Mechanistic Study of the Influence of Reactant Type and Addition Sequence on the Microscopic Morphology of α-Al2O3
Abstract
1. Introduction
2. Materials and Methods
2.1. Raw Materials and Instruments
2.2. Experimental Methods
2.3. Sample Morphology and Crystal Structure Testing and Characterization
3. Results and Discussion
3.1. Effect of Precipitant Type on the Morphology of Alumina Precursors
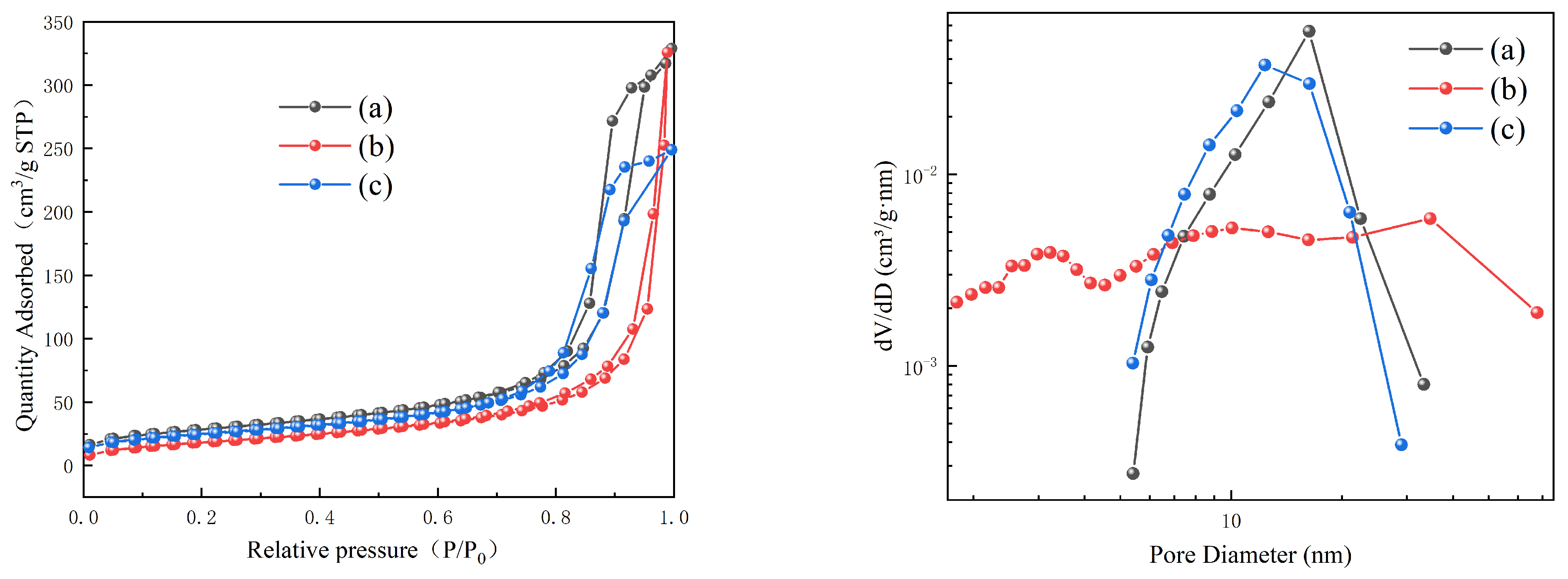
3.2. Influence of Precipitant Type on the Morphology of the Aluminum Oxide
3.3. Impact of the Aluminum Source Type on the Precursor Morphology of the Aluminum Oxides
3.4. Influence of the Aluminum Source Type on the Morphology of the Aluminum Oxides
3.5. Influence of Reactant Addition Order on the Precursor Morphology of Aluminum Oxide
3.6. Influence of the Reactant Addition Order on the Morphology of the Aluminum Oxides
4. Conclusions
- Using sodium bicarbonate, ammonium bicarbonate, and potassium bicarbonate as precipitants and hexahydrated aluminum chloride as the aluminum source, spherical aluminum oxide particles with an average diameter of 80 nm were prepared. These particles exhibited mutual adhesion. Additionally, irregular short rod-shaped aluminum oxide with a length of approximately 200 nm and hexagonal plate-shaped aluminum oxide with long sides and short angles were obtained.
- Using octadecahydrate aluminum sulfate, hexahydrate aluminum chloride, and nonahydrate aluminum nitrate as aluminum sources and ammonium bicarbonate as a precipitant, single-crystal particles of aluminum oxide were prepared. These particles had diameters ranging from 60 to 80 nm but tended to aggregate. Additionally, irregular short rod-shaped aluminum oxide with a length of approximately 200 nm and molten-adhered aluminum oxide were obtained.
- The order of reactant addition significantly influences the crystal precursor products. Using hexahydrated aluminum chloride and ammonium bicarbonate as raw materials, when aluminum chloride was dripped into the ammonium bicarbonate solution, the resulting precursor was mainly sodium aluminum hydroxide carbonate, with some boehmite present. On the other hand, when ammonium bicarbonate was dripped into the aluminum chloride solution, the primary precursor formed was boehmite, which contained a small amount of sodium aluminum hydroxide carbonate. After calcination, the boehmite underwent dehydration, transitioning from a dense plate-like structure to a porous plate-like aluminum oxide, maintaining its overall morphology. Conversely, sodium aluminum hydroxide carbonate transformed from irregular rod-shaped structures with a length of 800 nm and a diameter of 60 nm into short rod-shaped aluminum oxide structures with a length of approximately 200 nm, indicating a reduction in size.
Author Contributions
Funding
Institutional Review Board Statement
Informed Consent Statement
Data Availability Statement
Conflicts of Interest
References
- Wang, P.F.; Yang, H.L.; Li, J.Y.; Zhang, X.H.; Wang, L.; Xiao, J.C.; Zhao, B. Synergistically enhanced performance and reliability of abrupt metal-oxide heterojunction transistor. Adv. Electron. Mater. 2023, 9, 2200807. [Google Scholar] [CrossRef]
- Komrakova, S.; An, P.; Kovalyuk, V.; Golikov, A.; Gladush, Y.; Mkrtchyan, A.; Chermoshentsev, D.; Krasnikov, D.; Nasibulin, A.; Goltsman, G. Hybrid Silicon Nitride Photonic Integrated Circuits Covered by Single-Walled Carbon Nanotube Films. Nanomaterials 2023, 13, 2307. [Google Scholar] [CrossRef]
- Nabiullina, R.D.; Nikitin, I.Y.; Soloveva, E.O.; Gladskikh, I.A.; Starovoytov, A.A. Optical properties of nanoporous aluminum oxide activated by molecular clusters of pseudoisocyanine dye. Nanophotonics 2022, 12131, 170–174. [Google Scholar]
- Rheima, A.M.; Sabri, A.Z.; Kadhim, M.M.; Mohammed, S.H.; Alhameedi, D.Y.; Rasen, F.A.; Ramadan, M.F.; Abed, Z.T.; Jaber, A.S.; Hachim, S.K.; et al. Aluminum oxide nano porous: Synthesis, properties, and applications. Case Stud. Chem. Environ. Eng. 2023, 8, 100428. [Google Scholar] [CrossRef]
- Zhang, W. Preparation and Characterizations of Monodisperse α-Al2O3 Nanospheres. Master’s Thesis, Lanzhou University, Lanzhou, China, 2016. [Google Scholar]
- Gurel, S.B.; Altun, A. Reactive alumina production for the refractory industry. Powder Technol. 2009, 196, 115–121. [Google Scholar] [CrossRef]
- Fruhstorfer, J.; Schöttler, L.; Dudczig, S.; Schmidt, G.; Gehre, P.; Aneziris, C.G. Erosion and corrosion of alumina refractory by ingot casting steels. J. Eur. Ceram. Soc. 2016, 36, 1299–1306. [Google Scholar] [CrossRef]
- Qin, L.P.; Gu, Y.Y.; Ye, H.Q. The Selection of Molten Salts in Synthesizing Flaky Alumina by Using Molten-salt. China Chem. 2005, 6, 35–38. [Google Scholar]
- Zhou, X.L.; Xu, J.Y.; Sun, J.H.; Cao, A.L.; Qing, P.L. Study on the Preparation of Flake α-Al2O3 Based on Molten Salt and Liquid Meta. China Ceram. 2023, 59, 29–35. [Google Scholar]
- Xu, N.C.; Shi, D.D. Research on preparation of mesoporous alumina nanomaterials and their fluoride removal properties. Appl. Chem. Ind. 2023, 52, 464–470. [Google Scholar]
- Xu, H.; Zhang, C.; Cai, J.; Wang, J.; Liu, K.; Cheng, X. Synthesis and characterization of activated alumina with high thermal stability by a low-heat solid-phase precursor method. Microporous Mesoporous Mater. 2022, 337, 111921. [Google Scholar] [CrossRef]
- Shen, Y.Q.; Li, D.Y.; Xu, Y.; Ge, H.L.; Yang, H. Influence mechanism of halide additives on phase conversion, morphology, and purity of alumina powders prepared by solid-phase calcination method. Ceram. Int. 2022, 48, 8403–8408. [Google Scholar]
- Vasile, B.S.; Birca, A.C.; Surdu, V.A.; Neacsu, I.A.; Nicoară, A.I. Ceramic composite materials obtained by electron-beam physical vapor deposition used as thermal barriers in the aerospace industry. Nanomaterials 2020, 10, 370. [Google Scholar] [CrossRef]
- Konstantiniuk, F.; Tkadletz, M.; Kainz, C.; Czettl, C.; Schalk, N. Mechanical properties of single and polycrystalline α-Al2O3 coatings grown by chemical vapor deposition. Surf. Coat. Technol. 2021, 410, 126959. [Google Scholar] [CrossRef]
- Lee, J.S.; Kim, H.S.; Park, N.K.; Lee, T.J.; Kang, M. Low temperature synthesis of α-alumina from aluminum hydroxide hydrothermally synthesized using [Al(C2O4)x(OH)y] complexes. Chem. Eng. J. 2013, 230, 351–360. [Google Scholar] [CrossRef]
- Xu, K.J.; Yang, X.C.; Tian, G.S. Preparation of nano-size α-Al2O3 powders by seeding hydrothermal synthesizing method. J. Chin. Ceram. Soc. 2001, 6, 576–579. [Google Scholar]
- Pallavi, S.B.; Sunipa, B.; Thermal, D. phase evolution and morphology study of combustion synthesized alumina powder—Influence of precursor Ph. Mater. Chem. Phys. 2021, 259, 124030. [Google Scholar]
- Chang, Y.; Zhang, A.F.; Guo, X.W.; Shang, S.J.; Zhang, J.X. Morphological control of mordenite and its performance in alkylation reaction. Mod. Chem. Ind. 2023, 43, 219–224. [Google Scholar]
- Zhang, B. Optimized Preparation and Pervaporation Performance of T Zeolite Membrane. Master’s Thesis, Dalian University of Technology, Dalian, China, 2020. [Google Scholar]
- Liu, D.M.; Li, S.K.; Tang, J.J.; Zhou, N.; Zhong, M.E. Impact Factors on Morphology and Particle Size of Lithium Vanadium Phosphate during Solvothermal Synthesis. Guangzhou Chem. Ind. 2019, 47, 55–58. [Google Scholar]
- Yu, Q.Q. Preparation of Alumina Adsorbent with High-Surface-Area and the Removal of Cr(VI). Master’s Thesis, Beijing University of Chemical Technology, Beijing, China, 2017. [Google Scholar]
- Dai, X.; Bai, J.; Huang, Q.; Liu, Z.; Bai, X.; Cao, R.; Wen, X.; Li, W.; Du, S. Viscosity temperature properties from molecular dynamics simulation, The role of calcium oxide, sodium oxide and ferrous oxide. Fuel 2019, 237, 163–169. [Google Scholar] [CrossRef]
- Wang, Z.; Chen, X.H.; Li, D.H.; Hu, W.H. Study on the preparation and growth mechanism of ammonium aluminum carbonate. J. Chin. Soc. Rare Earths 2012, 4, 397–400. [Google Scholar]
- Tripathy, A.K.; Ray, H.S.; Pattnayak, P.K. Kinetics of roasting of chromium oxide with sodium nitrate flux. Metall. Mater. Trans. B 1995, 26, 449–454. [Google Scholar] [CrossRef]

















| Mineral Name | Peaks and Theta (2θ) |
|---|---|
| NaAl(OH)2CO3 | 15.6°, 26.3°, 26.8°, 28.8°, 32.1°, 34.5°, 35.8°, 41.9°, 45.4°, 46.4°, 52.8°, 54.1°, 55.2°, 66.9°, 70.0° |
| (011), (020), (112), (013), (121), (004), (211), (220), (015), (105), (231), (125), (224), (440), (051) | |
| NH4Al(OH)2CO3 | 14.8°, 15.2°, 21.8°, 26.0°, 26.9°, 30.4°, 30.8°, 34.7°, 34.9°, 40.0°, 41.1°, 44.4°, 44.6°, 45.5°, 52.9°, 55.4° |
| (020), (110), (111), (130), (200), (131), (220), (221), (112), (150), (132), (222), (311), (060), (312), (400) | |
| γ-AlOOH | 14.4°, 28.1°, 38.3°, 45.7°, 48.9°, 49.2°, 51.5°, 55.2°, 60.5°, 64.0°, 64.9°, 67.6°, 71.9°, 72.4° |
| (020), (120), (031), (131), (051), (200), (220), (151), (080), (231), (002), (171), (251), (122) |
| Precipitants | Lattice Parameters (Å) | Average Crystalline Size, D (nm) |
|---|---|---|
| (a) | NaAl(OH)2CO3 (a = 3.7, b = 12.2, c = 2.8) | 19.96 |
| (b) | γ-AlOOH (a = 3.7, b = 12.2, c = 2.8) NH4Al(OH)2CO3(a = 6.6, b = 11.9, c = 5.7) | 20.03 |
| (c) | γ-AlOOH (a = 3.7, b = 12.2, c = 2.8) | 22.53 |
| Aluminum Sources | Lattice Parameters (Å) | Average Crystalline Size, D (nm) |
|---|---|---|
| (a) | NH4Al (OH)2CO3 (a = 6.6, b = 11.9, c = 5.7) | 18.11 |
| (b) | γ-AlOOH (a = 3.7, b = 12.2, c = 2.8) NH4Al (OH)2CO3(a = 6.6, b = 11.9, c = 5.7) | 20.03 |
| (c) | NH4Al (OH)2CO3 (a = 6.6, b = 11.9, c = 5.7) | 15.26 |
| Addition Order | Lattice Parameters (Å) | Average Crystalline Size, D (nm) |
|---|---|---|
| (a) | γ-AlOOH (a = 3.7, b = 12.2, c = 2.8) | 26.69 |
| (b) | NH4Al (OH)2CO3(a = 6.6, b = 11.9, c = 5.7) | 20.03 |
Disclaimer/Publisher’s Note: The statements, opinions and data contained in all publications are solely those of the individual author(s) and contributor(s) and not of MDPI and/or the editor(s). MDPI and/or the editor(s) disclaim responsibility for any injury to people or property resulting from any ideas, methods, instructions or products referred to in the content. |
© 2024 by the authors. Licensee MDPI, Basel, Switzerland. This article is an open access article distributed under the terms and conditions of the Creative Commons Attribution (CC BY) license (https://creativecommons.org/licenses/by/4.0/).
Share and Cite
Wen, W.; Bai, Y.; Xu, M.; Gao, Y.; Yan, P.; Xu, H. Mechanistic Study of the Influence of Reactant Type and Addition Sequence on the Microscopic Morphology of α-Al2O3. Appl. Sci. 2024, 14, 2438. https://doi.org/10.3390/app14062438
Wen W, Bai Y, Xu M, Gao Y, Yan P, Xu H. Mechanistic Study of the Influence of Reactant Type and Addition Sequence on the Microscopic Morphology of α-Al2O3. Applied Sciences. 2024; 14(6):2438. https://doi.org/10.3390/app14062438
Chicago/Turabian StyleWen, Weixiang, Yang Bai, Mengxu Xu, Yujuan Gao, Pingke Yan, and Huabing Xu. 2024. "Mechanistic Study of the Influence of Reactant Type and Addition Sequence on the Microscopic Morphology of α-Al2O3" Applied Sciences 14, no. 6: 2438. https://doi.org/10.3390/app14062438
APA StyleWen, W., Bai, Y., Xu, M., Gao, Y., Yan, P., & Xu, H. (2024). Mechanistic Study of the Influence of Reactant Type and Addition Sequence on the Microscopic Morphology of α-Al2O3. Applied Sciences, 14(6), 2438. https://doi.org/10.3390/app14062438
