Designing the Quality Characteristics of Berry Processing Byproducts Using Fermentation
Abstract
1. Introduction
2. Materials and Methods
2.1. Materials
2.2. Methods
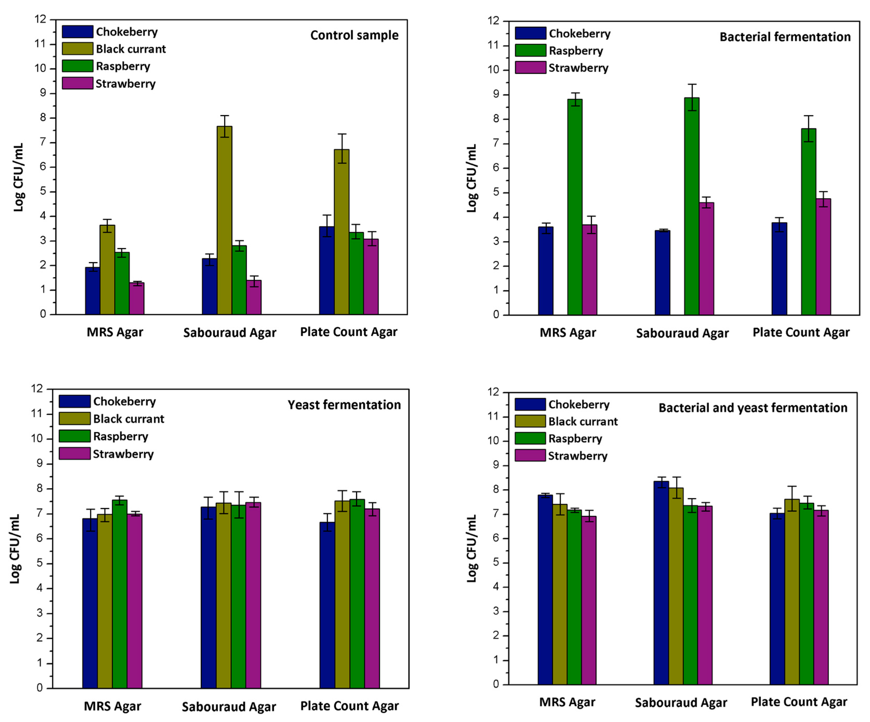
3. Results
3.1. Fermentation of Pomace
3.2. Microbiological Analysis of Fermented Pomace
3.3. Total Polyphenol Content, Antioxidant Activity, and Vitamin C Content of Fermented Pomaces
4. Discussion
5. Conclusions
Author Contributions
Funding
Institutional Review Board Statement
Informed Consent Statement
Data Availability Statement
Conflicts of Interest
References
- Kaim, U. Methods for the Valorisation of Agri-Food Waste According to the Circular Bioeconomy Concept. Eng. Sci. Technol. 2021, 37, 94–112. [Google Scholar] [CrossRef]
- Facchini, F.; Silvestri, B.; Digiesi, S.; Lucchese, A. Agri-Food Loss and Waste Management: Win-Win Strategies for Edible Discarded Fruits and Vegetables Sustainable Reuse. Innov. Food Sci. Emerg. Technol. 2023, 83, 103235. [Google Scholar] [CrossRef]
- Pachołek, B. Development directions for food design research using by-products in the perspective of innovative European economy. In Innovations in Food Quality Development; Dmowski, R., Ed.; Uniwersytet Morski w Gdyni: Gdynia, Poland, 2020; pp. 105–116. [Google Scholar]
- Błaszczyk, A.; Sady, S.; Pachołek, B.; Jakubowska, D.; Grzybowska-Brzezińska, M.; Krzywonos, M.; Popek, S. Sustainable Management Strategies for Fruit Processing Byproducts for Biorefineries: A Review. Sustainability 2024, 16, 1717. [Google Scholar] [CrossRef]
- Aschemann-Witzel, J.; Asioli, D.; Banovic, M.; Perito, M.A.; Peschel, A.O. Communicating upcycled foods: Frugality framing supports acceptance of sustainable product innovations. Food Qual. Prefer. 2022, 100, 104596. [Google Scholar] [CrossRef]
- Milutinović, M.; Branković, S.; Ćujić, N.; Šavikin, K.; Kostić, M.; Kitić, N.; Miladinović, B.; Kitić, D. Antispasmodic effects of black chokeberry (Aronia melanocarpa (Michx.) Elliott) extracts and juice and their potential use in gastrointestinal disorders. J. Berry Res. 2020, 10, 175–192. [Google Scholar] [CrossRef]
- Kaloudi, T.; Tsimogiannis, D.; Oreopoulou, V. Aronia Melanocarpa: Identification and Exploitation of Its Phenolic Components. Molecules 2022, 27, 4375. [Google Scholar] [CrossRef]
- Cortez, R.E.; Gonzalez de Mejia, E. Blackcurrants (Ribes nigrum): A review on chemistry, processing, and health benefits. J. Food Sci. 2019, 84, 2387–2401. [Google Scholar] [CrossRef]
- Raudsepp, P.; Koskar, J.; Anton, D.; Meremäe, K.; Kapp, K.; Laurson, P.; Bleive, U.; Kaldmäe, H.; Roasto, M.; Püssa, T. Antibacterial and antioxidative properties of different parts of garden rhubarb, blackcurrant, chokeberry and blue honeysuckle. J. Sci. Food Agric. 2018, 99, 2311–2320. [Google Scholar] [CrossRef] [PubMed]
- Burton-Freeman, B.M.; Sandhu, A.K.; Edirisinghe, I. Red Raspberries and Their Bioactive Polyphenols: Cardiometabolic and Neuronal Health Links. Adv. Nutr. 2016, 7, 44–65. [Google Scholar] [CrossRef] [PubMed]
- Cosme, F.; Pinto, T.; Aires, A.; Morais, M.C.; Bacelar, E.; Anjos, R.; Ferreira-Cardoso, J.; Oliveira, I.; Vilela, A.; Goncalves, B. Red Fruits Composition and Their Health Benefits—A Review. Foods 2022, 11, 644. [Google Scholar] [CrossRef]
- Newerli-Guz, J.; Śmiechowska, M.; Drzewiecka, A.; Tylingo, R. Bioactive Ingredients with Health-Promoting Properties of Strawberry Fruit (Fragaria X Ananassa Duchesne). Molecules 2023, 28, 2711. [Google Scholar] [CrossRef] [PubMed]
- Ribeiro, M.D.S.; Sebastià, N.; Montoro, A.; García-Martínez, E. Strawberry (Fragaria X Ananassa) and Kiwifruit (Actinidia Deliciosa) Extracts as Potential Radioprotective Agents: Relation to Their Phytochemical Composition and Antioxidant Capacity. Appl. Sci. 2023, 13, 8996. [Google Scholar] [CrossRef]
- Paunovic, M.; Kotur-Stevuljevic, J.; Arsic, A.; Milosevic, M.; Todorovic, V.; Guzonjic, A.; Vucic, V.; Petrovic, S. Antioxidative Effects of Black Currant and Cornelian Cherry Juices in Different Tissues of an Experimental Model of Metabolic Syndrome in Rats. Antioxidants 2023, 12, 1148. [Google Scholar] [CrossRef] [PubMed]
- Yahfoufi, N.; Alsadi, N.; Jambi, M.; Matar, C. The immunomodulatory and anti-inflammatory role of polyphenols. Nutrients 2018, 10, 1618. [Google Scholar] [CrossRef] [PubMed]
- Daglia, M. Polyphenols as antimicrobial agents. Curr. Opin. Biotechnol. 2012, 23, 174–181. [Google Scholar] [CrossRef] [PubMed]
- Zhang, H.; Tsao, R. Dietary polyphenols, oxidative stress and antioxidant and anti-inflammatory effects. Curr. Opin. Food Sci. 2016, 8, 33–42. [Google Scholar] [CrossRef]
- Amaya-Cruz, D.M.; Rodríguez-González, S.; Pérez-Ramírez, I.F.; Loarca-Piña, G.; Amaya-Llano, S.; Gallegos-Corona, M.A. Reynoso-Camacho, R. Juice by-products as a source of dietary fibre and antioxidants and their effect on hepatic steatosis. J. Funct. Foods 2015, 17, 93–102. [Google Scholar] [CrossRef]
- Padayachee, A.; Day, L.; Howella, K.; Gidley, M.J. Complexity and health functionality of plant cell wall fibers from fruits and vegetables. Crit. Rev. Food Sci. Nutr. 2017, 57, 59–81. [Google Scholar] [CrossRef] [PubMed]
- Kasapidou, E.; Sossidou, E.; Mitlianga, P. Fruit and vegetable co-products as functional feed ingredients in farm animal nutrition for improved product quality. Agriculture 2015, 5, 1020–1034. [Google Scholar] [CrossRef]
- Guil-Guerrero, J.L.; Ramos, L.; Moreno, C.; Zúniga-Paredes, J.C.; Carlosama-Yépez, M.; Ruales, P. Plant-food by-products to improve farm-animal health. Anim. Feed Sci. Technol. 2016, 220, 121–135. [Google Scholar] [CrossRef]
- Babaoğlu, A.S.; Unal, K.; Dilek, N.M.; Poçan, H.B.; Karakaya, M. Antioxidant and antimicrobial effects of blackberry, black chokeberry, blueberry, and red currant pomace extracts on beef patties subject to refrigerated storage. Meat Sci. 2022, 187, 108765. [Google Scholar] [CrossRef] [PubMed]
- Jalal, H.; Giammarco, M.; Lanzoni, L.; Akram, M.Z.; Mammi, L.M.E.; Vignola, G.; Chincarini, M.; Formigoni, A.; Fusaro, I. Potential of Fruits and Vegetable By-Products as an Alternative Feed Source for Sustainable Ruminant Nutrition and Production: A Review. Agriculture 2023, 13, 286. [Google Scholar] [CrossRef]
- Wójciak, W.; Żuk, M.; Sowa, I.; Mazurek, B.; Tyśskiewicz, K.; Wójciak, M. Recovery of Bioactive Components from Strawberry Seeds Residues Post Oil Extraction and Their Cosmetic Potential. Appl. Sci. 2024, 14, 783. [Google Scholar] [CrossRef]
- Pukalskienė, M.; Pukalskas, A.; Dienaitė, L.; Revinytė, S.; Pereira, C.V.; Matias, A.A.; Venskutonis, P.R. Recovery of Bioactive Compounds from Strawberry (Fragaria X Ananassa) Pomace by Conventional and Pressurized Liquid Extraction and Assessment Their Bioactivity in Human Cell Cultures. Foods 2021, 10, 1780. [Google Scholar] [CrossRef] [PubMed]
- Spagnuolo, C.; Moccia, F.; Tedesco, I.; Adabbo, E.; Panzella, L.; Russo, G.L.; Napolitano, A. Stillage Waste from Strawberry Spirit Production as a Source of Bioactive Compounds with Antioxidant and Antiproliferative Potential. Antioxidants 2023, 12, 421. [Google Scholar] [CrossRef] [PubMed]
- Pachołek, B. By-Products of Fruit Processing in Food Designing; Poznań University of Economics and Business Press: Poznań, Poland, 2019. [Google Scholar] [CrossRef]
- Sławińska, N.; Prochoń, K.; Olas, B. A Review on Berry Seeds—A Special Emphasis on Their Chemical Content and Health-Promoting Properties. Nutrients 2023, 15, 1422. [Google Scholar] [CrossRef] [PubMed]
- Grzelak-Błaszczyk, K.; Karlińska, E.; Grzęda, K.; Rój, E.; Kołodziejczyk, K. Defatted Strawberry Seeds as a Source of Phenolics, Dietary Fiber and Minerals. LWT– Food Sci. Technol. 2017, 84, 18–22. [Google Scholar] [CrossRef]
- Sady, S.; Matuszak, L.; Błaszczyk, A. Optimisation of ultrasonic-assisted extraction of bioactive compounds from chokeberry pomace using response surface methodology. Acta Sci. Pol. Technol. Aliment. 2019, 18, 249–256. [Google Scholar] [CrossRef] [PubMed]
- Bhatt, S.; Ye, H.; Deutsch, J.; Ayaz, H.; Suri, R. Consumers’ willingness to pay for upcycled foods. Food Qual. Prefer. 2020, 86, 104035. [Google Scholar] [CrossRef]
- Pecyna, A.; Krzywicka, M.; Blicharz-Kania, A.; Buczaj, A.; Kobus, Z.; Zdybel, B.; Domin, M.; Siłuch, D. Impact of Incorporating Two Types of Dried Raspberry Pomace into Gluten-Free Bread on Its Nutritional and Antioxidant Characteristics. Appl. Sci. 2024, 14, 1561. [Google Scholar] [CrossRef]
- Szymanowska, U.; Karas, M.; Bochnak-Niedzwiecka, J. Antioxidant and Anti-Inflammatory Potential and Consumer Acceptance of Wafers Enriched with Freeze-Dried Raspberry Pomace. Appl. Sci. 2021, 11, 6807. [Google Scholar] [CrossRef]
- Górecka, D.; Pachołek, B.; Dziedzic, K.; Górecka, M. Raspberry pomace as potential fiber sources for cookies enrichment. Acta Sci. Pol. Technol. Aliment. 2010, 9, 451–462. [Google Scholar]
- Bobinaite, R.; Viskelis, P.; Bobinas, C.; Mieželiene, A.; Alenčikiene, G.; Venskutonis, P.V. Raspberry marc extracts increase antioxidative potential, ellagic acid, ellagitannin and anthocyanin concentrations in fruit purees. LWT–Food Sci. Technol. 2016, 66, 460–467. [Google Scholar] [CrossRef]
- Korus, J.; Juszczak, L.; Ziobro, R.; Witczak, M.; Grzelak, K.; Sójka MichałKorus, J.; Juszczak, L.; Ziobro, R.; Witczak, M.; Grzelak, K.; et al. Defatted strawberry and blackcurrant seeds as functional ingredients of gluten-free bread. J. Texture Stud. 2011, 43, 29–39. [Google Scholar] [CrossRef]
- Kowalczewski, P.Ł.; Walkowiak, K.; Masewicz, Ł.; Duda, A.; Poliszko, N.; Rózańska, M.B.; Jeżowski, P.; Tomkowiak, A.; Mildner-Szkudlarz, S.; Baranowska, H.M. Wheat Bread Enriched with Raspberry and Strawberry Oilcakes: Effects on Proximate Composition, Texture and Water Properties. Eur. Food Res. Technol. 2019, 245, 2591–2600. [Google Scholar] [CrossRef]
- Tahvonen, R.L.; Schwab, U.S.; Linderborg, K.M.; Mykkänen, H.M.; Kallio, H.P. Black currant seed oil and fish oil supplements differ in their effects on fatty acid of plasma lipids, and concentrations of serum total and lipoprotein lipids, plasma glucose and insulin. J. Nutr. Biochem. 2005, 16, 353–359. [Google Scholar] [CrossRef]
- Białek, M.; Rutkowska, J.; Hallman, E. Black chokeberry (Aronia melanocarpa) as a potential functional food ingredient. Food. Sci. Tech. Quality 2012, 19, 21–30. [Google Scholar] [CrossRef]
- Sady, S.; Błaszczyk, A.; Kozak, W.; Boryło, P.; Szindler, M. Quality assessment of innovative chitosan-based biopolymers for edible food packaging applications. Food Packag. Shelf Life 2021, 30, 100756. [Google Scholar] [CrossRef]
- Petcu, C.D.; Mihai, O.D.; Tăpăloagă, D.; Gheorghe-Irimia, R.A.; Pogurschi, E.N.; Militaru, M.; Borda, C.; Ghimpețeanu, O.M. Effects of Plant-Based Antioxidants in Animal Diets and Meat Products: A Review. Foods 2023, 12, 1334. [Google Scholar] [CrossRef]
- Skwarek, P.; Karwowska, M. Fruit and vegetable processing by-products as functional meat product ingredients -a chance to improve the nutritional value. LWT–Food Sci. Technol. 2023, 189, 115442. [Google Scholar] [CrossRef]
- Goldmeyer, B.; Pena, N.G.; Melo, A.; da Rosa, C.S. Physicochemical characteristics and technological functional properties of fermented blueberry pomace and their flours. Rev. Bras. Frutic. 2014, 36, 980–987. [Google Scholar] [CrossRef]
- Markkinen, N.; Laaksonen, O.; Nahku, R.; Kuldjärv, R.; Yang, B. Impact of lactic acid fermentation on acids, sugars, and phenolic compounds in black chokeberry and sea buckthorn juices. Food Chem. 2019, 286, 204–215. [Google Scholar] [CrossRef]
- Duan, W.; Guan, G.; Zhang, H.-L.; Wang, F.-Z.; Lu, R.; Li, D.-M.; Geng, Y.; Xu, Z.-H. Improving flavor, bioactivity, and changing metabolic profiles of goji juice by selected lactic acid bacteria fermentation. Food Chem. 2023, 408, 135155. [Google Scholar] [CrossRef]
- Žuntar, I.; Petric, Z.; Kovačević, D.B.; Putnik, P. Safety of Probiotics: Functional Fruit Beverages and Nutraceuticals. Foods 2020, 9, 947. [Google Scholar] [CrossRef]
- Zhang, L.; Zhang, M.; Mujumdar, A.S. New technology to overcome defects in production of fermented plant products- a review. Trends Food Sci. Technol. 2021, 116, 829–841. [Google Scholar] [CrossRef]
- Chugh, B.; Kamal-Eldin, A. Bioactive compounds produced by probiotics in food products. Curr. Opin. Food Sci. 2020, 32, 76–82. [Google Scholar] [CrossRef]
- PN-ISO 3103:1996; Tea—Preparation of Liquor for Use in Sensory Tests. Polish Committee for Standardization: Warsaw, Poland, 2013.
- Singleton, V.L.; Rossi, J.A. Colorimetry of total phenolics with phosphomolybdic-phosphotungstic acid reagents. Am. J. Enol. Vitic. 1965, 16, 144–158. [Google Scholar] [CrossRef]
- Ding, L.; Zhang, X.; Zhang, J. Antioxidant Activity In Vitro Guided Screening and Identification of Flavonoids Antioxidants in the Extract from Tetrastigma hemsleyanum Diels et Gilg. Int. J. Anal. Chem. 2021, 2021, 7195125. [Google Scholar] [CrossRef]
- Dzięcioł, M.; Wróblewska, A.; Janda-Milczarek, K. Comparative Studies of DPPH Radical Scavenging Activity and Content of Bioactive Compounds in Maca (Lepidium meyenii) Root Extracts Obtained by Various Techniques. Appl. Sci. 2023, 13, 4827. [Google Scholar] [CrossRef]
- Bratu, M.M.; Birghila, S.; Popescu, A.; Negreanu-Pirjol, B.-S.; Radu, M.; Birghila, C. Influence of Packaging Material on Polyphenol Content and Antioxidant Activity in Some Commercial Beers. Processes 2021, 9, 620. [Google Scholar] [CrossRef]
- PN-A-04019 Fruit and vegetable products. Preparation of samples and test methods. Determination of vitamin C.
- Martí-Quijal, F.J.; Khubber, S.; Remize, F.; Tomasevic, I.; Roselló-Soto, E.; Barba, F.J. Obtaining Antioxidants and Natural Preservatives from Food By-Products through Fermentation: A Review. Fermentation 2021, 7, 106. [Google Scholar] [CrossRef]
- Leyva Salas, M.; Mounier, J.; Valence, F.; Coton, M.; Thierry, A.; Coton, E. Antifungal microbial agents for food biopreservation—A review. Microorganisms 2017, 5, 37. [Google Scholar] [CrossRef]
- Christ-Ribeiro, A.; Graça, C.S.; Kupski, L.; Badiale-Furlong, E.; De Souza-Soares, L.A. Cytotoxicity, antifungal and anti mycotoxins effects of phenolic compounds from fermented rice bran and Spirulina sp. Process Biochem. 2019, 80, 190–196. [Google Scholar] [CrossRef]
- Hara, S.; Iimura, Y.; Otsuka, K. Breeding of Useful Killer Wine Yeasts. Am. J. Enol. Vitic. 1980, 31, 28–33. [Google Scholar] [CrossRef]
- Ruggirello, M.; Nucera, D.; Cannoni, M.; Peraino, A.; Rosso, F.; Fontana, M.; Cocolin, L.; Dolci, P. Antifungal activity of yeasts and lactic acid bac-teria isolated from cocoa bean fermentations. Int. Food Res. J. 2019, 115, 519–525. [Google Scholar] [CrossRef]
- Hathout, A.; Abdel-Nasser, A. The Efficiency of Saccharomyces cerevisiae as an Antifungal and Antimycotoxigenic Agent. Biointerface Res. Appl. Chem. 2023, 13, 354. [Google Scholar] [CrossRef]
- Suntornsuk, L.; Gritsanapun, W.; Nilkamhank, S.; Paochom, A. Quantitation of vitamin C content in herbal juice using direct titration. J. Pharm. Biomed. Anal. 2002, 28, 849–855. [Google Scholar] [CrossRef]
- Multari, S.; Carafa, I.; Barp, L.; Caruso, M.; Licciardello, C.; Larcher, R.; Tuohy, K.; Martens, S. Effects of Lactobacillus spp. on the phytochemical composition of juices from two varieties of Citrus sinensis L. Osbeck: ‘Tarocco’ and ‘Washington navel’. LWT—Food Sci. Technol. 2020, 125, 109205. [Google Scholar] [CrossRef]
- Quan, Q.; Liu, W.; Guo, J.; Ye, M.; Zhang, J. Effect of Six Lactic Acid Bacteria Strains on Physicochemical Characteristics, Antioxidant Activities and Sensory Properties of Fermented Orange Juices. Foods 2022, 11, 1920. [Google Scholar] [CrossRef]
- Kaprasob, R.; Kerdchoechuen, O.; Laohakunjit, N.; Thumthanaruk, B.; Shetty, K. Changes in physico-chemical, astringency, volatile compounds and antioxidant activity of fresh and concentrated cashew apple juice fermented with Lactobacillus plantarum. J. Food Sci. Technol. 2018, 55, 3979–3990. [Google Scholar] [CrossRef]
- Shrestha, A.K.; Dahal, N.R.; Ndungutse, V. Bacillus fermentation of soybean: A review. J. Food Sci. Technol. Nepal. 2013, 6, 1–9. [Google Scholar] [CrossRef]
- Ajila, C.M.; Gassara, F.; Brar, S.K.; Verma, M.; Tyagi, R.D.; Valéro, J.R. Polyphenolic Antioxidant Mobilization in Apple Pomace by Different Methods of Solid-State Fermentation and Evaluation of Its Antioxidant Activity. Food Bioprocess. Technol. 2012, 5, 2697–2707. [Google Scholar] [CrossRef]
- Dulf, F.V.; Vodnar, D.C.; Dulf, E.-H.; Diaconeasa, Z.; Socaciu, C. Liberation and recovery of phenolic antioxidants and lipids in chokeberry (Aronia melanocarpa) pomace by solid-state bioprocessing using Aspergillus niger and Rhizopus oligosporus strains. LWT—Food Sci. Technol. 2018, 87, 241–249. [Google Scholar] [CrossRef]
- Adetuyi, F.O.; Ibrahim, T.A. Effect of fermentation time on the phenolic, flavonoid and vitamin C contents and antioxidant activities of okra (Abelmoschus esculentus) seeds. Niger. Food J. 2014, 32, 128–137. [Google Scholar] [CrossRef]
- Ankolekar, C.; Johnson, K.; Pinto, M.; Johnson, D.; Labbe, R.G.; Greene, D.; Shetty, K. Fermentation of whole apple juice using Lactobacillus acidophilus for potential dietary management of hyperglycemia, hypertension, and modulation of beneficial bacterial responses. J. Food Biochem. 2012, 36, 718–738. [Google Scholar] [CrossRef]
- Badarinath, A.; Rao, K.M.; Chetty, C.M.S.; Ramkanth, S.; Rajan, T.; Gnanaprakash, K. A review on in vitro antioxidant methods: Comparisions, correlations and considerations. Int. J. Pharm. Tech. Res. 2010, 2, 1276–1285. [Google Scholar]

| Sample | Fermentation Time (day) | TPC (mg GA/L) | ABTS (mmol Trolox/L) | DPPH (mmol Trolox/L) | FRAP (mmol FeSO4/L) | Vitamin C (mg/100 g) | |
|---|---|---|---|---|---|---|---|
| Chokeberry pomace | Control sample | 0 | 122.51 ± 0.84 b | 1.30 ± 0.09 b | 0.44 ± 0.02 b | 0.68 ± 0.09 b | 0.62 ± 0.08 a |
| B | 2 | 90.43 ± 1.28 a | 1.08 ± 0.19 a | 0.35 ± 0.04 a | 0.50 ± 0.03 a | 1.19 ± 0.04 c | |
| D | 2 | 158.21 ± 3.17 d | 1.67 ± 0.07 c | 0.67 ± 0.04 d | 0.77 ± 0.05 d | 0.75 ± 0.04 a,b | |
| BD | 2 | 140.36 ± 2.69 c | 1.29 ± 0.03 b | 0.59 ± 0.05 c | 0.75 ± 0.04 c | 0.77 ± 0.02 a,b | |
| Blackcurrant pomace | Control sample | 0 | 56.96 ± 2.11 a | 0.57 ± 0.09 b | 0.14 ± 0.04 a | 0.39 ± 0.05 b | 0.42 ± 0.02 a |
| B | 2 | 78.72 ± 1.28 c | 0.63 ± 0.10 c | 0.36 ± 0.03 d | 0.43 ± 0.06 c | 0.73 ± 0.04 b | |
| D | 2 | 72.58 ± 1.28 b | 0.58 ± 0.08 b | 0.25 ± 0.05 c | 0.40 ± 0.04 b | 0.66 ± 0.07 b | |
| BD | 2 | 70.91 ± 1.93 b | 0.55 ± 0.04 a | 0.21 ± 0.04 b | 0.35 ± 0.03 a | 0.42 ± 0.04 a | |
| Raspberry pomace | Control sample | 0 | 80.39 ± 1.74 b | 0.42 ± 0.05 b | 0.20 ± 0.05 b | 0.27 ± 0.05 b | 0.77 ± 0.05 a |
| B | 2 | 69.79 ± 3.02 a | 0.33 ± 0.06 a | 0.21 ± 0.04 b | 0.29 ± 0.07 c | 1.14 ± 0.04 b | |
| D | 2 | 82.06 ± 2.94 b | 0.70 ± 0.16 c | 0.36 ± 0.13 c | 0.47 ± 0.02 d | 0.81 ± 0.04 a | |
| BD | 2 | 77.32 ± 1.67 b | 0.41 ± 0.17 b | 0.17 ± 0.02 a | 0.25 ± 0.03 a | 0.83 ± 0.04 a | |
| Strawberry pomace | Control sample | 0 | 67.56 ± 1.28 a | 0.59 ± 0.09 a | 0.14 ± 0.09 a | 0.38 ± 0.04 b | 0.49 ± 0.05 a |
| B | 2 | 71.46 ± 1.67 a,b | 0.71 ± 0.07 b | 0.15 ± 0.07 b | 0.35 ± 0.04 a | 0.81 ± 0.04 b | |
| D | 2 | 78.72 ± 2.94 c | 0.80 ± 0.03 d | 0.21 ± 0.04 d | 0.49 ± 0.07 c | 0.53 ± 0.04 a | |
| BD | 2 | 77.04 ± 3.77 b,c | 0.76 ± 0.06 c | 0.20 ± 0.02 c | 0.38 ± 0.02 b | 0.58 ± 0.01 a | |
Disclaimer/Publisher’s Note: The statements, opinions and data contained in all publications are solely those of the individual author(s) and contributor(s) and not of MDPI and/or the editor(s). MDPI and/or the editor(s) disclaim responsibility for any injury to people or property resulting from any ideas, methods, instructions or products referred to in the content. |
© 2024 by the authors. Licensee MDPI, Basel, Switzerland. This article is an open access article distributed under the terms and conditions of the Creative Commons Attribution (CC BY) license (https://creativecommons.org/licenses/by/4.0/).
Share and Cite
Sady, S.; Ligaj, M.; Pachołek, B.; Błaszczyk, A.; Płaczek, Z.; Dłużniewska, N.; Kawałek, P.; Pakuła, K.; Konopelski, A.; Gołaszewski, E. Designing the Quality Characteristics of Berry Processing Byproducts Using Fermentation. Appl. Sci. 2024, 14, 3110. https://doi.org/10.3390/app14073110
Sady S, Ligaj M, Pachołek B, Błaszczyk A, Płaczek Z, Dłużniewska N, Kawałek P, Pakuła K, Konopelski A, Gołaszewski E. Designing the Quality Characteristics of Berry Processing Byproducts Using Fermentation. Applied Sciences. 2024; 14(7):3110. https://doi.org/10.3390/app14073110
Chicago/Turabian StyleSady, Sylwia, Marta Ligaj, Bogdan Pachołek, Alfred Błaszczyk, Zuzanna Płaczek, Nikola Dłużniewska, Patrycja Kawałek, Karolina Pakuła, Adam Konopelski, and Eryk Gołaszewski. 2024. "Designing the Quality Characteristics of Berry Processing Byproducts Using Fermentation" Applied Sciences 14, no. 7: 3110. https://doi.org/10.3390/app14073110
APA StyleSady, S., Ligaj, M., Pachołek, B., Błaszczyk, A., Płaczek, Z., Dłużniewska, N., Kawałek, P., Pakuła, K., Konopelski, A., & Gołaszewski, E. (2024). Designing the Quality Characteristics of Berry Processing Byproducts Using Fermentation. Applied Sciences, 14(7), 3110. https://doi.org/10.3390/app14073110

