Game Theory-Based Interactive Control for Human–Machine Cooperative Driving
Abstract
1. Introduction
2. Problem Formulation
3. Driver and Vehicle Models
3.1. Brain Emotional Learning Circuit Model
3.2. BELCM-Based Driver Model
| Algorithm 1 Workflow of driver model based on BELCM |
|
3.2.1. Driver Steering Control Model
3.2.2. Driver Longitudinal Control Model
3.3. Vehicle Model
4. Vehicle Interactive Control Strategy
4.1. Shared Control Strategy
4.1.1. Driving Safety Field
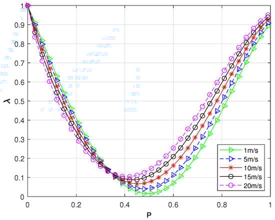
4.1.2. Strategies for Authority Allocation
4.1.3. Human–Machine Shared Control Model
4.2. Motion Prediction for HSCVs
4.3. Driving Cost Function
4.3.1. Driving Style Cost Function of SVs
4.3.2. Driving Safety Cost Function of HSCV
4.4. Interactive Control Based on DMPC and Non-Cooperative Game
| Algorithm 2 Iterative optimal response algorithm |
|
5. Experimental Results and Analysis
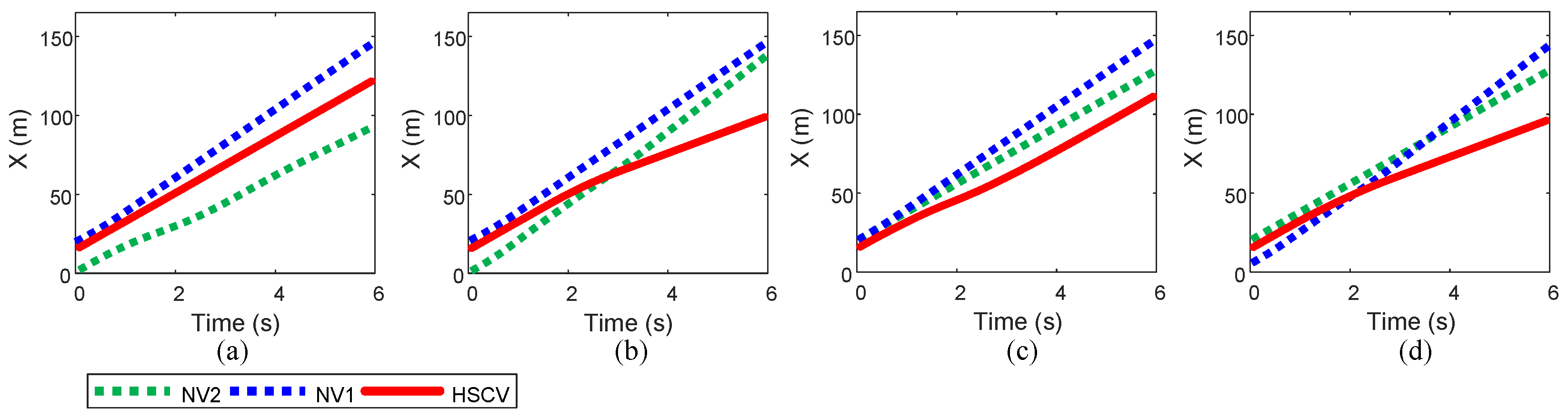
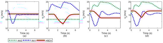
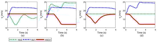
5.1. Scenario 1 Test
5.2. Scenario 2 Test
6. Conclusions
Author Contributions
Funding
Institutional Review Board Statement
Informed Consent Statement
Data Availability Statement
Conflicts of Interest
Nomenclature
| Abbreviations | |||
| HSCV | Human–machine shared control vehicle | T-S | Takagi–Sugeno |
| SV | Surrounding vehicle | NMPC | Nonlinear model predictive control |
| BELCM | Brain emotional learning circuit model | CAV | Connected autonomous vehicle |
| DMPC | Distributed model predictive control | NV | Neighbor vehicle |
| SAE | Society of Automotive Engineers | LV | Leader vehicle |
| MPC | Model predictive control | SI | Stimulus input |
| LQR | Linear quadratic regulator | ES | Emotional signal |
| Vehicle and Driver Models | Driving Style Cost Function | ||
| Output signal of amygdala | Driving style cost function of vehicle | ||
| Correction signal output by prefrontal cortex | Composition of driving style cost function | ||
| External stimulus input | Adjustment coefficient of ’s driving style | ||
| Hint of emotional signal | Lateral and longitudinal threats | ||
| Maximum signal in the external stimulus input | Lane change threats | ||
| The signal in the external stimulus input | Weight coefficients for longitudinal threats | ||
| , | Coefficient in amygdala and prefrontal cortex | Weight coefficients for lateral threats | |
| , | Adjustment rate of and | Longitudinal speed of vehicle and LV | |
| , | Learning rate of and | Speed switching function of and LV | |
| Deviation from the driver’s desired vehicle speed | surrounding vehicle | ||
| Near preview point lateral error | Symbols used to identify lanes | ||
| Near point preview angle | Constants used to adjust the shape | ||
| Far point preview angle and change rate | Vehicle ’s target speed and speed limit | ||
| for lateral and longitudinal control | Longitudinal collision avoidance function | ||
| for lateral and longitudinal control | Longitudinal and lateral safety thresholds | ||
| Weighting coefficients for | Vehicle interaction | ||
| Weighting coefficients for | Vehicle status vector | ||
| Weighting coefficients for | Ego vehicle and driver control input vectors | ||
| Weighting coefficients for | Ego vehicle steering angle and acceleration | ||
| Weighting coefficients in amygdala | Vehicle state matrix | ||
| Weighting coefficients in prefrontal cortex | Control input matrix | ||
| Driver steering angle | Slack matrices | ||
| Driver steering angle output by BELCM | Output vector | ||
| Driver steering angle with arm NMS dynamics | Reference state vector | ||
| Acceleration of the driver and BELCM | Prediction horizon in MPC | ||
| a | Vehicle acceleration | Control horizon in MPC | |
| Lateral and longitudinal displacement | Output vector in prediction equation | ||
| Lateral and longitudinal speed of the vehicle | Reference state vector in prediction equation | ||
| Vehicle inertial heading angle | State matrix in prediction equation | ||
| Vehicle yaw rate | Input matrices in prediction equation | ||
| Length of front and rear axles to center of mass | Driver and system control input sequences | ||
| Lateral tire forces of the front and rear wheels | Output weight matrix | ||
| Stiffness coefficients of the front and rear tires | Control input weight matrix | ||
| Moment of inertia | Weight matrix of driving style cost function | ||
| Human–machine shared control strategy | Weight matrix of driving safety field | ||
| E | Driving safety field | Steering angle and change rate constraints | |
| Obstacle potential field | Acceleration and change rate constraints | ||
| Shape coefficient for obstacle potential field | Control input and change rate constraints | ||
| Constants for obstacle potential field | Cost function of vehicle | ||
| Coefficient related to obstacle potential field velocity | Cost function of ego vehicle | ||
| Convergence coefficients | Driving style cost function of | ||
| Coefficient for driving control authority | Ego vehicle’s driving safety field | ||
| Coefficients for driving control authority | All SVs except | ||
References
- Guo, H.; Zhang, Y.; Cai, S.; Chen, X. Effects of Level 3 Automated Vehicle Drivers’ Fatigue on Their Take-Over Behaviour: A Literature Review. J. Adv. Transp. 2021, 2021, 1–12. [Google Scholar] [CrossRef]
- Wang, W.; Na, X.; Cao, D.; Gong, J.; Xi, J.; Xing, Y.; Wang, F.Y. Decision-making in driver-automation shared control: A review and perspectives. IEEE/CAA J. Autom. Sin. 2020, 7, 1289–1307. [Google Scholar] [CrossRef]
- Bonnefon, J.F.; Shariff, A.; Rahwan, I. The social dilemma of autonomous vehicles. Science 2016, 352, 1573–1576. [Google Scholar] [CrossRef] [PubMed]
- Ansari, S.; Naghdy, F.; Du, H. Human-machine shared driving: Challenges and future directions. IEEE Trans. Intell. Veh. 2022, 7, 499–519. [Google Scholar] [CrossRef]
- Pankiewicz, N.; Turlej, W.; Orłowski, M.; Wrona, T. Highway Pilot Training from Demonstration. In Proceedings of the 2021 25th International Conference on Methods and Models in Automation and Robotics (MMAR), Międzyzdroje, Poland, 23–26 August 2021; pp. 109–114. [Google Scholar]
- Marcano, M.; Díaz, S.; Pérez, J.; Irigoyen, E. A review of shared control for automated vehicles: Theory and applications. IEEE Trans. Hum. Mach. Syst. 2020, 50, 475–491. [Google Scholar] [CrossRef]
- International, S. Taxonomy and definitions for terms related to driving automation systems for on-road motor vehicles. SAE Int. 2018, 4970, 1–5. [Google Scholar]
- Sheridan, T.B.; Verplank, W.L.; Brooks, T. Human/computer control of undersea teleoperators. In Proceedings of the NASA Ames Research Center The 14th Annual Conference on Manual Control, Los Angeles, CA, USA, 25–27 April 1978. [Google Scholar]
- Li, X.; Wang, Y. Shared steering control for human–machine co-driving system with multiple factors. Appl. Math. Model. 2021, 100, 471–490. [Google Scholar] [CrossRef]
- Saleh, L.; Chevrel, P.; Claveau, F.; Lafay, J.F.; Mars, F. Shared steering control between a driver and an automation: Stability in the presence of driver behavior uncertainty. IEEE Trans. Intell. Transp. Syst. 2013, 14, 974–983. [Google Scholar] [CrossRef]
- Nguyen, A.T.; Sentouh, C.; Popieul, J.C. Driver-automation cooperative approach for shared steering control under multiple system constraints: Design and experiments. IEEE Trans. Ind. Electron. 2016, 64, 3819–3830. [Google Scholar] [CrossRef]
- Nguyen, A.T.; Sentouh, C.; Popieul, J.C. Sensor reduction for driver-automation shared steering control via an adaptive authority allocation strategy. IEEE/ASME Trans. Mechatronics 2017, 23, 5–16. [Google Scholar] [CrossRef]
- Li, R.; Li, Y.; Li, S.E.; Zhang, C.; Burdet, E.; Cheng, B. Indirect shared control for cooperative driving between driver and automation in steer-by-wire vehicles. IEEE Trans. Intell. Transp. Syst. 2020, 22, 7826–7836. [Google Scholar] [CrossRef]
- Cole, D.; Pick, A.; Odhams, A. Predictive and linear quadratic methods for potential application to modelling driver steering control. Veh. Syst. Dyn. 2006, 44, 259–284. [Google Scholar] [CrossRef]
- Hang, P.; Zhang, Y.; Lv, C. Brain-Inspired Modeling and Decision-Making for Human-Like Autonomous Driving in Mixed Traffic Environment. IEEE Trans. Intell. Transp. Syst. 2023, 24, 10420–10432. [Google Scholar] [CrossRef]
- Mulder, M.; Abbink, D.A.; Van Paassen, M.M.; Mulder, M. Design of a haptic gas pedal for active car-following support. IEEE Trans. Intell. Transp. Syst. 2010, 12, 268–279. [Google Scholar] [CrossRef]
- Abbink, D.A.; Mulder, M.; Van der Helm, F.C.; Mulder, M.; Boer, E.R. Measuring neuromuscular control dynamics during car following with continuous haptic feedback. IEEE Trans. Syst. Man Cybern. Part B (Cybern.) 2011, 41, 1239–1249. [Google Scholar] [CrossRef]
- Sentouh, C.; Debernard, S.; Popieul, J.C.; Vanderhaegen, F. Toward a shared lateral control between driver and steering assist controller. IFAC Proc. Vol. 2010, 43, 404–409. [Google Scholar] [CrossRef]
- Alirezaei, M.; Corno, M.; Katzourakis, D.; Ghaffari, A. A robust steering assistance system for road departure avoidance. IEEE Trans. Veh. Technol. 2012, 61, 1953–1960. [Google Scholar] [CrossRef]
- Erlien, S.M.; Fujita, S.; Gerdes, J.C. Shared steering control using safe envelopes for obstacle avoidance and vehicle stability. IEEE Trans. Intell. Transp. Syst. 2015, 17, 441–451. [Google Scholar] [CrossRef]
- Xing, Y.; Huang, C.; Lv, C. Driver-automation collaboration for automated vehicles: A review of human-centered shared control. In Proceedings of the 2020 IEEE Intelligent Vehicles Symposium (IV), Las Vegas, NV, USA, 19 October–13 November 2020; pp. 1964–1971. [Google Scholar]
- Anderson, S.J.; Karumanchi, S.B.; Iagnemma, K.; Walker, J.M. The intelligent copilot: A constraint-based approach to shared-adaptive control of ground vehicles. IEEE Intell. Transp. Syst. Mag. 2013, 5, 45–54. [Google Scholar] [CrossRef]
- Song, L.; Guo, H.; Wang, F.; Liu, J.; Chen, H. Model predictive control oriented shared steering control for intelligent vehicles. In Proceedings of the 2017 29th Chinese Control And Decision Conference (CCDC), Chongqing, China, 28–30 May 2017; pp. 7568–7573. [Google Scholar]
- Liu, J.; Chen, H.; Guo, H.; Song, L.; Hu, Y. Moving horizon shared steering strategy for intelligent vehicle based on potential-hazard analysis. IET Intell. Transp. Syst. 2019, 13, 541–550. [Google Scholar] [CrossRef]
- Huang, C.; Lv, C.; Naghdy, F.; Du, H. Reference-free approach for mitigating human–machine conflicts in shared control of automated vehicles. IET Control Theory Appl. 2020, 14, 2752–2763. [Google Scholar] [CrossRef]
- Na, X.; Cole, D.J. Linear quadratic game and non-cooperative predictive methods for potential application to modelling driver–AFS interactive steering control. Veh. Syst. Dyn. 2013, 51, 165–198. [Google Scholar] [CrossRef]
- Na, X.; Cole, D.J. Game-theoretic modeling of the steering interaction between a human driver and a vehicle collision avoidance controller. IEEE Trans. Hum.-Mach. Syst. 2014, 45, 25–38. [Google Scholar] [CrossRef]
- Li, M.; Song, X.; Cao, H.; Wang, J.; Huang, Y.; Hu, C.; Wang, H. Shared control with a novel dynamic authority allocation strategy based on game theory and driving safety field. Mech. Syst. Signal Process. 2019, 124, 199–216. [Google Scholar] [CrossRef]
- Yue, M.; Fang, C.; Zhang, H.; Shangguan, J. Adaptive authority allocation-based driver-automation shared control for autonomous vehicles. Accid. Anal. Prev. 2021, 160, 106301. [Google Scholar] [CrossRef] [PubMed]
- Hang, P.; Lv, C.; Huang, C.; Xing, Y.; Hu, Z. Cooperative decision making of connected automated vehicles at multi-lane merging zone: A coalitional game approach. IEEE Trans. Intell. Transp. Syst. 2021, 23, 3829–3841. [Google Scholar] [CrossRef]
- Hang, P.; Lv, C.; Huang, C.; Cai, J.; Hu, Z.; Xing, Y. An integrated framework of decision making and motion planning for autonomous vehicles considering social behaviors. IEEE Trans. Veh. Technol. 2020, 69, 14458–14469. [Google Scholar] [CrossRef]
- Liu, J.; Zhou, D.; Hang, P.; Ni, Y.; Sun, J. Towards Socially Responsive Autonomous Vehicles: A Reinforcement Learning Framework With Driving Priors and Coordination Awareness. IEEE Trans. Intell. Veh. 2024, 9, 827–838. [Google Scholar] [CrossRef]
- Wang, M.; Hoogendoorn, S.P.; Daamen, W.; van Arem, B.; Happee, R. Game theoretic approach for predictive lane-changing and car-following control. Transp. Res. Part C Emerg. Technol. 2015, 58, 73–92. [Google Scholar] [CrossRef]
- Wang, J.; Wang, J.; Wang, R.; Hu, C. A framework of vehicle trajectory replanning in lane exchanging with considerations of driver characteristics. IEEE Trans. Veh. Technol. 2016, 66, 3583–3596. [Google Scholar] [CrossRef]
- Lv, C.; Hu, X.; Sangiovanni-Vincentelli, A.; Li, Y.; Martinez, C.M.; Cao, D. Driving-style-based codesign optimization of an automated electric vehicle: A cyber-physical system approach. IEEE Trans. Ind. Electron. 2018, 66, 2965–2975. [Google Scholar] [CrossRef]
- MorÉn, C.B.J. Emotional learning: A computational model of the amygdala. Cybern. Syst. 2001, 32, 611–636. [Google Scholar]
- Dehkordi, B.M.; Parsapoor, A.; Moallem, M.; Lucas, C. Sensorless speed control of switched reluctance motor using brain emotional learning based intelligent controller. Energy Convers. Manag. 2011, 52, 85–96. [Google Scholar] [CrossRef]
- Motamed, S.; Setayeshi, S.; Rabiee, A. Speech emotion recognition based on a modified brain emotional learning model. Biol. Inspired Cogn. Archit. 2017, 19, 32–38. [Google Scholar] [CrossRef]
- Orłowski, M.; Wrona, T.; Pankiewicz, N.; Turlej, W. Safe and goal-based highway maneuver planning with reinforcement learning. In Advanced, Contemporary Control: Proceedings of KKA 2020—The 20th Polish Control Conference, Łódź, Poland, 2020; Springer: Berlin/Heidelberg, Germany, 2020; pp. 1261–1274. [Google Scholar]
- Turlej, W.; Mitkowski, W. Multiple Hypothesis Planning for Vehicle Control. In Proceedings of the XXI Polish Control Conference, Gliwice, Poland, 14 June 2023; Springer: Berlin/Heidelberg, Germany; pp. 245–253. [Google Scholar]
- Zhang, Z.; Wang, C.; Zhao, W.; Xu, C.; Chen, G. Driving authority allocation strategy based on driving authority real-time allocation domain. IEEE Trans. Intell. Transp. Syst. 2021, 23, 8528–8543. [Google Scholar] [CrossRef]
- Wang, M.; Wang, Z.; Talbot, J.; Gerdes, J.C. Game-theoretic planning for self-driving cars in multivehicle competitive scenarios. IEEE Trans. Robot. 2021, 37, 1313–1325. [Google Scholar] [CrossRef]
- Zhang, K.; Wang, J.; Chen, N.; Yin, G. A non-cooperative vehicle-to-vehicle trajectory-planning algorithm with consideration of driver’s characteristics. Proc. Inst. Mech. Eng. Part D J. Automob. Eng. 2019, 233, 2405–2420. [Google Scholar] [CrossRef]















| Level of Aggressiveness | High Level | Moderate Level | Low Level |
|---|---|---|---|
| Coefficient: | 0.9 | 0.5 | 0.1 |
| Parameters | Value | Parameters | Value | Parameters | Value |
|---|---|---|---|---|---|
| m | 20 | ||||
| 10 | |||||
| Scenario | Driver Intention in HSCV | HSCV | NV1 | NV2 |
|---|---|---|---|---|
| Lane change | ||||
| Lane change | ||||
| Lane change | ||||
| Lane change and give up | ||||
| Lane change | ||||
| Lane change and give up | ||||
| Lane keep | ||||
| Lane keep |
Disclaimer/Publisher’s Note: The statements, opinions and data contained in all publications are solely those of the individual author(s) and contributor(s) and not of MDPI and/or the editor(s). MDPI and/or the editor(s) disclaim responsibility for any injury to people or property resulting from any ideas, methods, instructions or products referred to in the content. |
© 2024 by the authors. Licensee MDPI, Basel, Switzerland. This article is an open access article distributed under the terms and conditions of the Creative Commons Attribution (CC BY) license (https://creativecommons.org/licenses/by/4.0/).
Share and Cite
Zhou, Y.; Huang, C.; Hang, P. Game Theory-Based Interactive Control for Human–Machine Cooperative Driving. Appl. Sci. 2024, 14, 2441. https://doi.org/10.3390/app14062441
Zhou Y, Huang C, Hang P. Game Theory-Based Interactive Control for Human–Machine Cooperative Driving. Applied Sciences. 2024; 14(6):2441. https://doi.org/10.3390/app14062441
Chicago/Turabian StyleZhou, Yangyang, Chao Huang, and Peng Hang. 2024. "Game Theory-Based Interactive Control for Human–Machine Cooperative Driving" Applied Sciences 14, no. 6: 2441. https://doi.org/10.3390/app14062441
APA StyleZhou, Y., Huang, C., & Hang, P. (2024). Game Theory-Based Interactive Control for Human–Machine Cooperative Driving. Applied Sciences, 14(6), 2441. https://doi.org/10.3390/app14062441

