Heart Rate Measurement Accuracy During Intermittent Efforts Under Laboratory Conditions: A Comparative Analysis Between Chest Straps and Armband
Abstract
1. Introduction
2. Materials and Methods
2.1. Experimental Approach to the Problem
2.2. Participants
2.3. Procedure
2.4. Statistical Analysis
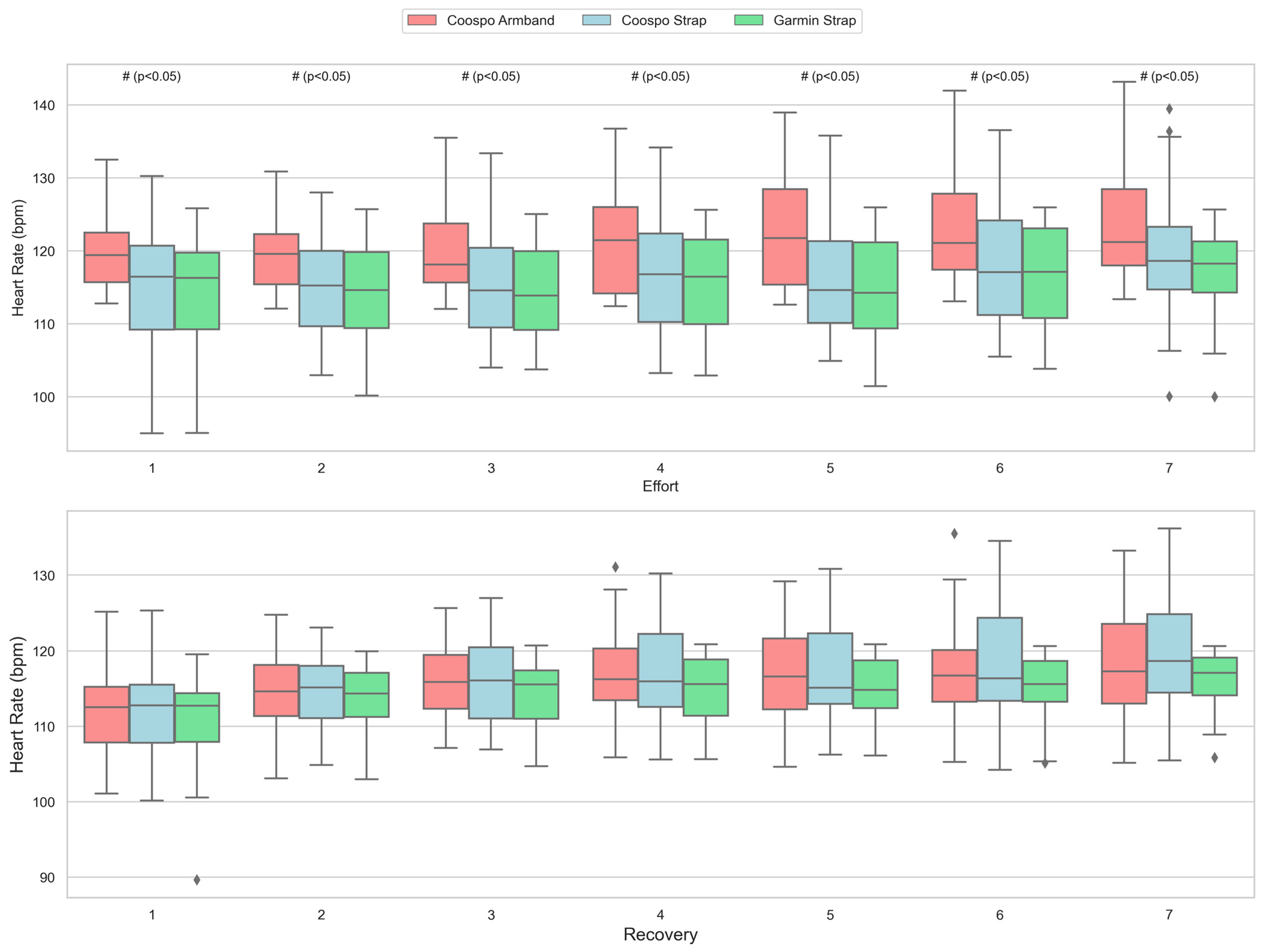
3. Results
4. Discussion
5. Conclusions
Author Contributions
Funding
Institutional Review Board Statement
Informed Consent Statement
Data Availability Statement
Conflicts of Interest
References
- Grant, C.C.; Murray, C.; Janse Van Rensburg, D.C.; Fletcher, L. A Comparison between Heart Rate and Heart Rate Variability as Indicators of Cardiac Health and Fitness. Front. Physiol. 2013, 4, 337. [Google Scholar] [CrossRef] [PubMed]
- Espasa-Labrador, J.; Fort-Vanmeerhaeghe, A.; Montalvo, A.M.; Carrasco-Marginet, M.; Irurtia, A.; Calleja-Gonzalez, J. Monitoring Internal Load in Women’s Basketball via Subjective and Device-Based Methods: A Systematic Review. Sensors 2023, 23, 4447. [Google Scholar] [CrossRef] [PubMed]
- Mujika, I. Quantification of Training and Competition Loads in Endurance Sports: Methods and Applications. Int. J. Sports Physiol. Perform. 2017, 12, S29–S217. [Google Scholar] [CrossRef] [PubMed]
- Rojas-Valverde, D. Wearables for Internal Workload Monitoring: Combined Heart Rate and Mechanical Sensors. In The Use of Applied Technology in Team Sport; Routledge: London, UK, 2021; ISBN 978-1-00-315700-7. [Google Scholar]
- Sammito, S.; Thielmann, B.; Klussmann, A.; Deußen, A.; Braumann, K.-M.; Böckelmann, I. Guideline for the Application of Heart Rate and Heart Rate Variability in Occupational Medicine and Occupational Health Science. J. Occup. Med. Toxicol. 2024, 19, 15. [Google Scholar] [CrossRef] [PubMed]
- Buchheit, M. Monitoring Training Status with HR Measures: Do All Roads Lead to Rome? Front. Physiol. 2014, 5, 73. [Google Scholar] [CrossRef]
- Schneider, C.; Hanakam, F.; Wiewelhove, T.; Döweling, A.; Kellmann, M.; Meyer, T.; Pfeiffer, M.; Ferrauti, A. Heart Rate Monitoring in Team Sports—A Conceptual Framework for Contextualizing Heart Rate Measures for Training and Recovery Prescription. Front. Physiol. 2018, 9, 639. [Google Scholar] [CrossRef]
- Hoogeveen, A.R.; Schep, G.; Hoogsteen, J. The Ventilatory Threshold, Heart Rate, and Endurance Performance: Relationships in Elite Cyclists. Int. J. Sports Med. 1999, 20, 114–117. [Google Scholar] [CrossRef]
- Lucía, A.; Hoyos, J.; Pérez, M.; Chicharro, J.L. Heart Rate and Performance Parameters in Elite Cyclists: A Longitudinal Study. Med. Sci. Sports Exerc. 2000, 32, 1777–1782. [Google Scholar] [CrossRef]
- Reis, V.M.; den Tillaar, R.V.; Marques, M.C. Higher Precision of Heart Rate Compared with VO2 to Predict Exercise Intensity in Endurance-Trained Runners. J. Sports Sci. Med. 2011, 10, 164–168. [Google Scholar]
- Gajda, R.; Gajda, J.; Czuba, M.; Knechtle, B.; Drygas, W. Sports Heart Monitors as Reliable Diagnostic Tools for Training Control and Detecting Arrhythmias in Professional and Leisure-Time Endurance Athletes: An Expert Consensus Statement. Sports Med. 2024, 54, 1–21. [Google Scholar] [CrossRef]
- Parak, J.; Salonen, M.; Myllymäki, T.; Korhonen, I. Comparison of Heart Rate Monitoring Accuracy between Chest Strap and Vest during Physical Training and Implications on Training Decisions. Sensors 2021, 21, 8411. [Google Scholar] [CrossRef] [PubMed]
- Pasadyn, S.R.; Soudan, M.; Gillinov, M.; Houghtaling, P.; Phelan, D.; Gillinov, N.; Bittel, B.; Desai, M.Y. Accuracy of Commercially Available Heart Rate Monitors in Athletes: A Prospective Study. Cardiovasc. Diagn. Ther. 2019, 9, 379–385. [Google Scholar] [CrossRef] [PubMed]
- Marzano-Felisatti, J.M.; De Lucca, L.; Guzmán Luján, J.F.; Priego-Quesada, J.I.; Pino-Ortega, J. A Preliminary Investigation about the Influence of WIMU PROTM Location on Heart Rate Accuracy: A Comparative Study in Cycle Ergometer. Sensors 2024, 24, 988. [Google Scholar] [CrossRef] [PubMed]
- Jung, H.C.; Kang, M.; Lee, N.H.; Jeon, S.; Lee, S. Impact of Placement of Fitbit HR under Laboratory and Free-Living Conditions. Sustainability 2020, 12, 6306. [Google Scholar] [CrossRef]
- Zhang, Y.; Weaver, R.G.; Armstrong, B.; Burkart, S.; Zhang, S.; Beets, M.W. Validity of Wrist-Worn Photoplethysmography Devices to Measure Heart Rate: A Systematic Review and Meta-Analysis. J. Sports Sci. 2020, 38, 2021–2034. [Google Scholar] [CrossRef]
- Ge, Z.; Prasad, P.W.C.; Costadopoulos, N.; Alsadoon, A.; Singh, A.K.; Elchouemi, A. Evaluating the Accuracy of Wearable Heart Rate Monitors. In Proceedings of the 2016 2nd International Conference on Advances in Computing, Communication, & Automation (ICACCA) (Fall), Bareilly, India, 30 September–1 October 2016; pp. 1–6. [Google Scholar]
- Etiwy, M.; Akhrass, Z.; Gillinov, L.; Alashi, A.; Wang, R.; Blackburn, G.; Gillinov, S.M.; Phelan, D.; Gillinov, A.M.; Houghtaling, P.L.; et al. Accuracy of Wearable Heart Rate Monitors in Cardiac Rehabilitation. Cardiovasc. Diagn. Ther. 2019, 9, 262–271. [Google Scholar] [CrossRef]
- Sartor, F.; Gelissen, J.; van Dinther, R.; Roovers, D.; Papini, G.B.; Coppola, G. Wrist-Worn Optical and Chest Strap Heart Rate Comparison in a Heterogeneous Sample of Healthy Individuals and in Coronary Artery Disease Patients. BMC Sports Sci. Med. Rehabil. 2018, 10, 10. [Google Scholar] [CrossRef]
- Tamura, T.; Maeda, Y.; Sekine, M.; Yoshida, M. Wearable Photoplethysmographic Sensors—Past and Present. Electronics 2014, 3, 282–302. [Google Scholar] [CrossRef]
- Dehghanojamahalleh, S.; Kaya, M. Sex-Related Differences in Photoplethysmography Signals Measured from Finger and Toe. IEEE J. Transl. Eng. Health Med. 2019, 7, 1–7. [Google Scholar] [CrossRef]
- Mühlen, J.M.; Stang, J.; Skovgaard, E.L.; Judice, P.B.; Molina-Garcia, P.; Johnston, W.; Sardinha, L.B.; Ortega, F.B.; Caulfield, B.; Bloch, W.; et al. Recommendations for Determining the Validity of Consumer Wearable Heart Rate Devices: Expert Statement and Checklist of the INTERLIVE Network. Br. J. Sports Med. 2021, 55, 767–779. [Google Scholar] [CrossRef]
- Shcherbina, A.; Mattsson, C.M.; Waggott, D.; Salisbury, H.; Christle, J.W.; Hastie, T.; Wheeler, M.T.; Ashley, E.A. Accuracy in Wrist-Worn, Sensor-Based Measurements of Heart Rate and Energy Expenditure in a Diverse Cohort. J. Pers. Med. 2017, 7, 3. [Google Scholar] [CrossRef] [PubMed]
- Hermand, E.; Cassirame, J.; Ennequin, G.; Hue, O. Validation of a Photoplethysmographic Heart Rate Monitor: Polar OH1. Int. J. Sports Med. 2019, 40, 462–467. [Google Scholar] [CrossRef] [PubMed]
- Yu, H.; Kotlyar, M.; Dufresne, S.; Thuras, P.; Pakhomov, S. Feasibility of Using an Armband Optical Heart Rate Sensor in Naturalistic Environment. bioRxiv 2022. [Google Scholar] [CrossRef]
- Cohen, J. A Power Primer. Psychol. Bull. 1992, 112, 155–159. [Google Scholar] [CrossRef] [PubMed]
- Weir, J.P. Quantifying Test-Retest Reliability Using the Intraclass Correlation Coefficient and the SEM. J. Strength Cond. Res. 2005, 19, 231–240. [Google Scholar] [CrossRef]
- Altman, D.G.; Bland, J.M. Measurement in Medicine: The Analysis of Method Comparison Studies. J. R. Stat. Soc. Ser. D 1983, 32, 307–317. [Google Scholar] [CrossRef]
- Weiler, D.T.; Villajuan, S.O.; Edkins, L.; Cleary, S.; Saleem, J.J. Wearable Heart Rate Monitor Technology Accuracy in Research: A Comparative Study Between PPG and ECG Technology. Proc. Hum. Factors Ergon. Soc. Annu. Meet. 2017, 61, 1292–1296. [Google Scholar] [CrossRef]
- Meier, M.; Holz, C. Assessing the Accuracy of Photoplethysmography for Wearable Heart Rate Monitoring Based on Body Location and Body Motion in Uncontrolled Outdoor Environments. Curr. Issues Sport Sci. 2024, 9, 059. [Google Scholar] [CrossRef]





| Stage | CS (bpm) Mean (CV) | GS (bpm) Mean (CV) | CA (bpm) Mean (CV) | CS-GS ICC (Low, Up) | GS-CA ICC (Low, Up) | CS-CA ICC (Low, Up) |
|---|---|---|---|---|---|---|
| Effort 1 | 115 (10) | 115 (10) | 114 (9) | 1.00 (0.90, 1.10) | 0.10 (0.04, 0.15) | 0.11 (0.06, 0.16) |
| Effort 2 | 116 (10) | 116 (10) | 116 (11) | 0.86 (0.77, 0.96) | 0.17 (0.11, 0.23) | 0.10 (0.06, 0.15) |
| Effort 3 | 116 (11) | 116 (10) | 115 (10) | 0.91 (0.82, 1.00) | 0.59 (0.57, 0.61) | 0.50 (0.47, 0.52) |
| Effort 4 | 117 (11) | 117 (11) | 117 (11) | 0.90 (0.99, 0.81) | 0.10 (0.05, 0.14) | 0.15 (0.09, 0.21) |
| Effort 5 | 118 (12) | 118 (12) | 117 (12) | 1.00 (0.90, 1.10) | 0.47 (0.45, 0.50) | 0.45 (0.42, 0.48) |
| Effort 6 | 117 (12) | 117 (12) | 116 (12) | 0.89 (0.98, 0.79) | 0.47 (0.44, 0.49) | 0.32 (0.29, 0.36) |
| Effort 7 | 119 (12) | 119 (11) | 118 (12) | 0.97 (0.87, 1.07) | 0.46 (0.43, 0.48) | 0.39 (0.36, 0.47) |
| Recovery 1 | 117 (12) | 117 (12) | 119 (11) | 0.76 (0.68, 0.85) | 0.69 (0.67, 0.70) | 0.58 (0.56, 0.60) |
| Recovery 2 | 118 (12) | 117 (12) | 120 (12) | 0.72 (0.64, 0.80) | 0.77 (0.76, 0.78) | 0.70 (0.69, 0.71) |
| Recovery 3 | 119 (11) | 119 (11) | 121 (11) | 0.60 (0.52, 0.68) | 0.70 (0.68, 0.71) | 0.55 (0.53, 0.57) |
| Recovery 4 | 121 (11) | 120 (11) | 123 (11) | 0.61 (0.53, 0.69) | 0.74 (0.73, 0.75) | 0.63 (0.61, 0.65) |
| Recovery 5 | 124 (11) | 123 (11) | 125 (11) | 0.62 (0.54, 0.69) | 0.71 (0.70, 0.73) | 0.59 (0.57, 0.61) |
| Recovery 6 | 124 (11) | 124 (11) | 126 (10) | 0.63 (0.71, 0.55) | 0.77 (0.76, 0.78) | 0.68 (0.67, 0.70) |
| Recovery 7 | 123 (12) | 123 (12) | 125 (11) | 0.60 (0.62, 0.81) | 0.76 (0.75, 0.77) | 0.61 (0.59, 0.63) |
Disclaimer/Publisher’s Note: The statements, opinions and data contained in all publications are solely those of the individual author(s) and contributor(s) and not of MDPI and/or the editor(s). MDPI and/or the editor(s) disclaim responsibility for any injury to people or property resulting from any ideas, methods, instructions or products referred to in the content. |
© 2024 by the authors. Licensee MDPI, Basel, Switzerland. This article is an open access article distributed under the terms and conditions of the Creative Commons Attribution (CC BY) license (https://creativecommons.org/licenses/by/4.0/).
Share and Cite
Marzano-Felisatti, J.M.; De Lucca, L.; Priego-Quesada, J.I.; Pino-Ortega, J. Heart Rate Measurement Accuracy During Intermittent Efforts Under Laboratory Conditions: A Comparative Analysis Between Chest Straps and Armband. Appl. Sci. 2024, 14, 11872. https://doi.org/10.3390/app142411872
Marzano-Felisatti JM, De Lucca L, Priego-Quesada JI, Pino-Ortega J. Heart Rate Measurement Accuracy During Intermittent Efforts Under Laboratory Conditions: A Comparative Analysis Between Chest Straps and Armband. Applied Sciences. 2024; 14(24):11872. https://doi.org/10.3390/app142411872
Chicago/Turabian StyleMarzano-Felisatti, Joaquín Martín, Leonardo De Lucca, José Ignacio Priego-Quesada, and José Pino-Ortega. 2024. "Heart Rate Measurement Accuracy During Intermittent Efforts Under Laboratory Conditions: A Comparative Analysis Between Chest Straps and Armband" Applied Sciences 14, no. 24: 11872. https://doi.org/10.3390/app142411872
APA StyleMarzano-Felisatti, J. M., De Lucca, L., Priego-Quesada, J. I., & Pino-Ortega, J. (2024). Heart Rate Measurement Accuracy During Intermittent Efforts Under Laboratory Conditions: A Comparative Analysis Between Chest Straps and Armband. Applied Sciences, 14(24), 11872. https://doi.org/10.3390/app142411872

