Finite-Time Attitude Control of Quadrotor Unmanned Aerial Vehicle with Disturbance and Actuator Saturation
Abstract
Featured Application
Abstract
1. Introduction
- The assumptions based on small-angle flight are eliminated, so that the rate of change of the Euler angle and the angular velocity of the airframe satisfy the nonlinear relationship in an actual flight, and the total disturbance of the system and the actuator saturation are taken into account. The established model better reflects real flight conditions.
- For the saturation problem of the actuator, an anti-saturation auxiliary control system is designed. In the presence of saturation, this anti-saturation auxiliary control system promptly guides the controller’s output moment out of the saturation range by correcting attitude feedback errors. This ensures finite-time convergence of attitude errors in anti-saturation scenarios.
- Targeting the overall disturbance experienced during flight, a disturbance observer rooted in finite-time stability theory is crafted to precisely estimate disturbances. IN contrast with the existing literature-based observers [31,40], the observer proposed in this study not only achieves finite-time convergence of observation errors but also guarantees the continuity of observer output results.
2. Preliminaries and Problem Formulation
3. Controller Design
3.1. Anti-Saturation Controller Design Based on Finite-Time Stabilization
3.2. Disturbance Observer Design Based on Finite-Time Stabilization
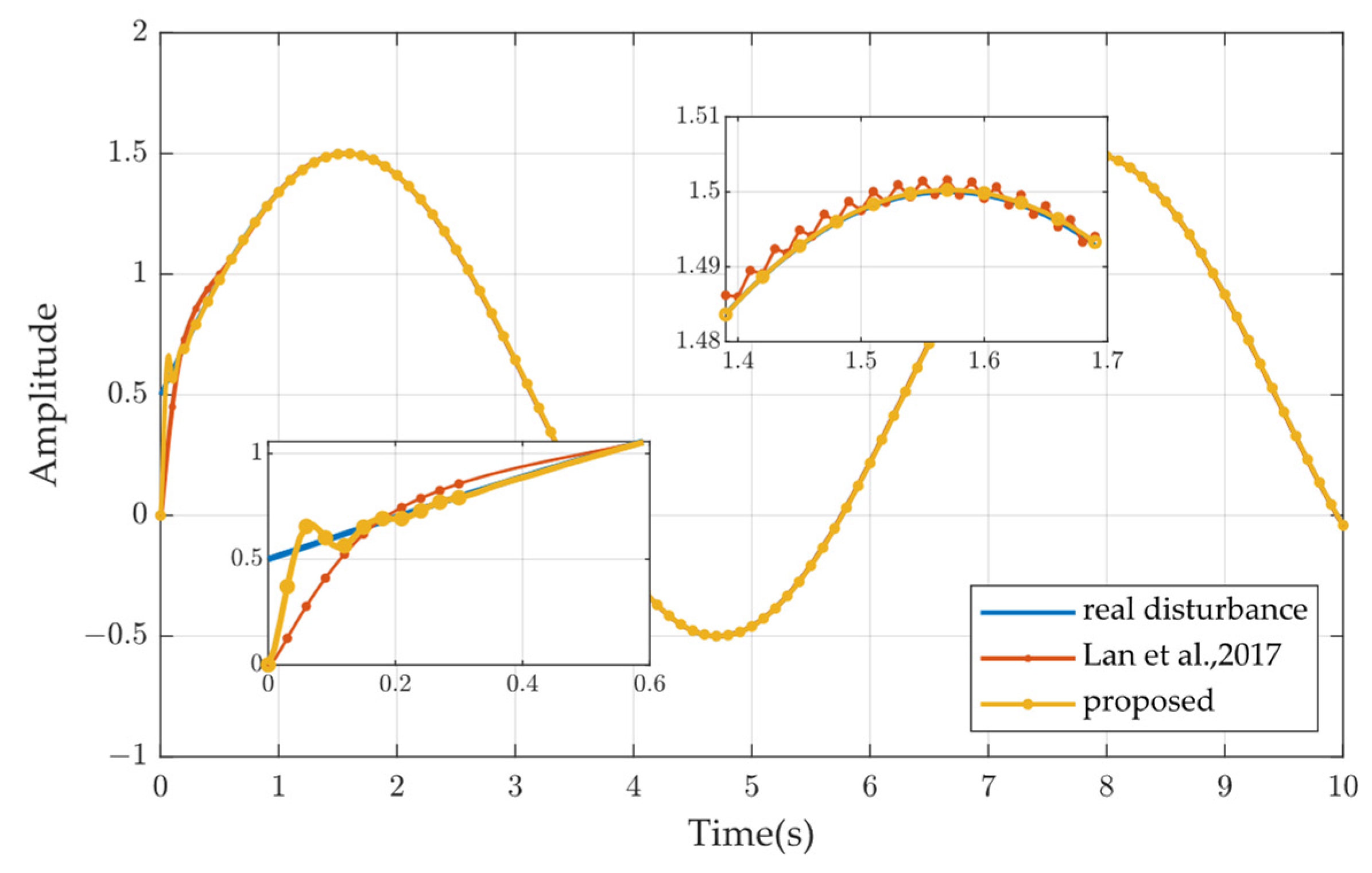
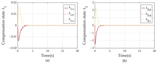
4. Simulation and Analysis
5. Conclusions
Author Contributions
Funding
Institutional Review Board Statement
Informed Consent Statement
Data Availability Statement
Conflicts of Interest
References
- Erdelj, M.; Krol, M.; Natalizio, E. Wireless sensor networks and multi-UAV systems for natural disaster management. Comput. Netw. 2017, 124, 72–86. [Google Scholar] [CrossRef]
- Khan, M.A.; Ectors, W.; Bellemans, T.; Janssens, D.; Wets, G. UAV-based traffic analysis: A universal guiding framework based on literature survey. Transp. Res. Proc. 2017, 22, 541–550. [Google Scholar] [CrossRef]
- dos Santos, S.; Givigi, S.; Nascimento, C. Autonomous Construction of multiple structures using learning automata: Description and experimental validation. IEEE Syst. J. 2014, 9, 1376–1387. [Google Scholar] [CrossRef]
- Altuğ, E.; Ostrowski, J.P.; Taylor, C.J. Control of a quadrotor helicopter using dual camera visual feedback. Int. J. Robot. Res. 2005, 24, 329–341. [Google Scholar] [CrossRef]
- Lin, P.; Chen, S.; Wang, X. An improved backstepping based controller with integrators for the quadrotor. In Proceedings of the 2015 34th Chinese Control Conference (CCC), Hangzhou, China, 28–30 July 2015; pp. 545–550. [Google Scholar]
- Xu, G.; Zhou, M. Modified adaptive flight control of quadrotor based on single neuron PID. In Proceedings of the 2013 IEEE Third International Conference on Information Science and Technology (ICIST), Yangzhou, China, 23–25 March 2013; pp. 313–316. [Google Scholar]
- Kazim, M.; Azar, A.T.; Koubaa, A.; Zaidi, A. Disturbance-rejection-based optimized robust adaptive controllers for UAVs. IEEE Syst. J. 2021, 15, 3097–3108. [Google Scholar] [CrossRef]
- Reyes-Valeria, E.; Enriquez-Caldera, R.; Camacho-Lara, S.; Guichard, J. LQR control for a quadrotor using unit quaternions: Modeling and simulation. In Proceedings of the CONIELECOMP 2013, 23rd International Conference on Electronics, Communications and Computing, Cholula, Mexico, 11–13 March 2013; pp. 172–178. [Google Scholar]
- Guo, Y.; Wu, M.; Tang, K.; Wang, X. Integral back-stepping algorithm for designing the quadrotor aircraft controller. Chin. J. Intell. Sci. Technol. 2019, 1, 133–139. [Google Scholar]
- Hou, Y.; Chen, D.; Yang, S. Adaptive robust trajectory tracking controller for a quadrotor UAV with uncertain environment parameters based on backstepping sliding mode method. IEEE Trans. Autom. Sci. Eng. 2023; Early Access. [Google Scholar] [CrossRef]
- Zhang, R.; Quan, Q.; Cai, K.-Y. Attitude control of a quadrotor aircraft subject to a class of time-varying disturbances. IET Control Theory Appl. 2011, 5, 1140–1146. [Google Scholar] [CrossRef]
- Xiong, J.; Zhang, G. Global fast dynamic terminal sliding mode control for a quadrotor UAV. ISA Trans. 2017, 66, 233–240. [Google Scholar] [CrossRef]
- Hou, Z.; Lu, P.; Tu, Z. Nonsingular terminal sliding mode control for a quadrotor UAV with a total rotor failure. Aerosp. Sci. Technol. 2020, 98, 105716. [Google Scholar] [CrossRef]
- Alberto, I. Nonlinear Control Systems, 3rd ed.; Springer: London, UK, 1995. [Google Scholar]
- Alonge, F.; D’Ippolito, F.; Fagiolini, A.; Garraffa, G.; Sferlazza, A. Trajectory robust control of autonomous quadcopters based on model decoupling and disturbance estimation. Int. J. Adv. Robot. Syst. 2021, 18, 1729881421996974. [Google Scholar] [CrossRef]
- Zhou, D.; Jin, Z.; Wu, G. Improved Adaptive NDI Flight Control Law Design Based on Real-Time Aerodynamic Identification in Frequency Domain. Appl. Sci. 2023, 13, 6951. [Google Scholar] [CrossRef]
- Li, Y.; Liu, X.; He, Q.; Ming, R.; Huang, W.; Zhang, W. L1 adaptive structure-based nonlinear dynamic inversion control for aircraft with center of gravity variations. J. Intell. Robot. Syst. 2022, 106, 4. [Google Scholar] [CrossRef]
- Harris, J.; Elliott, C.M.; Tallant, G.S. L1 adaptive nonlinear dynamic inversion control for the innovative control effectors aircraft. In Proceedings of the AIAA SCITECH 2022 Forum, San Diego, CA, USA, 3–7 January 2022; p. 0791. [Google Scholar]
- Qiao, F.; Guo, L.; Shi, J. Morphing aircraft flight control using nonlinear dynamic inversion. In Proceedings of the Advances in Guidance, Navigation and Control: Proceedings of 2020 International Conference on Guidance, Navigation and Control, ICGNC 2020, Tianjin, China, 23–25 October 2020; pp. 1519–1529. [Google Scholar]
- Yang, H.; Cheng, L.; Xia, Y.; Yuan, Y. Active disturbance rejection attitude control for a dual closed-loop quadrotor under gust wind. IEEE Trans. Control Syst. Technol. 2017, 26, 1400–1405. [Google Scholar] [CrossRef]
- Zhang, Y.; Chen, Z.; Zhang, X.; Sun, Q.; Sun, M. A novel control scheme for quadrotor UAV based upon active disturbance rejection control. Aerosp. Sci. Technol. 2018, 79, 601–609. [Google Scholar] [CrossRef]
- Wang, C.; Xia, Y.; Kong, X.; Wang, T. Attitude control of underactuated quadrotor UAV based on improved ADRC. In Proceedings of the 2023 2nd Conference on Fully Actuated System Theory and Applications (CFASTA), Qingdao, China, 14–16 July 2023; pp. 699–704. [Google Scholar]
- Lotufo, M.A.; Colangelo, L.; Perez-Montenegro, C.; Canuto, E.; Novara, C. UAV quadrotor attitude control: An ADRC-EMC combined approach. Control Eng. Pract. 2019, 84, 13–22. [Google Scholar] [CrossRef]
- Cheng, Y.; Dai, L.; Li, A.; Yuan, Y.; Chen, Z. Active disturbance rejection generalized predictive control of a quadrotor uav via quantitative feedback theory. IEEE Access 2022, 10, 2169–3536. [Google Scholar] [CrossRef]
- Ríos, H.; Falcón, R.; González, O.A.; Dzul, A. Continuous sliding-mode control strategies for quadrotor robust tracking: Real-time application. IEEE Trans. Ind. Electron. 2018, 66, 1264–1272. [Google Scholar] [CrossRef]
- Jiang, T.; Zhang, F.; Lin, D. Finite-time backstepping for attitude tracking with disturbances and input constraints. Int. J. Control Autom. Syst. 2020, 18, 1487–1497. [Google Scholar] [CrossRef]
- Zhu, W.; Wang, L.; Tian, B. Integral sliding mode control method for quadrotor unmanned aerial vehicle based on finite-time observer. J. Chin. Lnertial Technol. 2023, 31, 1244–1253. [Google Scholar] [CrossRef]
- Shtessel, Y.B.; Shkolnikov, I.A.; Levant, A.J.A. Smooth second-order sliding modes: Missile guidance application. Automatica 2007, 43, 1470–1476. [Google Scholar] [CrossRef]
- Levant, A. Higher-order sliding modes, differentiation and output-feedback control. Int. J. Control Autom. Syst. 2003, 76, 924–941. [Google Scholar] [CrossRef]
- Mechali, O.; Xu, L.; Senouci, A.; Xie, X.; Xin, C.; Mechali, A. Finite-time observer-based robust continuous twisting control for the attitude of an uncertain quadrotor UAV subjected to disturbances. In Proceedings of the 2020 IEEE International Conference on Mechatronics and Automation (ICMA), Beijing, China, 2–5 August 2020; pp. 1203–1208. [Google Scholar]
- Lan, Q.; Qian, C.; Li, S. Finite-time disturbance observer design and attitude tracking control of a rigid spacecraft. J. Dyn. Syst. Meas. Control 2017, 139, 061010. [Google Scholar] [CrossRef]
- Sun, J.; Xu, S.; Song, S.; Dong, X. Finite-time tracking control of hypersonic vehicle with input saturation. Aerosp. Sci. Technol. 2017, 71, 272–284. [Google Scholar] [CrossRef]
- Hu, Q.; Meng, Y. Adaptive backstepping control for air-breathing hypersonic vehicle with actuator dynamics. Aerosp. Sci. Technol. 2017, 67, 412–421. [Google Scholar] [CrossRef]
- Hu, K.-Y.; Yusuf, A.; Cheng, Z. Fuzzy adaptive backstepping control of nonlinear uncertain systems with unmeasured states and input saturation. IEEE Access 2020, 8, 228442–228453. [Google Scholar] [CrossRef]
- Yue, Z.; Sun, J. Robust fault-tolerant control design for hypersonic vehicle with input saturation and actuator faults. Proc. Inst. Mech. Eng. Part G J. Aerosp. Eng. 2022, 236, 1563–1576. [Google Scholar] [CrossRef]
- Kendoul, F.; Lara, D.; Fantoni, I.; Lozano, R. Real-time nonlinear embedded control for an autonomous quadrotor helicopter. J. Guid. Control Dyn. 2007, 30, 1049–1061. [Google Scholar] [CrossRef]
- Li, S.; Wang, Y.; Tan, J. Adaptive and robust control of quadrotor aircrafts with input saturation. Nonlinear Dyn. 2017, 89, 255–265. [Google Scholar] [CrossRef]
- Liu, K.; Wang, X.; Wang, R.; Sun, G.; Wang, X. Antisaturation finite-time attitude tracking control based observer for a quadrotor. IEEE Trans. Circuits Syst. II Express Briefs 2020, 68, 2047–2051. [Google Scholar] [CrossRef]
- Sun, L.; Huo, W.; Jiao, Z. Disturbance-observer-based robust relative pose control for spacecraft rendezvous and proximity operations under input saturation. IEEE Trans. Aerosp. Electron. Syst. 2018, 54, 1605–1617. [Google Scholar] [CrossRef]
- Huang, D.; Huang, T.; Qin, N.; Li, Y.; Yang, Y. Finite-time control for a UAV system based on finite-time disturbance observer. Aerosp. Sci. Technol. 2022, 129, 107825. [Google Scholar] [CrossRef]
- Huang, X.; Lin, W.; Yang, B. Global finite-time stabilization of a class of uncertain nonlinear systems. Automatica 2005, 41, 881–888. [Google Scholar] [CrossRef]
- Li, Y.; Yang, G. Robust fuzzy adaptive fault-tolerant control for a class of nonlinear systems with mismatched uncertainties and actuator faults. Nonlinear Dyn. 2015, 81, 395–409. [Google Scholar] [CrossRef]
- Qian, C.; Lin, W. A continuous feedback approach to global strong stabilization of nonlinear systems. IEEE Trans. Autom. Control 2001, 46, 1061–1079. [Google Scholar] [CrossRef]
- Hu, Q.; Jiang, B. Continuous finite-time attitude control for rigid spacecraft based on angular velocity observer. IEEE Trans. Aerosp. Electron. Syst. 2017, 54, 1082–1092. [Google Scholar] [CrossRef]
- Bhat, S.P.; Bernstein, D.S. Finite-time stability of continuous autonomous systems. SIAM J. Control Optim. 2000, 38, 751–766. [Google Scholar] [CrossRef]
- Zhao, Z.; Li, T.; Jiang, B.; Cao, D. Composite continuous fast nonsingular terminal sliding mode control for quadrotor UAV attitude systems. IET Control Theory Appl. 2023, 40, 459–467. [Google Scholar]









| −3 | −8 | ||
| 5 | 6 | ||
| −3 | −6 |
Disclaimer/Publisher’s Note: The statements, opinions and data contained in all publications are solely those of the individual author(s) and contributor(s) and not of MDPI and/or the editor(s). MDPI and/or the editor(s) disclaim responsibility for any injury to people or property resulting from any ideas, methods, instructions or products referred to in the content. |
© 2024 by the authors. Licensee MDPI, Basel, Switzerland. This article is an open access article distributed under the terms and conditions of the Creative Commons Attribution (CC BY) license (https://creativecommons.org/licenses/by/4.0/).
Share and Cite
Zhang, Z.; Li, X.; Zhang, L. Finite-Time Attitude Control of Quadrotor Unmanned Aerial Vehicle with Disturbance and Actuator Saturation. Appl. Sci. 2024, 14, 3639. https://doi.org/10.3390/app14093639
Zhang Z, Li X, Zhang L. Finite-Time Attitude Control of Quadrotor Unmanned Aerial Vehicle with Disturbance and Actuator Saturation. Applied Sciences. 2024; 14(9):3639. https://doi.org/10.3390/app14093639
Chicago/Turabian StyleZhang, Zheng, Xingwei Li, and Lilian Zhang. 2024. "Finite-Time Attitude Control of Quadrotor Unmanned Aerial Vehicle with Disturbance and Actuator Saturation" Applied Sciences 14, no. 9: 3639. https://doi.org/10.3390/app14093639
APA StyleZhang, Z., Li, X., & Zhang, L. (2024). Finite-Time Attitude Control of Quadrotor Unmanned Aerial Vehicle with Disturbance and Actuator Saturation. Applied Sciences, 14(9), 3639. https://doi.org/10.3390/app14093639
