Numerical and Experimental Characterization of a Coanda-Type Industrial Air Amplifier
Abstract
1. Introduction
2. Air Amplifier Setup
Mass Flow Measurement Procedure
3. Experimental Setup
3.1. Primary Flow Pressure Line
- A PFD-202-20 volumetric mass flow measurement device, with a flow rate range from 100 to 2000 NLPM and a diameter section of 15 mm, was chosen to determine the mass flow entering the air amplifier. Following the specifications of the air amplifier manufacturer, a maximum volumetric mass flow of 700–800 NLPM was expected. The PFD-202-20 was designed for clean compressed air, has a resolution of 5 NLPM and a maximum operating pressure of 1 MPa, and allows for cumulative flow rate measurements. Measurements are given in NLPM units.
- A ball valve (with minimal pressure loss when fully opened) was placed downstream from the flow measurement device, ensuring that no disturbances were made on the measurements.
- A CKD digital pressure sensor (PPX Series) provided static pressure measurements at the high-pressure inlet of the air amplifier.
3.2. Manufacturing and Assembly of the Venturi Tube
3.3. Venturi Tube Instrumentation
3.4. Wake Velocity Measurements
4. Numerical Methodology
4.1. Governing Equations and Boundary Conditions
4.2. Grid Convergence
4.3. Axisymmetric Setup
5. Results
5.1. Experimental Characterization
5.1.1. Blowing Mode: Analysis of the Flow Entrained from an Upstream Location
5.1.2. Suction Mode: Analysis of the Flow Entrained from a Downstream Location
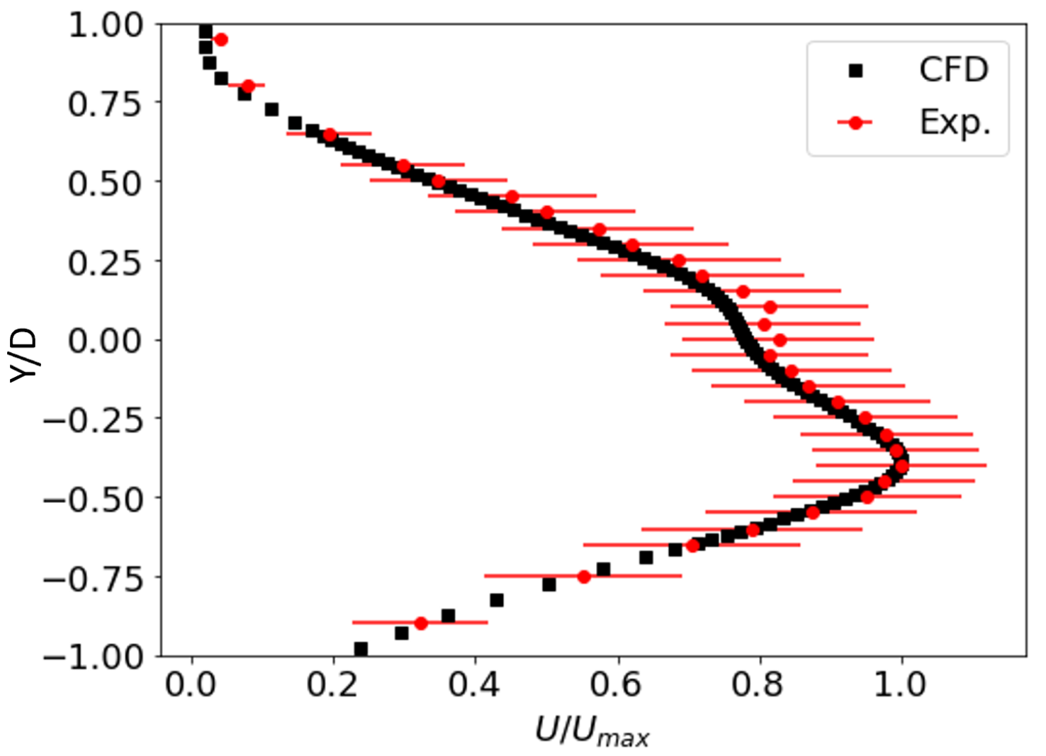
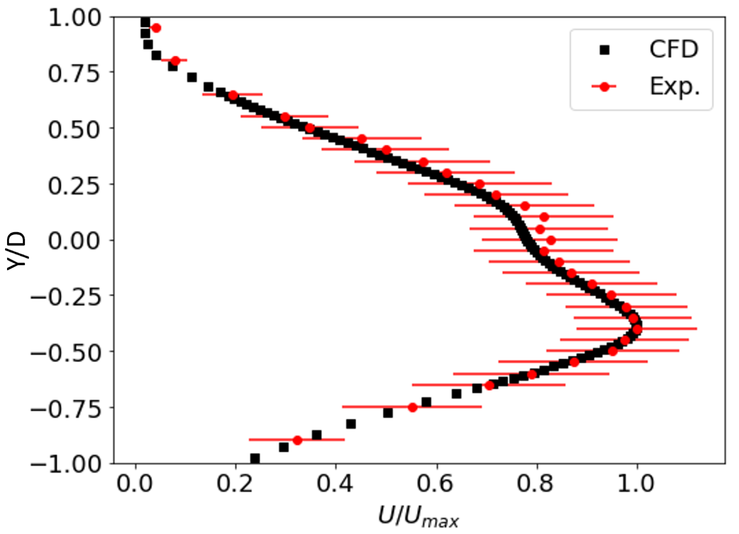
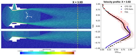
5.2. Experimental–Numerical Correlation
5.3. Numerical Characterization
5.3.1. Flow Pattern Analysis
5.3.2. Analysis of the Effect of the Injection Gap
5.3.3. Geometry Sensitivity Study
6. Conclusions
Author Contributions
Funding
Institutional Review Board Statement
Informed Consent Statement
Data Availability Statement
Acknowledgments
Conflicts of Interest
References
- Rubinetti, D.; Iranshahi, K.; Onwude, D.; Nicolaï, B.; Xie, L.; Defraeye, T. Electrohydrodynamic air amplifier for low-energy airflow generation—An experimental proof-of-concept. Front. Energy Effic. 2023, 1, 1140586. [Google Scholar] [CrossRef]
- Dai, H.K.; Huang, W.; Fu, L.; Lin, C.H.; Wei, D.; Dong, Z.; You, R.; Chen, C. Investigation of pressure drop in flexible ventilation ducts under different compression ratios and bending angles. Build. Simul. 2021, 14, 1251–1261. [Google Scholar] [CrossRef]
- Coanda, H. Propelling Device. US Patent 2,108,652, 5 February 1938. [Google Scholar]
- Morison, J.; Smith, D. Calculation of an Axisymmetric Turbulent Wall Jet over a Surface of Convex Curvature. Intl. J. Heat Fluid Flow 1984, 5, 139–148. [Google Scholar] [CrossRef]
- Smith, D.; Gilchrist, A. The Compressible Coanda Wall Jet—An Experimental Study of Jet Structure and Breakaway. Intl. J. Heat Fluid Flow 1987, 8, 156–164. [Google Scholar] [CrossRef]
- Gilchrist, A.; Smith, D. Compressible Coanda Wall Jet: Predictions of Jet Structures and Comparison with Experiment. Intl. J. Heat Fluid Flow 1988, 9, 99–107. [Google Scholar] [CrossRef]
- Smith, D.; Senior, P. The Effect of Base Steps and Axisymmetry on Supersonic Jets over Coanda Surfaces. Intl. J. Heat Fluid Flow 1994, 15, 291–298. [Google Scholar] [CrossRef]
- Kim, H.; Raghunathan, S.; Setoguchi, T.; Matsuo, S. Experimental and numerical studies of supersonic coanda wall jets. In Proceedings of the 38th Aerospace Sciences Meeting and Exhibit, Berlin, Germany, 14 September–9 October 2000; p. 814. [Google Scholar] [CrossRef]
- Ameri, M. An Experimental and Theoretical Study of Coanda Ejectors. Ph.D. Thesis, Case Western Reserve University, Cleveland, OH, USA, 1993. [Google Scholar]
- Wallace, J.; Choong, C. Fan Heater. US Patent D672,023 S, December 4, 2012. [Google Scholar]
- Rubinetti, D.; Iranshahi, K.; Onwude, D.I.; Xie, L.; Nicolaï, B.; Defraeye, T. An in-silico proof-of-concept of electrohydrodynamic air amplifier for low-energy airflow generation. J. Clean. Prod. 2023, 398, 136531. [Google Scholar] [CrossRef]
- Alimohammadi, S.; Persoons, T. A Novel Linear Air Amplifier Technology to Replace Rotary Fans in Data Center Server Rack Cooling. In Proceedings of the 26th International Workshop on Thermal Investigations of ICs and Systems (THERMINIC), Berlin, Germany, 14 September–9 October 2020; pp. 1–6. [Google Scholar] [CrossRef]
- Oude Essink, E.H.; Persoons, T.; Alimohammadi, S. Parametric Investigation of Inlet Pressure and Diffuser Angle Impact on Adjustable Air Amplifier Performance. In Proceedings of the 2022 28th International Workshop on Thermal Investigations of ICs and Systems (THERMINIC), Dublin, Ireland, 28–30 September 2022; pp. 1–6. [Google Scholar] [CrossRef]
- Mo, S.; Wang, P.; Gao, R.; Chen, S.; Li, S. CFD-Based Numerical Simulation on the Combined Spraying Dust Suppression Device. Atmosphere 2022, 13, 1543. [Google Scholar] [CrossRef]
- Carlini, M.; Mennuni, A.; Rotondo, M.; Morelli, S. Numerical Simulation of Innovative Air Capture Systems Based on Bladeless Technology with Coandă effect. J. Fluid Flow Heat Mass Transf. 2022, 9, 1–9. [Google Scholar] [CrossRef]
- Sang-Hoon, S.; Ran-Hui, K.; Sang-Min, K.; Nam-Hoon, L.; Jin-Kyu, P. Effect of landfill in-situ aeration with novel air amplifier: A case study. Environ. Eng. Res. 2023, 28, 230051. [Google Scholar] [CrossRef]
- Dixon, R.B.; Muddiman, D.C.; Hawkridge, A.M.; Fedorov, A. Probing the Mechanisms of an Air Amplifier Using a LTQ-FT-ICR-MS and Fluorescence Spectroscopy. J. Am. Soc. Mass Spectrom. 2007, 18, 1909–1913. [Google Scholar] [CrossRef] [PubMed]
- Robichaud, G.; Dixon, R.B.; Potturi, A.S.; Cassidy, D.; Edwards, J.R.; Sohn, A.; Dow, T.A.; Muddiman, D.C. Design, modeling, fabrication, and evaluation of the air amplifier for improved detection of biomolecules by electrospray ionization mass spectrometry. Int. J. Mass Spectrom. 2011, 300, 99–107. [Google Scholar] [CrossRef] [PubMed]
- Jurčíček, P.; Liu, L.; Zou, H. Numerical simulation of Monte Carlo ion transport at atmospheric pressure within improved air amplifier geometry. Int. J. Ion Mobil. Spectrom. 2014, 17, 157–166. [Google Scholar] [CrossRef]
- Kim, H.D.; Rajesh, G.; Setoguchi, T.; Matsuo, S. Optimization study of a Coanda ejector. J. Therm. Sci. 2006, 15, 331–336. [Google Scholar] [CrossRef]
- Lee, J.M.; Cho, M.Y.; Hong, C.K.; Yoon, S.M.; Kim, H.S.; Kim, Y.J. Effect of Coanda nozzle clearance on the flow characteristics of air amplifier. In Proceedings of the 2014 ISFMFE—6th International Symposium on Fluid Machinery and Fluid Engineering, Wuhan, China, 22 October 2014; pp. 1–6. [Google Scholar] [CrossRef]
- Oude Essink, E.H.; Persoons, T.; O’Brien, G.; Alimohammadi, S. Numerical Investigation of Adjustable Air Amplifiers as an Alternative to Fans in Data Centre Servers. In Proceedings of the 2022 21st IEEE Intersociety Conference on Thermal and Thermomechanical Phenomena in Electronic Systems (iTherm), San Diego, CA, USA, 1 May 2022–3 June 2022; pp. 1–6. [Google Scholar] [CrossRef]
- Lee, J.M.; Jo, Y.S.; Kim, S.M.; Kim, Y.J. Effect of Aspect Ratios on the Performance Characteristics of Air Amplifier. Volume 1A: Symposia, Part 2. In Proceedings of the Fluids Engineering Division Summer Meeting, Seoul, South Korea, 26–31 July 2015. [Google Scholar] [CrossRef]
- Exair Web Catalog 31 Air Amplifiers. 2022. Available online: https://www.pneuma.pl/wp-content/uploads/2017/08/AirAmplifiers.pdf (accessed on 5 January 2022).
- ISO 5167-3:2003; Medición del Caudal de Fluidos Mediante Dispositivos de Presión Diferencial Intercalados en Conductos en Carga de SeccióN Transversal Circular. AENOR: Madrid, Spain, 2003.
- Comte-Bellot, G. Hot-Wire Anemometry. Annu. Rev. Fluid Mech. 1976, 8, 209–231. [Google Scholar] [CrossRef]
- Menter, F. Zonal two equation k-ω turbulence models for aerodynamic flows. In Proceedings of the 23rd Fluid Dynamics, Plasmadynamics, and Lasers Conference, Orlando, FL, USA, 6–9 July 1993; p. 2906. [Google Scholar] [CrossRef]
- Shih, T.H.; Liou, W.W.; Shabbir, A.; Yang, Z.; Zhu, J. A new k-ε eddy viscosity model for high reynolds number turbulent flows. Comput. Fluids 1995, 24, 227–238. [Google Scholar] [CrossRef]




























| Dimension [mm] | |
|---|---|
| 9.525 | |
| 121.3 | |
| 97.42 | |
| 76.50 | |
| 86.00 | |
| [0.08, 0.15, 0.23, 0.38] |
| Grid | Reference Grid Size [mm] | Number of Elements | [%] | |
|---|---|---|---|---|
| 5 | 622,536 | 21.22 | - | |
| 2.5 | 2,784,133 | 24.06 | 11.8 | |
| 1.25 | 9,025,234 | 23.62 | 1.9 | |
| 0.625 | 15,103,121 | 23.90 | 1.2 |
| [MPa] | [mm] | [m] | / | [kg/s] | [kg/s] | [SLPM] | [SLPM] | |
|---|---|---|---|---|---|---|---|---|
| 0.45 | 0.23 | 0.0765 | 334 | 0.05 | 0.38 | 2380 | 18,142 | 7.6 |
| 0.45 | 0.23 | 0.3060 | 1338 | 0.17 | 2.42 | 8275 | 114,205 | 13.8 |
| 0.45 | 0.23 | 0.3825 | 1673 | 0.22 | 3.49 | 10,343 | 164,024 | 15.8 |
| 0.60 | 0.23 | 0.3825 | 1673 | 0.28 | 4.68 | 13,247 | 220,177 | 16.6 |
| 0.80 | 0.23 | 0.3825 | 1673 | 0.42 | 5.68 | 16,996 | 267,168 | 15.7 |
| [mm] | [m] | / | [kg/s] | [kg/s] | [SLPM] | [SLPM] | |
|---|---|---|---|---|---|---|---|
| 0.23 | 0.0383 | 167 | 0.026 | 0.031 | 1219 | 1478 | 1.2 |
| 0.0765 | 334 | 0.051 | 0.386 | 2381 | 18,142 | 7.6 | |
| 0.1530 | 669 | 0.097 | 0.974 | 4568 | 45,819 | 10.0 | |
| 0.2295 | 1003 | 0.148 | 1.910 | 6963 | 89,853 | 12.9 | |
| 0.3060 | 1338 | 0.176 | 2.428 | 8275 | 114,205 | 13.8 | |
| 0.3825 | 1673 | 0.220 | 3.487 | 10,344 | 164,025 | 15.9 | |
| 0.4590 | 2007 | 0.253 | 2.687 | 11,916 | 126,403 | 10.6 | |
| 0.6120 | 2677 | 0.314 | 2.513 | 14,758 | 118,216 | 8.0 | |
| 0.08 | 0.0765 | 1004 | 0.015 | 0.199 | 693 | 9368 | 13.5 |
| 0.1148 | 1506 | 0.021 | 0.313 | 981 | 14,729 | 15.0 | |
| 0.1530 | 2008 | 0.026 | 0.446 | 1240 | 20,986 | 16.9 | |
| 0.1913 | 2510 | 0.031 | 0.413 | 1481 | 19,434 | 13.1 | |
| 0.2295 | 3012 | 0.033 | 0.301 | 1557 | 14,159 | 9.1 |
Disclaimer/Publisher’s Note: The statements, opinions and data contained in all publications are solely those of the individual author(s) and contributor(s) and not of MDPI and/or the editor(s). MDPI and/or the editor(s) disclaim responsibility for any injury to people or property resulting from any ideas, methods, instructions or products referred to in the content. |
© 2024 by the authors. Licensee MDPI, Basel, Switzerland. This article is an open access article distributed under the terms and conditions of the Creative Commons Attribution (CC BY) license (https://creativecommons.org/licenses/by/4.0/).
Share and Cite
Chávez-Módena, M.; Martinez-Cava, A.; Marín-Coca, S.; González, L. Numerical and Experimental Characterization of a Coanda-Type Industrial Air Amplifier. Appl. Sci. 2024, 14, 1524. https://doi.org/10.3390/app14041524
Chávez-Módena M, Martinez-Cava A, Marín-Coca S, González L. Numerical and Experimental Characterization of a Coanda-Type Industrial Air Amplifier. Applied Sciences. 2024; 14(4):1524. https://doi.org/10.3390/app14041524
Chicago/Turabian StyleChávez-Módena, Miguel, Alejandro Martinez-Cava, Sergio Marín-Coca, and Leo González. 2024. "Numerical and Experimental Characterization of a Coanda-Type Industrial Air Amplifier" Applied Sciences 14, no. 4: 1524. https://doi.org/10.3390/app14041524
APA StyleChávez-Módena, M., Martinez-Cava, A., Marín-Coca, S., & González, L. (2024). Numerical and Experimental Characterization of a Coanda-Type Industrial Air Amplifier. Applied Sciences, 14(4), 1524. https://doi.org/10.3390/app14041524

