Quasi-Static Finite Cylindrical Cavity Expansion Model for Long-Rod Penetration into Cylindrical Metal Thick Targets with Finite Diameters
Abstract
1. Introduction
2. Quasi-Static Finite Cylindrical Cavity Expansion Model
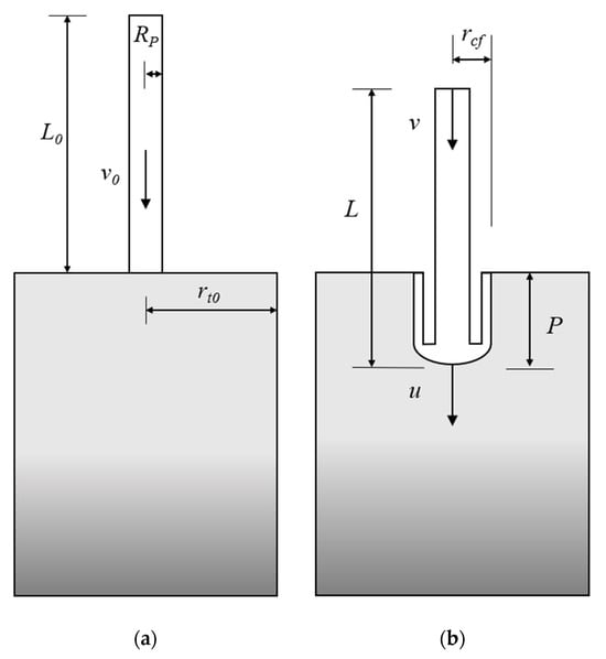
2.1. Basic Model and Equations
2.2. Analytical Solution for Cavity Pressure
2.2.1. Elastic–Plastic Response Stage (rc < rc1)
- Elastic region (rp < r < rt)
- Plastic region (rc < r < rp)
- Interface Conditions
2.2.2. Plastic Response Stage (rc1 < rc < rc2)
2.2.3. Semi-Infinite Target
2.3. Average Cavity Pressure and the Decay Function for the Lateral Boundary Effect
3. Theoretical Penetration Model and Model Verification
3.1. Modified Alekseevskii–Tate Model and Calculation of Penetration Depth
- YP < Rt
- YP > Rt
3.2. Validation of the Theoretical Model
- The proposed model is in good agreement with the experimental and numerical results, while all the other theoretical models overestimate the penetration depth;
- The proposed model is in good agreement with the numerical results. The calculated results are smaller than the numerical results when rt0/RP > 6.5. The reason is that the model does not consider the propagation time of elastic waves during the elastic–plastic stage;
- Due to the assumption that the target material is incompressible during the plastic stage, the target resistance is overestimated when rt0/RP < 6.5 compared to the numerical results.
- The proposed model is in good agreement with the experimental results. The calculation results of the proposed model continue to increase and tend towards the fluid dynamic limit as the initial impact velocity increases;
- The calculation results of the other three models are all significantly greater than the experimental results because the RT predicted by the three models is less than YP. When the penetration velocity is less than vr ≈ 2500 m/s, there is only a rigid body penetration phase. However, when the initial impact velocity is greater than vr, the penetration process exhibits an eroding penetration stage. The calculation results of the three models rapidly decrease and tend towards the fluid dynamic limit.
4. Results and Discussions
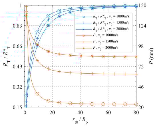
4.1. Effect of Target Diameter
- When rt0/RP < 25, Rt/Rt* decreases rapidly as rt0/RP decreases, while Rt/Rt* decreases slowly as rt0/RP decreases when rt0/RP > 25. This suggests that Rt/Rt* rapidly decreases as the elastic–plastic interface approaches the target boundary (rt0/RP = 16.63).
- When rt0/RP < 25, the penetration depth increases exponentially with decreasing rt0/RP. However, when rt0/RP > 25, the penetration depth slowly increases with decreasing rt0/RP. This is because of the decrease in Rt/Rt*. When rt0/RP = 25, the deviation of the penetration depth from the semi-infinite target is less than 10%, which means that the target can be treated as a semi-infinite target when rt0/RP > 25.
- As the circumferential constraint effect decreases, the initial penetration velocity and penetration depth gradually increase.
- Because the proposed decay function is based on the average cavity pressure rather than the instantaneous cavity pressure, the proposed decay function decreases more slowly than that in [17];
- The diameter of the target is greater as the elastic–plastic interface intersects the target boundary in the proposed decay function because of the use of the finite cylindrical cavity expansion model;
- The proposed decay function will not decrease to 0 before the initial target radius decreases to 0. The reason for this is that the target deformation is taken into account in this article;
- Due to the fact that the target resistance of long-rod penetration is independent of velocity, the decay function in this article is independent of velocity, whereas the decay function in [17] decreases significantly with increasing velocity.
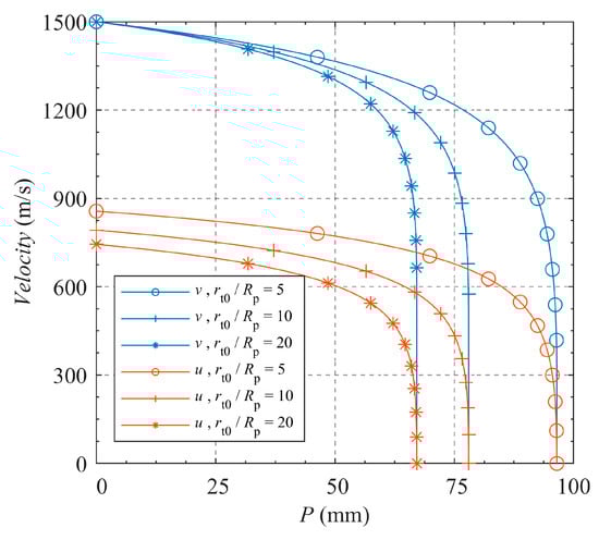
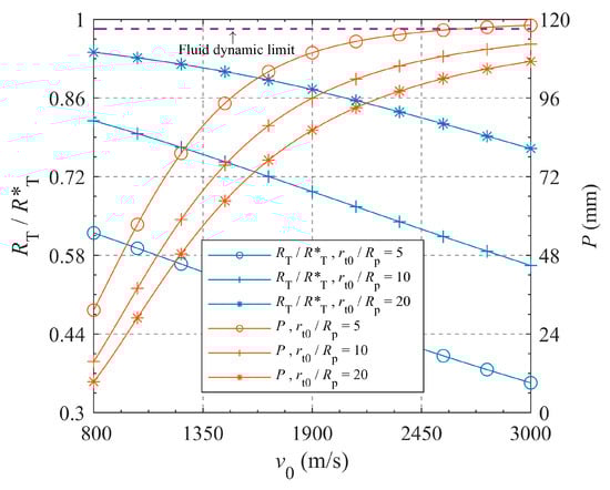
4.2. Effect of Initial Impact Velocity
- The penetration depth increases with increasing initial impact velocity and gradually approaches the fluid dynamic limit. In the case of rt0/RP = 5, when the initial impact velocity is greater than 2500 m/s, the penetration depth will be slightly greater than the fluid dynamic limit. This is because when v0 > 2500 m/s at rt0/RP = 5, RT is less than YP, and rigid penetration occurs during the penetration process;
- Rt/Rt* decreases approximately linearly as the initial impact velocity increases. This is because rcf increases as the initial impact velocity increases, leading to an increase in the lateral boundary effect;
- Both the initial penetration velocity and penetration depth increase significantly as the initial impact velocity increases.
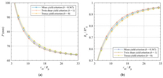
4.3. Effect of Yield Criteria
- As b increases, the penetration depth decreases and Rt/Rt* increases slightly;
- The calculated penetration depth and target resistance are less affected by the yield criterion. For different yield criteria, the maximum deviations in the penetration depth and penetration resistance are 2.36% and 4.62%, respectively. The reason is that the Rt* used in this model is independent of the yield criterion.

| rt0/RP | Range of Penetration Depths (mm) | Range of Rt/Rt* |
|---|---|---|
| 3 | 114.74~117.44 | 0.368~0.386 |
| 5 | 95.20~97.74 | 0.519~0.543 |
| 7 | 85.37~87.77 | 0.622~0.649 |
| 9 | 79.23~81.48 | 0.697~0.726 |
| 11 | 75.04~77.11 | 0.754~0.783 |
| 13 | 72.05~73.91 | 0.799~0.827 |
| 15 | 69.89~71.52 | 0.835~0.860 |
| 17 | 68.24~69.71 | 0.863~0.886 |
| 19 | 67.09~68.27 | 0.886~0.905 |
| 21 | 66.21~67.23 | 0.903~0.920 |
| 30 | 64.05~64.62 | 0.947~0.957 |
| 80 | 62.04~62.12 | 0.991~0.993 |
5. Summary and Conclusions
- The proposed model requires only the material and size parameters of the target and the long-rod as inputs, and predicts the penetration depth well across a range of rt0/RP, varying target and long-rod materials, and diverse v0;
- The penetration depth increases by less than 10% between semi-infinite targets and rt0/RP = 25. However, an increase of more than 50% in the penetration depth occurs between rt0/RP = 25 and rt0/RP = 5. Therefore, the lateral boundary effect should be taken into account when rt0/RP < 25;
- The penetration depth increases dramatically with increasing v0 before the fluid dynamic limit. On the other hand, Rt decreases significantly with v0 due to the increase in the channel radius caused by v0. Therefore, the lateral boundary effect is also influenced by v0;
- The penetration depth decreases very little as b increases, which indicates that the yield criterion has little effect on the lateral boundary effect and Rt.
Author Contributions
Funding
Institutional Review Board Statement
Informed Consent Statement
Data Availability Statement
Acknowledgments
Conflicts of Interest
References
- Orphal, D.L. Explosions and Impacts. Int. J. Impact Eng. 2006, 33, 496–545. [Google Scholar] [CrossRef]
- Rosenberg, Z.; Dekel, E. Terminal Ballistics; Springer: Singapore, 2016; pp. 1–76. ISBN 978-981-10-0393-6. [Google Scholar]
- Anderson, C.E., Jr. Analytical Models for Penetration Mechanics: A Review. Int. J. Impact Eng. 2017, 108, 3–26. [Google Scholar] [CrossRef]
- Alekseevskii, V.P. Penetration of a Rod into a Target at High Velocity. Combust. Explos. Shock Waves 1966, 2, 63–66. [Google Scholar] [CrossRef]
- Tate, A. A Theory for the Deceleration of Long Rods after Impact. J. Mech. Phys. Solids 1967, 15, 387–399. [Google Scholar] [CrossRef]
- Tate, A. Further Results in the Theory of Long Rod Penetration. J. Mech. Phys. Solids 1969, 17, 141–150. [Google Scholar] [CrossRef]
- Rosenberg, Z.; Marmor, E.; Mayseless, M. On the Hydrodynamic Theory of Long-Rod Penetration. Int. J. Impact Eng. 1990, 10, 483–486. [Google Scholar] [CrossRef]
- Walker, J.D.; Anderson, C.E. A Time-Dependent Model for Long-Rod Penetration. Int. J. Impact Eng. 1995, 16, 19–48. [Google Scholar] [CrossRef]
- Zhang, L.S.; Huang, F.L. Model for Long-Rod Penetration into Semi-Infinite Targets. J. Beijing Inst. Technol. 2004, 13, 285–289. [Google Scholar] [CrossRef]
- Lan, B.; Wen, H. Alekseevskii-Tate Revisited: An Extension to the Modified Hydrodynamic Theory of Long Rod Penetration. Sci. China Technol. Sci. 2010, 53, 1364–1373. [Google Scholar] [CrossRef]
- Kong, X.Z.; Wu, H.; Fang, Q.; Peng, Y. Rigid and Eroding Projectile Penetration into Concrete Targets Based on an Extended Dynamic Cavity Expansion Model. Int. J. Impact Eng. 2017, 100, 13–22. [Google Scholar] [CrossRef]
- Bishop, R.F.; Hill, R.; Mott, N.F. The Theory of Indentation and Hardness Tests. Proc. Phys. Soc. 1945, 57, 147. [Google Scholar] [CrossRef]
- Warren, T.L.; Forrestal, M.J. Effects of Strain Hardening and Strain-Rate Sensitivity on the Penetration of Aluminum Targets with Spherical-Nosed Rods. Int. J. Solids Struct. 1998, 35, 3737–3753. [Google Scholar] [CrossRef]
- Forrestal, M.J.; Tzou, D.Y. A Spherical Cavity-Expansion Penetration Model for Concrete Targets. Int. J. Solids Struct. 1997, 34, 4127–4146. [Google Scholar] [CrossRef]
- Chen, X.W.; Li, Q.M. Deep Penetration of a Non-Deformable Projectile with Different Geometrical Characteristics. Int. J. Impact Eng. 2002, 27, 619–637. [Google Scholar] [CrossRef]
- Macek, R.W.; Duffey, T.A. Finite Cavity Expansion Method for Near-Surface Effects and Layering during Earth Penetration. Int. J. Impact Eng. 2000, 24, 239–258. [Google Scholar] [CrossRef]
- Warren, T.L.; Poormon, K.L. Penetration of 6061-T6511 Aluminum Targets by Ogive-Nosed VAR 4340 Steel Projectiles at Oblique Angles: Experiments and Simulations. Int. J. Impact Eng. 2001, 25, 993–1022. [Google Scholar] [CrossRef]
- Warren, T.L.; Hanchak, S.J.; Poormon, K.L. Penetration of Limestone Targets by Ogive-Nosed VAR 4340 Steel Projectiles at Oblique Angles: Experiments and Simulations. Int. J. Impact Eng. 2004, 30, 1307–1331. [Google Scholar] [CrossRef]
- Chen, X.; Lu, F.; Zhang, D. Penetration Trajectory of Concrete Targets by Ogived Steel Projectiles–Experiments and Simulations. Int. J. Impact Eng. 2018, 120, 202–213. [Google Scholar] [CrossRef]
- Wei, H.; Liu, J.; Zhang, X.; Liu, C.; Li, P.; Qiao, L. Study on Perforation of Elliptical Cross-Section Projectile into Finite-Thick Metal Targets. Acta Mech. Sin. 2023, 39, 422429. [Google Scholar] [CrossRef]
- Song, D.; Liu, F.; Jiang, Z. Prediction of Projectile an Analytical Model for Penetration into Cylindrical Metallic Thick Target by Rigid Sharp-Nosed Projectiles. Eng. Mech. 2013, 30, 31–36. (In Chinese) [Google Scholar] [CrossRef]
- Wang, J.; Zhao, J.; Zhou, Y.; Sun, S. Boundary Effect and Dynamic Response Study for the Penetration of Rigid Projectiles into Thick, Finite-Radius, Metallic Targets. Shock Vib. 2020, 2020, e8832925. [Google Scholar] [CrossRef]
- Littlefield, D.L.; Anderson, C.E.; Partom, Y.; Bless, S.J. The Penetration of Steel Targets Finite in Radial Extent. Int. J. Impact Eng. 1997, 19, 49–62. [Google Scholar] [CrossRef]
- Forrestal, M.J.; Piekutowski, A.J. Penetration Experiments with 6061-T6511 Aluminum Targets and Spherical-Nose Steel Projectiles at Striking Velocities between 0.5 and 3.0km/s. Int. J. Impact Eng. 2000, 24, 57–67. [Google Scholar] [CrossRef]
- Jiang, Z.; Song, D.; Zeng, S. Prediction of Projectile—A Finite Cylindrical Cavity Expansion Theory and Its Application. J. Vib. Shock 2011, 30, 139–143+204. (In Chinese) [Google Scholar] [CrossRef]
- Wang, J.; Zhao, J.; Zhang, J.; Zhou, Y. Study on Model of Penetration into Thick Metallic Targets with Finite Planar Sizes by Long Rods. Shock Vib. 2021, 2021, e6666770. [Google Scholar] [CrossRef]
- Forrestal, M.J.; Okajima, K.; Luk, V.K. Penetration of 6061-T651 Aluminum Targets with Rigid Long Rods. J. Appl. Mech. 1988, 55, 755–760. [Google Scholar] [CrossRef]
- Satapathy, S.; Bless, S. Calculation of Penetration Resistance of Brittle Materials Using Spherical Cavity Expansion Analysis. Mech. Mater. 1996, 23, 323–330. [Google Scholar] [CrossRef]
- Tate, A. Long Rod Penetration Models—Part II. Extensions to the Hydrodynamic Theory of Penetration. Int. J. Mech. Sci. 1986, 28, 599–612. [Google Scholar] [CrossRef]
- Recht, R.F. Taylor Ballistic Impact Modelling Applied to Deformation and Mass Loss Determinations. Int. J. Eng. Sci. 1978, 16, 809–827. [Google Scholar] [CrossRef]










| Reference | σyp (MPa) | Yt (MPa) | ρP (kg/m3) | ρT (kg/m3) | L0 (mm) | RP (mm) |
|---|---|---|---|---|---|---|
| Littlefield et al. [23] | 1300 | 1055 1 | 17,730 | 7850 | 77.9 | 3.895 |
| Forrestal et al. [24] | 1140 [13] | 400 [13] | 7830 | 2710 | 74.655 | 3.555 |
| Resource | v0 (m/s) | rt0/RP | Pe (mm) * | Pmax (mm) | Pmax2 [25] (mm) | Pmax3 [26] (mm) | Pmax4 [23] (mm) |
|---|---|---|---|---|---|---|---|
| Experimental results [23] | 1500 | 4.90 | 87.25 | 97.14 | 105.59 | 102.96 | 105.65 |
| 1500 | 4.90 | 88.49 | 97.14 | 105.59 | 102.96 | 105.65 | |
| 1500 | 6.53 | 86.31 | 88.47 | 99.49 | 96.49 | 99.90 | |
| 1500 | 6.52 | 86.00 | 88.51 | 99.52 | 96.52 | 99.93 | |
| 1500 | 13.10 | 70.97 | 72.83 | 87.72 | 83.14 | 88.47 | |
| 1500 | 13.12 | 74.86 | 72.81 | 87.70 | 83.12 | 88.45 | |
| 1500 | 19.83 | 69.25 | 67.23 | 83.11 | 80.60 | 83.97 | |
| 1500 | 19.79 | 69.72 | 67.25 | 83.13 | 80.62 | 83.98 | |
| 1500 | 19.88 | 66.76 | 67.20 | 83.09 | 80.58 | 83.95 | |
| Numerical results [23] | 1500 | 3.26 | 105.94 | 112.38 | 115.69 | 113.51 | 114.64 |
| 1500 | 4.89 | 89.66 | 97.20 | 105.64 | 103.01 | 105.69 | |
| 1500 | 6.52 | 84.37 | 88.51 | 99.52 | 96.52 | 99.93 | |
| 1500 | 13.04 | 69.88 | 72.91 | 87.78 | 83.22 | 88.53 | |
| 1500 | 19.56 | 67.62 | 67.36 | 83.22 | 80.71 | 84.08 | |
| 1500 | 29.34 | 67.15 | 64.43 | 80.94 | 78.52 | 81.57 | |
| 1500 | 77.66 | 66.84 | 62.10 | 79.42 | 77.06 | 79.55 |
| v0 (m/s) | rt0/RP | Pe (mm) * | Pmax (mm) | Pmax2 [25] (mm) | Pmax3 [26] (mm) | Pmax4 [23] (mm) |
|---|---|---|---|---|---|---|
| 1037 | 35.16 | 64.6 | 57.44 | 116.52 | 115.53 | 117.07 |
| 1042 | 35.16 | 41.6 | 57.90 | 117.17 | 116.17 | 117.72 |
| 1174 | 35.16 | 67.5 | 69.61 | 133.54 | 132.40 | 134.11 |
| 1174 | 35.16 | 66.5 | 69.61 | 133.54 | 132.40 | 134.11 |
| 1193 | 35.16 | 50.7 | 71.22 | 135.77 | 134.61 | 136.33 |
| 1216 | 35.16 | 50.7 | 73.14 | 138.42 | 137.24 | 138.98 |
| 1284 | 35.16 | 78.8 | 78.61 | 145.94 | 144.70 | 146.49 |
| 1337 | 35.16 | 61.8 | 82.64 | 151.48 | 150.19 | 152.01 |
| 1411 | 35.16 | 106.1 | 87.91 | 158.73 | 157.38 | 159.23 |
| 1515 | 35.16 | 76 | 94.58 | 167.96 | 166.53 | 168.40 |
| 1802 | 35.16 | 94.3 | 108.50 | 187.81 | 186.20 | 187.97 |
| 1813 | 35.16 | 120 | 108.92 | 188.41 | 186.80 | 188.56 |
| 2052 | 35.16 | 113.9 | 116.01 | 199.00 | 197.29 | 198.80 |
| 2204 | 35.16 | 124.6 | 119.00 | 203.43 | 201.68 | 202.96 |
| 2255 | 35.16 | 137.4 | 119.80 | 204.57 | 202.81 | 204.00 |
| 2476 | 35.16 | 137.9 | 122.34 | 207.70 | 205.92 | 206.66 |
| Method | Statistical Error | Experimental Results [23] | Numerical Results [23] | Experimental Results [24] |
|---|---|---|---|---|
| The present model | MPE * | 2.29% | 1.75% | 9.47% |
| RMSE | 3.56 | 4.12 | 11.78 | |
| MAE | 0.06 | 0.06 | 0.22 | |
| Jiang [25] | MPE | 19.53% | 19.01% | 94.73% |
| RMSE | 15.03 | 14.39 | 71.60 | |
| MAE | 0.20 | 0.20 | 1.07 | |
| Wang [26] | MPE | 15.48% | 15.30% | 93.12% |
| RMSE | 11.93 | 11.59 | 70.28 | |
| MAE | 0.16 | 0.16 | 1.06 | |
| Littlefield [23] | MPE | 20.30% | 19.44% | 95.13% |
| RMSE | 15.59 | 14.65 | 71.78 | |
| MAE | 0.21 | 0.20 | 1.08 |
Disclaimer/Publisher’s Note: The statements, opinions and data contained in all publications are solely those of the individual author(s) and contributor(s) and not of MDPI and/or the editor(s). MDPI and/or the editor(s) disclaim responsibility for any injury to people or property resulting from any ideas, methods, instructions or products referred to in the content. |
© 2024 by the authors. Licensee MDPI, Basel, Switzerland. This article is an open access article distributed under the terms and conditions of the Creative Commons Attribution (CC BY) license (https://creativecommons.org/licenses/by/4.0/).
Share and Cite
Lu, Y.; Tao, X.; Chen, Y.; Zhang, B.; Song, J.; Xu, X.; Wang, J. Quasi-Static Finite Cylindrical Cavity Expansion Model for Long-Rod Penetration into Cylindrical Metal Thick Targets with Finite Diameters. Appl. Sci. 2024, 14, 1523. https://doi.org/10.3390/app14041523
Lu Y, Tao X, Chen Y, Zhang B, Song J, Xu X, Wang J. Quasi-Static Finite Cylindrical Cavity Expansion Model for Long-Rod Penetration into Cylindrical Metal Thick Targets with Finite Diameters. Applied Sciences. 2024; 14(4):1523. https://doi.org/10.3390/app14041523
Chicago/Turabian StyleLu, Yunke, Xigui Tao, Yicun Chen, Bei Zhang, Jiageng Song, Xiangyu Xu, and Jianshuai Wang. 2024. "Quasi-Static Finite Cylindrical Cavity Expansion Model for Long-Rod Penetration into Cylindrical Metal Thick Targets with Finite Diameters" Applied Sciences 14, no. 4: 1523. https://doi.org/10.3390/app14041523
APA StyleLu, Y., Tao, X., Chen, Y., Zhang, B., Song, J., Xu, X., & Wang, J. (2024). Quasi-Static Finite Cylindrical Cavity Expansion Model for Long-Rod Penetration into Cylindrical Metal Thick Targets with Finite Diameters. Applied Sciences, 14(4), 1523. https://doi.org/10.3390/app14041523

