Quality of Life in NSAIDs-Exacerbated Respiratory Disease on or off Intranasal Lysine Aspirin Therapy
Abstract
1. Introduction
2. Materials and Methods
Statistical Analysis
3. Results
4. Discussion
Limitations of the Study
5. Conclusions
Author Contributions
Funding
Institutional Review Board Statement
Informed Consent Statement
Data Availability Statement
Conflicts of Interest
References
- Rajan, J.P.; Wineinger, N.E.; Stevenson, D.D.; White, A.A. Prevalence of aspirin-exacerbated respiratory disease among asthmatic patients: A meta-analysis of the literature. J. Allergy Clin. Immunol. 2015, 135, 676–681.e1. [Google Scholar] [CrossRef]
- Li, K.L.; Lee, A.Y.; Abuzeid, W.M. Aspirin Exacerbated Respiratory Disease: Epidemiology, Pathophysiology, and Management. Med. Sci. 2019, 7, 45. [Google Scholar] [CrossRef]
- Khan, A.; Huynh, T.M.T.; Vandeplas, G.; Joish, V.N.; Mannent, L.P.; Tomassen, P.; van Zele, T.; Cardell, L.O.; Arebro, J.; Olze, H.; et al. The GALEN rhinosinusitis cohort: Chronic rhinosinusitis with nasal polyps affects health-related quality of life. Rhinology 2019, 57, 343–351. [Google Scholar] [CrossRef]
- Zhou, S.; Hur, K.; Shen, J.; Wrobel, B. Impact of sinonasal disease on depression, sleep duration, and productivity among adults in the United States. Laryngoscope Investig. Otolaryngol. 2017, 2, 288–294. [Google Scholar] [CrossRef] [PubMed]
- Cho, K.S.; Soudry, E.; Psaltis, A.J.; Nadeau, K.C.; McGhee, S.A.; Nayak, J.V.; Hwang, P.H. Long-term sinonasal outcomes of aspirin desensitization in aspirin exacerbated respiratory disease. Otolaryngol. Head. Neck Surg. 2014, 151, 575–581. [Google Scholar] [CrossRef] [PubMed]
- Chang, J.E.; White, A.; Simon, R.A.; Stevenson, D.D. Aspirin-exacerbated respiratory disease: Burden of disease. Allergy Asthma Proc. 2012, 33, 117–121. [Google Scholar] [CrossRef] [PubMed]
- Ta, V.; White, A.A. Survey-Defined Patient Experiences With Aspirin-Exacerbated Respiratory Disease. J. Allergy Clin. Immunol. Pract. 2015, 3, 711–718. [Google Scholar] [CrossRef] [PubMed]
- Dintica, C.S.; Marseglia, A.; Rizzuto, D.; Wang, R.; Seubert, J.; Arfanakis, K.; Bennett, D.A.; Xu, W. Impaired olfaction is associated with cognitive decline and neurodegeneration in the brain. Neurology 2019, 92, e700–e709. [Google Scholar] [CrossRef] [PubMed]
- Neuland, C.; Bitter, T.; Marschner, H.; Gudziol, H.; Guntinas-Lichius, O. Health-related and specific olfaction-related quality of life in patients with chronic functional anosmia or severe hyposmia. Laryngoscope 2011, 121, 867–872. [Google Scholar] [CrossRef] [PubMed]
- Pinto, J.M.; Wroblewski, K.E.; Kern, D.W.; Schumm, L.P.; McClintock, M.K. Olfactory dysfunction predicts 5-year mortality in older adults. PLoS ONE 2014, 9, e107541. [Google Scholar] [CrossRef]
- Chu, D.K.; Lee, D.J.; Lee, K.M.; Schunemann, H.J.; Szczeklik, W.; Lee, J.M. Benefits and harms of aspirin desensitization for aspirin-exacerbated respiratory disease: A systematic review and meta-analysis. Int. Forum Allergy Rhinol. 2019, 9, 1409–1419. [Google Scholar] [CrossRef]
- Walters, K.M.; Waldram, J.D.; Woessner, K.M.; White, A.A. Long-term Clinical Outcomes of Aspirin Desensitization With Continuous Daily Aspirin Therapy in Aspirin-exacerbated Respiratory Disease. Am. J. Rhinol. Allergy 2018, 32, 280–286. [Google Scholar] [CrossRef] [PubMed]
- Esmaeilzadeh, H.; Zare, M.; Alyasin, S.; Nabavizadeh, H.; Mortazavi, N.; Kanannejad, Z. A Review of Aspirin-exacerbated Respiratory Diseases and Immunological Efficacy of Aspirin Desensitization. Iran. J. Allergy Asthma Immunol. 2022, 21, 512–523. [Google Scholar] [CrossRef]
- Pendolino, A.L.; Scadding, G.K.; Scarpa, B.; Andrews, P.J. A retrospective study on long-term efficacy of intranasal lysine-aspirin in controlling NSAID-exacerbated respiratory disease. Eur. Arch. Otorhinolaryngol. 2022, 279, 2473–2484. [Google Scholar] [CrossRef] [PubMed]
- Howe, R.; Mirakian, R.M.; Pillai, P.; Gane, S.; Darby, Y.C.; Scadding, G.K. Audit of nasal lysine aspirin therapy in recalcitrant aspirin exacerbated respiratory disease. World Allergy Organ. J. 2014, 7, 18. [Google Scholar] [CrossRef] [PubMed]
- Hopkins, C.; Gillett, S.; Slack, R.; Lund, V.J.; Browne, J.P. Psychometric validity of the 22-item Sinonasal Outcome Test. Clin. Otolaryngol. 2009, 34, 447–454. [Google Scholar] [CrossRef]
- Khan, A.H.; Reaney, M.; Guillemin, I.; Nelson, L.; Qin, S.; Kamat, S.; Mannent, L.; Amin, N.; Whalley, D.; Hopkins, C. Development of Sinonasal Outcome Test (SNOT-22) Domains in Chronic Rhinosinusitis With Nasal Polyps. Laryngoscope 2022, 132, 933–941. [Google Scholar] [CrossRef] [PubMed]
- Swierczynska-Krepa, M.; Sanak, M.; Bochenek, G.; Strek, P.; Cmiel, A.; Gielicz, A.; Plutecka, H.; Szczeklik, A.; Nizankowska-Mogilnicka, E. Aspirin desensitization in patients with aspirin-induced and aspirin-tolerant asthma: A double-blind study. J. Allergy Clin. Immunol. 2014, 134, 883–890. [Google Scholar] [CrossRef]
- Esmaeilzadeh, H.; Nabavi, M.; Aryan, Z.; Arshi, S.; Bemanian, M.H.; Fallahpour, M.; Mortazavi, N. Aspirin desensitization for patients with aspirin-exacerbated respiratory disease: A randomized double-blind placebo-controlled trial. Clin. Immunol. 2015, 160, 349–357. [Google Scholar] [CrossRef]
- Mortazavi, N.; Esmaeilzadeh, H.; Abbasinazari, M.; Babaie, D.; Alyasin, S.; Nabavizadeh, H.; Esmailzadeh, E. Clinical and Immunological Efficacy of Aspirin Desensitization in Nasal Polyp Patients with Aspirin-Exacerbated Respiratory Disease. Iran. J. Pharm. Res. 2017, 16, 1639–1647. [Google Scholar]
- Fruth, K.; Pogorzelski, B.; Schmidtmann, I.; Springer, J.; Fennan, N.; Fraessdorf, N.; Boessert, A.; Schaefer, D.; Gosepath, J.; Mann, W.J. Low-dose aspirin desensitization in individuals with aspirin-exacerbated respiratory disease. Allergy 2013, 68, 659–665. [Google Scholar] [CrossRef]
- Rozsasi, A.; Polzehl, D.; Deutschle, T.; Smith, E.; Wiesmiller, K.; Riechelmann, H.; Keck, T. Long-term treatment with aspirin desensitization: A prospective clinical trial comparing 100 and 300 mg aspirin daily. Allergy 2008, 63, 1228–1234. [Google Scholar] [CrossRef] [PubMed]
- Cooper, T.; Greig, S.R.; Zhang, H.; Seemann, R.; Wright, E.D.; Vliagoftis, H.; Cote, D.W.J. Objective and subjective sinonasal and pulmonary outcomes in aspirin desensitization therapy: A prospective cohort study. Auris Nasus Larynx 2019, 46, 526–532. [Google Scholar] [CrossRef] [PubMed]
- Toma, S.; Hopkins, C. Stratification of SNOT-22 scores into mild, moderate or severe and relationship with other subjective instruments. Rhinology 2016, 54, 129–133. [Google Scholar] [CrossRef] [PubMed]
- Tripathi, S.H.; Corr, A.; Kumar, A.; Ungerer, H.; Salmon, M.; Adappa, N.D.; Bosso, J.V. SNOT-22 scores after 6 months of aspirin therapy are predictive of long-term quality of life in AERD. Allergy Asthma Proc. 2023, 44, 78–80. [Google Scholar] [CrossRef] [PubMed]
- Lee, S.E.; Hopkins, C.; Mullol, J.; Msihid, J.; Guillemin, I.; Amin, N.; Mannent, L.P.; Li, Y.; Siddiqui, S.; Chuang, C.C.; et al. Dupilumab improves health related quality of life: Results from the phase 3 SINUS studies. Allergy 2022, 77, 2211–2221. [Google Scholar] [CrossRef] [PubMed]
- Tchekmedyian, R.; Lundberg, M.; Buchheit, K.M.; Maurer, R.; Gakpo, D.; Mullur, J.; Bensko, J.C.; Laidlaw, T.M. Loss of smell in patients with aspirin-exacerbated respiratory disease impacts mental health and quality of life. Clin. Exp. Allergy 2022, 52, 1414–1421. [Google Scholar] [CrossRef] [PubMed]
- Gudziol, V.; Michel, M.; Sonnefeld, C.; Koschel, D.; Hummel, T. Olfaction and sinonasal symptoms in patients with CRSwNP and AERD and without AERD: A cross-sectional and longitudinal study. Eur. Arch. Otorhinolaryngol. 2017, 274, 1487–1493. [Google Scholar] [CrossRef]
- Morse, J.C.; Shilts, M.H.; Ely, K.A.; Li, P.; Sheng, Q.; Huang, L.C.; Wannemuehler, T.J.; Chowdhury, N.I.; Chandra, R.K.; Das, S.R.; et al. Patterns of olfactory dysfunction in chronic rhinosinusitis identified by hierarchical cluster analysis and machine learning algorithms. Int. Forum Allergy Rhinol. 2019, 9, 255–264. [Google Scholar] [CrossRef]
- Wu, J.; Chandra, R.K.; Li, P.; Hull, B.P.; Turner, J.H. Olfactory and middle meatal cytokine levels correlate with olfactory function in chronic rhinosinusitis. Laryngoscope 2018, 128, E304–E310. [Google Scholar] [CrossRef]
- Spielman, D.B.; Overdevest, J.; Gudis, D.A. Olfactory outcomes in the management of aspirin exacerbated respiratory disease related chronic rhinosinusitis. World J. Otorhinolaryngol. Head. Neck Surg. 2020, 6, 207–213. [Google Scholar] [CrossRef]
- Sweet, J.M.; Stevenson, D.D.; Simon, R.A.; Mathison, D.A. Long-term effects of aspirin desensitization--treatment for aspirin-sensitive rhinosinusitis-asthma. J. Allergy Clin. Immunol. 1990, 85 Pt 1, 59–65. [Google Scholar] [CrossRef] [PubMed]
- Bordin, A.; Mucignat-Caretta, C.; Gaudioso, P.; Pendolino, A.L.; Leoni, D.; Scarpa, B.; Andrews, P.J.; Cattelan, A.M.; Antonini, A.; Nicolai, P.; et al. Comparison of self-reported symptoms and psychophysical tests in coronavirus disease 2019 (COVID-19) subjects experiencing long-term olfactory dysfunction: A 6-month follow-up study. Int. Forum. Allergy Rhinol. 2021, 11, 1592–1595. [Google Scholar] [CrossRef] [PubMed]
- Landis, B.N.; Hummel, T.; Hugentobler, M.; Giger, R.; Lacroix, J.S. Ratings of overall olfactory function. Chem. Senses 2003, 28, 691–694. [Google Scholar] [CrossRef] [PubMed]
- Waldram, J.D.; White, A.A. A survey of aspirin desensitization practices among allergists and fellows in training in the United States. J. Allergy Clin. Immunol. Pract. 2016, 4, 1253–1255. [Google Scholar] [CrossRef] [PubMed]
- Yalcin, A.D.; Ucar, S.; Gumuslu, S.; Strauss, L.G. Effects of omalizumab on eosinophil cationic peptide, 25-hydroxyvitamin-D, IL-1beta and sCD200 in cases of Samter’s syndrome: 36 months follow-up. Immunopharmacol. Immunotoxicol. 2013, 35, 524–527. [Google Scholar] [CrossRef] [PubMed]
- Laidlaw, T.M.; Chu, D.K.; Stevens, W.W.; White, A.A. Controversies in Allergy: Aspirin Desensitization or Biologics for Aspirin-Exacerbated Respiratory Disease-How to Choose. J. Allergy Clin. Immunol. Pract. 2022, 10, 1462–1467. [Google Scholar] [CrossRef] [PubMed]
- Bachert, C.; Han, J.K.; Desrosiers, M.; Hellings, P.W.; Amin, N.; Lee, S.E.; Mullol, J.; Greos, L.S.; Bosso, J.V.; Laidlaw, T.M.; et al. Efficacy and safety of dupilumab in patients with severe chronic rhinosinusitis with nasal polyps (LIBERTY NP SINUS-24 and LIBERTY NP SINUS-52): Results from two multicentre, randomised, double-blind, placebo-controlled, parallel-group phase 3 trials. Lancet 2019, 394, 1638–1650. [Google Scholar] [CrossRef] [PubMed]
- Orlandi, R.R.; Kingdom, T.T.; Smith, T.L.; Bleier, B.; DeConde, A.; Luong, A.U.; Poetker, D.M.; Soler, Z.; Welch, K.C.; Wise, S.K.; et al. International consensus statement on allergy and rhinology: Rhinosinusitis 2021. Int. Forum. Allergy Rhinol. 2021, 11, 213–739. [Google Scholar]
- Ottaviano, G.; Saccardo, T.; Roccuzzo, G.; Bernardi, R.; Chicco, A.D.; Pendolino, A.L.; Scarpa, B.; Mairani, E.; Nicolai, P. Effectiveness of Dupilumab in the Treatment of Patients with Uncontrolled Severe CRSwNP: A “Real-Life” Observational Study in Naive and Post-Surgical Patients. J. Pers. Med. 2022, 12, 1526. [Google Scholar] [CrossRef]
- Van Broeck, D.; Steelant, B.; Scadding, G.; Hellings, P.W. Monoclonal antibody or aspirin desensitization in NSAID-exacerbated respiratory disease (N-ERD)? Front. Allergy 2023, 4, 1080951. [Google Scholar] [CrossRef]
- Buchheit, K.M.; Sohail, A.; Hacker, J.; Maurer, R.; Gakpo, D.; Bensko, J.C.; Taliaferro, F.; Ordovas-Montanes, J.; Laidlaw, T.M. Rapid and sustained effect of dupilumab on clinical and mechanistic outcomes in aspirin-exacerbated respiratory disease. J. Allergy Clin. Immunol. 2022, 150, 415–424. [Google Scholar] [CrossRef]
- Tuncay, G.; Damadoglu, E.; Cihanbeylerden, M.; Can Bostan, O.; Kayikci, H.; Ozer, S.; Karakaya, G.; Kalyoncu, A.F. Comparison of the clinical outcomes of patients with NSAID-exacerbated respiratory disease receiving aspirin or biologicals. J. Asthma 2023, 60, 1885–1894. [Google Scholar] [CrossRef]
- Hayashi, H.; Mitsui, C.; Nakatani, E.; Fukutomi, Y.; Kajiwara, K.; Watai, K.; Sekiya, K.; Tsuburai, T.; Akiyama, K.; Hasegawa, Y.; et al. Omalizumab reduces cysteinyl leukotriene and 9alpha,11beta-prostaglandin F2 overproduction in aspirin-exacerbated respiratory disease. J. Allergy Clin. Immunol. 2016, 137, 1585–1587.e4. [Google Scholar] [CrossRef] [PubMed]
- Laidlaw, T.M.; Mullol, J.; Fan, C.; Zhang, D.; Amin, N.; Khan, A.; Chao, J.; Mannent, L.P. Dupilumab improves nasal polyp burden and asthma control in patients with CRSwNP and AERD. J. Allergy Clin. Immunol. Pract. 2019, 7, 2462–2465.e1. [Google Scholar] [CrossRef] [PubMed]
- Barroso, B.; Valverde-Monge, M.; Alobid, I.; Olaguibel, J.M.; Rial, M.J.; Quirce, S.; Arismendi, E.; Barranco, P.; Betancor, D.; Bobolea, I.; et al. Improvement in Olfaction in Patients With CRSwNP and Severe Asthma Taking Anti-IgE and Anti-IL-5 Biologics: A Real-Life Study. J. Investig. Allergol. Clin. Immunol. 2023, 33, 37–44. [Google Scholar] [PubMed]
- Bosso, J.V. Aspirin desensitization for aspirin-exacerbated respiratory disease in the era of biologics: Clinical perspective. Int. Forum Allergy Rhinol. 2021, 11, 822–823. [Google Scholar] [CrossRef]
- Shaker, M.; Lobb, A.; Jenkins, P.; O’Rourke, D.; Takemoto, S.K.; Sheth, S.; Burroughs, T.; Dykewicz, M.S. An economic analysis of aspirin desensitization in aspirin-exacerbated respiratory disease. J. Allergy Clin. Immunol. 2008, 121, 81–87. [Google Scholar] [CrossRef]
- Pendolino, A.L.; Bandino, F.; Navaratnam, A.; Ross, T.; Qureishi, A.; Randhawa, P.; Andrews, P. The role of large cavity sinus surgery in the management of chronic rhinosinusitis in non-steroidal anti-inflammatory drug exacerbated respiratory disease: A single-centre experience and long-term outcomes. J. Laryngol. Otol. 2023, 137, 883–889. [Google Scholar] [CrossRef]
- Bassiouni, A.; Naidoo, Y.; Wormald, P.J. When FESS fails: The inflammatory load hypothesis in refractory chronic rhinosinusitis. Laryngoscope 2012, 122, 460–466. [Google Scholar] [CrossRef]
- Yong, M.; Wu, Y.Q.; Howlett, J.; Ballreich, J.; Walgama, E.; Thamboo, A. Cost-effectiveness analysis comparing dupilumab and aspirin desensitization therapy for chronic rhinosinusitis with nasal polyposis in aspirin-exacerbated respiratory disease. Int. Forum. Allergy Rhinol. 2021, 11, 1626–1636. [Google Scholar] [CrossRef]
- Sprangers, M.A.; Schwartz, C.E. Integrating response shift into health-related quality of life research: A theoretical model. Soc. Sci. Med. 1999, 48, 1507–1515. [Google Scholar] [CrossRef] [PubMed]
- DeConde, A.S.; Bodner, T.E.; Mace, J.C.; Smith, T.L. Response shift in quality of life after endoscopic sinus surgery for chronic rhinosinusitis. JAMA Otolaryngol. Head. Neck Surg. 2014, 140, 712–719. [Google Scholar] [CrossRef] [PubMed]
- Ring, L.; Hofer, S.; Heuston, F.; Harris, D.; O’Boyle, C.A. Response shift masks the treatment impact on patient reported outcomes (PROs): The example of individual quality of life in edentulous patients. Health Qual. Life Outcomes 2005, 3, 55. [Google Scholar] [CrossRef] [PubMed]


| Whole n = 34 | On LAS n = 21 | Not on LAS n = 13 | p-Value | |
|---|---|---|---|---|
| General characteristics | ||||
| Age, median [P25–P75], yr | 49.0 [38.0–56.8] | 48.0 [37.0–59.0] | 50.0 [38.0–56.0] | 0.50 |
| Sex, No (%) Female Male | 17 (50.0%) 17 (50.0%) | 10 (47.6%) 11 (52.4%) | 7 (53.8%) 6 (46.2%) | 0.72 |
| Onset CRSwNP, median [P25–P75], yr | 27.0 [18.8–36.8] | 25.0 [17.0–35.0] | 28.0 [24.0–34.5] | 0.39 |
| Onset nasal polyps, median [P25–P75], yr | 30.0 [24.0–40.0] | 31.0 [24.0–41.0] | 30.0 [25.0–38.5] | 0.34 |
| Onset asthma, median [P25–P75], yr | 30.0 [25.0–40.0] | 29.0 [19.5–40.0] | 34.5 [28.5–40.0] | 0.22 |
| Numbers of previous ESS, median [P25–P75] | 3.0 [2.0–4.5] | 3.0 [1.5–3.5] | 4.0 [2.0–5.5] | 0.34 |
| Routine medications | ||||
| Long-term nasal CS drops, No. (%) | 32 (94.1%) | 20 (95.2%) | 12 (92.3%) | 0.75 |
| Nasal douche, No. (%) | 34 (100%) | 21 (100%) | 13 (100%) | 1 |
| ICS, No. (%) | 12 (35.3%) | 5 (23.8%) | 7 (53.8%) | 0.09 |
| LABA, No. (%) | 2 (5.9%) | 1 (4.8%) | 1 (7.7%) | 0.75 |
| ICS + LABA, No. (%) | 19 (55.9%) | 14 (66.7%) | 5 (38.5%) | 0.07 |
| SABA, No. (%) | 13 (38.2%) | 7 (33.3%) | 6 (46.2%) | 0.52 |
| Anticholinergic inhaler, No. (%) | 1 (2.9%) | 0 (0.0%) | 1 (7.7%) | 0.21 |
| Long-term macrolides, No. (%) | 2 (5.9%) | 1 (4.8%) | 1 (7.7%) | 0.75 |
| Antileukotrienes, No. (%) | 13 (38.2%) | 9 (42.9%) | 4 (30.8%) | 0.41 |
| Oral antihistamines, No. (%) | 14 (41.2%) | 9 (42.9%) | 5 (38.5%) | 0.71 |
| Laboratory findings and testing | ||||
| Eosinophils, median [P25–P75], ×109/L * | 0.5 [0.4–0.7] | 0.6 [0.4–0.9] | 0.4 [0.3–0.7] | 0.28 |
| Missing | 11 | 7 | 4 | |
| Skin prick test, No (%) Negative One allergen Two allergens Multiple allergens Missing | 10 (41.7%) 3 (12.5%) 5 (20.8%) 6 (25.0%) 10 | 4 (19.0%) 1 (4.8%) 4 (19.0%) 5 (23.8%) 7 | 6 (46.2%) 2 (15.4%) 1 (7.7%) 1 (7.7%) 3 | 0.12 |
| Whole n = 34 | On LAS n = 21 | Not on LAS n = 13 | p-Value | |
|---|---|---|---|---|
| sVAS, median [P25–P75] | 0.0 [0.0–3.0] | 0.5 [0.0–3.0] | 0.0 [0.0–2.5] | 0.67 |
| Missing | 3 | 1 | 2 | |
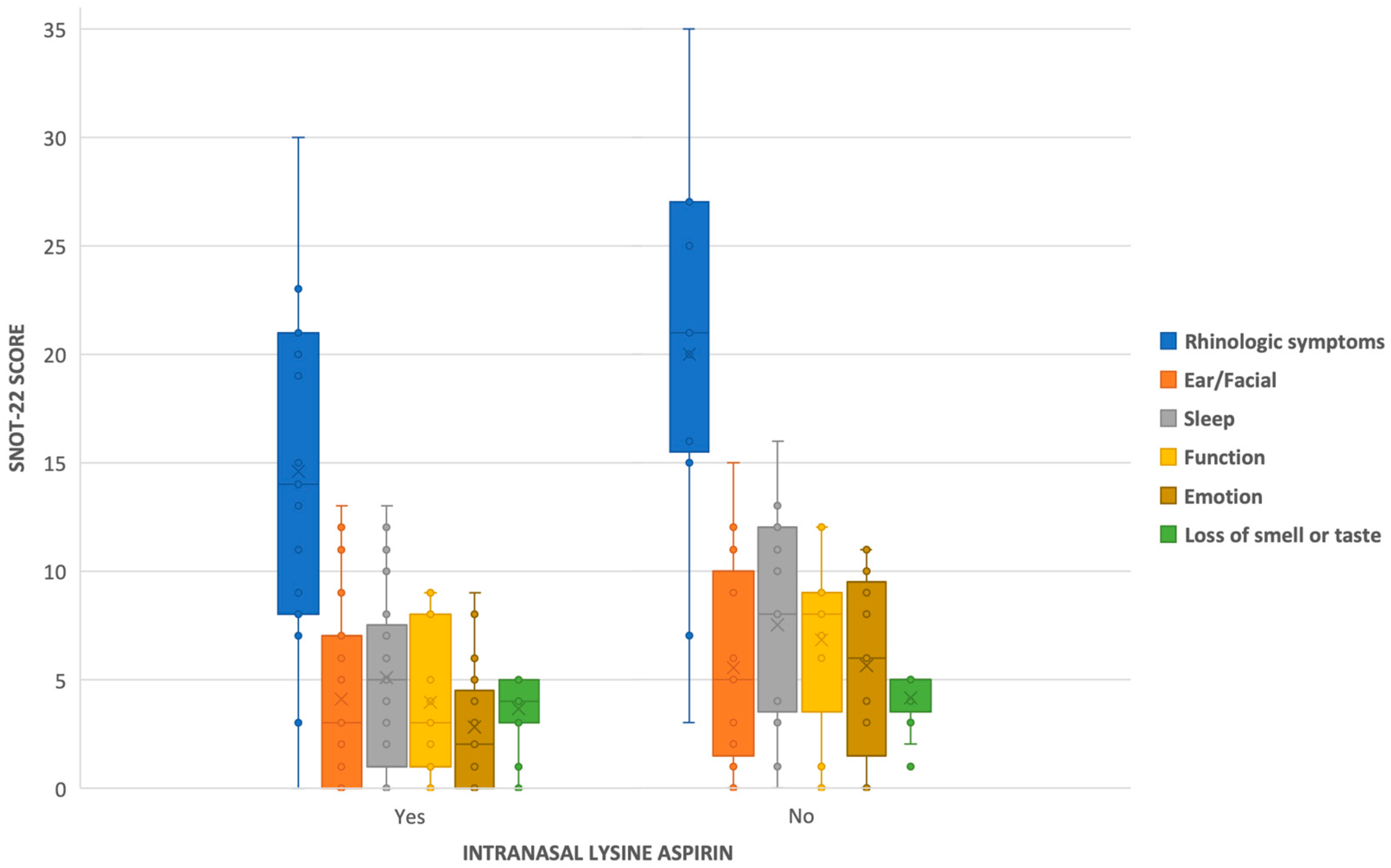
| SNOT-22 score, median [P25-P75] Rhinologic symptoms Ear/Facial symptoms Sleep dysfunction Function status Emotion status Decreased sense of smell/taste + Total SNOT-22 score Missing | 19.0 [11.0–21.0] 3.0 [1.0–7.0] 5.5 [2.3–10.0] 4.5 [1.0–8.8] 3.0 [0.3–6.0] 5.0 [3.0–5.0] 36.0 [24.0–51.0] 1 | 14.5 [8.5–21.0] 3.0 [0.5–7.0] 5.0 [2.0–7.0] 3.0 [1.0–8.0] 2.0 [0.0–4.0] 4.0 [3.0–5.0] 29.0 [19.5–43.5] 1 | 21.0 [16.0–27.0] 5.0 [2.0–9.0] 8.0 [4.0–12.0] 8.0 [6.0–9.0] 6.0 [3.0–9.0] 5.0 [4.0–5.0] 49.0 [29.0–62.0] 0 | 0.05 0.22 0.07 0.02 0.01 0.41 0.02 |
Disclaimer/Publisher’s Note: The statements, opinions and data contained in all publications are solely those of the individual author(s) and contributor(s) and not of MDPI and/or the editor(s). MDPI and/or the editor(s) disclaim responsibility for any injury to people or property resulting from any ideas, methods, instructions or products referred to in the content. |
© 2024 by the authors. Licensee MDPI, Basel, Switzerland. This article is an open access article distributed under the terms and conditions of the Creative Commons Attribution (CC BY) license (https://creativecommons.org/licenses/by/4.0/).
Share and Cite
Pendolino, A.L.; Ferreira, J.; Scadding, G.K.; Andrews, P.J. Quality of Life in NSAIDs-Exacerbated Respiratory Disease on or off Intranasal Lysine Aspirin Therapy. Appl. Sci. 2024, 14, 1162. https://doi.org/10.3390/app14031162
Pendolino AL, Ferreira J, Scadding GK, Andrews PJ. Quality of Life in NSAIDs-Exacerbated Respiratory Disease on or off Intranasal Lysine Aspirin Therapy. Applied Sciences. 2024; 14(3):1162. https://doi.org/10.3390/app14031162
Chicago/Turabian StylePendolino, Alfonso Luca, Joshua Ferreira, Glenis K. Scadding, and Peter J. Andrews. 2024. "Quality of Life in NSAIDs-Exacerbated Respiratory Disease on or off Intranasal Lysine Aspirin Therapy" Applied Sciences 14, no. 3: 1162. https://doi.org/10.3390/app14031162
APA StylePendolino, A. L., Ferreira, J., Scadding, G. K., & Andrews, P. J. (2024). Quality of Life in NSAIDs-Exacerbated Respiratory Disease on or off Intranasal Lysine Aspirin Therapy. Applied Sciences, 14(3), 1162. https://doi.org/10.3390/app14031162

