Analytical Solution of Ice–Rock-Model Stress Field and Stress Intensity Factors in Inhomogeneous Media
Abstract
1. Introduction
2. Method of Calculation
2.1. Stress Field
2.1.1. Category I Issues
2.1.2. Category II Issues
2.1.3. Continuity of Boundary Displacements
2.2. Stress Intensity Factors
2.2.1. Analytic Solution
2.2.2. Approximate Solution
2.3. Finite Element Analysis
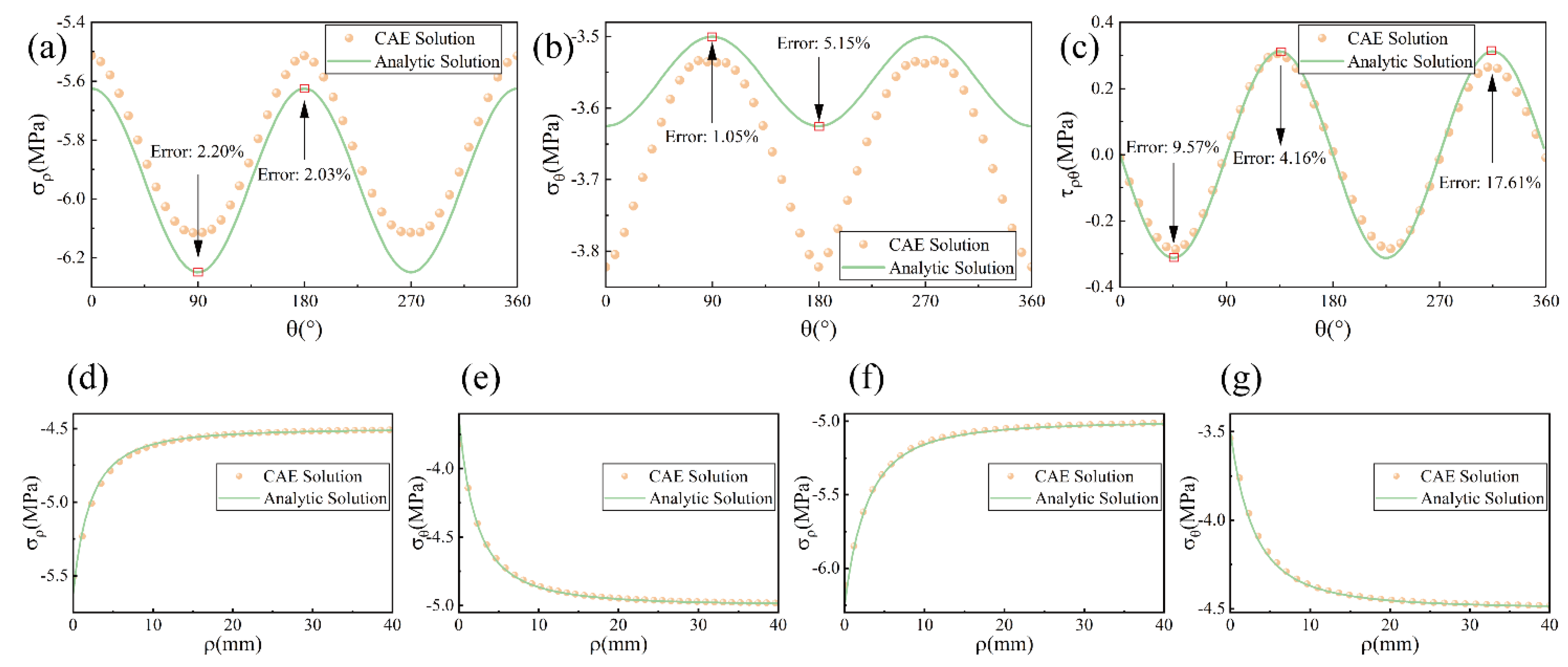
2.3.1. Validation of the Stress Field
2.3.2. Validation of Stress Strength Factors
3. Failure Mode
4. Discussion
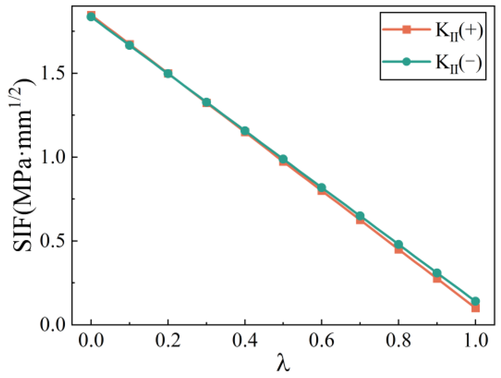
4.1. Influence of Lateral Pressure Coefficient
4.1.1. Stress Field
4.1.2. Stress Intensity Factors and Failure Modes
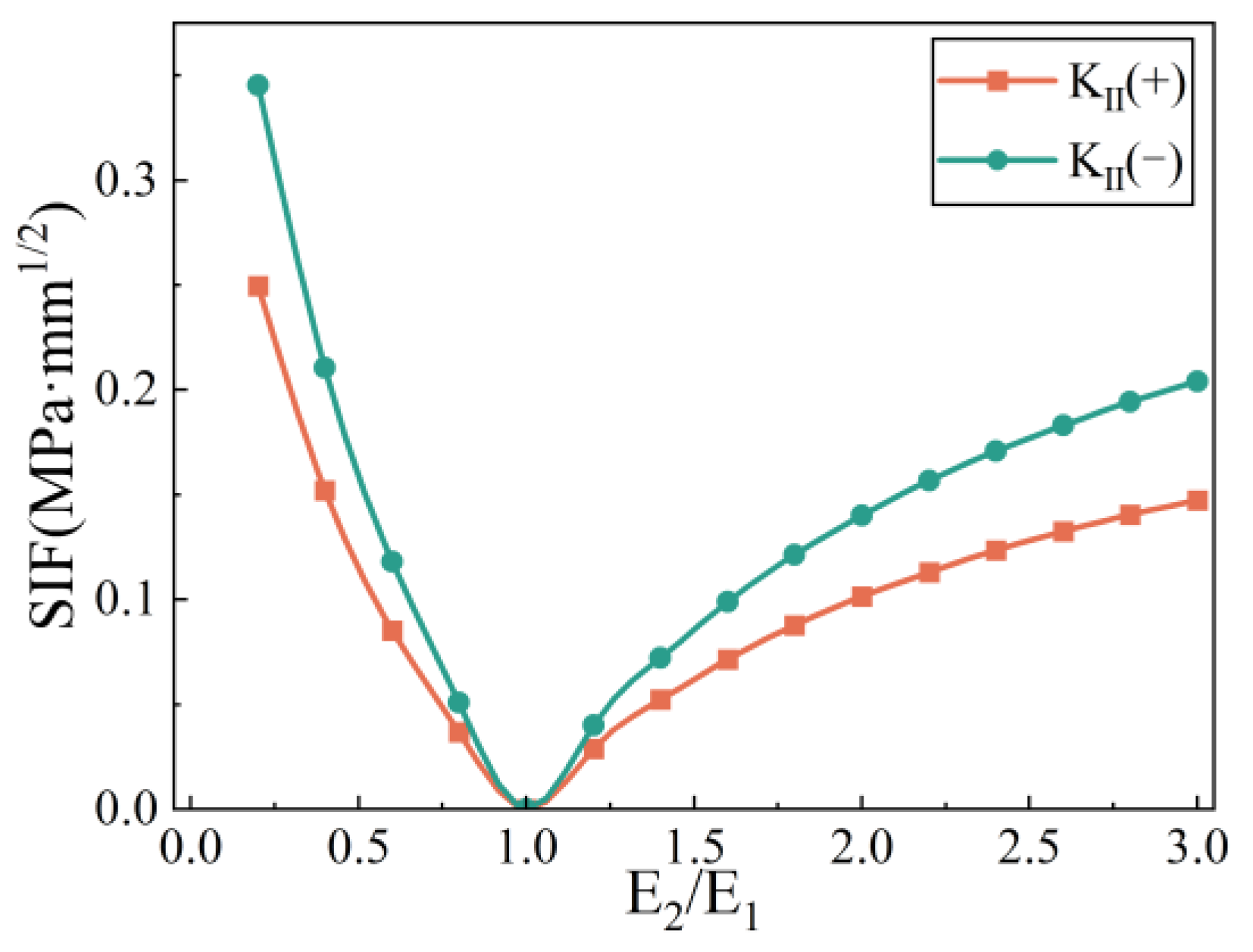
4.2. Influence of Modulus of Elasticity
4.2.1. Stress Field
4.2.2. Stress Intensity Factors
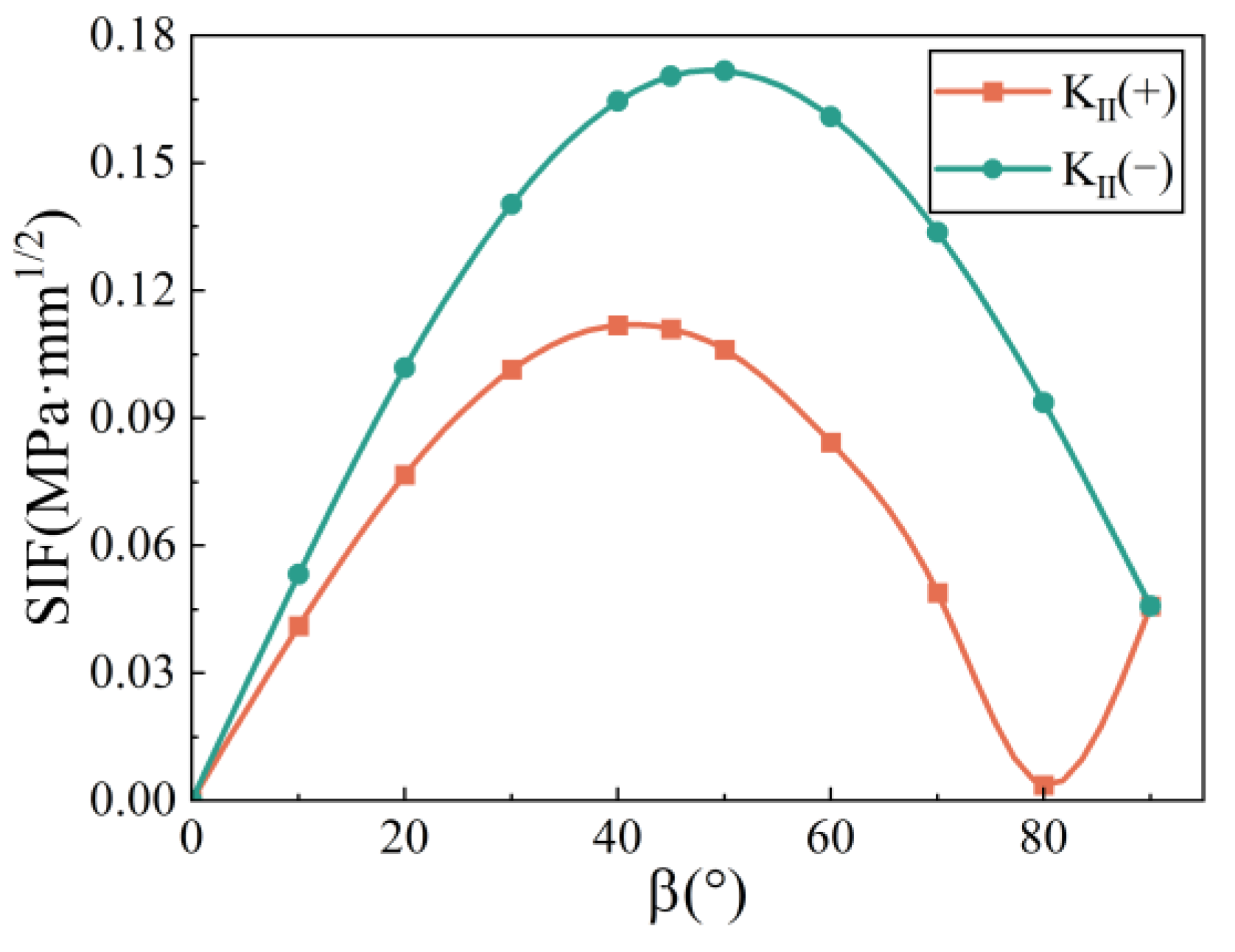
4.3. Influence of Crack Orientation Angle
4.4. Influence of Crack Inclination
5. Conclusions
Author Contributions
Funding
Institutional Review Board Statement
Informed Consent Statement
Data Availability Statement
Conflicts of Interest
References
- Sammis, C.; Biegel, R. Mechanics of strengthening in crystalline rock at low temperatures: A preliminary assessment. In Proceedings of the 26th Seismic Research Review: Trends in Nuclear Explosion Monitoring, Orlando, FL, USA, 21–23 September 2004; pp. 475–484. [Google Scholar]
- Davarpanah, S.M.; Török, Á.; Vásárhelyi, B. Review on the mechanical properties of frozen rocks. Rud. -Geološko-Naft. Zb. 2022, 37, 83–96. [Google Scholar] [CrossRef]
- Ma, L.; Qi, J.; Yu, F.; Yao, X. Experimental study on variability in mechanical properties of a frozen sand as determined in triaxial compression tests. Acta Geotech. 2016, 11, 61–70. [Google Scholar] [CrossRef]
- Xu, X.; Li, Q.; Xu, G. Investigation on the behavior of frozen silty clay subjected to monotonic and cyclic triaxial loading. Acta Geotech. 2020, 15, 1289–1302. [Google Scholar] [CrossRef]
- Feng, J.; Zhang, Y.; He, J.; Zhu, H.; Huang, L.; Fu, H.; Li, D. Dynamic response and failure evolution of low-angled interbedding soft and hard stratum rock slope under earthquake. Bull. Eng. Geol. Environ. 2022, 81, 400. [Google Scholar] [CrossRef]
- Tan, Z.; Li, S.; Yang, Y.; Wang, J. Large deformation characteristics and controlling measures of steeply inclined and layered soft rock of tunnels in plate suture zones. Eng. Fail. Anal. 2022, 131, 105831. [Google Scholar] [CrossRef]
- Zhuo, X.; Liu, X.; Shi, X.; Liang, L.; Xiong, J. The anisotropic mechanical characteristics of layered rocks under numerical simulation. J. Pet. Explor. Prod. Technol. 2022, 12, 51–62. [Google Scholar] [CrossRef]
- Chemenda, A.I. Bed thickness-dependent fracturing and inter-bed coupling define the nonlinear fracture spacing-bed thickness relationship in layered rocks: Numerical modeling. J. Struct. Geol. 2022, 165, 104741. [Google Scholar] [CrossRef]
- Erdogan, F.; Gupta, G.D.; Ratwani, M. Interaction Between a Circular Inclusion and an Arbitrarily Oriented Crack. J. Appl. Mech. 1974, 41, 1007–1013. [Google Scholar] [CrossRef]
- Hasebe, N.; Wang, X.; Kondo, M. Interaction between crack and arbitrarily shaped hole with stress and displacement boundaries. Int. J. Fract. 2003, 83, 102–119. [Google Scholar]
- Isida, M. Crack Tip Stress Intensity Factors for a Crack Approaching a Hole Centered on Its Plane; Lehigh University: Bethlehem, PA, USA, 1966. [Google Scholar]
- Isida, M. On the determination of stress intensity factors for some common structural problems. Eng. Fract. Mech. 1970, 2, 61–79. [Google Scholar] [CrossRef]
- Tang, R.; Wang, Y. On the problem of crack system with an elliptic hole. Acta Mech. Sin. 1986, 2, 47–57. [Google Scholar]
- Yan, X.; Miao, C. A numerical method for a void–crack interaction under cyclic loads. Acta Mech. 2012, 223, 1015–1029. [Google Scholar] [CrossRef]
- Hu, K.X.; Chandra, A.; Huang, Y. Multiple void-crack interaction. Int. J. Solids Struct. 1993, 30, 1473–1489. [Google Scholar] [CrossRef]
- Wang, Y.B.; Chau, K.T. A New Boundary Element for Plane Elastic Problems Involving Cracks and Holes. Int. J. Fract. 1997, 87, 1–20. [Google Scholar] [CrossRef]
- Yi, W.; Rao, Q.H.; Luo, S.; Shen, Q.Q.; Li, Z. A new integral equation method for calculating interacting stress intensity factor of multiple crack-hole problem. Theor. Appl. Fract. Mech. 2020, 107, 102535. [Google Scholar] [CrossRef]
- Peng, S.; Jing, L.; Li, S.; Wu, D.; Jing, W. Analytical Solution of the Stress Intensity Factors of Multiple Closed Collinear Cracks. J. Vib. Eng. Technol. 2023, 11, 3737–3745. [Google Scholar] [CrossRef]
- Dolbow, J.; Moës, N.; Belytschko, T. An extended finite element method for modeling crack growth with frictional contact. Comput. Methods Appl. Mech. Eng. 2001, 190, 6825–6846. [Google Scholar] [CrossRef]
- Khoei, A.R.; Nikbakht, M. An enriched finite element algorithm for numerical computation of contact friction problems. Int. J. Mech. Sci. 2007, 49, 183–199. [Google Scholar] [CrossRef]
- Elguedj, T.; Gravouil, A.; Combescure, A. A mixed augmented Lagrangian-extended finite element method for modelling elastic–plastic fatigue crack growth with unilateral contact. Int. J. Numer. Methods Eng. 2007, 71, 1569–1597. [Google Scholar] [CrossRef]
- Liu, W.; Ma, L.; Sun, H.; Khan, N.M. An experimental study on infrared radiation and acoustic emission characteristics during crack evolution process of loading rock. Infrared Phys. Technol. 2021, 118, 103864. [Google Scholar] [CrossRef]
- Wu, C.; Gong, F.; Luo, Y. A new quantitative method to identify the crack damage stress of rock using AE detection parameters. Bull. Eng. Geol. Environ. 2021, 80, 519–531. [Google Scholar] [CrossRef]
- Jiang, R.; Dai, F.; Liu, Y.; Li, A.; Feng, P. Frequency characteristics of acoustic emissions induced by crack propagation in rock tensile fracture. Rock Mech. Rock Eng. 2021, 54, 2053–2065. [Google Scholar] [CrossRef]
- Bi, J.; Ning, L.; Zhao, Y.; Wu, Z.; Wang, C. Analysis of the microscopic evolution of rock damage based on real-time nuclear magnetic resonance. Rock Mech. Rock Eng. 2023, 56, 3399–3411. [Google Scholar] [CrossRef]
- Pan, J.L.; Cai, M.F.; Li, P.; Guo, Q.F. A damage constitutive model of rock-like materials containing a single crack under the action of chemical corrosion and uniaxial compression. J. Cent. S. Univ. 2022, 29, 486–498. [Google Scholar] [CrossRef]
- Xiao, W.; Zhang, D.; Yang, H.; Li, X.; Ye, M.; Li, S. Laboratory investigation of the temperature influence on the mechanical properties and fracture crack distribution of rock under uniaxial compression test. Bull. Eng. Geol. Environ. 2021, 80, 1585–1598. [Google Scholar] [CrossRef]
- Davarpanah, M.; Somodi, G.; Kovács, L.; Vásárhelyi, B. Experimental determination of the mechanical properties and deformation constants of Mórágy granitic rock formation (Hungary). Geotech. Geol. Eng. 2020, 38, 3215–3229. [Google Scholar] [CrossRef]
- Sharafisafa, M.; Aliabadian, Z.; Tahmasebinia, F.; Shen, L. A comparative study on the crack development in rock-like specimens containing unfilled and filled flaws. Eng. Fract. Mech. 2021, 241, 107405. [Google Scholar] [CrossRef]
- Wang, Z.; Li, Y.; Cai, W.; Zhu, W.; Kong, W.; Dai, F.; Wang, C.; Wang, K. Crack propagation process and acoustic emission characteristics of rock-like specimens with double parallel flaws under uniaxial compression. Theor. Appl. Fract. Mech. 2021, 114, 102983. [Google Scholar] [CrossRef]
- Yang, H.; Lin, H.; Wang, Y.; Cao, R.; Li, J.; Zhao, Y. Investigation of the correlation between crack propagation process and the peak strength for the specimen containing a single pre-existing flaw made of rock-like material. Arch. Civ. Mech. Eng. 2021, 21, 68. [Google Scholar] [CrossRef]
- Ma, W.; Chen, Y.; Yi, W.; Guo, S. Investigation on crack evolution behaviors and mechanism on rock-like specimen with two circular-holes under compression. Theor. Appl. Fract. Mech. 2022, 118, 103222. [Google Scholar] [CrossRef]
- Soman, S.; Murthy, K.; Robi, P. A simple technique for estimation of mixed mode (I/II) stress intensity factors. J. Mech. Mater. Struct. 2018, 13, 141–154. [Google Scholar] [CrossRef]















| (°) | (°) | XFEM | Analytic Solution | ||||
|---|---|---|---|---|---|---|---|
| Error (%) | Error (%) | ||||||
| 0 | 0 | 0.00281 | 0.002251 | 0 | / | 0 | / |
| 30 | 0.109355 | 0.09039 | 0.10139 | 7.856 | 0.14032 | 35.583 | |
| 45 | 0.110175 | 0.16812 | 0.11102 | 0.761 | 0.17043 | 1.355 | |
| 60 | 0.090844 | 0.21124 | 0.08433 | 7.724 | 0.16088 | 31.303 | |
| 90 | 0.049012 | 0.043514 | 0.045836 | 6.929 | 0.04584 | 5.074 | |
| 30 | 0 | 0.10032 | 0.21986 | 0.09301 | 7.859 | 0.2151 | 2.213 |
| 30 | 0.096828 | 0.21589 | 0.09932 | 2.509 | 0.22346 | 3.388 | |
| 45 | 0.053839 | 0.16048 | 0.05397 | 0.243 | 0.16292 | 1.498 | |
| 60 | 0.00418 | 0.003773 | 0.008381 | / | 0.07478 | / | |
| 90 | 0.115085 | 0.09607 | 0.1084 | 6.167 | 0.090644 | 5.986 | |
| 45 | 0 | 0.11846 | 0.175287 | 0.11102 | 6.701 | 0.17043 | 2.850 |
| 30 | 0.057369 | 0.07318 | 0.05992 | 4.257 | 0.07844 | 6.706 | |
| 45 | 0.00105 | 0.001412 | 0 | / | 0 | / | |
| 60 | 0.05867 | 0.075462 | 0.059921 | 2.088 | 0.078441 | 3.798 | |
| 90 | 0.117998 | 0.17597 | 0.111025 | 6.281 | 0.170429 | 3.251 | |
| 60 | 0 | 0.11504 | 0.095317 | 0.1084 | 6.125 | 0.09064 | 5.160 |
| 30 | 0.002167 | 0.00076 | 0.00838 | / | 0.074784 | / | |
| 45 | 0.05567 | 0.163883 | 0.053974 | 3.142 | 0.162924 | 0.589 | |
| 60 | 0.09788 | 0.217622 | 0.099315 | 1.445 | 0.22346 | 2.613 | |
| 90 | 0.099468 | 0.21952 | 0.093011 | 6.942 | 0.215105 | 2.052 | |
| 90 | 0 | 0.04702 | 0.04685 | 0.04584 | 2.574 | 0.045836 | 2.212 |
| 30 | 0.09464 | 0.216608 | 0.084328 | 12.228 | 0.160884 | 34.64 | |
| 45 | 0.11261 | 0.17231 | 0.111025 | 1.428 | 0.170429 | 1.104 | |
| 60 | 0.11028 | 0.091726 | 0.101392 | 8.766 | 0.140321 | 34.631 | |
| 90 | 0 | 0 | 0 | / | 0 | / | |
Disclaimer/Publisher’s Note: The statements, opinions and data contained in all publications are solely those of the individual author(s) and contributor(s) and not of MDPI and/or the editor(s). MDPI and/or the editor(s) disclaim responsibility for any injury to people or property resulting from any ideas, methods, instructions or products referred to in the content. |
© 2024 by the authors. Licensee MDPI, Basel, Switzerland. This article is an open access article distributed under the terms and conditions of the Creative Commons Attribution (CC BY) license (https://creativecommons.org/licenses/by/4.0/).
Share and Cite
Cao, F.; Jing, L.; Peng, S. Analytical Solution of Ice–Rock-Model Stress Field and Stress Intensity Factors in Inhomogeneous Media. Appl. Sci. 2024, 14, 1412. https://doi.org/10.3390/app14041412
Cao F, Jing L, Peng S. Analytical Solution of Ice–Rock-Model Stress Field and Stress Intensity Factors in Inhomogeneous Media. Applied Sciences. 2024; 14(4):1412. https://doi.org/10.3390/app14041412
Chicago/Turabian StyleCao, Feifei, Laiwang Jing, and Shaochi Peng. 2024. "Analytical Solution of Ice–Rock-Model Stress Field and Stress Intensity Factors in Inhomogeneous Media" Applied Sciences 14, no. 4: 1412. https://doi.org/10.3390/app14041412
APA StyleCao, F., Jing, L., & Peng, S. (2024). Analytical Solution of Ice–Rock-Model Stress Field and Stress Intensity Factors in Inhomogeneous Media. Applied Sciences, 14(4), 1412. https://doi.org/10.3390/app14041412

