GLBRF: Group-Based Lightweight Human Behavior Recognition Framework in Video Camera
Abstract
1. Introduction
- A lightweight framework: GLBRF is based on 2D CNN, which can accurately recognize human behavior in a video while significantly reducing computational cost. This means that it can be effectively used in resource-constrained environments and presents a new approach in the field of video-based behavior recognition that reduces computational overhead while providing effective recognition results.
- Improved recognition accuracy through grouping: We improved the accuracy of behavior recognition by applying grouping techniques to account for interactions between objects. This is especially useful for recognizing complex behavior patterns where multiple objects interact.
- Combining object tracking and behavior recognition: GLBRF includes object recognition, center coordinate calculation, object tracking, and grouping functions to efficiently recognize interacting group actions among recognized objects in a video. This allows for final behavior classification based on a specific number of frames, which is more reliable than single-frame behavior recognition.
2. Related Work
3. Background
3.1. You Only Look Once (YOLO)
3.2. Centroid-Tracking Algorithm
3.3. MobileNetV2
4. Proposed System
4.1. Group-Based Lightweight Human Behavior Recognition Framework
4.2. System Procedure
4.3. Object Grouping Algorithm
| Algorithm 1 Grouping | |
| 0: | : Object Centroid Coordinates |
| 1: | : Frame Sequence (0: Previous Frame, 1: Current Frame) |
| 2: | : Different Unique IDs |
| 3: | Max_ED: Maximum Euclidean Distance |
| 4: | Max_GD: Maximum Group Distance |
| 5: | FUNCTION Centroid_Coordinates_Calculation () |
| 6: | |
| 7: | RETURN |
| 8: | ENDFUNCTION |
| 9: | FUNCTION Euclidean_Distance () |
| 10: | RETURN |
| 11: | ENDFUNCTION |
| 12: | FUNCTION Grouping () |
| 13: | LOOP DO |
| 14: | IF Euclidean_Distance () Max_GD THEN |
| 15: | G ) |
| 16: | ENDIF |
| 17: | ENDLOOP |
| 18: | RETURN G |
| 19: | ENDFUNCTION |
| 20: | LOOP Frame DO |
| 21: | People Detection |
| 22: | LOOP People DO |
| 23: | IF THEN |
| 24: | Centroid_Coordinates_Calculation () |
| 25: | _ID ← Unique ID |
| 26: | ELSE |
| 27: | ← Centroid_Coordinates_Calculation () |
| 28: | LOOP DO |
| 29: | ED ← Euclidean_Distance () |
| 30: | IF ED > Max_ED THEN |
| 31: | _ID ← Unique ID |
| 32: | ELSE |
| 33: | _ID ← _ID |
| 34: | ENDIF |
| 35: | ENDLOOP |
| 36: | G ← Grouping ( ) |
| 37: | |
| 38: | _ID ← _ID |
| 39: | ENDIF |
| 40: | ENDLOOP |
| 41: | ENDLOOP |
5. System Implementation and Experimental Evaluation
5.1. Behavior Recognition Training Dataset
5.2. Behavior Recognition Learning Model
5.3. System Implementation Environment
5.4. System Implementation Result
5.4.1. Applying Object Grouping
5.4.2. Human Behavior Recognition Learning
5.4.3. Lightweight Framework for Behavior Recognition
5.4.4. GLBRF Application: Violence Recognition
5.4.5. Human Behavior Recognition without Object Grouping
5.5. Comparison of Behavior Recognition Models of GLBRF and 3D CNN
6. Conclusions
Author Contributions
Funding
Institutional Review Board Statement
Informed Consent Statement
Data Availability Statement
Conflicts of Interest
References
- Lu, J.; Nguyen, M.; Yan, W.Q. Deep Learning Methods for Human Behavior Recognition. In Proceedings of the 35th International Conference on Image and Vision Computing New Zealand (IVCNZ), Wellington, New Zealand, 25–27 November 2020; pp. 1–6. [Google Scholar]
- Fort, A.; Peruzzi, G.; Pozzebon, A. Quasi-Real Time Remote Video Surveillance Unit for LoRaWAN-based Image Transmission. In Proceedings of the 2021 IEEE International Workshop on Metrology for Industry 4.0 & IoT (MetroInd4.0&IoT), Rome, Italy, 7–9 June 2021; pp. 588–593. [Google Scholar]
- Imane, R.; Bouarifi, W.; Oujaoura, M. A Review of Computer Vision Techniques for Video Violence Detection and intelligent video surveillance systems. Int. J. 2022, 11, 62–70. [Google Scholar]
- Hsueh, Y.L.; Lie, W.N.; Guo, G.Y. Human Behavior Recognition from Multiview Videos. Inf. Sci. 2020, 517, 275–296. [Google Scholar] [CrossRef]
- Hu, K.; Jin, J.; Zheong, F.; Weng, L.; Ding, Y. Overview of behavior recognition based on deep learning. Artif. Intell. Rev. 2023, 56, 1833–1865. [Google Scholar] [CrossRef]
- Jannat, T.; Sayeed, A.; Afrin, S. Supervised Linear Discriminant Analysis for Dimension Reduction and Hyperspectral Image Classification Method Based on 2D-3D CNN. In Proceedings of the 2021 International Conference on Automation, Control and Mechatronics for Industry 4.0 (ACMI), Rajshashi, Bangladesh, 8–9 July 2021; pp. 1–6. [Google Scholar]
- Sánchez, F.L.; Hupont, I.; Tabik, S.; Herrera, F. Revisiting crowd behavior analysis through deep learning: Taxonomy, anomaly detection, crowd emotions, datasets, opportunities and prospects. Inf. Fusion 2020, 64, 318–335. [Google Scholar] [CrossRef] [PubMed]
- Munteanu, D.; Moina, D.; Zamfir, C.G.; Petrea, Ș.M.; Cristea, D.S.; Munteanu, N. Sea Mine Detection Framework Using YOLO, SSD and EfficientDet Deep Learning Models. Sensors 2022, 23, 9536. [Google Scholar] [CrossRef] [PubMed]
- Oroceo, P.P.; Kim, J.-I.; Caliwag, E.M.F.; Kim, S.-H.; Lim, W. Optimizing Face Recognition Inference with a Collaborative Edge–Cloud Network. Sensors 2022, 22, 8371. [Google Scholar] [CrossRef] [PubMed]
- Gul, M.A.; Yousaf, M.H.; Nawaz, S.; Ur Rehman, Z.; Kim, H. Patient Monitoring by Abnormal Human Activity Recognition Based on CNN Architecture. Electronics 2020, 9, 1993. [Google Scholar] [CrossRef]
- Zhang., Z.; Jin, Y.; Feng, S.; Li, Y.; Wang, T.; Tian, H. FENet: An Efficient Feature Excitation Network for Video-based Human Action Recognition. In Proceedings of the 16th IEEE International Conference on Signal Processing (ICSP), Beijing, China, 21–24 October 2022; Volume 1, pp. 540–544. [Google Scholar]
- Kong, Y.; Fu, Y. Human Action Recognition and Prediction: A Survey. Int. J. Comput. Vis. 2022, 130, 1366–1401. [Google Scholar] [CrossRef]
- Vrskova, R.; Hudec, R.; Kamencay, P.; Sykora, P. Human Activity Classification Using the 3DCNN Architecture. Appl. Sci. 2022, 12, 931. [Google Scholar] [CrossRef]
- Wang, Y.; Sun, J. Video Human Action Recognition Algorithm Based on Double Branch 3D-CNN. In Proceedings of the 15th International Congress on Image and Signal Processing, BioMedical Engineering and Informatics (CISP-BMEI), Beijing, China, 5–7 November 2022; pp. 1–6. [Google Scholar]
- Bouali, S.N.; Amara, N.E.B. 3D CNN for Human Action Recognition. In Proceedings of the 18th International Multi-Conference on Systems, Signals & Devices (SSD), Monastir, Tunisia, 22–25 March 2021; pp. 276–282. [Google Scholar]
- Vahora, S.; Galiya, K.; Sapariya, H.; Varshney, S. Comprehensive Analysis of Crowd Behavior Techniques: A Through Exploration. Int. J. Comput. Digit. Syst. 2021, 11, 991–1007. [Google Scholar] [CrossRef]
- Elbishlawi, S.; Abdelpakey, M.H.; Eltantawy, A.; Shehata, M.S.; Mohamed, M.M. Deep Learning-Based Crowd Scene Analysis Survey. J. Imag. 2020, 6, 95. [Google Scholar] [CrossRef] [PubMed]
- Lazaridis, L.; Dimou, A.; Daras, P. Abnormal Behavior Detection in Crowded Scenes Using Density Heatmaps and Optical Flow. In Proceedings of the 26th European Signal Processing Conference (EUSIPCO), Rome, Italy, 3–7 September 2018; pp. 2060–2064. [Google Scholar]
- You, Q.; Jiang, H. Action4d: Online action recognition in the crowd and clutter. In Proceedings of the IEEE/CVF Conference on Computer Vision and Pattern Recognition (CVPR), Long Beach, CA, USA, 15–20 June 2019; pp. 11857–11866. [Google Scholar]
- Liu, C.; Tao, Y.; Liang, J.; Li, K.; Chen, Y. Object Detection Based on YOLO Network. In Proceedings of the IEEE 4th Information Technology and Mechatronics Engineering Conference (ITOEC), Chongqing, China, 14–16 December 2018; pp. 799–803. [Google Scholar]
- Maity, M.; Banerjee, S.; Chaudhur, S.S. Faster R-CNN and YOLO based Vehicle detection: A Survey. In Proceedings of the 5th International Conference on Computing Methodologies and Communication (ICCMC), Erode, India, 8–10 April 2021; pp. 1442–1447. [Google Scholar]
- Fang, W.; Wang, L.; Ren, P. Tinier-YOLO: A Real-Time Object Detection Method for Constrained Environments. IEEE Access 2020, 8, 1935–1944. [Google Scholar] [CrossRef]
- Rahman, Z.; Ami, A.M.; Ullah, M.A. A Real-Time Wrong-Way Vehicle Detection Based on YOLO and Centroid Tracking. In Proceedings of the IEEE Region 10 Symposium (TENSYMP), Dhaka, Bangladesh, 5–7 June 2020; pp. 916–920. [Google Scholar]
- Sukumar, S.; Libish, T.M. Centroid Based Human Annotation for Object Tracking. In Proceedings of the 2nd International Conference on Trends in Electronics and Informatics (ICOEI), Tirunelveli, India, 11–12 May 2018; pp. 377–380. [Google Scholar]
- Nagrath, P.; Jain, R.; Madan, A.; Arora, R.; Kataria, P.; Hemanth, J. SSDMNV2: A real time DNN-based face mask detection system using single shot multibox detectore and MobileNetV2. Sustain. Cities Soc. 2021, 66, 102964. [Google Scholar] [CrossRef] [PubMed]
- Saxen, F.; Werner, P.; Handrich, S.; Othman, E.; Dinges, L.; Al-Hamadi. Face Attribute Detection with MobileNetV2 and NasNet-Mobile. In Proceedings of the 11th International Symposium on Image and Signal Processing and Analysis (ISPA), Dubrovnik, Croatia, 23–25 September 2019; pp. 176–180. [Google Scholar]
- Singh, R.; Kushwaha, A.K.S.; Chandni; Srivastava, R. Recent trends in human activity recognition–A comparative study. Cogn. Syst. Res. 2023, 77, 30–44. [Google Scholar] [CrossRef]
- Size Korea. Available online: https://sizekorea.kr (accessed on 22 January 2024).
- AI-Hub. Available online: https://aihub.or.kr (accessed on 22 January 2024).
- Dileep, P.; Das, D.; Bora, P.K. Dense Layer Dropout Based CNN Architecture for Automatic Modulation Classification. In Proceedings of the National Conference on Communications (NCC), Kharagpur, India, 21–23 February 2020; pp. 1–5. [Google Scholar]
- Garbin, C.; Zhu, X.; Marques, O. Dropout vs. batch normalization: An empirical study of their impact to deep learning. Multimed. Tools Appl. 2020, 79, 12777–12815. [Google Scholar] [CrossRef]
- Ide, H.; Kurita, T. Improvement of learning for CNN with ReLU activation by sparse regularization. In Proceedings of the International Joint Conference on Neural Networks (IJCNN), Anchorage, AK, USA, 14–19 May 2017; pp. 2684–2961. [Google Scholar]
- Sharma, S. Activation functions in neural networks. Data Sci. 2017, 6, 310–316. [Google Scholar] [CrossRef]
- Luo, Z.; Chen, Y.; Li, C.; Xiong, X.; Zhu, L. Minimum BER Criterion and Adaptive Moment Estimation Based Enhanced ICA for Wireless Communications. IEEE Access 2020, 8, 152071–152080. [Google Scholar] [CrossRef]
- Kumar, A.; Sarkar, S.; Pradhan, C. Malaria Disease Detection Using CNN Technique with SGD, RMSprop and ADAM Optimizers. Deep Learn. Tech. Biomed. Health Inform. 2019, 68, 211–230. [Google Scholar]


















| CPU | Intel Xeon W-2123 (Octa-Core) |
| GPU | NVIDIA GeForce RTX 2080 Ti |
| RAM | 32 GB |
| OS | Ubuntu 20.04.6 LTS |
| TensorFlow | 2.5.0 |
| Keras | TensorFlow built-in |
| OpenCV | 4.4.1 |
| Dataset (images) | 2000 (violence: 1000, normal: 1000) |
| Train test split | 80:20 |
| Epoch | 30 |
| Batch Size | 32 |
| Learning rate | 0.0001 |
| Training accuracy | 98.0% |
| Validation accuracy | 99.0% |
| Training loss | 0.10 |
| Validation loss | 0.05 |
| Training accuracy | 68.7% |
| Validation accuracy | 69.8% |
| Training loss | 0.51 |
| Validation loss | 0.46 |
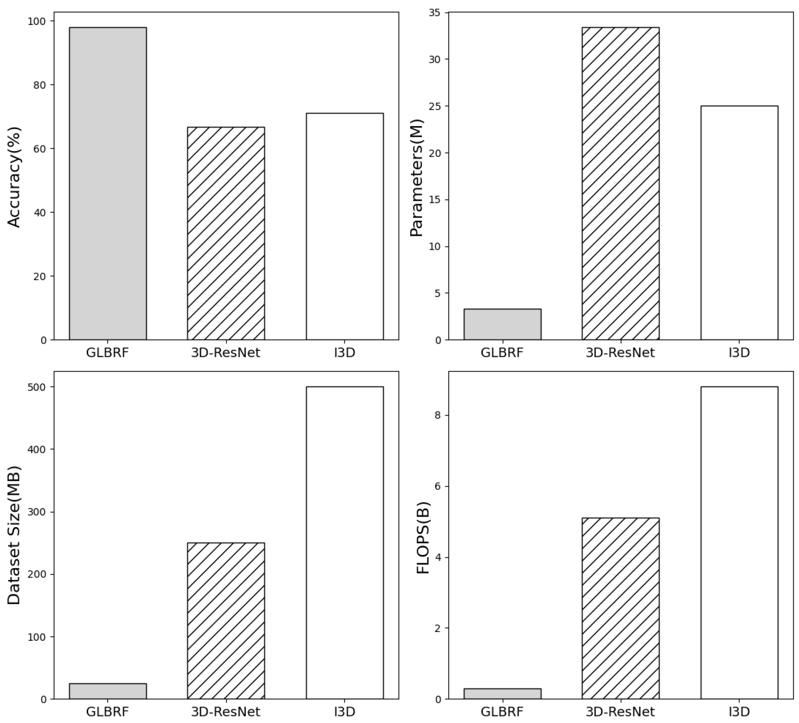
| GLBRF | 3D ResNet | I3D | |
|---|---|---|---|
| Accuracy (%) | 98.0 | 66.7 | 71.2 |
| Parameters (M) | 3.3 | 33.4 | 25.0 |
| Dataset (MB) | 25 | 250 | 500 |
| FLOPS (B) | 0.3 | 5.1 | 8.8 |
Disclaimer/Publisher’s Note: The statements, opinions and data contained in all publications are solely those of the individual author(s) and contributor(s) and not of MDPI and/or the editor(s). MDPI and/or the editor(s) disclaim responsibility for any injury to people or property resulting from any ideas, methods, instructions or products referred to in the content. |
© 2024 by the authors. Licensee MDPI, Basel, Switzerland. This article is an open access article distributed under the terms and conditions of the Creative Commons Attribution (CC BY) license (https://creativecommons.org/licenses/by/4.0/).
Share and Cite
Lee, Y.-C.; Lee, S.-Y.; Kim, B.; Kim, D.-Y. GLBRF: Group-Based Lightweight Human Behavior Recognition Framework in Video Camera. Appl. Sci. 2024, 14, 2424. https://doi.org/10.3390/app14062424
Lee Y-C, Lee S-Y, Kim B, Kim D-Y. GLBRF: Group-Based Lightweight Human Behavior Recognition Framework in Video Camera. Applied Sciences. 2024; 14(6):2424. https://doi.org/10.3390/app14062424
Chicago/Turabian StyleLee, Young-Chan, So-Yeon Lee, Byeongchang Kim, and Dae-Young Kim. 2024. "GLBRF: Group-Based Lightweight Human Behavior Recognition Framework in Video Camera" Applied Sciences 14, no. 6: 2424. https://doi.org/10.3390/app14062424
APA StyleLee, Y.-C., Lee, S.-Y., Kim, B., & Kim, D.-Y. (2024). GLBRF: Group-Based Lightweight Human Behavior Recognition Framework in Video Camera. Applied Sciences, 14(6), 2424. https://doi.org/10.3390/app14062424

