
2. Adaptive Cartesian Grid Generation Method
2.1. Initial Uniform Grid Generation
2.2. Geometric Adaptation
2.3. Flow Field Adaptation
2.4. Grid Smoothing
2.5. Assignment of Newly Generated Grids
3. Numerical Methods
3.1. Governing Equations
3.2. Hanging Grids Discretization
3.3. Boundary Treatment
4. Results and Discussion
4.1. A Mach 3 Wind Tunnel with a Forward Facing Step
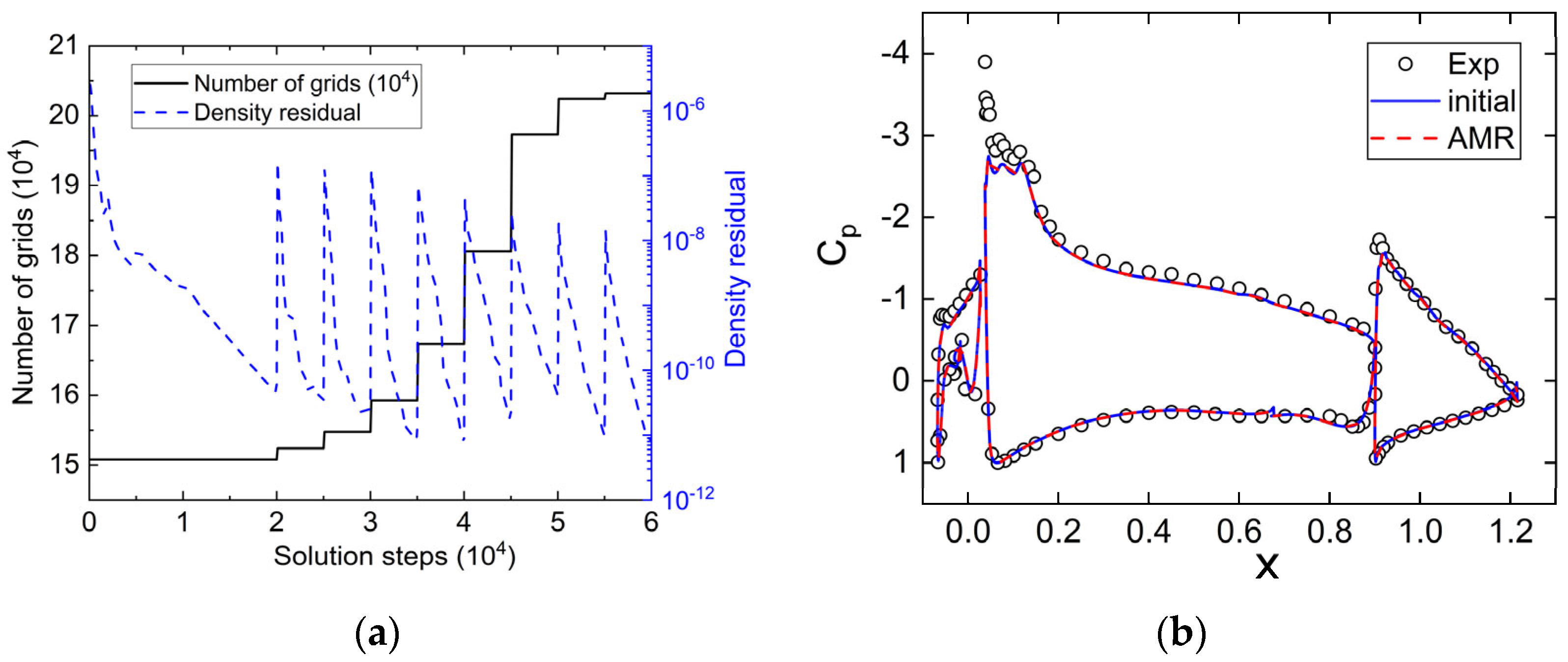
4.2. Subsonic NHLP Airfoil
4.3. Supersonic Flow around a Sphere
5. Conclusions
- In the context of supersonic flow over a forward facing step, employing a comprehensive criterion based on velocity, vorticity, and divergence enhanced the capture of flow field characteristics. AMR achieved comparable flow field results to uniform grids, while judicious grid coarsening and refinement reduced computational costs without compromising simulation accuracy. With solution adaptation across three layers, grid count and overall computational cost decreased to 48.9% and 47.6%, respectively, compared to uniform fine grids. Increasing adaptation layers to five further reduced these ratios to 15.8% and 19.5%, respectively.
- In the simulation of a high Reynolds number turbulent flow over an NHLP three-element airfoil, the immersed Cartesian grid method autonomously generated the required computational grid within seconds. After eight iterations of AMR, the number of grids increased from 1.51 × 105 to 2.03 × 105. While activating AMR had a minor effect on surface pressure coefficients, it significantly enhanced the resolution of the simulation in the wake region.
- For the three-dimensional supersonic flow simulation around a sphere, the initial grid resolution was inadequate for accurately portraying the features of the flow field. Through six iterations of solution adaptation, the accuracy in capturing shock waves was significantly improved, particularly at the front and rear of the sphere. Although this process had a minimal impact on the pressure distribution in the stagnation region, it notably improved the prediction of the separation zone, avoiding the overestimation of negative pressure regions, and thus, making the predictions of drag coefficients closer to experimental results.
Author Contributions
Funding
Institutional Review Board Statement
Informed Consent Statement
Data Availability Statement
Conflicts of Interest
References
- Nakahashi, K. Aeronautical CFD in the age of Petaflops-scale computing: From unstructured to Cartesian meshes. Eur. J. Mech. B 2013, 40, 75–86. [Google Scholar] [CrossRef]
- Meng, S.; Li, X.; Chen, G.; Chen, Z. Numerical simulation of slipstreams and wake flows of trains with different nose lengths passing through a tunnel. Tunn. Undergr. Space Technol. 2020, 108, 103701. [Google Scholar] [CrossRef]
- Ji, P.; Wu, F.; Qian, B.; Yan, L. Aerodynamic Shape Design of Pantograph Network Monitoring Device on High-Speed Trains. J. Appl. Fluid Mech. 2019, 12, 1383–1394. [Google Scholar] [CrossRef]
- Baker, T.J. Mesh generation: Art or science. Prog. Aerosp. Sci. 2005, 41, 29–63. [Google Scholar] [CrossRef]
- Larsson, J.; Wang, Q. The Prospect of Using Large Eddy and Detached Eddy Simulations in Engineering Design, and the Research Required to Get There. Philos. Trans. R. Soc. A Math. Phys. Eng. Sci. 2014, 372, 20130329. [Google Scholar] [CrossRef]
- Slotnick, J.; Khodadoust, A.; Alonso, J.; Darmofal, D.; Gropp, W.; Lurie, E.; Mavriplis, D. CFD Vision 2030 Study: A Path to Revolutionary Computational Aerosciences; NASA/CR-2014-218178; NASA Technical Reports Server; NASA: Hampton, VI, USA, 2014.
- Thompson, J.F. A survey of dynamically-adaptive grids in the numerical solution of partial differential equations. Appl. Numer. Math. 1985, 1, 3–27. [Google Scholar] [CrossRef]
- Lourenço, M.A.; Padilla, E.L. An octree structured finite volume based solver. Appl. Math. Comput. 2020, 365, 1–28. [Google Scholar] [CrossRef]
- Cant, R.S.; Ahmed, U.; Fang, J.; Chakarborty, N.; Nivarti, G.; Moulinec, C.; Emerson, D.R. An unstructured adaptive mesh refinement approach for computational fluid dynamics of reacting flows. J. Comput. Phys. 2022, 468, 111480. [Google Scholar] [CrossRef]
- Zeeuw, D.L.D. A Quadtree-Based Adaptively-Refined Cartesian-Grid Algorithm for Solution of the Euler Equations; University of Michigan: Ann Arbor, MI, USA, 1993. [Google Scholar]
- Dubey, A.; Almgren, A.; Bell, J.; Berzins, M.; Brandt, S.; Bryan, G.; Colella, P.; Graves, D.; Lijewski, M.; Löffler, F.; et al. A survey of high level frameworks in block-structured adaptive mesh refinement packages. J. Parallel Distrib. Comput. 2014, 74, 3217–3227. [Google Scholar] [CrossRef]
- Jahangirian, A.; Shoraka, Y. Adaptive unstructured grid generation for engineering computation of aerodynamic flows. Math. Comput. Simulat. 2008, 78, 627–644. [Google Scholar] [CrossRef]
- Xu, W.; Li, K.; Geng, Z.; Zhang, M.; Yang, J. A Local Adaptive Mesh Refinement for JFO Cavitation Model on Cartesian Meshes. Appl. Sci. 2021, 11, 9879. [Google Scholar] [CrossRef]
- Freret, L.; Williamschen, M.; Groth, C.P.T. Enhanced anisotropic block-based adaptive mesh refinement for three-dimensional inviscid and viscous compressible flows. J. Comput. Phys. 2022, 458, 111092. [Google Scholar] [CrossRef]
- Berger, M.J.; Oliger, J. Adaptive mesh refinement for hyperbolic partial differential equations. J. Comput. Phys. 1984, 53, 484–512. [Google Scholar] [CrossRef]
- Adams, M.; Colella, P.; Graves, D.T.; Ligocki, T.J.; Martin, D.F.; Straalen, B.V. Chombo Software Package for AMR Applications-Design Document; Technical Report LBNL-6616E; Lawrence Berkeley National Laboratory: Berkeley, CA, USA, 2015. Available online: https://commons.lbl.gov/display/chombo/Chombo+-+Software+for+Adaptive+Solutions+of+Partial+Differential+Equations (accessed on 9 April 2024).
- Wissink, A.M.; Hornung, R.D.; Kohn, S.R.; Smith, S.S.; Elliott, N. Large Scale Parallel Structured AMR Calculations Using the SAMRAI Framework. In Proceedings of the 2001 ACM/IEEE Conference on Supercomputing, Denver, CO, USA, 10–16 November 2001; Available online: https://computing.llnl.gov/projects/samrai (accessed on 9 April 2024).
- O’Shea, B.W.; Bryan, G.; Bordner, J.; Norman, M.L.; Kritsuk, A. Introducing Enzo, an AMR Cosmology Application; Springer: Berlin/Heidelberg, Germany, 2005; pp. 341–349. Available online: https://enzo.readthedocs.io/en/latest/index.html (accessed on 9 April 2024).
- Berger, M.J.; Saltzman, J.S. AMR on the CM-2. Appl. Numer. Math. 1992, 14, 239–253. [Google Scholar] [CrossRef]
- Quirk, J.J.; Hanebutte, U.R. A Parallel Adaptive Mesh Refinement Algorithm; ICASE: Hampton, VI, USA, 1993; pp. 63–93. [Google Scholar]
- Fakhari, A.; Lee, T. Finite-difference lattice Boltzmann method with a block-structured adaptive-mesh-refinement technique. Phys. Rev. E Stat. Nonlinear Soft Matter Phys. 2014, 89, 33310. [Google Scholar] [CrossRef]
- Maeyama, H.; Imamura, T.; Osaka, J.; Kurimoto, N. Unsteady aerodynamic simulations by the lattice Boltzmann method with near-wall modeling on hierarchical Cartesian grids. Comput. Fluids. 2022, 233, 105249. [Google Scholar] [CrossRef]
- Ishida, T.; Takashi, S.; Nakahashi, K. Efficient and Robust Cartesian Mesh Generation for Building-Cube Method. J. Comput. Sci. Technol. 2008, 2, 435–446. [Google Scholar] [CrossRef]
- Young, D.P.; Melvin, R.G.; Bieterman, M.B.; Johnson, F.T.; Samant, S.S.; Bussoletti, J.E. A locally refined rectangular grid finite element method: Application to computational fluid dynamics and computational physics. J. Comput. Phys. 1991, 92, 1–66. [Google Scholar] [CrossRef]
- Wang, Z.; Du, L.; Sun, X. Adaptive mesh refinement for simulating fluid-structure interaction using a sharp interface immersed boundary method. Int. J. Numer. Methods Fluids 2020, 92, 1890. [Google Scholar] [CrossRef]
- Choung, H.; Saravanan, V.; Lee, S. Cell-based hybrid adaptive mesh refinement algorithm for immersed boundary method. Int. J. Numer. Methods Fluids. 2022, 94, 272–294. [Google Scholar]
- Meng, S.; Zhou, D.; Yuan, X.X.; Li, X.L.; Chen, H.; Bi, L. Enhanced strategy for adaptive Cartesian grid generation with arbitrarily complex 3D geometry. Adv. Eng. Softw. 2022, 174, 103304. [Google Scholar] [CrossRef]
- Meng, S.; Zhou, D.; Bi, L.; Li, X.L.; Luo, C.Y.; Du, H. Anisotropic Cartesian grid generation strategy for arbitrarily complex geometry based on a fully threaded tree. Comput. Aided Des. 2023, 155, 103447. [Google Scholar] [CrossRef]
- Li, X.L.; Yang, M.Z.; Bi, L.; Xu, R.; Luo, C.Y.; Yuan, S.; Yuan, X.; Tang, Z.G. An efficient Cartesian mesh generation strategy for complex geometries. Comp. Methods Appl. Mech. Eng. 2024, 418, 116564. [Google Scholar] [CrossRef]
- Tang, Z.G.; Chen, H.; Bi, L.; Yuan, X. Numerical simulation of supersonic viscous flow based on adaptive Cartesian grid. Acta Aeronaut. Astronaut. Sin. 2018, 39, 44–56. (In Chinese) [Google Scholar]
- Linde, T.; Roe, P.L. An adaptive Cartesian mesh algorithm for the Euler equations in arbitrary geometries. In Proceedings of the 9th Computational Fluid Dynamics Conference, Buffalo, NY, USA, 13–15 June 1989; pp. 89–1930. [Google Scholar]
- Zhu, H.; Qiu, J. An h-adaptive RKDG method with troubled-cell indicator for two-dimensional hyperbolic conservation laws. Adv. Comput. Math. 2013, 39, 445–463. [Google Scholar] [CrossRef]
- Zeng, Y.; Wang, Y.; Yang, D.; Chen, Q. Immersed Boundary Methods for Simulations of Biological Flows in Swimming and Flying Bio-Locomotion: A Review. Appl. Sci. 2023, 13, 4208. [Google Scholar] [CrossRef]
- Verzicco, R. Immersed boundary methods: Historical perspective and future outlook. Annu. Rev. Fluid Mech. 2023, 55, 129–155. [Google Scholar] [CrossRef]
- Forrer, H.; Jeltsch, R. A higher order boundary treatment for Cartesian-grid methods. J. Comput. Phys. 1998, 140, 259–277. [Google Scholar] [CrossRef]
- Pan, D. A General Boundary Condition Treatment in Immersed Boundary Methods for Incompressible Navier-Stokes Equations with Heat Transfer. Numer. Heat Transf. Part B Fundam. 2012, 61, 279–297. [Google Scholar] [CrossRef]
- Tamaki, Y.; Harada, M.; Imamura, T. Near-wall modification of Spalart–Allmaras turbulence model for immersed boundary method. AIAA J. 2017, 55, 3027–3039. [Google Scholar] [CrossRef]
- Constant, B.; Péron, S.; Beaugendre, H.; Benoit, C. An improved immersed boundary method for turbulent flow simulations on Cartesian grids. J. Comput. Phys. 2021, 435, 110240. [Google Scholar] [CrossRef]
- Woodward, P.; Colella, P. The numerical simulation of two-dimensional fluid flow with strong shocks. J. Comput. Phys. 1984, 54, 115–173. [Google Scholar] [CrossRef]
- AGARD-AR-303; Measurements on a Two-Dimensional Airfoil with High Lift Devices: A Selection of Experimental Test Cases for the Validation of CFD Codes. NATO: Brussels, Belgium, 1994.
- Bailey, A.B.; Hiatt, J. Sphere Drag Coefficients for a Broad Range of Mach and Reynolds Numbers. AIAA J. 2012, 10, 1436–1440. [Google Scholar] [CrossRef]























| Grid Type | Dimensionless Time | Number of Grids (×103) |
|---|---|---|
| Uni-level = 3 | 2.1 | 64.5 |
| Uni-level = 5 | 32.3 | 1032.2 |
| AMR-level = 3 | 1.0 | 31.6 |
| AMR-level = 5 | 6.3 | 163.7 |
| Grid Type | Number of Grids (×104) | Cd |
|---|---|---|
| Bailey and Hiatt [41] | / | 0.97 |
| Initial grid | 138 | 1.062 |
| After AMR | 417 | 0.988 |
Disclaimer/Publisher’s Note: The statements, opinions and data contained in all publications are solely those of the individual author(s) and contributor(s) and not of MDPI and/or the editor(s). MDPI and/or the editor(s) disclaim responsibility for any injury to people or property resulting from any ideas, methods, instructions or products referred to in the content. |
© 2024 by the authors. Licensee MDPI, Basel, Switzerland. This article is an open access article distributed under the terms and conditions of the Creative Commons Attribution (CC BY) license (https://creativecommons.org/licenses/by/4.0/).
Share and Cite
Luo, C.; Zhou, D.; Meng, S.; Bi, L.; Wang, W.; Yuan, X.; Tang, Z. A Novel Cell-Based Adaptive Cartesian Grid Approach for Complex Flow Simulations. Appl. Sci. 2024, 14, 3692. https://doi.org/10.3390/app14093692
Luo C, Zhou D, Meng S, Bi L, Wang W, Yuan X, Tang Z. A Novel Cell-Based Adaptive Cartesian Grid Approach for Complex Flow Simulations. Applied Sciences. 2024; 14(9):3692. https://doi.org/10.3390/app14093692
Chicago/Turabian StyleLuo, Canyan, Dan Zhou, Shuang Meng, Lin Bi, Wenzheng Wang, Xianxu Yuan, and Zhigong Tang. 2024. "A Novel Cell-Based Adaptive Cartesian Grid Approach for Complex Flow Simulations" Applied Sciences 14, no. 9: 3692. https://doi.org/10.3390/app14093692
APA StyleLuo, C., Zhou, D., Meng, S., Bi, L., Wang, W., Yuan, X., & Tang, Z. (2024). A Novel Cell-Based Adaptive Cartesian Grid Approach for Complex Flow Simulations. Applied Sciences, 14(9), 3692. https://doi.org/10.3390/app14093692

