Abstract
Due to their contribution to human health, healthy snacks have garnered the attention of the scientific community and the food industry. This study was conducted to determine the suitability of frying and baking processing methods for producing green banana chips using two varieties: Barraganete and Dominico. The aim was to identify a treatment geared toward producing healthy snacks. Initially, the physicochemical properties of the raw materials were analyzed, revealing significant differences in starch, fat, fiber, and protein content. Subsequently, the bananas were processed into baked and fried chips. Multivariate statistical techniques such as ANCOVA, MANOVA, and post-hoc tests were applied to examine the influence of initial characteristics and detect variations attributable to the cooking method. The main findings show that the initial protein level had a significant covariate effect on the final content in the chips. The Dominico variety generally proved more suitable for making baked chips, retaining higher percentages of protein, starch, and fiber and lower fat content than Barraganete. Baked chips showed significantly lower sodium and fat values than fried ones when differentiated by processing method. The “Dominico + Baked” treatment emerged as the superior alternative, with favorable levels of protein and starch and low levels of sodium and fat, positioning it as the most suitable for producing a healthy snack.
1. Introduction
Recent studies have observed an increase in awareness of the importance of healthy foods in maintaining optimal health [1]. Following the COVID-19 pandemic, there was a noticeable rise in public concern about strengthening the immune system [2]. This concern was linked to the consumption of healthy foods, defined as those rich in essential nutrients for the human body and generally low in saturated fats, sodium, and added sugars. A positive correlation with overall individual well-being was noted [3]. However, it was observed that recent generations categorized healthy foods as those processed without additives and of plant origin [4,5].
Previous research has demonstrated that consumers would pay more for healthy foods [6]. Furthermore, snacks were identified as an essential dietary component for a broad population segment. Fried chips emerged as one of the most popular snacks among children, adolescents, and adults. This preference was attributed to their notable sensory properties, ease of consumption, affordability, and long shelf life [7,8,9]. However, these products were also found to be high in saturated fats and calories, potentially contributing to health issues such as obesity, type 2 diabetes, and cardiovascular diseases [10]. The development of healthy and innovative snacks poses a challenge to the agri-food industry, leading to increased scientific interest in developing new processes and technologies aimed at producing low-fat foods [11,12,13,14].
The plantain, scientifically known as Musa paradisiaca and belonging to the Musaceae family, is predominantly cultivated in tropical and subtropical regions. It is recognized as a significant source of nutrients, including potassium, vitamin C, vitamin B6, and fiber. Additionally, it is ranked as the fourth most important crop globally, following rice, wheat, and maize [15,16]. Previous research identified Ecuador as one of the leading countries in export crops, ranking as the eighth largest producer worldwide [17].
The Ecuadorian Amazon boasts considerable potential for producing certain products thanks to its favorable climatic and geographical conditions. This region yields various varieties of plantains, each exhibiting distinctive characteristics in terms of flavor, texture, color, and culinary applications [18]. For instance, the Barraganete variety is known for its firm pulp and is primarily used in making fried chips. Conversely, the Dominico variety, with its soft and creamy pulp, is used in producing both sweet and savory fried chips depending on its ripeness [18].
Previous research has found that frying and baking are thermal cooking techniques used in agri-food industries [19]. Baking involves the preparation of dough-based products and cooking food in an oven, which may or may not involve adding steam [12]. Frying is a unit operation that involves dehydrating food submerged in hot oil as a heat transfer medium. Fried foods are known for their appealing sensory characteristics but are high in fat, posing significant nutritional concerns [20,21]. The academic community has made significant efforts to find an alternative to the conventional method of deep-frying in oil. Baking has emerged as a viable technique, offering a food processing option that potentially reduces the fat content in the final product.
The conventional oven, a culinary device that uses heat conduits for food preparation, operates without a fan or other mechanism that generates a forced airflow. Although this cooking technique is widely adopted, the scientific literature lacks studies that appropriately compare frying and oven cooking. Additionally, [19] suggests that oven cooking might represent a healthier method of food preparation given the absence of the need to add exogenous fats, such as oils. Furthermore, it has been documented that this method can enhance foods’ texture, flavor, and visual presentation. These findings highlight the importance of further research into the impact of conventional oven cooking on the nutritional quality of foods.
For these reasons, based on statistical analysis, this study was conducted to determine whether the raw material’s initial characteristics affect the chemical properties of the final products derived from plantains. This study focused on green plantain chips, both fried and baked, from the white and yellow varieties originating from the Arajuno canton in the Pastaza province. This study was developed under the premise that the main ingredient’s initial properties could significantly influence the chemical quality of processed foods.
Related Works
In green plantain processing, significant strides have been made in understanding the effects of various cooking methods on plantain chips’ physicochemical and sensory properties [22]. This section reviews essential studies that have shaped our current knowledge in this field, emphasizing their principal findings.
A cornerstone study by Ammawath et al. [22] set a precedent for comparing the effects of frying versus baking on plantain chips. They meticulously examined the physicochemical and sensory properties of white and yellow-green plantain chips processed through frying and baking at 170 °C for intervals ranging from 2 to 8 min. Key variables such as moisture content, bulk density, porosity, oil absorption, instrumental texture, and sensory qualities were measured. Their findings, indicating significant differences in these characteristics between the two processing methods, underscored the need for a detailed comparative analysis. However, the study’s focus was narrowed to specific physicochemical parameters, limiting its scope.
Building on this, Dueik and Bouchon [23] explored the sensory implications of oil composition for fried plantain chips. They innovatively fried slices of the Saddiq variety of green plantain in mixtures containing 10 to 60% olive oil, conducting three frying cycles. Sensory aspects such as appearance, texture, color, and overall acceptability were evaluated, offering insights into optimal oil combinations for enhancing sensory characteristics. However, this study did not delve into the final chemical composition of the chips, leaving a gap in our understanding of the full impact of oil type.
Valdiviezo’s research [24] introduced a factorial experimental design to analyze the influence of oil type and frying duration on the sensory properties of malanga snacks. By varying between corn, sunflower, and vegetable oils and frying times of 5, 10, and 15 min, the study employed ANOVA to identify significant differences between treatments. This approach enabled the simultaneous examination of multiple variables, though it did not quantify the chemical composition of the snacks.
Teruel et al. and Restrepo et al. [25,26] compared the traditional oil frying method with air fryers for plantain chips. Their experimental method included cooking at 180 °C, monitoring variables like temperature, moisture, oil absorption, and microstructure, and conducting sensory evaluations. This detailed comparison highlighted the differences in processing techniques, yet it did not quantify the final chemical composition of the chips.
García et al. [27] contributed a theoretical perspective by calculating tuber cooking times, including plantain cooking times, using mathematical heat transfer models and Heissler charts. This approach provided precise theoretical estimates of processing times, enhancing our understanding of cooking dynamics. However, it lacked experimental validation regarding the effect on the final chemical composition of the foods.
Martinez et al. [28] delved into the impact of vacuum frying on plantain chips from white (Dominico Hartón) and yellow (Cavendish) varieties. In particular, they observed that chips from the white variety retained more moisture and exhibited significantly reduced oil absorption compared with the yellow variety, which was attributed to starch composition differences. This study shed light on the benefits of vacuum frying, such as reduced oil temperatures and shorter processing times, as outlined by Hu et al. [18].
Torres et al. [29] further examined vacuum frying, contrasting it with conventional deep-frying for Dominico Hartón-variety chips. Their findings revealed that vacuum-fried chips had lower residual moisture content, while oil absorption was considerably higher in traditionally fried chips. Additional parameters like water activity, browning, and pH were lower in vacuum-processed chips, indicating nutritional quality differences.
In baking, García and Ramírez [30] investigated the production of extruded snacks from a mix of green plantain and corn flour, focusing on pre-baking treatments. They reported significant variations in flour color and the luminosity of the snacks depending on the treatment and the proportion of plantain and corn flour used. An increase in the plantain flour proportion decreased the luminosity of the baked products.
Velázquez and Montes et al. [27,31] explored baked snacks from a mix of green plantain and cassava flour, concentrating on the effect of temperature and baking time on their physicochemical and sensory properties. They observed that the moisture content decreased and the hardness increased with higher temperatures and longer baking durations. Baking time emerged as a critical factor in oil absorption and sensory characteristics, with optimal results at 140 °C for 10 min.
Montes et al. [32] designed an experiment that evaluated chips from the white-green plantain variety subjected to frying, reporting high oil absorption rates of up to 40%. In another study, chips from the yellow-green variety were baked after being impregnated with antioxidant solutions, effectively inhibiting enzymatic browning.
These studies have contributed to our understanding of the physicochemical changes experienced by green plantain chips when subjected to frying and baking processes. This sequential analysis of research reveals a clear progression in experimental approaches and statistical techniques, reflecting the growing societal interest in healthier snack options and the adoption of innovative processing methods.
2. Materials and Methods
2.1. Sample
In April 2022, 30 kg of green plantains, specifically of the Domínico and Barraganete varieties, was transferred from the Arajuno canton in the Pastaza province to the city of Tulcán in the Carchi province, Ecuador. This transportation was carried out by land and followed the formalization of an agreement between the PACHAMAMA Foundation and the State Polytechnic University of Carchi (UPEC). The plantains were immediately taken to the UPEC Food Analysis Laboratory upon arrival.
The initial analytical procedures were applied to the unprocessed plantains, henceforth referred to as the raw material (RM). These preliminary analyses included determining the protein, starch, moisture, fiber, ash, and fat content. Concurrently, fried and baked plantain chips were prepared in order to evaluate their chemical and nutritional properties.
2.2. Determination of Starch, Moisture, Fat, Fiber, Ash, Protein, and Sodium
The first analytical procedures were applied to peeled bananas in their unprocessed state. This matrix was crushed in a coffee grinder in order to obtain an ideal particle size for the respective analyses, which included determining the protein, starch, moisture, fiber, ash, and fat content. Likewise, the finished product was also analyzed, for which it was necessary to reduce the particle size, for which a mortar was used. In addition, the chip preparation process was structured into eight stages, including selecting the raw materials, cleaning and removing the crust, weighing, slicing, frying or baking, cooling, and packaging. Figure 1 schematizes the chip manufacturing process.
Figure 1.
Diagram of the banana chip manufacturing process.
For the chemical and nutritional characterization of green plantains and their processed chip products, standardized methodologies were applied following the specifications of the Ecuadorian Technical Standard (NTE) and the Association of Official Analytical Chemists (AOAC), executing each procedure in triplicate. Starch content was evaluated using the procedure established in NTE INEN 524 [26]. Moisture measurements were conducted by applying the AOAC 925.10 [27] method to 2 g of pulverized sample subjected to drying in a Binder brand oven (model FD 260 L) calibrated to a temperature of 105 ± 2 °C.
Lipid quantification was performed using the NTE INEN 523 [28] method utilizing a Soxhlet extractor (model SH-6, RAYPA). Fiber determination was carried out following the NTE INEN 522 [29] method using a RAYPA Fibertest analyzer and an EDG Equipment-brand muffle furnace (model BERM Rex-C100) adjusted to 550 °C. The NTE INEN 520 [30] method was applied to the ash fraction using an OMRON-brand muffle furnace (model ESCC de SONL) also at 550 °C.
Protein content estimation was conducted following NTE INEN 519: 1980 [31]. This analysis included a digestion phase using a Velp Scientifica digester (model DK 6) with Fisher Kjeldahl tablets (reference Tab TT-35), followed by distillation in a Velp Scientifica instrument (model UDK 129). These procedures allowed for a rigorous evaluation of the essential nutritional components of the studied samples.
Peroxide index analysis was conducted exclusively on fried chips, as these are products subjected to oil cooking and, therefore, fall under the specific regulation NTE INEN 2 561: 2010 [32], which is applicable to vegetable snacks. The iodometric method determined the peroxide index according to the methodology stipulated by AOAC 965.33 standard 1995 [33]. The quantification of the peroxide index is expressed in terms of milliequivalents of oxygen per kilogram of fat (mEqO/kg of fat).
2.3. Statistical Analysis
Mahalanobis Distances: The database compiled for research often contains missing data and outliers, suggesting the need to begin any statistical analysis by implementing a comprehensive data analysis protocol. Among the analytical tools for data processing in multivariate samples, the use of Mahalanobis distances stands out. This technique quantifies the number of standard deviations that a specific observation is from the mean of a distribution. Since outliers do not follow a behavior pattern analogous to regular observations, applying this measure allows for identifying such anomalies. In contrast, from a geometric perspective, the Euclidean distance represents the shortest length between two points; however, it does not consider the correlation between highly inter-related variables. The Mahalanobis distance differs from the Euclidean distance in its ability to incorporate the correlation between variables in its calculation.
In this study, the Mahalanobis distance was employed as a scale-invariant metric that allows for calculating the distance between a point from a p-variate probability distribution , a p-value, and the mean of that distribution. It was assumed that the distribution has a finite number of second-order moments, facilitating the definition of the covariance matrix . Under these conditions, Mahalanobis distances are established through the following mathematical relationship:
ANOVA Test. The ANOVA test is a powerful statistical tool for testing the equality of means across groups. Using Fisher’s notation, a one-way ANOVA model can be mathematically represented as follows:
where , denotes the outcome of the -th observation in the -th treatment, is the overall mean effect expressed by the formula
and represents the fixed or random effect attributable to the -th treatment. This implies that, in the absence of differences between treatments and random causes, the performance of each observation would be . The effect , corresponding to the -th treatment, is defined as
Therefore, the i-th treatment increases or decreases the performance by . The two fundamental assumptions of this model are (i) that the dataset follows a normal distribution, and , and (ii) that the variances in the groups are equal. The test hypothesis is then formulated as
for the test statistic , which is defined by the relationship
where is the test statistic and and are the mean squares of the treatment and error, respectively. Based on this equation p is rejected for a given significance level if is greater than the critical value .
Tukey Test. The Tukey test can be generalized to the complete family of all contrasts of k means. In the case of the Tukey test, the confidence interval for the contrast, defined in the equation, is calculated using the formula:
In this formula, and . The quantile comes from the distribution of the studentized range with parameters and . For both intervals, the margin of error is not influenced by the number of contrasts. The resulting confidence intervals were observed to be shorter than the Scheffé intervals for contrasts involving two means and could be shorter for contrasts involving three means.
ANCOVA. The analysis of covariance (ANCOVA) was conceptualized as a hybrid methodology integrating elements from regression analysis and variance analysis. In the context of variance analysis, it was identified that the managed independent variables were qualitative, either nominally or categorically. The various categories associated with the groups within the experimental design are known as levels, effects, or treatments. The independent variables incorporated into the variance analysis schemes are termed ‘factors’.
In this study, meticulous attention was paid to one of the fundamental assumptions of covariance analysis, which postulates the need for independence between the quantitative variable and the applied treatment. This study focused exclusively on this condition. The term ‘covariate’ was adopted to describe any quantitative variable integrated into a covariance analysis design, recognizing that its function is distinct from that assigned to a factor in a variance analysis design.
The linear statistical model representing this integration, applicable to designs contemplating a single independent variable and one covariate at a time, is articulated as follows:
The experimental design incorporated covariates in order to control their influence on the dependent variable. This methodological strategy facilitated a more detailed and precise analysis of the impact that the selected independent variables could have on the variable of interest, both in experimental and quasi-experimental contexts [33].
3. Results
3.1. Raw Material Analysis
Table 1 presents a descriptive analysis in order to compare the plantain varieties (Barraganete and Domínico) used as raw material with each variable considered for the experiment. All the evaluations of the raw material and final products were performed with seven repetitions (measurements) for each treatment or group comprising the sample, which was determined using the G*Power sampling software V3.1 [34] for an f effect size of 0.9, yielding an estimated test power of 0.9694. For each variable, the coefficient of variation (CV) was less than 30%, which is considered acceptable for this type of contrast. The T-test was used to verify the existence of significant differences between the two varieties considered for the experiment, the results of which are presented in Table 1 and Figure 2.
Table 1.
Difference tests for the varieties of bananas used as raw material.

Figure 2.
Contrasts for the analysis of the two varieties of raw material used for each variable under consideration: (a) starch average, (b) moisture average, (c) fat average, (d) fiber average, (e) ash average, and (f) protein average.
As can be seen in Table 1 and Figure 2, most of the variables considered for this experiment showed significant differences. It was observed that starch, fat, fiber, and protein presented significant contrasts, while moisture and ash did not reach the level of significance.
A t-test was applied regarding the starch content, resulting in statistically significant differences between the two studied varieties of green plantain (p-value < 0.05). It was noted that the Domínico variety had a higher average starch content value compared with the Barraganete variety. Notably, green plantains have a high starch content value, which decreases as the fruit ripens.
As for moisture, the average values obtained for both plantain varieties showed no significant statistical differences. In the context of foods intended for frying, it has been determined that the moisture content influences the oil absorption, which is directly proportional to the percentage of oil used during frying. From a statistical standpoint, a significant difference was found between the two plantain varieties regarding the percentage of unprocessed fat. The Barraganete variety had an average fat percentage of 0.408%, higher than that of the Domínico variety, which was 0.364%. It is worth mentioning that the fat percentage in foods is inversely proportional to the moisture percentage. On the other hand, the fiber percentage in the Barraganete variety significantly differed from that in the Domínico variety, with the latter exhibiting a higher value (0.839%) than the Barraganete variety (0.783%). The ash percentage obtained from the two plantain varieties showed significant statistical differences. The Domínico variety had an average ash percentage of 0.769, lower than that of the Barraganete variety, whose average ash percentage was 0.806, indicating that the Barraganete plantain has higher mineral contents than the Domínico plantain. In addition, we measured the sodium content in the raw material of each variety; however, the differences were not significant, reaching average percentages of 0.401% and 0.385% for the Barraganete and Dominico varieties, respectively.
Consequently, through the comparison of means, the initial physicochemical properties of the raw materials were determined. These results established a basis for a comparison on how these properties influence the response variables and, in turn, helped to determine the most suitable cooking method for obtaining a healthy final product.
3.2. Analysis of Covariance
Subsequently, an analysis of covariance (ANCOVA) was conducted to determine whether there were statistically significant differences between the sample groups, considering the covariate’s effect corresponding to the raw material’s initial parameters. Thus, the analysis was configured to ascertain whether the covariate considerably affected the outcome of the processed final product for each considered variable. This process began by verifying several assumptions (the existence of a dependent linear relationship, the homogeneity of regression slopes, and that the covariate (in this context, the initial value for each initial parameter) was not correlated with the effects of the administered treatments). Accordingly, all these assumptions were verified and accepted, which aligned with expectations as the raw material comes from different sources, constituting entirely independent samples, and the treatments are distinct. The results of the ANCOVA tests applied to each variable comprising the database are presented in Table 2 and Figure 3.
Table 2.
ANCOVA tests for each variable using each parameter of the raw material as a covariate.
Figure 3.
Regression graphs obtained for the ANCOVA tests for the final product parameters based on the raw material parameters. The variables used were (a) moisture, (b) protein, (c) starch, (d) fiber, (e) ash, and (f) fat.
As can be seen in Table 2, the effect of the covariate related to the initial value of each parameter on the final value obtained in the chips was analyzed using the ANCOVA test. This allowed for the verification of the fact that the initial effect of each covariate was not significant for the variables moisture, starch, fiber, ash, and fat. Therefore, it cannot be asserted that the initial values of each of these parameters had an impact on the final result. Additionally, in Figure 3, it can be observed that there are significant differences between the various treatments for each evaluated variable. However, as the significance level was not reached, these effects are analyzed in Section 3.3.
On the other hand, the only variable that showed a significant effect from its covariate was the percentage of protein. Therefore, the post-hoc test known as the Least-Square means test, also known as the Estimated Marginal Means test, was conducted using the package in R. The results of this test for the protein percentage variable are presented in Table 3 and Figure 4.
Table 3.
Estimated Marginal Means test for the percentage of protein in the chips.
Figure 4.
Estimated Marginal Means test used to compare the final protein content for each treatment employed. * Significant contrasts.
As can be seen in Table 3, the protein content of the chips showed significant differences. When comparing the four designed treatments, it was identified that treatments T2 (Dominico + Baked) and T4 (Dominico + Fried) were significantly higher compared with treatment T1 (Barraganete + Baked), with p-values of 0.0364 and 0.0334, respectively. Additionally, it is noted that, although descriptive differences were observed concerning the other treatments, these were not significant. Therefore, it cannot be asserted whether treatment T1 or treatment T2 is superior in terms of the protein percentage of the chips.
3.3. Analysis of Variance
Furthermore, as can be seen in Table 2, only the covariate corresponding to the initial protein percentage showed a significant effect. Therefore, contrasts for this variable were conducted using the Estimated Marginal Means test. Additionally, as the other variables did not show significant effects from the raw material, analysis of variance (ANOVA) was selected as the contrast technique. It is worth mentioning that the transformation was applied to each data set p to make the percentage data compatible with the ANOVA test. Thus, the MANOVA test was applied to observe the differences between treatments in general, followed by the ANOVA test as a contrast of differences for each specific variable, and, finally, the Tukey test as a paired contrast for each treatment. The results of these contrasts are presented in Table 4, Table 5, and Figure 5.
Table 4.
Estimated Marginal Means test for the protein percentage variable in the chips.
Table 5.
ANOVA test and Tukey test for each variable considered in this study.
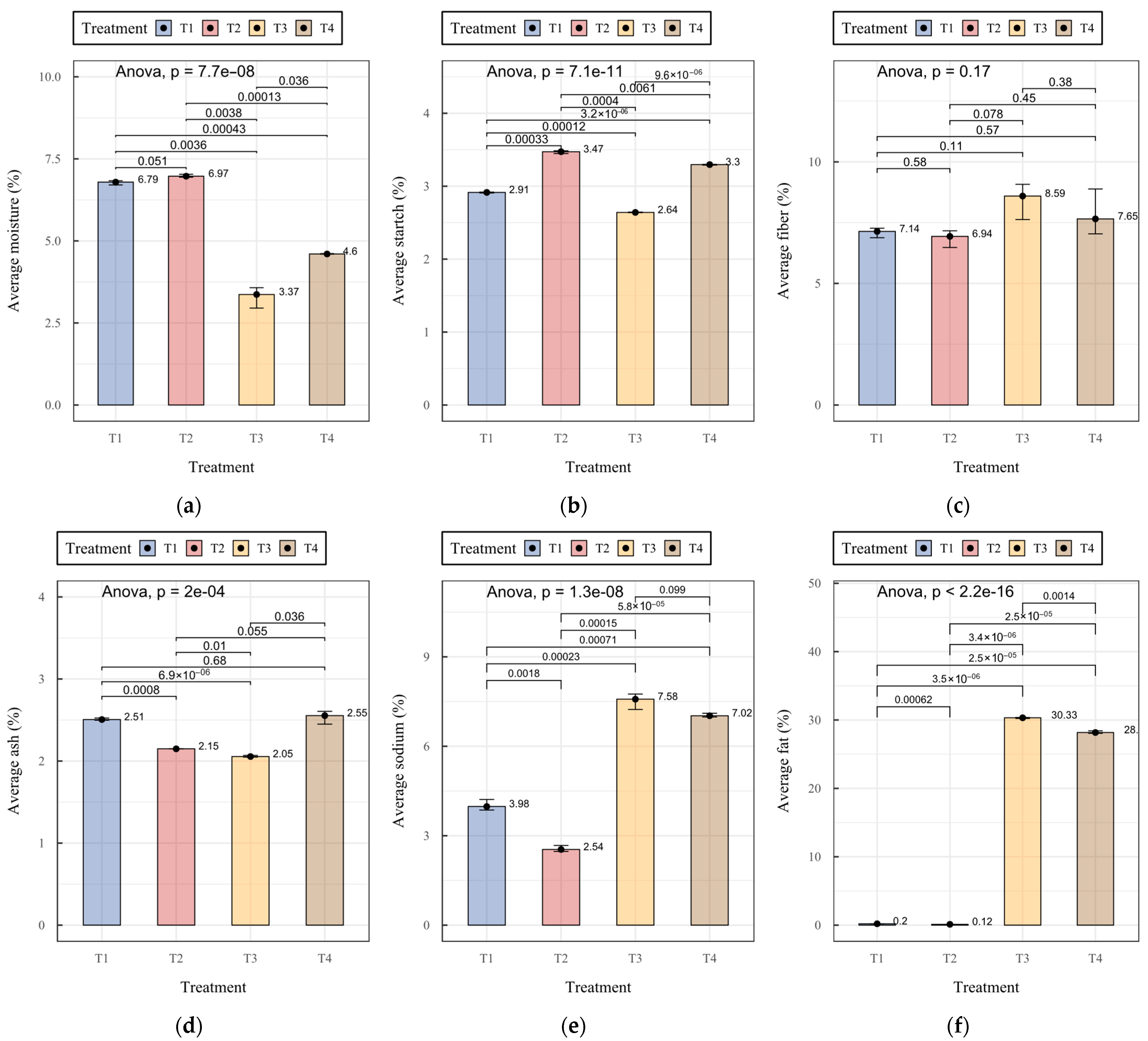
Figure 5.
Results of the ANOVA tests and paired contrasts using the Tukey test for each evaluated variable: (a) starch average, (b) moisture average, (c) fat average, (d) fiber average, (e) ash average, and (f) protein average.
As can be seen in Table 4, when conducting the MANOVA test, it was observed that the set of variables moisture, protein, fiber, ash, sodium, and fat contrasted based on the treatment used for chip production and showed significant differences. This was evidenced in the statistics achieved in each of the Pillai, Wilks, Hotelling–Lawley, and Roy multivariate criteria, where p-values of 3.6651 × 10−11, 1.6592 × 10−10, 2.9876 × 10−5, and 7.1093 × 10−12 were recorded, respectively. This indicates that significance thresholds were reached, suggesting significant differences in some of the sample’s variables. For this reason, the ANOVA test was conducted for each of the considered variables as a post-hoc test for the general analysis. In Table 5, it can be seen that the variables moisture, starch, fiber, ash, sodium, and fat reached the significance level with p-values of 7.6905 × 10−8, 7.1234 × 10−11, 0.0002, 1.3121 × 10−8, and 2.0409 × 10−17, respectively, suggesting the existence of significant differences in the contrast of the groups within each of these variables. It should be noted that the fiber variable did not reach the significance level in the ANOVA test, so a post-hoc test on it was not conducted.
Finally, all paired contrasts within each variable that reached the significance level in the ANOVA test were verified. Thus, when contrasting the treatments for moisture values achieved in the chips, it was identified that treatments T1 and T2 reached significantly higher moisture percentages than treatments T3 and T4 with p-values of 0.0038 and 0.00013, respectively, suggesting that chips from the baking method have higher moisture values than those from the fried method. Additionally, treatment T4 showed a significantly higher moisture level than T3, suggesting that fried chips from the Dominico variety have a higher moisture level than those from the Barraganete plantain. When contrasting treatments T1 and T2, the significance level was not reached, leading to the conclusion that insufficient evidence exists to assert which treatment is superior in terms of moisture.
When comparing the starch percentage in the chips, it was evident that all treatments showed significant differences. Thus, treatment T2 achieved a higher starch percentage, followed by treatments T4, T1, and T3 with p-values of 0.00033, 0.0004, and 0.0061, respectively. This indicates a higher starch percentage in chips from the Dominico variety. Moreover, a significant difference was observed between treatments T1 and T3, favoring the baking method, which recorded higher starch levels.
Regarding the fiber percentage, the ANOVA test did not reach the significance level, so there was insufficient evidence to determine which treatment had higher fiber levels. Descriptively, it was observed that treatment T3 achieved a higher fiber percentage, but this difference was not significant.
Regarding the ash level, the ANOVA test reached the level of significance. It was observed that treatments T1 and T4 had significantly higher ash levels compared with treatments T2 and T3, with p-values of 0.0008 and 6.9 × 10−6, respectively. This suggests that ash percentages increase when using the “Barraganete + Baked” and “Dominico + Fried” combinations. Additionally, when comparing treatment T1 with T4 or treatment T2 with T3, the significance level was not reached, so it was impossible to determine which method achieved a significantly higher percentage.
Regarding the sodium level, upon conducting the difference test, the significance level was reached in the ANOVA test. It was evident that the sodium levels in treatments T3 and T4 were significantly higher than those in treatments T1 and T2, with p-values of 0.0018 and 0.00023, respectively. This suggests that the frying method yields a higher percentage of sodium in the final product. Additionally, treatment T1 recorded a higher sodium percentage than treatment T2, implying that the baked chips from the Barraganete variety have a higher sodium percentage than those from the Dominico variety.
When analyzing the fat level, it was evident that treatments T3 and T4 had significantly higher percentages than treatments T1 and T2, with p-values of 3.5 × 10−6 and 3.4 × 10−6, respectively. This indicates that chips from the frying method have significantly higher fat percentages than those from the baking method. Furthermore, a significant difference was identified between treatment T3 and treatment T4 with a p-value of 0.0014, suggesting that the “Barraganete + Fried” treatment has the highest fat percentage. Similarly, when contrasting treatments T1 and T2, a p-value of 0.00062 was recorded, indicating that the “Dominico + Baked” treatment had the lowest fat percentage in this experiment.
As the last experimental stage, a sensory analysis was carried out for the final products obtained, which was applied by collecting a sample of 320 observations collected by 80 panelists who evaluated each of the products, generating 80 observations for each treatment used. The sensory analysis instrument comprised four ordinal variables on a five-level Likert scale. Each individual rated the chips’ color, smell, flavor, and texture without knowing which treatment they corresponded to, where a score of 1 corresponded to the lowest level and a score of 5 corresponded to the highest level following each participant’s perception. The data collected for sensory analysis were treated using Mahalanobis distances to detect atypical data, and no atypical observations were identified. Subsequently, given the ordinal nature of the data, the one-way Kruskal–Wallis test was applied as a general test, and the pairwise Wilcoxon signed rank test was applied as a paired test for identifying significant differences in the sensory analysis. The results of this analysis are presented in Table 6 and Figure 6. Additionally, Figure 7 presents demonstrative images of the final products obtained through each treatment.
Table 6.
Medians and Kruskal–Wallis comparisons for each variable of the sensory analysis.
Figure 6.
Bar-plot results for each variable of the sensory analysis.
Figure 7.
Example pictures of the final products obtained by each treatment. (a) T1 treatment (Barraganete + Baked); (b) T2 treatment (Dominico + Baked); (c) T3 treatment (Barraganete + Fried); (d) T4 treatment (Dominico + Fried).
As can be observed in Figure 6 and Table 6, the participants in the sensory evaluation considered that the color and smell of the fried chips were significantly better than the color and smell of the baked chips (color differences can be observed in Figure 7b). However, the baked products’ flavor and texture were significantly better. It can also be noticed that the Dominico variety presented significant advantages for the color and flavor variables, and the Barraganete variety presented a significantly better texture among the final products. In this way, the sensory analysis allowed us to gather experimental information that evidences that the healthier baked banana chips also presented advantages in terms of flavor and texture that can increase their level of acceptance in the consumer market.
4. Discussion
This study analyzed the impact of two processing methods, frying and baking, on the chemical properties of chips made from two varieties of green plantain (Barraganete and Domínico). Data collected through a rigorous experimental process were contrasted using multivariate statistical techniques with the aim of determining the most suitable treatment for chip production that complies with the NTE INEN 2561 standard [35] for vegetable snacks, which is the standard for snack commercialization in Ecuador, and to identify the advantages and limitations of each treatment.
A key difference in this study lies in the statistical approach. Unlike [27,28,31,32], which used ANOVA, this study applied more robust multivariate techniques, such as ANCOVA, MANOVA, and post-hoc tests, to identify differences between treatments. This allowed for a more comprehensive analysis by considering the simultaneous effect of multiple dependent variables and incorporating covariates. Another advantage is the use of two plantain varieties as raw materials, which facilitated the identification of the impact of initial properties on the final parameters in the chips. Studies like [22,23,26,30] focused on a single variety. Thus, the present study made a methodological contribution through a robust multivariate statistical analysis, examined the effect of the initial characteristics of two plantain varieties on multiple physicochemical parameters in processed chips, and determined differences attributable to the cooking method.
Regarding the results, it was determined that the initial protein content significantly influenced the final levels after processing. This aligns with [31] but differs from [22,30], where such associations were not found. Additionally, it was found that the Domínico variety was more suitable for producing baked chips due to its higher moisture retention, a finding that coincides with [23]. Table 7 summarizes the main advantages and limitations identified for each treatment.
Table 7.
Advantages and limitations identified in each treatment.
As shown in Table 5, the T2 “Dominico + Baked” treatment demonstrated the best performance among all evaluated treatments, showing significant advantages in most parameters. Thus, the T2 treatment exhibited the highest percentages of protein and starch combined with low levels of sodium and fat, making it an excellent alternative and the most suitable treatment selected in this research, as it possesses the characteristics of a healthy snack. However, this treatment did not meet the moisture level required by the NTE INEN 2561 standard, which stipulates that fried vegetable snacks must have moisture levels below 5%. In light of this, we recommend that longer cooking times be employed and the necessary adjustments be made to achieve this indicator, which will be addressed in future work. Moreover, the current NTE INEN 2561 standard in Ecuador suggests that the final product’s fat percentage should be below 40%, a value that was achieved in all treatments [36,37].
Regarding fried snacks, a significant level of superiority was observed for baked snacks, especially in terms of sodium and fat percentages. However, these complied with the NTE INEN 2561 standard [35]. Therefore, if an alternative is required for the frying method, we recommend the Dominico variety, which showed significant differences compared with the Barraganete variety, with a lower moisture percentage, a higher protein percentage, and lower fat percentages. Additionally, it was observed that the sodium percentage in fried chips is higher than that in baked chips. This finding aligns with current regulations attributing the higher sodium absorption to the fat content in fried chips, a phenomenon not occurring in baked chips [16]. Remarkably, the starch content in unprocessed green bananas significantly decreases upon processing. During thermal treatment, a gelatinization process occurs that is characterized by the water absorption of starch granules and swelling, particularly under the high temperatures used in baking and frying processes. Subsequently, retrogradation occurs, involving 70–75% crystalline restructuring of the starch molecule [38]. Consequently, despite the reduction in starch during thermal processing, Dominico-variety chips exhibit a higher starch percentage than Barraganete-variety chips.
It is important to note, as revealed in the Results section, that the raw material’s fiber percentage increased with thermal processing. This is attributed to the reduction in moisture content. Additionally, the baking process has an impact on the fiber content, transforming starch into resistant fiber during cooking [38]. This is consistent with the observed change in the protein percentage, which results from water loss during cooking, leading to an increase in the dry matter content.
During the process of baking a food item, the ash percentage tends to rise due to the elimination of organic matter and the concentration of inorganic minerals in the food. Here, ash refers to the mineral residues that remain after incineration [38]. Organic matter, including carbohydrates, fats, and proteins, decomposes and burns off during baking, leaving behind inorganic minerals. As the water evaporates and the organic matter reduces, the proportion of minerals and, consequently, the ash percentage increase relative to the total weight of the food [26,37].
5. Conclusions
In this study, we aimed to evaluate the advantages and limitations of producing banana chips from two varieties of bananas (Barraganete and Dominico) using two distinct processing methods (frying and baking). Our primary findings reveal a significant relationship between the initial protein content of the bananas and the protein levels in the processed chips, influenced by alterations in the dry matter concentration during thermal treatment. The Dominico variety emerged as more suitable for baking, maintaining higher levels of protein, starch, and fiber and a lower fat percentage than the Barraganete variety. When considering the processing methods, baked chips were found to be superior in terms of sodium and fat percentages. Notably, the combination of Dominico bananas and baking produced chips with the highest protein and starch content and the lowest sodium and fat levels, making it the optimal choice for a healthy snack. In conclusion, this study provides methodological advancements by utilizing sophisticated multivariate statistical analyses to meticulously trace the link between the raw material’s initial properties and the final product’s physicochemical attributes after different thermal treatments. This approach enabled us to pinpoint differences attributed to banana varieties and processing methods. The insights gained are crucial for determining the optimal conditions for producing banana snacks that meet nutritional quality standards, emphasizing the superiority of baking over frying and the advantages of using the Dominico variety due to its enhanced nutrient retention post-processing.
Author Contributions
Conceptualization, C.R.-R.; Formal analysis, E.P.H.-G.; Investigation, L.M.C.-H. All authors have read and agreed to the published version of the manuscript.
Funding
This work was supported State Polytechnic University of Carchi (www.upec.edu.ec).
Institutional Review Board Statement
Not applicable.
Informed Consent Statement
Informed consent was obtained from all subjects involved in the study.
Data Availability Statement
The original contributions presented in the study are included in the article, further inquiries can be directed to the corresponding author.
Conflicts of Interest
The authors declare no conflicts of interest.
References
- Aksoy, N.C.; Kabadayi, E.T.; Alan, A.K. An unintended consequence of COVID-19: Healthy nutrition. Appetite 2021, 166, 105430. [Google Scholar] [CrossRef]
- Rizwana, R.; Rao, E.S.; Sondhi, A.; Agarwal, A.; Verma, A.; Kant, K.; Kumar, D. Consumer’s attitude and awareness towards functional foods during COVID-19. Ann. Phytomed. Int. J. 2021, 10, S56–S62. [Google Scholar] [CrossRef]
- Kennedy, E.T.; Ohls, J.; Carlson, S.; Fleming, K.; Kennedy, E.T.; Ohls, J.; Carlson, S.; Fleming, K. The Healthy Eating Index: Design and Applications. J. Am. Diet. Assoc. 1995, 95, 1103–1108. [Google Scholar] [CrossRef]
- Asmalovskij, A.; Sadílek, T. Food quality perception in the Czech Republic: Trial study results. Ukr. Food J. 2016, 5, 186–194. Available online: http://nbuv.gov.ua/UJRN/UFJ_2016_5_1_21 (accessed on 2 December 2023).
- Kowalska, A.; Ratajczyk, M.; Manning, L.; Bieniek, M.; Mącik, R. “Young and Green” a Study of Consumers’ Perceptions and Reported Purchasing Behaviour towards Organic Food in Poland and the United Kingdom. Sustainability 2021, 13, 13022. [Google Scholar] [CrossRef]
- Sobaih, A.E.E. Excessive Food Buying in Saudi Arabia Amid COVID-19: Examining the Effects of Perceived Severity, Religiosity, Consumption Culture and Attitude toward Behavior. Int. J. Environ. Res. Public Health 2023, 20, 3126. [Google Scholar] [CrossRef]
- Oke, E.K.; Idowu, M.A.; Sobukola, O.P.; Adeyeye, S.A.O.; Akinsola, A.O. Frying of Food: A Critical Review. J. Culin. Sci. Technol. 2017, 16, 107–127. [Google Scholar] [CrossRef]
- Garmakhany, A.D.; Mirzaei, H.O.; Maghsudlo, Y.; Kashaninejad, M.; Jafari, S.M. Production of low fat french-fries with single and multi-layer hydrocolloid coatings. J. Food Sci. Technol. 2012, 51, 1334–1341. [Google Scholar] [CrossRef]
- Panang, C.; Thikeaw, K.; Soubsub, K.; Olanwanit, W.; Phahom, T. A correlation between oil measurement methods and the application of principal component analysis for selecting the best pre-frying treatment of reduced-fat banana chips. J. Food Meas. Charact. 2023, 17, 5402–5411. [Google Scholar] [CrossRef]
- Yamsaengsung, R.; Ariyapuchai, T.; Prasertsit, K. Effects of vacuum frying on structural changes of bananas. J. Food Eng. 2011, 106, 298–305. [Google Scholar] [CrossRef]
- Ciurzyńska, A.; Lenart, A. Freeze-Drying—Application in Food Processing and Biotechnology—A Review. Pol. J. Food Nutr. Sci. 2011, 61, 165–171. [Google Scholar] [CrossRef]
- Njike, V.Y.; Smith, T.M.; Shuval, O.; Shuval, K.; Edshteyn, I.; Kalantari, V.; Yaroch, A.L. Snack food, satiety, and weight. Adv. Nutr. 2016, 7, 866–878. [Google Scholar] [CrossRef]
- ElAlfy, A.; Palaschuk, N.; El-Bassiouny, D.; Wilson, J.; Weber, O. Scoping the Evolution of Corporate Social Responsibility (CSR) Research in the Sustainable Development Goals (SDGs) Era. Sustainability 2020, 12, 5544. [Google Scholar] [CrossRef]
- Wichaphon, J.; Judphol, J.; Tochampa, W.; Singanusong, R. Effect of frying conditions on properties of vacuum fried banana bracts. LWT 2023, 184, 115022. [Google Scholar] [CrossRef]
- Sapei, L. Proximate composition and functional properties of banana flour at different ripening stages. J. Litbang Ind. 2023, 13, 41–49. [Google Scholar] [CrossRef]
- Martínez, S.; Roman-Chipantiza, A.; Boubertakh, A.; Carballo, J. Banana Drying: A Review on Methods and Advances. Food Rev. Int. 2023, 1–39. [Google Scholar] [CrossRef]
- Murillo, V.Á.; Tamayo, J.C.; Cárdenas, L.M.; León, J.L.; Pájaro, N.M. Ecuador: Diagnosis of the banana export agri-food chain. Rev. Espac. 2021, 42, 1–12. [Google Scholar]
- Hu, S.; Wang, M.; Zhang, X.; Chen, W.; Song, X.; Fu, X.; Fang, H.; Xu, J.; Xiao, Y.; Li, Y.; et al. Genetic basis of kernel starch content decoded in a maize multi-parent population. Plant Biotechnol. J. 2021, 19, 2192–2205. [Google Scholar] [CrossRef]
- Damto, T.; Chala, G. Effect of Blanching and Frying Time on the Sensory Quality of Fried Sweet Potato Chips. Food Nutr. Sci. An Int. J. 2019, 3, 1–17. [Google Scholar] [CrossRef]
- Saguy, I.; Dana, D. Integrated approach to deep fat frying: Engineering, nutrition, health and consumer aspects. J. Food Eng. 2003, 56, 143–152. [Google Scholar] [CrossRef]
- Gupta, P. Physico-chemical changes of fried products during oil and vacuum frying. Pharma Innov. 2023, 12, 1582–1586. [Google Scholar] [CrossRef]
- Ammawath, W.; Man, Y.B.C.; Yusof, S.; A Rahman, R. Effects of variety and stage of fruit ripeness on the physicochemical and sensory characteristics of deep-fat-fried banana chips. J. Sci. Food Agric. 2001, 81, 1166–1171. [Google Scholar] [CrossRef]
- Dueik, V.; Bouchon, P. Development of Healthy Low-Fat Snacks: Understanding the Mechanisms of Quality Changes During Atmospheric and Vacuum Frying. Food Rev. Int. 2011, 27, 408–432. [Google Scholar] [CrossRef]
- Valdiviezo, Y. Análisis del Tipo de aceite y Tiempo de fritura en la Vida Útil del Snack de Malanga (Xanthosoma sagittifolium) Procedente del Tena. Bachelor Thesis, Universidad Técnica de Ambato, Ambato, Ecuador, 2014. [Google Scholar]
- Teruel, M.d.R.; Gordon, M.; Linares, M.B.; Garrido, M.D.; Ahromrit, A.; Niranjan, K. A Comparative Study of the Characteristics of French Fries Produced by Deep Fat Frying and Air Frying. J. Food Sci. 2015, 80, E349–E358. [Google Scholar] [CrossRef]
- Restrepo, S.; Castellanos, F.; Leyton, D. Efecto de la presión sobre los parámetros de calidad (color-textura) de chips de plátano verde durante la fritura por inmersión. Vitae 2016, 23, 283–287. [Google Scholar]
- Gárcia, G.; Duarte, H.; Moncada, L. Determinación del tiempo de cocción en los procesos de freido y horneado de tres alimentos de consumo masiuo en Colombia. Épsilon 2005, 1, 7–18. [Google Scholar]
- Pantoja, D.F.M.; Castaño, M.A.; Barreto, C.I.A.; Galeano, F.J.C. Fritura por inmersión al vacío de rodajas de plátano verde con recubrimientos comestibles. Ing. Compet. 2022, 25, 14. [Google Scholar] [CrossRef]
- Torres, J.; Alvis, A.; Gallo, L.; Acevedo, D.; Montero, P.; Castellanos, F. Optimization of the deep fat frying process of arepa con huevo using response surface methodology. Rev. Chil. Nutr. 2018, 45, 50–59. [Google Scholar] [CrossRef]
- Gómez, M.d.J.G.; Coutiño, L.P.R. Potencial del plátano macho verde para la elaboración de botanas saludables/Potential green plantain to prepare healthy snacks. RIDE Rev. Iberoam. Para Investig. Desarro. Educ. 2015, 3, 20–30. [Google Scholar] [CrossRef]
- Velázquez, M. Elaboración de Botanas de Platano Horneado Enriquecido con Proteina Vegetal. Reporte previo [Instituto Tecnologico de Tuxtla Gutierrez]. 2013. Available online: http://repositoriodigital.tuxtla.tecnm.mx/xmlui/handle/123456789/3082 (accessed on 20 December 2023).
- Montes, N.; Millar, I.; Martínez, N.; Fernández, D.; Morales, G.; Valenzuela, R. Absorción de aceite en alimentos fritos Oil absorption in fried foods. Rev. Chil. Nutr. 2015, 43, 87–91. [Google Scholar] [CrossRef]
- Tejedor, G.; Segalàs, J.; Barrón, Á.; Fernández-Morilla, M.; Fuertes, M.T.; Ruiz-Morales, J.; Gutiérrez, I.; García-González, E.; Aramburuzabala, P.; Hernández, À. Didactic Strategies to Promote Competencies in Sustainability. Sustainability 2019, 11, 2086. [Google Scholar] [CrossRef]
- Erdfelder, E.; Faul, F.; Buchner, A. GPOWER: A general power analysis program. Behav. Res. Methods Instrum. Comput. 1996, 28, 1–11. [Google Scholar] [CrossRef]
- De Normalización, I.E. NTE INEN 2561 (2010) (Spanish): Bocaditos de Productos Vegetales. Requisitos. Instituto Ecuatoriano de Normalización: Quito, 2010; pp. 1–8. Available online: https://www.fao.org/faolex/results/details/es/c/LEX-FAOC098206/ (accessed on 1 December 2023).
- Villamizar, R.H.; Quinceno, M.C.; Giraldo, G.A. Comparación de la fritura al vacío y atmosférica en la obtención de pasabocas de mango (Manguifera indica L.). Temas Agrar. 2011, 16, 64–74. [Google Scholar] [CrossRef]
- Chong, M.; Mazzitelli, G.; Quintero, R. Efecto de los métodos de cocción por fritura en las propiedades fisicoquímicas y sensoriales de chips de taro (Colocasia esculenta). I+ D Tecnol. 2019, 15, 30–37. [Google Scholar] [CrossRef]
- Lucas, J.C.; Quintero, V.D.; Vasco, J.F.; Mosquera, J.D. Evaluación de los parámetros de calidad de chips en relación con diferentes variedades de plátano (Musa paradisiaca L.). Rev. Lasallista Investig. 2012, 9, 65–74. Available online: https://www.redalyc.org/pdf/695/69525875009.pdf (accessed on 2 December 2023).
Disclaimer/Publisher’s Note: The statements, opinions and data contained in all publications are solely those of the individual author(s) and contributor(s) and not of MDPI and/or the editor(s). MDPI and/or the editor(s) disclaim responsibility for any injury to people or property resulting from any ideas, methods, instructions or products referred to in the content. |
© 2024 by the authors. Licensee MDPI, Basel, Switzerland. This article is an open access article distributed under the terms and conditions of the Creative Commons Attribution (CC BY) license (https://creativecommons.org/licenses/by/4.0/).