Effect of Aggregate Crystalline Surface Anisotropy on Asphalt–Aggregate Interface Interaction Based on Molecular Dynamics
Abstract
1. Introduction
2. Molecular Models and Simulation Methods
2.1. Molecular Model of Asphalt
2.2. Molecular Model of Aggregates
2.3. Model of Asphalt–Aggregate Interface
3. Results and Discussion
3.1. Distribution of Asphalt Compositions on Aggregate Surface
3.2. Diffusion of Asphalt Compositions on Aggregate Surface
3.3. Adhesion of Asphalt with Aggregates
4. Conclusions
- (1).
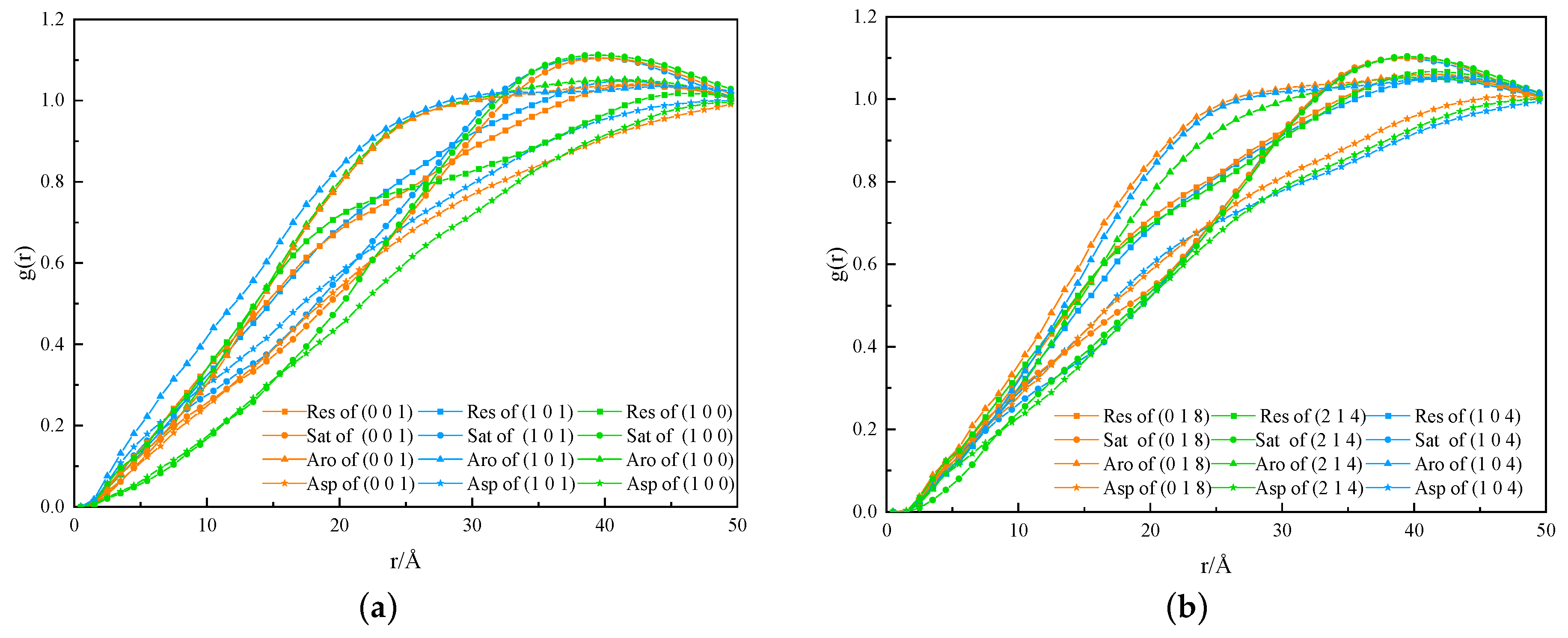
- As the distance r from the aggregate surface increases, the RDF gradually increases and stabilizes. The spatial distribution of the asphalt components is essentially the same on all exposed surfaces, regardless of whether they are in alkaline or acidic aggregates. The RDF varies with different crystalline surfaces, and higher RDF values indicate the better adhesion performance of the system.
- (2).
- There are significant differences in the diffusion performance of asphalt molecules under different crystalline surfaces, and the diffusion behaviors of each asphalt component vary markedly. The pattern of the adhesion energy is consistent with the diffusion behavior of asphalt molecules on different aggregates: aggregates with strong adhesion energy exhibit slower diffusion, while those with weaker adhesion energy exhibit faster diffusion. The higher the interaction energy of particles with strong primary adhesion, the greater the attraction between them, resulting in less spreading.
- (3).
- The anisotropy of aggregate crystalline surfaces significantly affects the asphalt–aggregate adhesion performance. For the asphalt–SiO2 system, the interaction energy is dominated by van der Waals energy, with the surface atomic density having a large influence. The smaller the gap, the larger the van der Waals energy. The adhesion energy is ranked as (1 0 1) > (0 0 1) > (1 0 0). For the asphalt–CaCO3 system, both van der Waals and electrostatic energy’s effects are not negligible, and the greater the number of ionic bonds, the stronger the electrostatic attraction of the aggregate surface to the asphalt. The order of the adhesion work is (0 1 8) > (1 0 4) > (2 1 4).
Author Contributions
Funding
Institutional Review Board Statement
Informed Consent Statement
Data Availability Statement
Conflicts of Interest
References
- Kim, Y.-R.; Little, D.N.; Lytton, R.L. Fatigue and Healing Characterization of Asphalt Mixtures. J. Mater. Civ. Eng. 2003, 15, 75–83. [Google Scholar] [CrossRef]
- Wang, W.; Wang, L.; Xiong, H.; Luo, R. A Review and Perspective for Research on Moisture Damage in Asphalt Pavement Induced by Dynamic Pore Water Pressure. Constr. Build. Mater. 2019, 204, 631–642. [Google Scholar] [CrossRef]
- Chu, L.; Luo, L.; Fwa, T.F. Effects of Aggregate Mineral Surface Anisotropy on Asphalt-Aggregate Interfacial Bonding Using Molecular Dynamics (MD) Simulation. Constr. Build. Mater. 2019, 225, 1–12. [Google Scholar] [CrossRef]
- Luo, L.; Chu, L.; Fwa, T.F. Molecular Dynamics Analysis of Moisture Effect on Asphalt-Aggregate Adhesion Considering Anisotropic Mineral Surfaces. Appl. Surf. Sci. 2020, 527, 146830. [Google Scholar] [CrossRef]
- Dong, Z.; Liu, Z.; Wang, P.; Gong, X. Nanostructure Characterization of Asphalt-Aggregate Interface through Molecular Dynamics Simulation and Atomic Force Microscopy. Fuel 2017, 189, 155–163. [Google Scholar] [CrossRef]
- Qiu, X.; Xiao, S.; Yang, Q.; Wang, Y.; Wang, F. Meso-Scale Analysis on Shear Failure Characteristics of Asphalt–Aggregate Interface. Mater. Struct. 2017, 50, 209. [Google Scholar] [CrossRef]
- Dong, M.; Sun, W.; Li, L.; Gao, Y. Effect of Asphalt Film Thickness on Shear Mechanical Properties of Asphalt-Aggregate Interface. Constr. Build. Mater. 2020, 263, 120208. [Google Scholar] [CrossRef]
- Ji, J.; Yao, H.; Liu, L.; Suo, Z.; Zhai, P.; Yang, X.; You, Z. Adhesion Evaluation of Asphalt-Aggregate Interface Using Surface Free Energy Method. Appl. Sci. 2017, 7, 156. [Google Scholar] [CrossRef]
- Cui, B.; Wang, H. Molecular Interaction of Asphalt-Aggregate Interface Modified by Silane Coupling Agents at Dry and Wet Conditions. Appl. Surf. Sci. 2022, 572, 151365. [Google Scholar] [CrossRef]
- Lu, Y.; Wang, L. Atomistic Modelling of Moisture Sensitivity: A Damage Mechanisms Study of Asphalt Concrete Interfaces. Road Mater. Pavement 2017, 18, 200–214. [Google Scholar] [CrossRef]
- Gao, Y.; Zhang, Y.; Gu, F.; Xu, T.; Wang, H. Impact of Minerals and Water on Bitumen-Mineral Adhesion and Debonding Behaviours Using Molecular Dynamics Simulations. Constr. Build. Mater. 2018, 171, 214–222. [Google Scholar] [CrossRef]
- Zhang, H.; Huang, M.; Hong, J.; Lai, F.; Gao, Y. Molecular Dynamics Study on Improvement Effect of Bis(2-Hydroxyethyl) Terephthalate on Adhesive Properties of Asphalt-Aggregate Interface. Fuel 2021, 285, 119175. [Google Scholar] [CrossRef]
- Thyr, J.; Österlund, L.; Edvinsson, T. Polarized and Non-Polarized Raman Spectroscopy of ZnO Crystals: Method for Determination of Crystal Growth and Crystal Plane Orientation for Nanomaterials. J. Raman Spectrosc. 2021, 52, 1395–1405. [Google Scholar] [CrossRef]
- Petrisor, G.; Motelica, L.; Ficai, D.; Trusca, R.D.; Surdu, V.-A.; Voicu, G.; Oprea, O.C.; Ficai, A.; Andronescu, E. New Mesoporous Silica Materials Loaded with Polyphenols: Caffeic Acid, Ferulic Acid and p-Coumaric Acid as Dietary Supplements for Oral Administration. Materials 2022, 15, 7982. [Google Scholar] [CrossRef]
- Peng, C.; Lu, L.; You, Z.; Xu, F.; You, L.; Miljković, M.; Guo, C.; Huang, S.; Ma, H.; Hu, Y.; et al. Influence of Silane-Hydrolysate Coupling Agents on Bitumen–Aggregate Interfacial Adhesion: An Exploration from Molecular Dynamics Simulation. Int. J. Adhes. Adhes. 2022, 112, 102993. [Google Scholar] [CrossRef]
- Chen, P.; Luo, X.; Gao, Y.; Zhang, Y. Modeling Percentages of Cohesive and Adhesive Debonding in Bitumen-Aggregate Interfaces Using Molecular Dynamics Approaches. Appl. Surf. Sci. 2022, 571, 151318. [Google Scholar] [CrossRef]
- Gao, Y.; Zhang, Y.; Yang, Y.; Zhang, J.; Gu, F. Molecular Dynamics Investigation of Interfacial Adhesion between Oxidised Bitumen and Mineral Surfaces. Appl. Surf. Sci. 2019, 479, 449–462. [Google Scholar] [CrossRef]
- Li, D.D.; Greenfield, M.L. Chemical Compositions of Improved Model Asphalt Systems for Molecular Simulations. Fuel 2014, 115, 347–356. [Google Scholar] [CrossRef]
- Du, Z.; Zhu, X. Molecular Dynamics Simulation to Investigate the Adhesion and Diffusion of Asphalt Binder on Aggregate Surfaces. Transp. Res. Rec. J. Transp. Res. Board. 2019, 2673, 500–512. [Google Scholar] [CrossRef]
- Tabatabaee, H.A.; Velasquez, R.; Bahia, H.U. Predicting Low Temperature Physical Hardening in Asphalt Binders. Constr. Build. Mater. 2012, 34, 162–169. [Google Scholar] [CrossRef]
- Wang, P.; Dong, Z.; Tan, Y.; Liu, Z. Investigating the Interactions of the Saturate, Aromatic, Resin, and Asphaltene Four Fractions in Asphalt Binders by Molecular Simulations. Energy Fuels 2015, 29, 112–121. [Google Scholar] [CrossRef]
- Tran, R.; Xu, Z.; Radhakrishnan, B.; Winston, D.; Sun, W.; Persson, K.A.; Ong, S.P. Surface Energies of Elemental Crystals. Sci. Data 2016, 3, 160080. [Google Scholar] [CrossRef]
- Bretheau, T.; Castaing, J.; Rabier, J.; Veyssière, P. Summary Dislocation Motion and High Temperature Plasticity of Binary and Ternary Oxides. Adv. Phys. 1979, 28, 829–834. [Google Scholar] [CrossRef]
- Goumans, T.P.M.; Wander, A.; Brown, W.A.; Catlow, C.R.A. Structure and Stability of the (001) α-Quartz Surface. Phys. Chem. Chem. Phys. 2007, 9, 2146–2152. [Google Scholar] [CrossRef] [PubMed]
- Nagai, S.; Urata, S.; Suga, K.; Fukuma, T.; Hayashi, Y.; Miyazawa, K. Three-Dimensional Ordering of Water Molecules Reflecting Hydroxyl Groups on Sapphire (001) and α-Quartz (100) Surfaces. Nanoscale 2023, 15, 13262–13271. [Google Scholar] [CrossRef]
- Zhang, C.; Xu, Z.; Hu, Y.; He, J.; Tian, M.; Zhou, J.; Zhou, Q.; Chen, S.; Chen, D.; Chen, P.; et al. Novel Insights into the Hydroxylation Behaviors of α-Quartz (101) Surface and Its Effects on the Adsorption of Sodium Oleate. Minerals 2019, 9, 450. [Google Scholar] [CrossRef]
- De Leeuw, N.H.; Parker, S.C. Surface Structure and Morphology of Calcium Carbonate Polymorphs Calcite, Aragonite, and Vaterite: An Atomistic Approach. J. Phys. Chem. B 1998, 102, 2914–2922. [Google Scholar] [CrossRef]
- Zhao, M.; Li, S.; Wang, M.; Guan, X.; Zhao, R. Adsorption of Water and Formic Acid Molecules on the (104) Surface of Calcite: A Theoretical Study by DFT-D3. New J. Chem. 2023, 47, 8737–8743. [Google Scholar] [CrossRef]
- Bruno, M.; Massaro, F.R.; Rubbo, M.; Prencipe, M.; Aquilano, D. (10.4), (01.8), (01.2), and (00.1) Twin Laws of Calcite (CaCO3): Equilibrium Geometry of the Twin Boundary Interfaces and Twinning Energy. Cryst. Growth Des. 2010, 10, 3102–3109. [Google Scholar] [CrossRef]
- Liu, J.; Yu, B.; Hong, Q. Molecular Dynamics Simulation of Distribution and Adhesion of Asphalt Components on Steel Slag. Constr. Build. Mater. 2020, 255, 119332. [Google Scholar] [CrossRef]
- Long, Z.; You, L.; Tang, X.; Ma, W.; Ding, Y.; Xu, F. Analysis of Interfacial Adhesion Properties of Nano-Silica Modified Asphalt Mixtures Using Molecular Dynamics Simulation. Constr. Build. Mater. 2020, 255, 119354. [Google Scholar] [CrossRef]
- Sun, W.; Wang, H. Moisture Effect on Nanostructure and Adhesion Energy of Asphalt on Aggregate Surface: A Molecular Dynamics Study. Appl. Surf. Sci. 2020, 510, 145435. [Google Scholar] [CrossRef]
- Grimme, S. Density Functional Theory with London Dispersion Corrections. WIREs Comput. Mol. Sci. 2011, 1, 211–228. [Google Scholar] [CrossRef]
- Alvarez, A.E.; Ovalles, E.; Caro, S. Assessment of the Effect of Mineral Filler on Asphalt–Aggregate Interfaces Based on Thermodynamic Properties. Constr. Build. Mater. 2012, 28, 599–606. [Google Scholar] [CrossRef]
- Tan, Y.; Guo, M. Using Surface Free Energy Method to Study the Cohesion and Adhesion of Asphalt Mastic. Constr. Build. Mater. 2013, 47, 254–260. [Google Scholar] [CrossRef]
- Abo-Qudais, S.; Al-Shweily, H. Effect of Aggregate Properties on Asphalt Mixtures Stripping and Creep Behavior. Constr. Build. Mater. 2007, 21, 1886–1898. [Google Scholar] [CrossRef]
- Wright, L.B.; Walsh, T.R. Facet Selectivity of Binding on Quartz Surfaces: Free Energy Calculations of Amino-Acid Analogue Adsorption. J. Phys. Chem. C 2012, 116, 2933–2945. [Google Scholar] [CrossRef]














| Reference | Surface | |
|---|---|---|
| SiO2 | CaCO3 | |
| Luo et al. [4] | (0 0 1), (1 0 1) | (1 0 4), (0 1 8), (2 1 4) |
| Peng et al. [15] | (0 0 1) | (0 1 8) |
| Chen et al. [16] | (0 0 1), (1 0 1), (0 1 0), (1 0 0) | - |
| Gao et al. [17] | (1 0 0) | - |
| Chu et al. [3] | (0 0 1), (1 0 1), (1 0 0) | (1 0 4), (0 1 8), (2 1 4) |
| Components | Molecular Name | No. of Molecules in Proportion | Molecular Formula | Molecular Mass (g/mol) | Mass Ratio (%) |
|---|---|---|---|---|---|
| Resin (Res) | Pyridinohopane | 4 | C36H57N | 503.9 | 6.2 |
| Thio-isorenieratane | 4 | C40H60S | 572.9 | 7.0 | |
| Trimethylbenzene-oxane | 5 | C29H50O | 414.7 | 6.4 | |
| Quinolinohopane | 4 | C40H59N | 554.0 | 6.8 | |
| Benzobisbenzothiophene | 15 | C18H10S2 | 290.4 | 13.4 | |
| Saturate (Sat) | Squalane | 4 | C30H62 | 422.9 | 5.2 |
| Hopane | 4 | C35H62 | 482.8 | 5.8 | |
| Aromatics (Aro) | PHPN | 11 | C35H44 | 464.8 | 15.7 |
| DOCHN | 13 | C30H46 | 406.8 | 16.2 | |
| Asphaltenes (Asp) | Pyrrole | 2 | C66H81N | 888.5 | 5.5 |
| Phenol | 3 | C42H54O | 575 | 5.3 | |
| Thiophene | 3 | C51H62S | 707.2 | 6.5 |
Disclaimer/Publisher’s Note: The statements, opinions and data contained in all publications are solely those of the individual author(s) and contributor(s) and not of MDPI and/or the editor(s). MDPI and/or the editor(s) disclaim responsibility for any injury to people or property resulting from any ideas, methods, instructions or products referred to in the content. |
© 2024 by the authors. Licensee MDPI, Basel, Switzerland. This article is an open access article distributed under the terms and conditions of the Creative Commons Attribution (CC BY) license (https://creativecommons.org/licenses/by/4.0/).
Share and Cite
Li, J.; He, L. Effect of Aggregate Crystalline Surface Anisotropy on Asphalt–Aggregate Interface Interaction Based on Molecular Dynamics. Appl. Sci. 2024, 14, 11969. https://doi.org/10.3390/app142411969
Li J, He L. Effect of Aggregate Crystalline Surface Anisotropy on Asphalt–Aggregate Interface Interaction Based on Molecular Dynamics. Applied Sciences. 2024; 14(24):11969. https://doi.org/10.3390/app142411969
Chicago/Turabian StyleLi, Jian, and Liang He. 2024. "Effect of Aggregate Crystalline Surface Anisotropy on Asphalt–Aggregate Interface Interaction Based on Molecular Dynamics" Applied Sciences 14, no. 24: 11969. https://doi.org/10.3390/app142411969
APA StyleLi, J., & He, L. (2024). Effect of Aggregate Crystalline Surface Anisotropy on Asphalt–Aggregate Interface Interaction Based on Molecular Dynamics. Applied Sciences, 14(24), 11969. https://doi.org/10.3390/app142411969

