What’s in Your Fruit Juice?—Rapid Quality Screening Based on Infrared (FT-IR) Spectroscopy
Abstract
Featured Application
Abstract
1. Introduction
2. Materials and Methods
2.1. Materials and Reagents
2.2. Reference Analysis
2.3. FT-IR Analysis
2.4. Multivariate Data Analysis
3. Results and Discussion
3.1. Quality Parameters of Fruit Juices
3.2. IR Spectral Analysis of the Samples
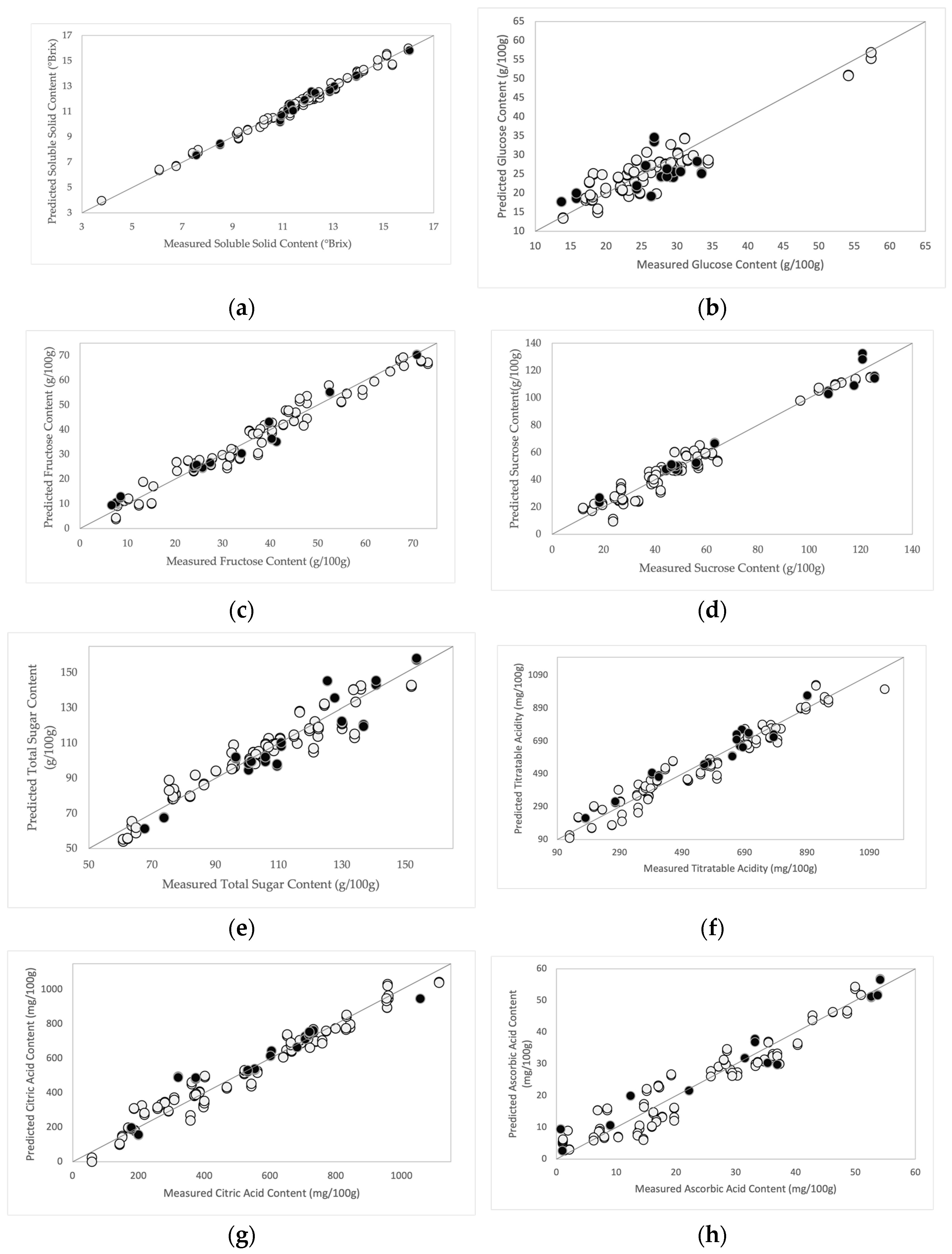
3.3. Quantification of Main Quality Attributes in Fruit Juices Using Partial Least Squares Regression (PLSR)
4. Conclusions
Author Contributions
Funding
Institutional Review Board Statement
Informed Consent Statement
Data Availability Statement
Acknowledgments
Conflicts of Interest
Appendix A
| Sample | Ingredients |
|---|---|
| 1 | Apples, Fuji apples, ascorbic acid |
| 2 | Water, cane sugar, citric acid, green tea, ascorbic acid, natural flavor, ginseng extract |
| 3 | Apples, raspberries, ascorbic acid |
| 4 | Organic orange juice |
| 5 | Water, cane sugar, lemon/orange juice concentrate blend, citric acid, lemon pulp, natural flavors |
| 6 | Apples, strawberry, ascorbic acid |
| 7 | Mango puree, apple juice, orange juice, banana puree, lemon juice, natural flavor, modified corn starch, sugar, medium chain triglycerides, beta carotene, tocopherols, rosemary extract |
| 8 | Organic orange juice |
| 9 | Organic unfiltered apple juice |
| 10 | Carrot juice, apple juice, lemon juice, cucumber juice, orange juice, vanilla bean, turmeric |
| 11 | Water, orange juice concentrate, coconut water concentrate, apple puree concentrate, banana puree, lemon juice concentrate, carrot juice concentrate, peach puree, dextrin, inulin, pectin, natural flavor, vitamins (A, D3, E, B7, B9, B3, B5, B1, B12, B2, B6, C, K1) |
| 12 | Organic beet juice, organic carrot juice, organic orange juice, organic lemon juice |
| 13 | Pineapple juice, cucumber juice, filtered water, lemon juice, lemon oil |
| 14 | Pure filtered water, apple juice concentrate, purple carrot juice from concentrate, strawberry juice from concentrate, pure filtered water, strawberry juice from concentrate, strawberry puree, lemon juice concentrate, natural flavor, apple pectin |
| 15 | Pure filtered water, apple juice concentrate, pineapple juice from concentrate, cucumber puree, lemon juice, natural flavor, apple pectin |
| 16 | Organic carrot juice, organic apple juice, organic lemon juice |
| 17 | Filtered water, unpasteurized lemon juice, cane sugar |
| 18 | Mango puree from concentrate, apple juice from concentrate, orange juice from concentrate, banana puree, pineapple juice from concentrate, lemon juice, natural flavors |
| 19 | Apple juice, mango puree, orange juice, guava puree, peach puree, strawberry puree, ascorbic acid, natural flavors, acerola juice powder, rosehips powder, zinc oxide |
| 20 | Orange juice |
| 21 | Unpasteurized grapefruit juice |
| 22 | Apple juice, pineapple juice, yellow pepper juice, cucumber juice, lime juice, mint juice |
| 23 | Orange and apple juice from concentrate, mango puree, banana puree, natural flavors, lemon juice concentrate, vitamin E, vitamin C, beta carotene, pectin, gellan gum |
| 24 | Orange and apple juices from concentrate, peach puree from concentrate, passionfruit, raspberry and pineapple juices from concentrate, guava puree, vitamin C, natural flavors, rose hips, fruit and vegetable juice (for color), lemon juice concentrate, pectin, gellan gum |
| 25 | Pomegranate juice from concentrate |
| 26 | Organic apple juice, organic carrot juice, organic red beet juice, organic banana puree, organic orange juice, organic pineapple juice, organic lemon juice, organic ground turmeric |
| 27 | Apple juice, celery juice, cucumber juice, kale juice, collard greens juice, lemon juice, ginger juice, spinach juice, chlorella powder, spirulina powder |
| 28 | Purified water, organic strawberry puree, organic raspberry puree, organic lemon juice, organic honey, organic tart cherry juice from concentrate, probiotic Bacillus coagulants GBI-30 6086, organic stevia leaf extract powder |
| 29 | Orange juice, pineapple juice, mango puree, apple juice, acerola cherry juice |
| 30 | Apple, cucumber, kale, spinach and blueberry juices from concentrate, strawberry puree from concentrate, lemon juice concentrate, natural flavors, fruit and vegetable juice (for color) |
| 31 | Pure filtered water, organic cane sugar, organic lemon juice |
| 32 | Organic unfiltered apple juice |
| 33 | Organic orange juice |
| 34 | Filtered water, organic cane sugar, organic lemon juice from concentrate, natural lemon flavor, ascorbic acid |
| 35 | Organic orange juice |
| 36 | Pomegranate juice from concentrate |
| 37 | Organic watermelon juice, organic strawberry juice, organic lime juice |
| 38 | Organic pineapple juice, organic cucumber juice, organic raspberry juice, organic lime juice, organic mint juice |
| 39 | Organic cucumber juice, organic pineapple juice, organic turmeric root juice, organic lemon juice |
| 40 | Orange juice |
| 41 | Water, orange juice concentrate |
| 42 | Unpasteurized grapefruit juice |
| 43 | Filtered water, unpasteurized lemon juice, cane sugar |
| 44 | Unpasteurized lemon juice |
| 45 | Organic orange juice, organic carrot juice, organic pineapple juice, organic apple juice, organic lime juice |
| 46 | Orange juice |
| 47 | Filtered water and concentrated apple juice, ascorbic acid, malic acid |
| 48 | Pure filtered water, sugar, lemon juice, natural flavors |
| 49 | Pure filtered water, cranberry juice, sugar, natural flavors |
| 50 | Orange juice |
| 51 | Pure filtered water, sugar, lemon juice, raspberry juice, natural flavors |
| 52 | Unpasteurized orange juice |
| 53 | Fresh pressed apple juice |
| 54 | Filtered water, organic evaporated cane juice, organic strawberry puree, organic lemon juice concentrate, organic lemon juice, organic natural lemon flavor, organic fruit and vegetable juices (for color) |
| 55 | Filtered water, pineapple juice concentrate, apple juice concentrate, clarified pineapple juice concentrate, orange juice concentrate, banana puree, citric acid, ascorbic acid, natural flavors |
| 56 | Filtered water, apple juice concentrate, orange juice concentrate, clarified pineapple juice concentrate, peach puree concentrate, grape juice concentrate, mango puree concentrate, citric acid, beta-carotene (color), natural flavors, ascorbic acid |
| 57 | Filtered water, organic orange juice concentrate, organic apple juice concentrate, organic pineapple juice concentrate, organic peach puree, organic grape juice concentrate, organic mango puree, ascorbic acid, natural flavors |
| 58 | Orange juice |
| 59 | Unpasteurized grapefruit juice |
| 60 | Filtered water, white grape juice concentrate, sugar, white cranberry juice concentrate), strawberry juice from concentrate (filtered water, strawberry juice concentrate), fruit and vegetable juice concentrate (for color), citric acid, natural flavors, sodium citrate, ascorbic acid |
| 61 | Water, sugar, apple juice concentrate, cranberry juice concentrate, raspberry juice concentrate, grape juice concentrate, fumaric acid, natural flavor, ascorbic acid, vegetable juice concentrate (for color), citric acid, sodium citrate |
| 62 | Water, cranberry juice concentrate, grape juice concentrate, apple juice concentrate, pear juice concentrate, natural flavors, ascorbic acid, pectin |
| 63 | Orange juice |
| 64 | Water, apple puree concentrate, apple juice concentrate, blackberry puree, banana puree, strawberry puree, raspberry puree, lemon juice concentrate, blueberry puree, natural flavor |
| 65 | Filtered water, mango puree, apple and peach juice concentrates, peach puree, natural flavors, ascorbic acid (for color), beta carotene (for color) |
| 66 | Filtered water, organic apple, organic cranberry, and organic pomegranate juice concentrates, organic natural flavor |
| 67 | Filtered water, grape, strawberry, peach puree and pineapple juices from concentrate, sugar, citric acid, ascorbic acid, natural flavors, pectin, ester gum, fruit and vegetable juices (color) |
| 68 | Filtered water, pineapple, orange and coconut juice concentrates, sugar, natural flavors, citric acid, ascorbic acid, pectin, fruit and vegetable juices (for color) |
References
- Rajauria, G.; Tiwari, B.K. Fruit Juices: An Overview. In Fruit Juices: Extraction, Composition, Quality and Analysis; Elsevier Inc.: Amsterdam, The Netherlands, 2018; pp. 3–13. ISBN 9780128024911. [Google Scholar]
- Monica Giusti, M.; Atnip, A.; Sweeney, C.; Rodriguez-Saona, L.E. Rapid Authentication of Fruit Juices by Infrared Spectroscopic Techniques. In Proceedings of the ACS Symposium Series; American Chemical Society: Washington, DC, USA, 2011; Volume 1081, pp. 275–299. [Google Scholar]
- Daud, S.M.M.; Sukri, N.M.; Johari, M.H.; Gnanou, J.; Manaf, F.A. Pure Juice Supplementation: Its Effect on Muscle Recovery and Sports Performance. Malays. J. Med. Sci. 2023, 30, 31–48. [Google Scholar]
- Imarc Group Fruit Juice Market Report by Product Type (100% Fruit Juice, Nectars, Juice Drinks, Concentrates, Powdered Juice, and Others), Flavor (Orange, Apple, Mango, Mixed Fruit, and Others), Distribution Channel (Supermarkets and Hypermarkets, Convenience Stores, Specialty Food Stores, Online Retail, and Others), and Region 2024–2032. Available online: https://www.imarcgroup.com/fruit-juice-manufacturing-plant (accessed on 9 January 2024).
- Falguera, V.; Ibarz, A. Squeezing Fruits in the Second Decade of the Twenty-First Century: The Current Situation of the Juice Industry. In Juice Processing Quality, Safety and Value-Added Opportunities; Falguera, V., Ibarz, A., Eds.; CRC Press: Boca Raton, FL, USA, 2014; pp. 1–12. [Google Scholar]
- National Research Council (U.S.); Institute of Medicine (U.S.). Dietary Reference Intakes for Vitamin C, Vitamin E, Selenium, and Carotenoids; National Academy Press: Washington, DC, USA, 2000.
- Levine, M.; Conry-Cantilenat, C.; Wang, Y.; Welch, R.W.; Washko, P.W.; Dhariwal, K.R.; Park, J.B.; Lazarev, A.; Graumlich, J.F.; Kings, J.; et al. Vitamin C pharmacokinetics in healthy volunteers: Evidence for a recommended dietary allowance. Proc. Natl. Acad. Sci. USA 1996, 93, 3704–3709. [Google Scholar] [CrossRef] [PubMed]
- Boo, Y.C. Ascorbic Acid (Vitamin C) as a Cosmeceutical to Increase Dermal Collagen for Skin Antiaging Purposes: Emerging Combination Therapies. Antioxidants 2022, 11, 1663. [Google Scholar] [CrossRef] [PubMed]
- Yuan, Y.V.; Baduge, S.A. The Contribution of Phytochemicals to the Antioxidant Potential of Fruit Juices. In Fruit Juices: Extraction, Composition, Quality and Analysis; Elsevier Inc.: Amsterdam, The Netherlands, 2018; pp. 95–128. ISBN 9780128024911. [Google Scholar]
- Martí, N.; Lorente, J.; Valero, M.; Ibarz, A.; Saura, D. Recovery and Use of By-Products from Fruit Juice Production. In Juice Processing Quality, Safety and Value-Added Opportunities; Falguera, V., Ibarz, A., Eds.; CRC Press: Boca Raton, FL, USA, 2014; pp. 41–74. ISBN 9781466577343. [Google Scholar]
- Augusto, P.E.D.; Vitali, A.A. Assessing Juice Quality: Advances in the Determination of Rheological Properties of Fruit Juices and Derivatives. In Juice Processing Quality, Safety and Value-Added Opportunities; Falguera, V., Ibarz, A., Eds.; CRC Press: Boca Raton, FL, USA, 2014; pp. 83–136. [Google Scholar]
- Echeverría, G.; López, M.L. Assessing Juice Quality: Analysis of Organoleptic Properties of Fruit Juices. In Juice Processing Quality, Safety and Value-Added Opportunities; CRC Press: Boca Raton, FL, USA, 2014; pp. 137–150. [Google Scholar]
- Piljac-Žegarac, J.; Valek, L.; Martinez, S.; Belščak, A. Fluctuations in the Phenolic Content and Antioxidant Capacity of Dark Fruit Juices in Refrigerated Storage. Food Chem. 2009, 113, 394–400. [Google Scholar] [CrossRef]
- Talcott, S.T.; Percival, S.S.; Pittet-Moore, J.; Celoria, C. Phytochemical Composition and Antioxidant Stability of Fortified Yellow Passion Fruit (Passiflora edulis). J. Agric. Food Chem. 2003, 51, 935–941. [Google Scholar] [CrossRef]
- Shi, Y.; Pu, D.; Zhou, X.; Zhang, Y. Recent Progress in the Study of Taste Characteristics and the Nutrition and Health Properties of Organic Acids in Foods. Foods 2022, 11, 3408. [Google Scholar] [CrossRef] [PubMed]
- Babey, S.H.; Jones, M.; Yu, H.; Goldstein, H. Bubbling Over: Soda Consumption and Its Link to Obesity in California. UCLA Cent. Health Policy Res. Brief 2009, PB2009-5, 1–8. [Google Scholar]
- Ludwig, D.S.; Peterson, K.E.; Gortmaker, S.L. Relation between Consumption of Sugar-Sweetened Drinks and childhood Obesity: A Prospective, Observational Analysis. Lancet 2001, 357, 505–508. [Google Scholar] [CrossRef]
- Malik, V.S.; Schulze, M.B.; Hu, F.B. Intake of Sugar-Sweetened Beverages and Weight Gain: A Systematic Review. Am. J. Clin. Nutr. 2006, 84, 274–288. [Google Scholar] [CrossRef]
- Vartanian, L.R.; Schwartz, M.B.; Brownell, K.D. Effects of Soft Drink Consumption on Nutrition and Health: A Systematic Review and Meta-Analysis. Am. J. Public Health 2007, 97, 667–675. [Google Scholar] [CrossRef]
- Bray, G.A.; Nielsen, S.J.; Popkin, B.M. Consumption of High-Fructose Corn Syrup in Beverages May Play a Role in the Epidemic of Obesity. Am. J. Clin. Nutr. 2004, 79, 537–543. [Google Scholar] [CrossRef] [PubMed]
- Fung, T.T.; Malik, V.; Rexrode, K.M.; Manson, J.E.; Willett, W.C.; Hu, F.B. Sweetened Beverage Consumption and Risk of Coronary Heart Disease in Women. Am. J. Clin. Nutr. 2009, 89, 1037–1042. [Google Scholar] [CrossRef] [PubMed]
- Assy, N.; Nasser, G.; Kamayse, I.; Nseir, W.; Beniashvili, Z.; Djibre, A. Maria Grosovski Soft Drink Consumption Linked with Fatty Liver in the Absence of Traditional Risk Factors. Can. J. Gastroenterol. Hepatol. 2008, 22, 811–816. [Google Scholar]
- Palmer, J.R.; Boggs, D.A.; Krishnan, S.; Hu, F.B.; Singer, M.; Rosenberg, L. Sugar-Sweetened Beverages and Incidence of Type 2 Diabetes Mellitus in African American Women. Arch. Intern. Med. 2008, 168, 1487–1492. [Google Scholar] [CrossRef] [PubMed]
- Schulze, M.B.; Manson, J.E.; Ludwig, D.S.; Colditz, G.A.; Stampfer, M.J.; Willett, W.C.; Hu, F.B. Sugar-Sweetened Beverages, Weight Gain, and Incidence of Type 2 Diabetes in Young and Middle-Aged Women. J. Am. Med. Assoc. 2004, 292, 927–934. [Google Scholar] [CrossRef] [PubMed]
- Davis, J.N.; Ventura, E.E.; Weigenberg, M.J.; Ball, G.D.; Cruz, M.L.; Shaibi, G.Q.; Goran, M.I. The Relation of Sugar Intake to β Cell Function in Overweight Latino Children. Am. J. Clin. Nutr. 2005, 82, 1004–1010. [Google Scholar] [CrossRef]
- Ventura, E.E.; Davis, J.N.; Goran, M.I. Sugar Content of Popular Sweetened Beverages Based on Objective Laboratory Analysis: Focus on Fructose Content. Obesity 2011, 19, 868–874. [Google Scholar] [CrossRef]
- Wang, Y.C.; Bleich, S.N.; Gortmaker, S.L. Increasing Caloric Contribution from Sugar-Sweetened Beverages and 100% Fruit Juices among US Children and Adolescents, 1988–2004. Pediatrics 2008, 121, e1604–e1614. [Google Scholar] [CrossRef]
- Faith, M.S.; Dennison, B.A.; Edmunds, L.S.; Stratton, H.H. Fruit Juice Intake Predicts Increased Adiposity Gain in Children from Low-Income Families: Weight Status-by-Environment Interaction. Pediatrics 2006, 118, 2066–2075. [Google Scholar] [CrossRef]
- Dennison, B.A.; Rockwell, H.L.; Baker, S.L. Excess Fruit Juice Consumption by Preschool-Aged Children Is Associated with Short Stature and Obesity. Pediatrics 1997, 99, 15–22. [Google Scholar] [CrossRef] [PubMed]
- UC Food Safety Food Labeling. Available online: https://ucfoodsafety.ucdavis.edu/processing-distribution/regulations-processing-food/food-labeling (accessed on 24 January 2024).
- European Commission Food Information to Consumers-Legislation. Available online: https://food.ec.europa.eu/safety/labelling-and-nutrition/food-information-consumers-legislation_en (accessed on 24 January 2024).
- U.S. Food & Drug. Administration Guidance for Industry: Guide for Developing and Using Data Bases for Nutrition Labeling. Available online: https://www.fda.gov/regulatory-information/search-fda-guidance-documents/guidance-industry-guide-developing-and-using-data-bases-nutrition-labeling (accessed on 24 January 2024).
- Kall, M.A. Ascorbic Acid Properties and Determination. In Encyclopedia of Food Sciences and Nutrition; Caballero, B., Trugo, L.C., Finglas, P.M., Eds.; Academic Press: Cambridge, MA, USA, 2003; pp. 316–324. ISBN 012227055X. [Google Scholar]
- Geesink, G.H.; Schreutelkamp, F.H.; Frankhuizen, R.; Vedder, H.W.; Faber, N.M.; Kranen, R.W.; Gerritzen, M.A. Prediction of Pork Quality Attributes from near Infrared Reflectance Spectra. Meat Sci. 2003, 65, 661–668. [Google Scholar] [CrossRef] [PubMed]
- Elmasry, G.; Sun, D.W.; Allen, P. Near-Infrared Hyperspectral Imaging for Predicting Colour, PH and Tenderness of Fresh Beef. J. Food Eng. 2012, 110, 127–140. [Google Scholar] [CrossRef]
- Wold, S.; Sjostrom, M.; Eriksson, L. PLS-Regression: A Basic Tool of Chemometrics. Chemom. Intell. Lab. Syst. 2001, 58, 109–130. [Google Scholar] [CrossRef]
- Zhao, N.; Wu, Z.S.; Zhang, Q.; Shi, X.Y.; Ma, Q.; Qiao, Y.J. Optimization of Parameter Selection for Partial Least Squares Model Development. Sci. Rep. 2015, 5, 11647. [Google Scholar] [CrossRef]
- Williams, P. The RPD Statistic: A Tutorial Note. NIR News 2014, 25, 22–26. [Google Scholar] [CrossRef]
- Hayes, D.J.M.; Hayes, M.H.B.; Leahy, J.J. Use of near Infrared Spectroscopy for the Rapid Low-Cost Analysis of Waste Papers and Cardboards. Faraday Discuss 2017, 202, 465–482. [Google Scholar] [CrossRef]
- Pisoschi, A.M.; Danet, A.F.; Kalinowski, S. Ascorbic Acid Determination in Commercial Fruit Juice Samples by Cyclic Voltammetry. J. Autom. Methods Manag. Chem. 2008, 2008, 937651. [Google Scholar] [CrossRef]
- Kabasakalis, V.; Siopidou, D.; Moshatou, E. Ascorbic Acid Content of Commercial Fruit Juices and Its Rate of Loss upon Storage. Food Chem. 2000, 70, 325–328. [Google Scholar] [CrossRef]
- Serpen, J.Y. Comparison of Sugar Content in Bottled 100% Fruit Juice versus Extracted Juice of Fresh Fruit. Food Nutr. Sci. 2012, 3, 1509–1513. [Google Scholar] [CrossRef]
- Chanson-Rolle, A.; Braesco, V.; Chupin, J.; Bouillot, L. Nutritional Composition of Orange Juice: A Comparative Study between French Commercial and Home-Made Juices. Food Nutr. Sci. 2016, 7, 252–261. [Google Scholar] [CrossRef]
- Ścibisz, I.; Reich, M.; Bureau, S.; Gouble, B.; Causse, M.; Bertrand, D.; Renard, C.M.G.C. Mid-Infrared Spectroscopy as a Tool for Rapid Determination of Internal Quality Parameters in Tomato. Food Chem. 2011, 125, 1390–1397. [Google Scholar] [CrossRef]
- Wilkerson, E.D.; Anthon, G.E.; Barrett, D.M.; Sayajon, G.F.G.; Santos, A.M.; Rodriguez-Saona, L.E. Rapid Assessment of Quality Parameters in Processing Tomatoes Using Hand-Held and Benchtop Infrared Spectrometers and Multivariate Analysis. J. Agric. Food Chem. 2013, 61, 2088–2095. [Google Scholar] [CrossRef]
- Kelly, J.F.D.; Downey, G. Detection of Sugar Adulterants in Apple Juice Using Fourier Transform Infrared Spectroscopy and Chemometrics. J. Agric. Food Chem. 2005, 53, 3281–3286. [Google Scholar] [CrossRef]
- Lorber, A.; Kowalskit, B.R. Alternatives to Cross-Validatory Estimation of the Number of Factors in Multivariate Calibration. Appl. Spectrosc. 1990, 44, 1464–1470. [Google Scholar] [CrossRef]
- Gowen, A.A.; Downey, G.; Esquerre, C.; O’Donnell, C.P. Preventing Over-Fitting in PLS Calibration Models of near-Infrared (NIR) Spectroscopy Data Using Regression Coefficients. J. Chemom. 2011, 25, 375–381. [Google Scholar] [CrossRef]
- Zhang, L.; Schultz, M.A.; Cash, R.; Barrett, D.M.; McCarthy, M.J. Determination of Quality Parameters of Tomato Paste Using Guided Microwave Spectroscopy. Food Control 2014, 40, 214–223. [Google Scholar] [CrossRef]
- Siegmann, B.; Jarmer, T. Comparison of Different Regression Models and Validation Techniques for the Assessment of Wheat Leaf Area Index from Hyperspectral Data. Int. J. Remote Sens. 2015, 36, 4519–4534. [Google Scholar] [CrossRef]
- Duarte, I.F.; Barros, A.; Delgadillo, I.; Almeida, C.; Gil, A.M. Application of FTIR Spectroscopy for the Quantification of Sugars in Mango Juice as a Function of Ripening. J. Agric. Food Chem. 2002, 50, 3104–3111. [Google Scholar] [CrossRef]
- Cassani, L.; Santos, M.; Gerbino, E.; del Rosario Moreira, M.; Gómez-Zavaglia, A. A Combined Approach of Infrared Spectroscopy and Multivariate Analysis for the Simultaneous Determination of Sugars and Fructans in Strawberry Juices During Storage. J. Food Sci. 2018, 83, 631–638. [Google Scholar] [CrossRef]
- Uddin, M.N.; Majumder, A.K.; Ahamed, S.; Saha, B.K.; Motalab, M. Development of Method for Rapid Quantification of Glucose, Fructose and Sucrose in Mango Juice by Chemometric Techniques in De-Noised FTIR Spectroscopic Data. Int. J. Food Sci. Nutr. Diet. 2017, 6, 338–344. [Google Scholar] [CrossRef]
- Bureau, S.; Vilas-Boas, A.; Giovinazzo, R.; Page, D. Quality Improvement of the Tomato-Based Products Using Infrared Tool along the Production Chain. Acta Hortic. 2019, 169–174. [Google Scholar] [CrossRef]



| Soluble Solid (°Brix) | Glucose (g/100 g) | Fructose (g/100 g) | Sucrose (g/100 g) | Total Sugar (g/100 g) | Titratable Acidity (mg/100 g) | Citric Acid (mg/100 g) | Ascorbic Acid (mg/100 g) | |
|---|---|---|---|---|---|---|---|---|
| range | 3.78–16.03 | 13.7–66.0 | 6.6–73.1 | 11.9–125.4 | 60.8–153.5 | 129.1–1139.1 | 18.6–1114.0 | 0.70–54.10 |
| avg ± stdev | 11.58 ± 2.25 | 26.9 ± 9.6 | 36.2 ± 17.9 | 54.7 ± 30.8 | 105.4 ± 22.2 | 559.5 ± 230.5 | 519.2 ± 274.9 | 23.52 ± 15.53 |
| Calibration Model | External Validation Model | ||||||||||
|---|---|---|---|---|---|---|---|---|---|---|---|
| Parameter | Range | N a | Factor | SECV b | RCV c | Range | N d | SEP e | RPre f | RPD g | RER h |
| Soluble solid (°Brix) | 3.78–15.99 | 53 | 5 | 0.23 | 1 | 7.56–16.03 | 14 | 0.26 | 0.99 | 8.84 | 32.38 |
| Glucose (g/100 g) | 13.90–57.34 | 51 | 5 | 3.01 | 0.93 | 13.69–33.43 | 13 | 3.49 | 0.93 | 3.49 | 5.66 |
| Fructose (g/100 g) | 7.52–73.08 | 53 | 2 | 3.52 | 0.98 | 6.65–70.81 | 13 | 3.06 | 0.99 | 5.91 | 20.94 |
| Sucrose (g/100 g) | 11.93–123.78 | 46 | 6 | 5.75 | 0.98 | 18.33–125.36 | 12 | 6.03 | 0.99 | 6.11 | 17.74 |
| Total sugar (g/100 g) | 60.84–151.87 | 53 | 5 | 6.32 | 0.95 | 67.61–153.50 | 14 | 8.96 | 0.95 | 3.10 | 9.59 |
| Titratable acidity (mg/100 g) | 129.15–1139.12 | 53 | 5 | 59.42 | 0.97 | 180.09–891.04 | 14 | 54.22 | 0.97 | 4.43 | 13.11 |
| Citric acid (mg/100 g) | 18.6–1114.0 | 53 | 5 | 55.35 | 0.98 | 178.1–1056.9 | 14 | 66.04 | 0.96 | 4.31 | 13.31 |
| Ascorbic acid (mg/100 g) | 1.04–50.90 | 50 | 5 | 4.37 | 0.95 | 0.70–54.10 | 12 | 4.53 | 0.97 | 3.17 | 11.79 |
Disclaimer/Publisher’s Note: The statements, opinions and data contained in all publications are solely those of the individual author(s) and contributor(s) and not of MDPI and/or the editor(s). MDPI and/or the editor(s) disclaim responsibility for any injury to people or property resulting from any ideas, methods, instructions or products referred to in the content. |
© 2024 by the authors. Licensee MDPI, Basel, Switzerland. This article is an open access article distributed under the terms and conditions of the Creative Commons Attribution (CC BY) license (https://creativecommons.org/licenses/by/4.0/).
Share and Cite
Aykas, D.P.; Rodriguez-Saona, L. What’s in Your Fruit Juice?—Rapid Quality Screening Based on Infrared (FT-IR) Spectroscopy. Appl. Sci. 2024, 14, 1654. https://doi.org/10.3390/app14041654
Aykas DP, Rodriguez-Saona L. What’s in Your Fruit Juice?—Rapid Quality Screening Based on Infrared (FT-IR) Spectroscopy. Applied Sciences. 2024; 14(4):1654. https://doi.org/10.3390/app14041654
Chicago/Turabian StyleAykas, Didem P., and Luis Rodriguez-Saona. 2024. "What’s in Your Fruit Juice?—Rapid Quality Screening Based on Infrared (FT-IR) Spectroscopy" Applied Sciences 14, no. 4: 1654. https://doi.org/10.3390/app14041654
APA StyleAykas, D. P., & Rodriguez-Saona, L. (2024). What’s in Your Fruit Juice?—Rapid Quality Screening Based on Infrared (FT-IR) Spectroscopy. Applied Sciences, 14(4), 1654. https://doi.org/10.3390/app14041654
