Analysis of the Magnetic Properties of Ultra-Thin Grain-Oriented Silicon Steel and Fe-Based Amorphous Alloys from Power Frequency to Intermediate Frequency
Abstract
1. Introduction
2. Experimental Measurement System
3. Measurement Results
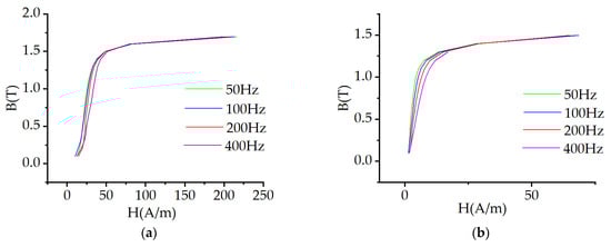
3.1. Magnetization Curve Measurement Results
3.2. Measurement Results of Loss Characteristics at Lower Frequencies
3.3. Measurement Results of Loss Characteristics at Higher Frequencies
4. Establishment of the Model
4.1. Structural Parameters of Epstein Square Ring
4.2. Computational Model
4.2.1. Electromagnetic Field Calculation Model
4.2.2. Loss Calculation Model
4.3. Finite Element Calculation Model
5. Results and Discussion
5.1. Magnetic Flux Density Cloud of Epstein Square Ring
5.2. Epstein Square Ring Loss Calculation Results
5.2.1. Epstein Square Ring Loss Cloud Map
5.2.2. Comparison between the Calculated Value of the Epstein Square Ring Loss and the Experimental Value
6. Conclusions
Author Contributions
Funding
Institutional Review Board Statement
Informed Consent Statement
Data Availability Statement
Conflicts of Interest
References
- Elangovan, S. Recent trends in sustainable development of renewable energy. In Proceedings of the 2017 International Conference on Advances in Electrical Technology for Green Energy (ICAETGT), Coimbatore, India, 23 September 2017. [Google Scholar]
- Ahmed, S.D.; Al-Ismail, F.S.M.; Shafiullah, M.; Al-Sulaima, F.A.; El-Amin, I.M. Grid Integration Challenges of Wind Energy: A Review. IEEE Access 2020, 8, 10857–10878. [Google Scholar] [CrossRef]
- Sun, C.; Chen, J.; Tang, Z. New Energy Wind Power Development Status and Future Trends. In Proceedings of the 2021 International Conference on Advanced Electrical Equipment and Reliable Operation (AEERO), Beijing, China, 15–17 October 2021. [Google Scholar]
- Roasto, I.; Romero-Cadaval, E.; Martins, J.; Smolenski, R. State of the art of active power electronic transformers for smart grids. In Proceedings of the IECON 2012—38th Annual Conference on IEEE Industrial Electronics Society, Montreal, QC, Canada, 25–28 October 2012. [Google Scholar]
- Zhu, L.; Zheng, H.; Ji, H.; Li, G.; Li, H.; Yao, S. Development Trends and Suggestions on Offshore Wind Power of China. In Proceedings of the 2021 IEEE Sustainable Power and Energy Conference (iSPEC), Nanjing, China, 23–25 December 2021. [Google Scholar]
- Dong, T.; Fu, R.; Zhang, B.; Peng, B.; Wei, X. Analysis of Permanent Magnet Linear Synchronous Motor made by Oriented Silicon Steel Sheet. In Proceedings of the 2021 13th International Symposium on Linear Drives for Industry Applications (LDIA), Wuhan, China, 1–3 July 2021. [Google Scholar]
- Geng, W.; Hou, J.; Li, Q. Electromagnetic Analysis and Efficiency Improvement of Axial-Flux Permanent Magnet Motor with Yokeless Stator by Using Grain-Oriented Silicon Steel. IEEE Trans. Magn. 2022, 58, 8200905. [Google Scholar] [CrossRef]
- Sobue, H.; Chiba, A.; Cai, Y.; Kiyota, K.; Fujii, Y.; Senda, K.; Yoshizaki, S. Analysis and Experimental Comparison of Acoustic Noise of Three Switched Reluctance Motors Made of Conventional Steel, High Silicon Steel, and Amorphous Iron. IEEE Trans. Ind. Appl. 2021, 57, 5907–5915. [Google Scholar] [CrossRef]
- Ou, J.; Liu, Y.; Breining, P.; Gietzelt, T.; Wunsch, T.; Doppelbauer, M. Experimental Characterization and Feasibility Study on High Mechanical Strength Electrical Steels for High-Speed Motors Application. IEEE Trans. Ind. Appl. 2020, 57, 284–293. [Google Scholar] [CrossRef]
- Sun, S.; Jiang, F.; Li, T.; Xu, B.; Yang, K. Comparison of A Multi-Stage Axial Flux Permanent Magnet Machine with Different Stator Core Materials. IEEE Trans. Appl. Supercond. 2020, 30, 1–6. [Google Scholar] [CrossRef]
- Tong, W.; Dai, S.; Wu, S.; Tang, R. Performance Comparison Between an Amorphous Metal PMSM and a Silicon Steel PMSM. IEEE Trans. Magn. 2019, 55, 1–5. [Google Scholar]
- Fernando, N.; Vakil, G.; Arumugam, P.; Amankwah, E.; Gerada, C.; Bozhko, S. Impact of Soft Magnetic Material on Design of High-Speed Permanent-Magnet Machines. IEEE Trans. Ind. Electron. 2017, 64, 2415–2423. [Google Scholar] [CrossRef]
- Sato, Y.; Uehara, Y.; Okamoto, S.; Yoshida, S.; Endo, Y.; Ono, N.; Misono, N.; Matsumoto, H. Accuracy Investigation of High-Frequency Core Loss Measurement for Low-Permeability Magnetic Materials. In Proceedings of the 2023 IEEE International Magnetic Conference—Short Papers (INTERMAG Short Papers), Sendai, Japan, 15–19 May 2023. [Google Scholar]
- Ioniţă, V.; Petrescu, L.; Cazacu, E. Coils-Based Measurement System for Soft Magnetic Materials. In Proceedings of the 2021 12th International Symposium on Advanced Topics in Electrical Engineering (ATEE), Bucharest, Romania, 25–27 March 2021. [Google Scholar]
- Sarker, P.C.; Guo, Y.; Lu, H.Y.; Zhu, J.G. Measurement and Modeling of Rotational Core Loss of Fe-Based Amorphous Magnetic Material Under 2-D Magnetic Excitation. IEEE Trans. Magn. 2021, 57, 8402008. [Google Scholar] [CrossRef]
- Wan, Z.; Liu, Z.; Yuan, W. Automated Measurement System for Hysteresis Lines and Magnetic Parameters of Magnetic Materials. In Proceedings of the 2021 IEEE Far East NDT New Technology & Application Forum (FENDT), Kunming, China, 14–17 December 2021. [Google Scholar]
- Yang, M.; Li, Y.; Yang, Q.; Lin, Z.; Yue, S.; Wang, H.; Liu, C. Magnetic Properties Measurement and Analysis of High Frequency Core Materials Considering Temperature Effect. IEEE Trans. Appl. Supercond. 2020, 30, 5900905. [Google Scholar] [CrossRef]
- Shilyashki, G.; Pfützner, H.; Giefing, M.; Bengtsson, C. Giant Epstein Tester for Magnetic Energy Loss Measurements of Non-Annealed Domain-Refined Fe–Si. IEEE Trans. Magn. 2022, 58, 6000606. [Google Scholar] [CrossRef]
- Liu, Y.; Gong, X.H.; Chen, X. Measurement and Comparative Analysis of Magnetic Properties of 0.10 mm and 0.23 mm Oriented Silicon Steel under Different Operating Conditions. China Electr. Power 2022, 55, 181–189. [Google Scholar]
- Ling, C.; Guang, M.; Chao, H.Z. Analysis of Performance Simulation of Iron Core and Electromagnetic Characteristics of 0.18 mm Grain-oriented Silicon Steel with Ultra-low Loss. Electr. Steel 2020, 2, 15–21. [Google Scholar]
- Chen, J.; Hu, H.; Jiang, S.; Deng, L.; Peng, T. Calculation of the Core Loss of High-Frequency High-Voltage Transformer Considering the Influence of Temperature. In Proceedings of the 2021 IEEE 4th Student Conference on Electric Machines and Systems (SCEMS), Huzhou, China, 1–3 December 2021. [Google Scholar]
- Liu, X.; Zhao, L.; Ma, C.; Ge, Q.; Li, Y. Optimization Simulation Analysis of Leakage Magnetic Field and Loss Characteristics of High Frequency Nanocrystalline Transformer. In Proceedings of the 2022 25th International Conference on Electrical Machines and Systems (ICEMS), Chiang Mai, Thailand, 2 December 2022. [Google Scholar]
- Giorgio, B. General properties of power losses in soft ferromagnetic materials. IEEE Trans. Magn. 1988, 24, 621–630. [Google Scholar]
- Yang, M.; Yang, Q.; Li, Y.; Lin, Z.; Yue, S.; Wang, H.; Bahman, A.S. Application-oriented characterization and analysis of core materials under medium-frequency condition. IEEE Trans. Power Electron. 2023, 38, 11245–11259. [Google Scholar] [CrossRef]
- Gang, L.; Peng, S.L.; Gang, W.X. Improvement and simulation application of core loss calculation method under sinusoidal and harmonic excitation. Trans. China Electrotech. Soc. 2018, 33, 4909–4918. [Google Scholar]
- Sorokhaibam, N.M.; Abhiiit, S.; Kunal, B.; Saibal, C. Hot Spot Detection in High Voltage Transformer by Thermal Sensor Using COMSOL Multiphysics. In Proceedings of the 2018 2nd International Conference on Power, Energy and Environment: Towards Smart Technology (ICEPE), Shillong, India, 1–2 June 2018. [Google Scholar]
















| Outer Perimeter | Inner Perimeter | Magnetic Circuit | N1 | N2 |
|---|---|---|---|---|
| 280 mm | 220 mm | 940 mm | 100 | 100 |
| FBA Alloy | 0.10 mm UTGO Silicon Steel | |
|---|---|---|
| kh | 0.0016 | 0.00686 |
| α0 | 1.30 | 1.65 |
| α1 | 0.61 | 0 |
| α2 | 0.55 | −1.01 |
| α3 | −0.40 | 0.74 |
Disclaimer/Publisher’s Note: The statements, opinions and data contained in all publications are solely those of the individual author(s) and contributor(s) and not of MDPI and/or the editor(s). MDPI and/or the editor(s) disclaim responsibility for any injury to people or property resulting from any ideas, methods, instructions or products referred to in the content. |
© 2024 by the authors. Licensee MDPI, Basel, Switzerland. This article is an open access article distributed under the terms and conditions of the Creative Commons Attribution (CC BY) license (https://creativecommons.org/licenses/by/4.0/).
Share and Cite
Ma, G.; Cheng, L.; Han, Y.; He, C. Analysis of the Magnetic Properties of Ultra-Thin Grain-Oriented Silicon Steel and Fe-Based Amorphous Alloys from Power Frequency to Intermediate Frequency. Appl. Sci. 2024, 14, 3162. https://doi.org/10.3390/app14083162
Ma G, Cheng L, Han Y, He C. Analysis of the Magnetic Properties of Ultra-Thin Grain-Oriented Silicon Steel and Fe-Based Amorphous Alloys from Power Frequency to Intermediate Frequency. Applied Sciences. 2024; 14(8):3162. https://doi.org/10.3390/app14083162
Chicago/Turabian StyleMa, Guang, Ling Cheng, Yu Han, and Chengxu He. 2024. "Analysis of the Magnetic Properties of Ultra-Thin Grain-Oriented Silicon Steel and Fe-Based Amorphous Alloys from Power Frequency to Intermediate Frequency" Applied Sciences 14, no. 8: 3162. https://doi.org/10.3390/app14083162
APA StyleMa, G., Cheng, L., Han, Y., & He, C. (2024). Analysis of the Magnetic Properties of Ultra-Thin Grain-Oriented Silicon Steel and Fe-Based Amorphous Alloys from Power Frequency to Intermediate Frequency. Applied Sciences, 14(8), 3162. https://doi.org/10.3390/app14083162
