Prediction of Phase Equilibrium Conditions and Thermodynamic Stability of CO2-CH4 Gas Hydrate
Abstract
1. Introduction
2. Theoretical
2.1. Chen–Guo Model for CO2-CH4 Hydrate Formation
2.2. Multi-Parameter Empirical Model for CO2-CH4 Hydrate Formation
2.3. Clausius–Clapeyron Equation for the Dissociation Enthalpy of CO2-CH4 Hydrates
3. Results and Discussions
3.1. Prediction Results of the Chen–Guo Theoretical Model
3.2. Prediction Results of the Multi-Parameter Empirical Model
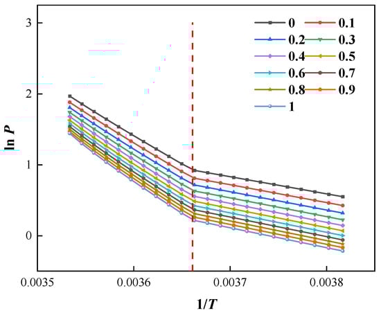
3.3. Dissociation Enthalpy of CO2-CH4 Gas Hydrate
4. Conclusions
- (1)
- The Chen–Guo theoretical model can accurately predict the conditions for the formation of CO2-CH4 mixed gas hydrates above the freezing point of water, with an absolute average relative error of 3.05%. However, the prediction error of the model below the freezing point is large.
- (2)
- Based on the phase equilibrium data obtained from the Chen–Guo and vdW–P theoretical model, a multi-parameter empirical predictive model was established using polynomial fitting. The absolute average relative deviation of the phase equilibrium pressure calculation results of this model is 3.09%, slightly better than the theoretical models. This model has the advantages of simplicity, stability, high accuracy, and applicability to a wide range of CO2 mole fractions, temperatures, and pressure. It can effectively guide the development of hydrate prevention and control technologies for CO2-driven production fluids.
- (3)
- Below the critical point, as the CO2 mole fraction in gas phase increases, the formation pressure of mixed gas hydrates decreases, making hydrate formation easier. Within a certain concentration range, an increase in CO2 mole fraction also leads to an increase in the dissociation enthalpy of mixed gas hydrates, resulting in a stronger thermodynamic stability of the hydrates. This poses a significant challenge for the prevention and control of hydrates in production fluids of CO2 flooding. However, above the critical point, the higher the CO2 mole fraction, the greater the pressure for hydrate formation.
- (4)
- As CO2 and CH4 coexist in gas phase, CO2 molecules tend to occupy the large cages of the structure I hydrate, while CH4 molecules tend to occupy the small cages, demonstrating a certain synergistic effect. The combined effect of these two factors makes the structure of hydrates more stable. In view of the prevention and control of hydrates in fluids with high CO2 mole fraction, the existing prevention and control methods of natural gas hydrates need to be re-evaluated.
Author Contributions
Funding
Institutional Review Board Statement
Informed Consent Statement
Data Availability Statement
Conflicts of Interest
References
- Chen, X.; Lin, B. Towards carbon neutrality by implementing carbon emissions trading scheme: Policy evaluation in China. Energy Policy 2021, 157, 112510. [Google Scholar] [CrossRef]
- Jiang, K.; Ashworth, P. The development of Carbon Capture Utilization and Storage (CCUS) research in China: A bibliometric perspective. Renew. Sustain. Energy Rev. 2021, 138, 110521. [Google Scholar] [CrossRef]
- Patidar, A.K.; Singh, R.K.; Choudhury, T. The prominence of carbon capture, utilization and storage technique, a special consideration on India. Gas Sci. Eng. 2023, 115, 204999. [Google Scholar] [CrossRef]
- Cao, L.Y.; Qian, W.M.; Gong, P.; Guan, S.; Duan, Y.; He, Y. Application Practices and Evaluation of Gas Injection Technology for CO2 Flooding in Subei Oilfield. Xinjiang Oil Gas 2022, 18, 46–50. [Google Scholar]
- Bougre, E.S.; Gamadi, T.D. Enhanced oil recovery application in low permeability formations by the injections of CO2, N2 and CO2/N2 mixture gases. J. Pet. Explor. Prod. 2021, 11, 1963–1971. [Google Scholar] [CrossRef]
- Li, H.; Liu, Y.; Zhao, L.; Zhu, Z.; Ma, J.; Han, Y. CO2 separate injection and matching Testing and adjustment technologies in low-permeability reservoirs. Xinjiang Oil Gas 2022, 18, 26–32. [Google Scholar]
- Xiong, X.Q.; Liao, T.; Xing, X.K.; Zhang, Z.; Dong, Z.; Bi, Y. Study Progress on Characteristics and Separation of Produced Fluid of CO2 Flooding. Xinjiang Oil Gas 2022, 8, 33–39. [Google Scholar]
- Sloan, E.D.; Koh, C.A. Clathrate Hydrate of Natural Gases, 3rd ed.; CRC Press: Boca Raton, FL, USA, 2008. [Google Scholar]
- Xu, Z.; Hu, T.; Pang, X.Q.; Wang, E.Z.; Liu, X.H.; Wu, Z.Y.; Chen, D.; Li, C.R.; Zhang, X.W.; Wang, T. Research progress and challenges of natural gas hydrate resource evaluation in the South China Sea. Petrol. Sci. 2022, 19, 13–25. [Google Scholar] [CrossRef]
- Sahith, S.J.K.; Pedapati, S.R.; Lal, B. Investigation on Gas Hydrates Formation and Dissociation in Multiphase Gas Dominant Transmission Pipelines. Appl. Sci. 2020, 10, 5052. [Google Scholar] [CrossRef]
- Altamash, T.; Khraisheh, M.; Qureshia, M.F.; Saad, M.A.; Aparicio, S.; Atilhan, M. Cost-effective alkylammonium formate-based protic ionic liquids for methane hydrate inhibition. J. Nat. Gas Sci. Eng. 2018, 58, 59–68. [Google Scholar] [CrossRef]
- Qureshi, M.F.; Atilhan, M.; Altamash, T.; Tariq, M.; Khraisheh, M.; Aparicio, S.; Tohidi, B. Gas hydrate prevention and flow assurance by using mixtures of ionic liquids and synergent compounds: Combined kinetics and thermodynamic approach. Energy Fuels 2016, 30, 3541–3548. [Google Scholar] [CrossRef]
- Altamash, T.; Qureshi, M.F.; Aparicio, S.; Aminnaji, M.; Tohidi, B.; Atilhan, M. Gas hydrates inhibition via combined biomolecules and synergistic materials at wide process conditions. J. Nat. Gas Sci. Eng. 2017, 46, 873–883. [Google Scholar] [CrossRef]
- Ghaani, M.R.; Schicks, J.M.; English, N.J. A Review of Reactor Designs for Hydrogen Storage in Clathrate Hydrates. Appl. Sci. 2021, 11, 469. [Google Scholar] [CrossRef]
- Sun, Z.F.; Li, N.; Jia, S.; Cui, J.; Yuan, Q.; Sun, C.; Chen, G. A novel method to enhance methane hydrate exploitation efficiency via forming impermeable overlying CO2 hydrate cap. Appl. Energy 2019, 240, 842–850. [Google Scholar] [CrossRef]
- Le, Q.D.; Rodriguez, C.T.; Legoix, L.N.; Pirim, C.; Chazallon, B. Influence of the initial CH4hydrate system properties on CO2 capture kinetics. Appl. Energy 2020, 280, 115843. [Google Scholar] [CrossRef]
- Ohgaki, K.; Takano, K.; Sangawa, H.; Matsubara, T.; Nakano, S. Methane exploitation by CO2 from gas hydrates—Phase equilibria for CO2-CH4 mixed hydrate system. J. Chem. Eng. Jpn. 1996, 29, 478–483. [Google Scholar] [CrossRef]
- Pei, J.; Wang, Z.; Zhang, J.; Zhang, B.; Ma, N.; Sun, B. Prediction model and risk analysis of hydrate deposition and blockage in reduced-diameter pipelines. Fuel 2023, 337, 127071. [Google Scholar] [CrossRef]
- Ismail, N.A.; Delgado-Linares, J.G.; Koh, C.A. High pressure micromechanical force method to assess the non-plugging potential of crude oils and the detection of asphaltene-hydrate mixed agglomerates. Fuel 2023, 335, 126871. [Google Scholar] [CrossRef]
- Kim, E.; Lee, S.; Lee, J.D.; Seo, Y. Influences of large molecular alcohols on gas hydrates and their potential role in gas storage and CO2 sequestration. Chem. Eng. J. 2015, 267, 117–123. [Google Scholar] [CrossRef]
- Yang, J.; Okwananke, A.; Tohidi, B.; Chuvilin, E.; Maerle, K.; Istomin, V.; Bukhanov, B.; Cheremisin, A. Flue gas injection into gas hydrate reservoirs for methane recovery and CO2 sequestration. Energy Convers. Manag. 2017, 136, 431–438. [Google Scholar] [CrossRef]
- Hassanpouryouzband, A.; Yang, J.; Okwananke, A.; Burgass, R.; Thohidi, B.; Chuvilin, E.; Istomin, V.; Bukhanov, B. An experimental investigation on the kinetics of integrated methane recovery and CO2 sequestration by injection of flue gas into permafrost methane hydrate reservoirs. Sci. Rep. 2019, 9, 16206. [Google Scholar] [CrossRef] [PubMed]
- Hassanpouryouzband, A.; Joonaki, E.; Vasheghani Farahani, M.; Takeya, S.; Ruppel, C.; Yang, J.; English, N.J.; Schicks, J.M.; Edlmann, K.; Mehrabian, H.; et al. Gas hydrates in sustainable chemistry. Chem. Soc. Rev. 2020, 49, 5225–5309. [Google Scholar] [CrossRef] [PubMed]
- Adisasmito, S.; Frank, R.J.; Sloan, E.D. Hydrates of carbon dioxide and methane mixtures. J. Chem. Eng. Data 2002, 36, 68–71. [Google Scholar] [CrossRef]
- Belandria, V.; Mohammadi, A.H.; Richon, D. Phase equilibria of clathrate hydrates of methane+carbon dioxide: New experimental data and predictions. Fluid Phase Equilibria 2010, 296, 60–65. [Google Scholar] [CrossRef]
- Sadeq, D.; Iglauer, S.; Lebedev, M.; Smith, C.; Barifcani, A. Experimental determination of hydrate phase equilibrium for different gas mixtures containing methane, carbon dioxide and nitrogen with motor current measurements. J. Nat. Gas Sci. Eng. 2017, 38, 3859–3873. [Google Scholar] [CrossRef]
- Yasuda, K.; Ohmura, R. Phase Equilibrium for Clathrate Hydrates Formed with Methane, Ethane, Propane, or Carbon Dioxide at Temperatures below the Freezing Point of Water. J. Chem. Eng. Data. 2008, 53, 2182–2188. [Google Scholar] [CrossRef]
- Wang, L.; Cui, J.; Sun, C.; Ma, Q.; Fan, S.; Wang, X.; Chen, G. Review on the applications and modifications of the Chen−Guo Model for hydrate formation and dissociation. Energy Fuels 2021, 35, 2936–2964. [Google Scholar] [CrossRef]
- Chen, G.; Guo, T. A new approach to gas hydrate modelling. Chem. Eng. J. 1998, 71, 145–151. [Google Scholar] [CrossRef]
- Mills, M.B.; Wills, M.J.; Bhirud, V.L. The calculation of density by the BWRS equation of state in process simulation contexts. AIChE J. 1980, 26, 902–910. [Google Scholar] [CrossRef]







| Gas | X × 105/MPa−1 | Y/K | Z/K | a × 10−9/MPa | b/K | c/K | β/(K/MPa) | D |
|---|---|---|---|---|---|---|---|---|
| CO2 | 1.6464 | 2799.66 | 15.9 | 963.72 | −6444.50 | 36.67 | 4.242 | −22.5 |
| CH4 | 2.3048 | 2752.29 | 23.01 | 1584.4 | −6591.43 | 27.04 |
| Models | Below Ice Point | Above Ice Point | Overall |
|---|---|---|---|
| vdW–P | 3.23% | 3.07% | 3.10% |
| Chen–Guo | 6.44% | 3.05% | 3.62% |
| Adisasmito | - | 2.82% | - |
| This work | 3.22% | 3.07% | 3.09% |
| Temperature Range | Fitted Polynomial Coefficients | B | C |
|---|---|---|---|
| a | 0 | 0 | |
| b | 0 | 0 | |
| −11.5–0 °C | c | −0.00538 | 0.43031 |
| d | 0.01063 | −1.23640 | |
| e | 0.02975 | 0.93997 | |
| a | 0 | 0 | |
| b | 0 | 0 | |
| 0–10 °C | c | −0.00305 | 0.32563 |
| d | 0.01967 | −1.02598 | |
| e | 0.10539 | 0.91792 | |
| a | 1.0743 | −4.255 | |
| b | −1.42982 | 4.279 | |
| 10–20.85 °C | c | 0.64437 | −1.3745 |
| (yCO2: 0–0.9) | d | −0.01906 | −1.4117 |
| e | 0.12073 | 0.7711 | |
| a | 0 | 0 | |
| b | 0 | 0 | |
| 10–20.85 °C | c | 31.92 | −265.96 |
| (yCO2: 0.9–1) | d | −57.146 | 472.52 |
| e | 25.866 | −211.37 |
Disclaimer/Publisher’s Note: The statements, opinions and data contained in all publications are solely those of the individual author(s) and contributor(s) and not of MDPI and/or the editor(s). MDPI and/or the editor(s) disclaim responsibility for any injury to people or property resulting from any ideas, methods, instructions or products referred to in the content. |
© 2024 by the authors. Licensee MDPI, Basel, Switzerland. This article is an open access article distributed under the terms and conditions of the Creative Commons Attribution (CC BY) license (https://creativecommons.org/licenses/by/4.0/).
Share and Cite
Ma, H.; Liu, J.; Zhang, Y.; Li, J.; Kan, J.; Li, N. Prediction of Phase Equilibrium Conditions and Thermodynamic Stability of CO2-CH4 Gas Hydrate. Appl. Sci. 2024, 14, 2320. https://doi.org/10.3390/app14062320
Ma H, Liu J, Zhang Y, Li J, Kan J, Li N. Prediction of Phase Equilibrium Conditions and Thermodynamic Stability of CO2-CH4 Gas Hydrate. Applied Sciences. 2024; 14(6):2320. https://doi.org/10.3390/app14062320
Chicago/Turabian StyleMa, Haoran, Jiaqi Liu, Yunyi Zhang, Jingming Li, Jingyu Kan, and Nan Li. 2024. "Prediction of Phase Equilibrium Conditions and Thermodynamic Stability of CO2-CH4 Gas Hydrate" Applied Sciences 14, no. 6: 2320. https://doi.org/10.3390/app14062320
APA StyleMa, H., Liu, J., Zhang, Y., Li, J., Kan, J., & Li, N. (2024). Prediction of Phase Equilibrium Conditions and Thermodynamic Stability of CO2-CH4 Gas Hydrate. Applied Sciences, 14(6), 2320. https://doi.org/10.3390/app14062320

