Trajectory Planning of Shape-Following Laser Cleaning Robot for the Aircraft Radar Radome Coating
Abstract
1. Introduction
2. Materials and Methods
2.1. Measurement and Preprocessing of Point Cloud Data for Radar Dome Surfaces
2.1.1. Measurement of Raw Point Cloud Data
2.1.2. Point Cloud Data Preprocessing
2.1.3. Point Cloud Data Alignment
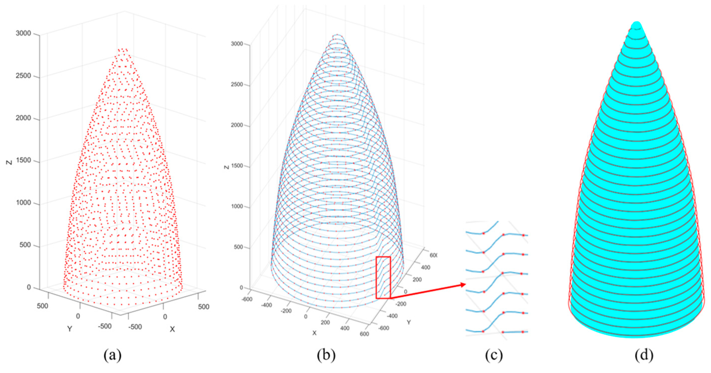
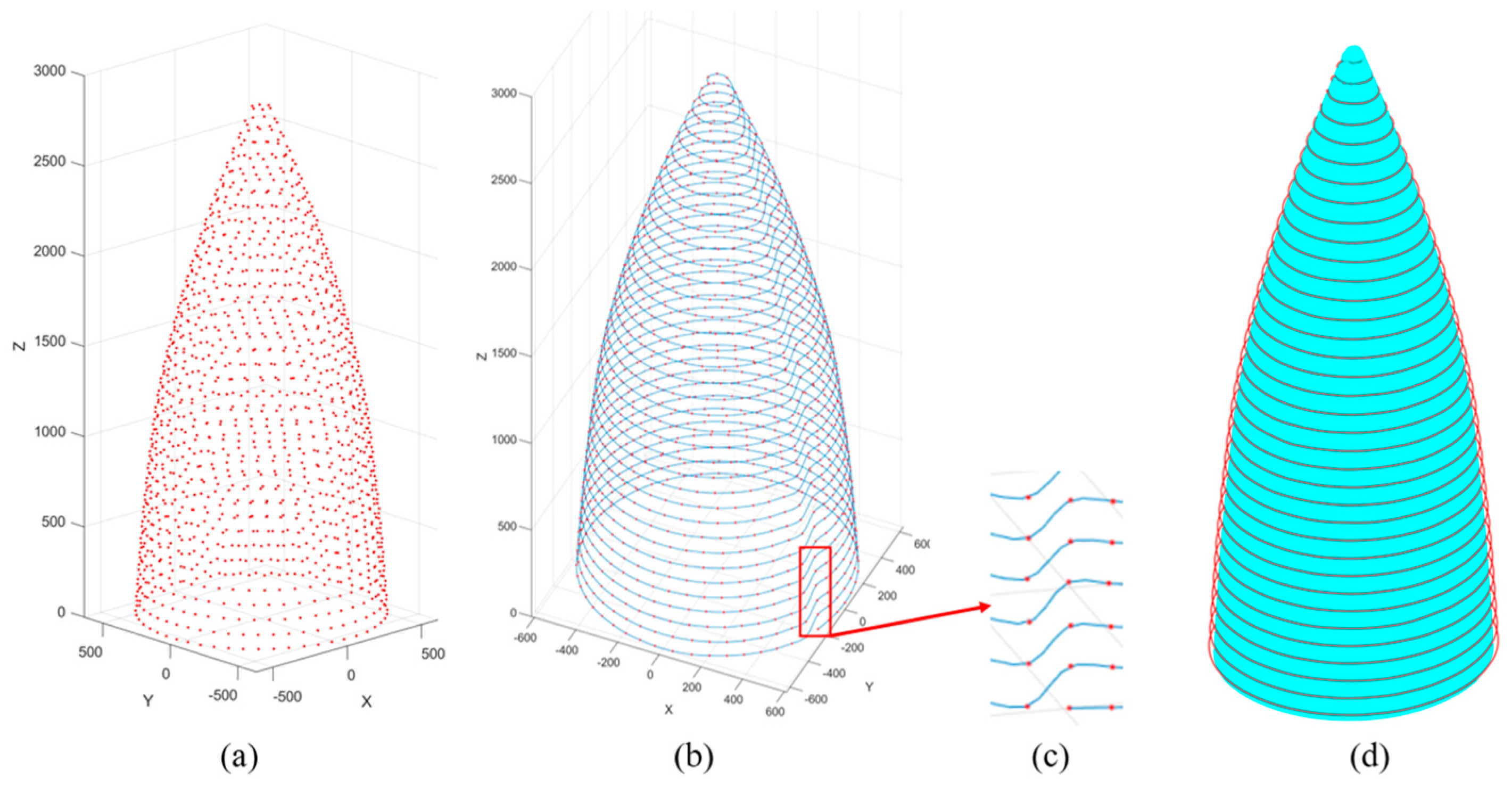
2.2. Slicing and Visualization of Radome Point Cloud Data
2.2.1. Radome Point Cloud Data Slicing Processing
Slicing in the Z-Axis Direction
Projection-Based Point Cloud Segmentation for Radar Hood Geometry
2.2.2. Visualization of Projected Slices
2.3. Laser Cleaning Robot Trajectory Planning
2.3.1. Calibration of Coordinate Relationship between Radome Measurement Point Cloud and Cleaning Robot
2.3.2. Calculation Model for Laser Cleaning Actuator Point Coordinates
Geometric Relationship Model between Cleaning Actuator Points and Sliced Point Cloud
The Estimation of the Normal Vector for the Cleaning Points
2.3.3. Execute Point Fitting to Generate Cleaning Robot Trajectory
Discrete Point Fitting for Generating Cleaning Robot Trajectory
Hierarchical Smooth Transition of Motion Trajectories
3. Results
4. Conclusions and Discussion
Author Contributions
Funding
Institutional Review Board Statement
Informed Consent Statement
Data Availability Statement
Conflicts of Interest
References
- Bertasa, M.; Korenberg, C. Successes and challenges in laser cleaning metal artefacts: A review. J. Cult. Herit. 2022, 53, 100–117. [Google Scholar] [CrossRef]
- Razab, M.K.A.A.; Jaafar, M.S.; Abdullah, N.H.; Suhaimi, F.M.; Mohamed, M.; Adam, N.; Yusuf, N.A.A.N.; Noor, A.M. A review of incorporating Nd:YAG laser cleaning principal in automotive industry. J. Radiat. Res. Appl. Sci. 2018, 11, 393–402. [Google Scholar] [CrossRef]
- Li, X.; Huang, T.; Chong, A.W.; Zhou, R.; Choo, Y.S.; Hong, M. Laser cleaning of steel structure surface for paint removal and repaint adhesion. Opto-Electron. Eng. 2017, 44, 340–344. [Google Scholar]
- Zhang, G.; Hua, X.; Huang, Y.; Zhang, Y.; Li, F.; Shen, C.; Cheng, J. Investigation on mechanism of oxide removal and plasma behavior during laser cleaning on aluminum alloy. Appl. Surf. Sci. 2020, 506, 144666. [Google Scholar] [CrossRef]
- Li, Z.; Zhang, D.; Su, X.; Yang, S.; Xu, J.; Ma, R.; Shan, D.; Guo, B. Removal mechanism of surface cleaning on TA15 titanium alloy using nanosecond pulsed laser. Opt. Laser Technol. 2021, 139, 106998. [Google Scholar] [CrossRef]
- Zhu, G.; Xu, Z.; Jin, Y.; Chen, X.; Yang, L.; Xu, J.; Shan, D.; Chen, Y.; Guo, B. Mechanism and application of laser cleaning: A review. Opt. Lasers Eng. 2022, 157, 107130. [Google Scholar] [CrossRef]
- Ding, K.; Zhou, K.; Feng, G.; Han, J.; Xie, N.; Huang, Z.; Zhou, G. Mechanism and conditions for laser cleaning of micro and nanoparticles on the surface of transparent substrate. Vacuum 2022, 200, 110987. [Google Scholar] [CrossRef]
- Zhao, H.; Qiao, Y.; Du, X.; Wang, S.; Zhang, Q.; Zang, Y.; Liu, X. Laser cleaning performance and mechanism in stripping of Polyacrylate resin paint. Appl. Phys. A 2020, 126, 360. [Google Scholar] [CrossRef]
- Vorobyev, A.Y.; Guo, C. Residual thermal effects in laser ablation of metals. J. Phys. Conf. Ser. Eighth Int. Conf. Laser Ablation 2017, 59, 418–423. [Google Scholar] [CrossRef]
- Li, X.; Zhang, Q.; Zhou, X.; Zhu, D.; Liu, Q. The influence of nanosecond laser pulse energy density for paint removal. Optik 2018, 156, 841–846. [Google Scholar] [CrossRef]
- Bykanova, A.Y.; Kostenko, V.V.; Tolstonogov, A.Y. Development of the underwater robotics complex for laser cleaning of ships from biofouling: Experimental results. IOP Conf. Ser. Earth Environ. Sci. 2020, 459, 032061. [Google Scholar] [CrossRef]
- Zhu, G.; Shi, S.; Fu, G.; Shi, J.; Yang, S.; Meng, W.; Jiang, F. The influence of the substrate-inclined angle on the section size of laser cladding layers based on robot with the inside-beam powder feeding. Int. J. Adv. Manuf. Technol. 2017, 88, 2163–2168. [Google Scholar] [CrossRef]
- De Graaf, M.; Aarts, R.; Jonker, B.; Meijer, J. Real-time seam tracking for robotic laser welding using trajectory-based control. Control Eng. Pract. 2010, 18, 944–953. [Google Scholar] [CrossRef]
- Wei, W.; Chao, Y.U.N. A path planning method for robotic belt surface grinding. Chin. J. Aeronaut. 2011, 24, 520–526. [Google Scholar]
- Bian, Y.; Zhang, Y.; Gao, Z. A path planning method of robotic belt grinding system for grinding workpieces with complex shape surfaces. In Proceedings of the International Conference on Emerging Trends in Engineering and Technology (ICETET), Phuket, Thailand, 7–8 December 2013. [Google Scholar]
- Cai, Z.; Liang, H.; Quan, S.; Deng, S.; Zeng, C.; Zhang, F. Computer-aided robot trajectory auto-generation strategy in thermal spraying. J. Therm. Spray Technol. 2015, 24, 1235–1245. [Google Scholar] [CrossRef]
- Morozov, M.; Pierce, S.G.; MacLeod, C.N.; Mineo, C.; Summan, R. Off-line scan path planning for robotic NDT. Measurement 2018, 122, 284–290. [Google Scholar] [CrossRef]
- Geng, Y.; Zhang, Y.; Tian, X.; Shi, X.; Wang, X.; Cui, Y. A novel welding path planning method based on point cloud for robotic welding of impeller blades. Int. J. Adv. Manuf. Technol. 2022, 119, 8025–8038. [Google Scholar] [CrossRef]
- Zhang, Z.; Zhang, H.; Yu, X.; Deng, Y.; Chen, Z. Robotic trajectory planning for non-destructive testing based on surface 3D point cloud data. J. Phys. Conf. Ser. 2021, 1965, 012148. [Google Scholar] [CrossRef]
- Hu, D.; Gan, V.J.L.; Wang, T.; Ma, L. Multi-agent robotic system (MARS) for UAV-UGV path planning and automatic sensory data collection in cluttered environments. Build. Environ. 2022, 221, 109349. [Google Scholar] [CrossRef]
- Ye, X.; Luo, L.; Hou, L.; Duan, Y.; Wu, Y. Laser ablation manipulator coverage path planning method based on an improved ant colony algorithm. Appl. Sci. 2020, 10, 8641. [Google Scholar] [CrossRef]
- Shuo, J.; Yuan, R.; Qingzeng, M.; Hailong, G.; Wenlong, L.; Wei, C. Off-line programming of robot on laser cleaning for large complex components. J. Phys. Conf. Ser. 2021, 1748, 022027. [Google Scholar] [CrossRef]
- Miknis, M.; Davies, R.; Plassmann, P.; Ware, A. Efficient point cloud pre-processing using the point cloud library. Int. J. Image Process. 2016, 10, 63. [Google Scholar]
- Gordon, W.J.; Riesenfeld, R.F. B-spline curves and surfaces. In Computer Aided Geometric Design; Academic Press: Cambridge, MA, USA, 1974; pp. 95–126. [Google Scholar]
- Schoenberg, I.J. Contributions to the problem of approximation of equidistant data by analytic functions. Part B. On the problem of osculatory interpolation. A second class of analytic approximation formulae. Q. Appl. Math. 1946, 4, 112–141. [Google Scholar] [CrossRef]
- De Boor, C. On calculating with B-splines. J. Approx. Theory 1972, 6, 50–62. [Google Scholar] [CrossRef]
- De Boor, C. A Practical Guide to Splines; Springer: New York, NY, USA, 1978. [Google Scholar]
- Cox, M.G. The numerical evaluation of B-splines. IMA J. Appl. Math. 1972, 10, 134–149. [Google Scholar] [CrossRef]
- Pan, C.Q.; Zhu, X.W.; Yang, W.F. Design of robotic laser shape-follow cleaning control system for large freeform surface workpiece. Appl. Laser 2021, 41, 1280–1286. [Google Scholar]















| Designation | Parameters |
|---|---|
| Pulse width | 100 ns |
| Beam diameter | 340 um |
| Repetition rate | 20–50 kHz (continuously adjustable) |
| Maximum single pulse energy | 50 mJ |
Disclaimer/Publisher’s Note: The statements, opinions and data contained in all publications are solely those of the individual author(s) and contributor(s) and not of MDPI and/or the editor(s). MDPI and/or the editor(s) disclaim responsibility for any injury to people or property resulting from any ideas, methods, instructions or products referred to in the content. |
© 2024 by the authors. Licensee MDPI, Basel, Switzerland. This article is an open access article distributed under the terms and conditions of the Creative Commons Attribution (CC BY) license (https://creativecommons.org/licenses/by/4.0/).
Share and Cite
Zeng, Z.; Jiang, C.; Ding, S.; Li, Q.; Zhai, Z.; Chen, D. Trajectory Planning of Shape-Following Laser Cleaning Robot for the Aircraft Radar Radome Coating. Appl. Sci. 2024, 14, 1163. https://doi.org/10.3390/app14031163
Zeng Z, Jiang C, Ding S, Li Q, Zhai Z, Chen D. Trajectory Planning of Shape-Following Laser Cleaning Robot for the Aircraft Radar Radome Coating. Applied Sciences. 2024; 14(3):1163. https://doi.org/10.3390/app14031163
Chicago/Turabian StyleZeng, Zhen, Chengzhao Jiang, Shanting Ding, Qinyang Li, Zhongsheng Zhai, and Daizhe Chen. 2024. "Trajectory Planning of Shape-Following Laser Cleaning Robot for the Aircraft Radar Radome Coating" Applied Sciences 14, no. 3: 1163. https://doi.org/10.3390/app14031163
APA StyleZeng, Z., Jiang, C., Ding, S., Li, Q., Zhai, Z., & Chen, D. (2024). Trajectory Planning of Shape-Following Laser Cleaning Robot for the Aircraft Radar Radome Coating. Applied Sciences, 14(3), 1163. https://doi.org/10.3390/app14031163

