Next Article in Journal
Assessment of Dielectric Strength for 3D Printed Solid Materials in Terms of Insulation Coordination
Next Article in Special Issue
From Forest Berry Leaf Waste to Micellar Extracts with Cosmetic Applications
Previous Article in Journal
Monitoring In-Water and Dryland Interlimb Asymmetry of Young Competitive Swimmers: Insights Across a Training Macrocycle
Previous Article in Special Issue
Enhanced Stability and Prolonged Insect-Repellent Action of Essential Oil-Loaded Nanostructured Lipid Carriers
 
 
Font Type:
Arial Georgia Verdana
Font Size:
Aa Aa Aa
Line Spacing:
Column Width:
Background:
Review

Ciclopirox and Ciclopirox Olamine: Antifungal Agents in Dermatology with Expanding Therapeutic Potential

by
Paulina Mucha
1,*,
Bartłomiej Borkowski
1,2,
Anna Erkiert-Polguj
3 and
Elzbieta Budzisz
1
1
Department of the Chemistry of Cosmetic Raw Materials, Faculty of Pharmacy, Medical University of Łódź, Muszyńskiego 1 Street, 91-151 Łódź, Poland
2
Research and Development Department, Pharmaceutical Works POLPHARMA S.A. Medana Branch in Sieradz, 10 Władysława Łokietka, 98-200 Sieradz, Poland
3
Department of Cosmetology and Aesthetic Dermatology, Faculty of Pharmacy, Medical University of Łódź, Muszyńskiego 1 Street, 91-151 Łódź, Poland
*
Author to whom correspondence should be addressed.
Appl. Sci. 2024, 14(24), 11859; https://doi.org/10.3390/app142411859
Submission received: 21 November 2024 / Revised: 13 December 2024 / Accepted: 17 December 2024 / Published: 18 December 2024
(This article belongs to the Special Issue Cosmetics Ingredients Research - 2nd Edition)

Abstract

Ciclopirox (CPX) and its ethanolamine salt, ciclopirox olamine (CPO), are synthetic hydroxypyridone derivatives with a wide range of antimicrobial activity, making them valuable in dermatology for treating fungal infections. Their mechanism of action is multifaceted, impacting iron-dependent enzymes and disrupting mitochondrial function, cellular energy production, and membrane integrity. The compounds’ favorable physicochemical properties allow effective skin absorption, while the olamine salt enhances solubility and bioavailability. Research is ongoing to explore therapeutic uses beyond dermatology, including applications in autoimmune diseases, cancer, and neurodegenerative disorders. In cosmetics, ciclopirox is used primarily in anti-dandruff and skincare products, combining therapeutic effects with minimal side effects.

1. Introduction

The development of new antifungal treatments often lags behind the rising incidence of invasive fungal infections. In light of the increasing prevalence of serious dermatological disorders, there is a pressing need for effective therapeutic agents that can address a broad spectrum of conditions [1]. Ciclopirox (CPX) and ciclopirox olamine (CPO) are hydroxypyridone (N-hydroxypyridone (HPO)) derivatives with high biological activity with a very complex mode of action targeting a variety of metabolic processes. They have antibacterial and anti-inflammatory properties, although their antifungal effect is most often taken into account.
These synthetic, broad-spectrum antifungal agents have been in use since 1998 in the topical dermatologic treatment of superficial mycoses [2,3] also because of their capacity to target various stages of the fungal life cycle with minimal toxicity [1]. The antimicrobial spectrum of CPX and CPO covers nearly all clinically relevant dermatophytes, yeasts, filamentous fungi, and molds, making them highly efficacious in treating superficial fungal infections compared to many other antifungal agents. Additionally, they are effective against certain Candida species that are often resistant to azoles, as well as against some bacterial strains. The ciclopirox olamine demonstrated a minimal inhibitory concentration (MIC) ranging from 0.49 to 3.9 mg/L against numerous fungi that cause infections in humans [1,4,5]. In studies evaluating various topical antifungals, it was largely concluded that ciclopirox is not only a safe and effective option for antifungal therapy but also beneficial for patients who do not respond to other antifungal treatments. Its distinctive and multifaceted mechanism of action significantly reduces the likelihood of resistance developing in pathogenic fungi [5]. Ailments treated with ciclopirox do not exhibit the development of drug resistance, even after their prolonged use over decades, which implies that the molecular targets of this drug are essential for fungal survival [6]. This stands in strong contrast to azole drugs, where a growing number of strains exhibit resistance [7]. In combination with currently used antifungal drugs, such as AMB (amphotericin B) and FLC (fluconazole), ciclopirox derivatives demonstrate additive effects and synergism with many inhibitors of the mitochondrial electron transport chain (ETC) [3].
While ciclopirox olamine remains the primary and most studied salt, piroctone olamine (1-hydroxy-4-methyl-6-(2,4,4-trimethylpentyl)pyridin-2-one and ethanolamine) is another related antifungal compound with dermatological applications. Despite structural similarities, it is important to note that piroctone olamine differs from ciclopirox olamine in both chemical structure and therapeutic indications. While ciclopirox olamine is more broadly used for the treatment of a variety of superficial fungal infections, piroctone olamine’s primary use focuses on the management of scalp- and hair-related disorders [8].
In addition to its well-established role as an antifungal agent, CPX has demonstrated potential in various other fields. Its potential applications in the treatment of autoimmune diseases, cancer, and neurodegenerative disorders are currently under investigation in ongoing research [1]. For instance, since CPX decreased the viability of primary AML cells and hindered the engraftment of these cells in NOD/SCID mouse models, it suggests a cytotoxic effect on leukemia stem cells might exist. Also, within the framework of a clinical trial of CPX in patients with malignancies, monitoring changes in survivin expression in primary patient samples could serve as a marker of the biological response to the drug [9].
Currently, ciclopirox is often formulated as cream, lotion, or nail lacquer for the treatment of nails and skin’s fungal infections, including onychomycosis, pityriasis versicolor, and seborrheic dermatitis [1].

2. Chemical Structure

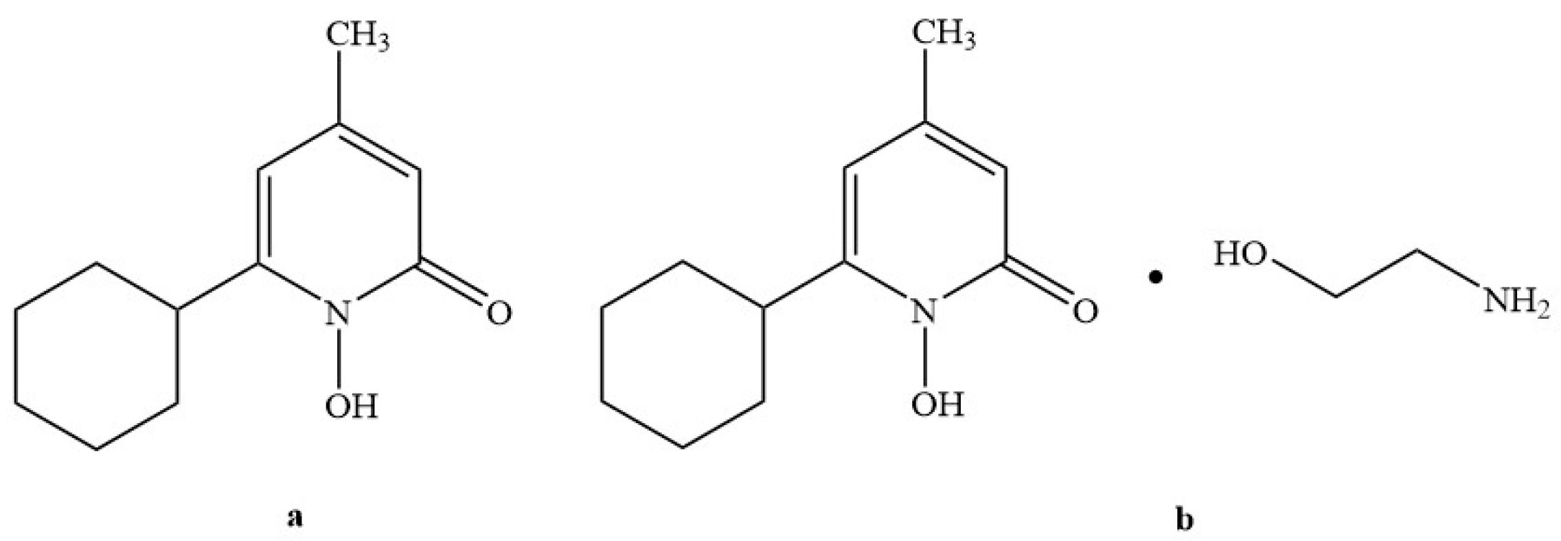
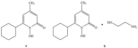
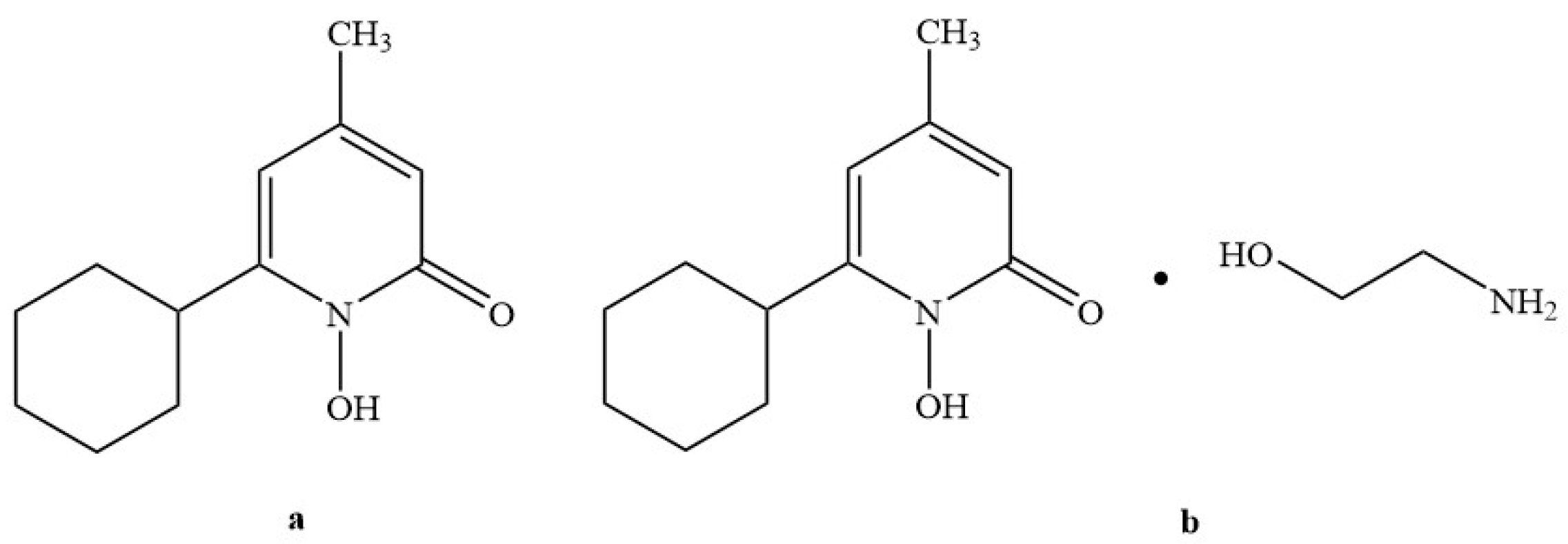
Ciclopirox, chemically known as 6-cyclohexyl-1-hydroxy-4-methylpyridin-2(1H)-one (Figure 1a), is a cyclic hydroxamic acid. Specifically, it is a 1-hydroxypyridin-2(1H)-one where the hydrogen atoms at positions 4 and 6 are replaced by methyl and cyclohexyl groups, respectively. Its olamine (ethanolamine) salt form is known as ciclopirox olamine (6-cyclohexyl-1-hydroxy-4-methylpyridin-2-one and 2-aminoethanol) (Figure 1b).
The reference standard for ciclopirox olamine is listed in the United States Pharmacopeia (USP) and the European Pharmacopoeia (ref. no. 1302), and it is also available as a reference standard from Sigma Aldrich, St. Louis and Burlington, MA, USA (CAS 29342-05-0).
The European Pharmacopoeia describes the drug substance in detail. The formula of ciclopirox olamine is C14H24N2O3, and it has a molecular mass of 268.4 g/mol. Its CAS registry number is 41621-49-2 and its EC number is 255-464-9. It is a white to off-white crystalline substance and is freely soluble in water. In terms of stability, ciclopirox olamine is considered stable under normal temperatures and pressures. It does not readily react with other groups, nor does it decompose readily. It is also non-volatile, meaning it does not easily vaporize into the air.
In terms of content, the dried substance contains 76.0 per cent to 78.5 per cent ciclopirox (C12H17NO2; M, 207.3) and 22.2 per cent to 23.3 per cent 2-aminoethanol (C2H7NO; M, 61.1).
The pyridin-2(1H)-one core of ciclopirox, which is a six-membered aromatic ring, plays a crucial role in its chemical stability. The hydroxamic acid group at position 1 can participate in hydrogen bonding due to the lone pair of electrons on the nitrogen, as well as resonance delocalization within the ring. Ciclopirox could potentially exist in the following two tautomeric forms: the keto form (pyridinone), where the double bond is localized in the ring; and the enol form (hydroxypyridine), where the hydroxyl group is attached to the nitrogen. The interconversion between these forms is influenced by environmental factors such as pH, and the tautomeric balance, which may play a role in its interactions with biological targets [10,11].
Ciclopirox is a lipophilic molecule with a log p value of 2.73, determined computationally using the iLOGP method [12]. The cyclohexyl group at position 6 introduces a bulky, non-polar, hydrophobic element, which influences the molecule’s overall lipophilicity and may affect its membrane permeability. The methyl group at position 4 is relatively small but contributes to the hydrophobic nature of the molecule, affecting interactions with biological targets [1]. The conformational analysis of the cyclohexyl ring system aligns with the typical behavior of cyclohexane derivatives, which adopt a chair conformation to minimize steric strain and optimize 1,3-diaxial interactions. In ciclopirox, the bulky substituent at position 6 likely assumes an equatorial position to reduce steric hindrance, consistent with the related systems [13].
The olamine form of ciclopirox, which includes 2-aminoethanol, enhances the solubility of the drug in water and improves its bioavailability. This salt formation increases stability and allows for better absorption in biological systems, making it a preferred formulation in topical treatments. Ciclopirox olamine demonstrates improved water solubility and greater stability compared to other forms, largely due to the presence of 2-aminoethanol, which facilitates its delivery and increases bioactivity in biological organisms.
Stability studies indicate that ciclopirox olamine maintains stability under standard environmental conditions (normal temperatures and pressures). However, prolonged exposure to light or moisture may affect its stability over time. Despite this, the crystalline form of ciclopirox remains stable without significant decomposition under most pharmacological and physiological conditions.
Pharmacokinetic studies conducted using radiolabeled ciclopirox (CPX) have demonstrated that it effectively penetrates the skin, reaching high concentrations in the stratum corneum within 1–2 h post-application. Even in deeper layers of the skin, such as the dermis, ciclopirox concentrations are sufficient to exceed the MIC of sensitive fungal strains. Furthermore, CPX is metabolized into glucuronides and eliminated through the kidneys, supporting its favorable pharmacokinetic profile [5,10].
Additional data indicate that, after application of a 1% ciclopirox olamine cream, approximately 1.3% of the applied dose is absorbed through the skin. Furthermore, after systemic absorption, 98% of the administered dose is excreted in urine, primarily in the form of glucuronides, demonstrating its efficient systemic clearance [14].
These structural features and pharmacokinetic properties confirm that both the stability and absorption profile of ciclopirox olamine are critical factors influencing its clinical efficacy as an antifungal and anti-inflammatory agent. This combination of bioavailability, stability, and skin penetration supports its therapeutic benefits and clinical use in topical treatments [5,10].

3. The Influence of the Structure and Physicochemical Properties on Biological Activity

While ciclopirox and its olamine salt form exhibit similar pharmacological effects, the therapeutic equivalence of 1% CPO (usually in cream and lotion formulations) to 0.77% CPX (in gels) is due to ethanolamine improving solubility without directly enhancing antifungal activity [7].
The pyridinone ring exhibits an exceptional set of physicochemical properties, including an advantageous metabolic stability, good water solubility, and balanced lipophilicity, which enable it to mimic non-peptidic structures and efficiently interact with biological targets. Both the free hydroxyl group and the nitrogen in the pyridinone ring can act as hydrogen bond donors or acceptors, allowing ciclopirox to form multiple hydrogen bonds with biological targets such as enzymes or receptors. This capability is crucial for its antifungal and antibacterial activities, as it enhances binding affinity and specificity [11,15].
Although CPO analogues are not readily available, a number of such substances with various substituents have been prepared in order to develop structure–activity relationships (SAR) by two types of synthesis as follows: via α-pyrones and through 2-methoxypyridines [3]. Research on the SAR of 1-hydroxypyridin-2-one derivatives demonstrates that the core structure is crucial for their biological activity. Ciclopirox contains methyl and cyclohexyl groups at the para and ortho positions, respectively, substituting hydrogen atoms (Figure 1a). The sixth position is designated to a lipophilic substituent, permitting the replacement of the hexyl group with another ring structure, such as phenol. This change leads to a reduction in lipophilicity while maintaining the compound’s potency. A substantial reduction in efficacy occurs when the hexyl ring is shifted from the sixth position to the fifth or fourth position. The hexyl ring can be lengthened by adding additional substituents at the sixth position. A substituted benzyl group at the sixth position is favored over phenyl or other groups at the third and fifth positions. Strong electron-withdrawing groups are less suitable as substituents for the 6-benzyl group, whereas -OMe or -OH groups improve activity. To achieve submicromolar potency, a very small group, such as -Me or -OH, is necessary at the fourth position [1,3,16]. Table 1 summarizes the key SAR findings, focusing on modifications to the hydroxypyridone core and their impact on efficacy.
The low molecular weight and lipophilic nature of ciclopirox are key factors that influence its skin penetration. Recent studies show that although ciclopirox partially penetrates the deeper layers of the skin, the majority of the compound remains in the stratum corneum, the outermost layer. This limited penetration may not only be attributed to its lipophilicity but also to other factors, such as the chemical properties of the stratum corneum, which restrict further diffusion [1].

4. Biological Activity

Ciclopirox has a broad spectrum of activity against dermatophytes (Trichophyton spp., Microsporum spp., and Epidermophyton floccosum), yeasts (Candida spp., Malassezia furfur, Cryptococcus neoformans, and Saccharomyces cerevisiae) and molds (e.g., Aspergillus spp. and Fusarium solani). The activity was described as fungicidal and fungistatic activity depending on the concentration and the duration of use. The antifungal dose–response curve for ciclopirox is steep, meaning small dosage adjustments significantly impact efficacy. Minimum inhibitory concentration (MIC) data show variability among studies, yet MIC values generally remain below those achieved with topical application. Ciclopirox is more effective against tested species compared to itraconazole and ketoconazole, showing stronger action on yeasts than on dermatophytes, with narrower MIC ranges compared to other azoles and terbinafine. Although molds are less sensitive to ciclopirox, it remains effective against Aspergillus and Penicillium species and is also effective against Malassezia yeasts linked to dandruff and related skin conditions [5].
Sporicidal activity has also been demonstrated, as shown by Seidl et al. The treatment of onychomycosis is associated with a high risk of recurrence, potentially due to the survival of dormant fungal spores within the affected nail keratin. An in vitro study demonstrated that amorolfine and ciclopirox exhibited comparable sporicidal activity against various spores, outperforming fluconazole and bifonazole, and requiring concentrations 10–1000 times higher than the minimum inhibitory concentration to achieve sporicidal efficacy [17].
Ciclopirox has also demonstrated antibacterial activity against Gram-negative bacteria (e.g., Pseudomonas aeruginosa, Proteus mirabilis, Escherichia coli, and Klebsiella pneumoniae) and Gram-positive bacteria (e.g., Staphylococcus aureus, b-hemolytic Streptococcus group A, Micrococcus luteus and sedentarius, Corynebacterium minutissimum, Brevibacterium spp. and Corynebacterium spp.). This property is crucial since superficial fungal infections can be complicated by secondary bacterial infections. Ciclopirox exhibits a broader antibacterial activity than other topical antifungals, especially against Gram-negative bacteria and antibiotic-resistant Gram-positive strains. In cases of tinea pedis with bacterial complications, 1% ciclopirox cream significantly reduced bacterial counts within 15 days and demonstrated clinical efficacy against infections caused by Staphylococcus aureus and Streptococcus pyogenes [18].
It is worth emphasizing that, with regard to SD, ciclopirox also shows anti-inflammatory activity through its impact on arachidonic acid cascade, resulting in the inhibition of the synthesis of leukotrienes and prostaglandins. Studies have confirmed that ciclopirox significantly suppresses UVB-induced erythema compared to various antifungal agents and hydrocortisone. Additionally, one study indicated that ciclopirox alone achieved symptom improvement comparable to that of a combination treatment with hydrocortisone, suggesting that ciclopirox provides both antifungal and anti-inflammatory benefits without the associated risks of corticosteroids [18]. Furthermore, Rosen et al. assessed the anti-inflammatory effect by erythema response to ultraviolet B exposure, and ciclopirox demonstrated a better ability than other tested antifungals [19]. Moreover, ciclopirox can decrease reactive oxygen species by chelating metals [20], which is important in inflammatory skin diseases. Antifungal agents with an anti-inflammatory offer patients two benefits for the treatment of seborrheic dermatitis.
The other important characteristic of ciclopirox is the good tolerance of the drug. Irritation, redness, pain, pruritus, and a burning sensation are reported in less than 5% of treated patients. Reports of allergic contact dermatitis are rare [5].

5. Mechanism of Action

Ciclopirox and its salt form, ciclopirox olamine, are classified within the hydropyridone class, and are unlike other antifungal agents such as polyenes, azoles, imidazoles, flucytosine, and echinocandins, which generally act through ergosterol inhibition [5]. Although hydroxypyridones have been in clinical use for nearly three decades, their mechanisms of action are still not completely understood. Because azole-resistant strains remain sensitive to ciclopirox, this suggests that the inhibition of ergosterol biosynthesis is not the primary mechanism of action for ciclopirox. Early research indicated that ciclopirox disrupts fungal cell membrane function, compromising its integrity and leading to the leakage of cellular contents. It inhibits energy production in fungal cells, thereby blocking the uptake of essential components needed for growth. Early studies also suggested that ciclopirox interferes with DNA repair, cell division, and mitotic spindle formation, which inhibits fungal growth and ultimately results in cell death [1,4,6,21].
In mammalian systems, ciclopirox olamine inhibits cell proliferation by chelating intracellular iron and targeting iron-dependent or iron-containing enzymes, such as ribonucleotide reductase or deoxyhypusine hydroxylase [3,9]. This intracellular action distinguishes it from extracellular iron chelators like deferoxamine, which are less effective in assays due to their inability to penetrate cell membranes. This highlights the potential of CPX as a promising therapeutic strategy targeting intracellular iron [9].
So, a key aspect of CPO’s mechanism of action is its ability to chelate polyvalent metal cations, particularly iron (Fe), in both its oxidation states, and it demonstrates a strong affinity for trivalent cations like aluminum (Al3+) [1,3]. Additionally, ciclopirox inhibits the activity of metal-dependent enzymes, including cytochromes, catalases, and peroxidases, which may disrupt mitochondrial function, energy production, and membrane transport. Given that both catalases and respiratory chain enzymes are iron-dependent proteins, this supports the hypothesis that iron binding plays a crucial role in the mechanism of action of hydroxypyridone antifungal agents [7]. Research on various ascomycete species suggests that the inhibition of iron permeases and transporters contributes to their toxic effects on fungi [3,21].
Studies that analyzed the effect of divalent metal chelators on the sensitivity of C. neoformans to CPO and its derivatives were conducted. A synergistic interaction was observed with iron chelators, but not with copper-specific chelators. The addition of exogenous iron negated the inhibitory effects of ciclopirox olamine and its derivatives, while exogenous copper reduced inhibition only by CPO. Exogenous zinc had no effect. These findings suggest that the described compounds target iron-dependent enzymes, with excess iron or copper potentially competing with iron at the active site, thereby reducing the binding and inhibition of CPO analogs. The study also indicates that CPO and its analogs likely target multiple enzymes, as combinations of CPO with other compounds exhibited additive or synergistic effects, rather than antagonistic effects, which would be expected if they targeted the same enzyme [3].
A sample study investigated the expression patterns of several genes involved in iron metabolism. Two iron permease genes, FTR1 and FTR2, exhibited differential regulation in comparison to untreated cells. FTR1, responsible for a high-affinity Fe2+ permease, was strongly up-regulated, while FTR2, coding for a low-affinity Fe2+ permease, was significantly down-regulated. This inverse regulation suggests there are iron-limiting conditions in cells treated with ciclopirox olamine. Additionally, the upregulation of the FTH1 gene, encoding a putative iron transporter, further supports this notion. The CFL1 gene, encoding a ferric reductase associated with iron uptake, was also upregulated, consistent with the iron-limiting conditions induced by the drug. Furthermore, C. albicans utilizes siderophores to transport iron ions into the cell under these conditions [7].
Ciclopirox exerts its effects through multiple mechanisms. It inhibits metal-dependent enzymes and scavenges free radicals, including hydroxyl radicals, which contribute to its anti-inflammatory properties. Additionally, CPX disrupts cytochrome function, impairing electron transport in mitochondria, and inhibiting the uptake of amino acids essential for cell growth. It also induces ferritin degradation via ferritinophagy, which is relevant in the management of cysts in polycystic kidney disease. Furthermore, CPX exhibits anti-inflammatory action by inhibiting cyclooxygenase and 5-lipoxygenase [1].
The anti-inflammatory activity of CPX is attributed to its ability to inhibit the production of pro-inflammatory cytokines, including interleukin-1β, interleukin-6, and tumor necrosis factor-alpha [1]. Table 2 summarizes the mechanisms of action of ciclopirox and ciclopirox olamine.

6. Dandruff—Dermatological Description, Treatment, and Skincare Methods

Dandruff is a common scalp condition affecting almost half of the world’s population. It manifests as dry, flaking desquamation. Seborrheic dermatitis (SD) and dandruff are considered to be basically the same condition, differing in severity and the parts of the body affected. Dandruff is restricted to the scalp (rarely eyebrows, mustache, and beard), while seborrheic dermatitis can also be present in other seborrheic regions of the body, including the face, retro-auricular area, upper chest, and upper back. Its clinical presentation may range from mild patches to diffuse scalp scaling. It is a chronic and relapsing inflammatory skin condition. In the case of dandruff, the inflammation is not visible [22,23,24].
In the case of immunosuppression, endocrine, or neurological diseases, SD is much more common. Its triggering factors include stress, and cold or dry weather. Also, external factors such as dust or dirt and the excessive use of hair cosmetics can exacerbate SD. The negative social impact of dandruff is also described [22,23,24].
Despite its high prevalence, the exact pathophysiology is not well established and is understood to be multifactorial. For a long time, Malassezia spp. has been considered the main factor leading to seborrheic dermatitis, based on the fact that the overgrowth of Malassezia was observed on the skin and antifungal treatment helped manage symptoms [22]. More recent studies (sequencing-based) showed that other microbiota also change in addition to Malassezia spp. [25,26,27]. Staphylococcus, especially S. aureus, is observed in SD, and is correlated with itching and scaling. It is probable that an environment with an overproduction of unsaturated fatty acids caused by Malessezia promote S. aureus. [28,29,30]. Also, a higher incidence of Staphylococcus epidermidis is observed [31]. Cutibacterium levels are decreased, although this usually develops in sebum-rich areas [31,32].
In seborrheic dermatitis, the increase in ceramide, cholesterol, and fatty acids is also observed, and the permeability of the epidermal barrier is disturbed. Free fatty acids and other metabolites can increase sebum production on the scalp [33,34,35].

7. The Use of Ciclopirox in Specific Formulations

As it was previously said, ciclopirox olamine is a medication with a broad-spectrum antifungal activity, widely utilized in the management of various fungal infections. Its therapeutic safety and efficacy have been repeatedly confirmed in a multitude of studies [5,36]. One of the primary applications of ciclopirox olamine is in dermatology [5].
Therefore, it is offered in various topical formulations designed for application to the skin, nails, and vaginal area. The most extensively studied pharmaceutical forms include cream and nail lacquer; however, other formulations such as lotions, sprays, shampoos, pessaries, solutions, gels, and douches have also been utilized. Ciclopirox demonstrates the ability to penetrate deep into the skin layers, mucosal membranes, and nail keratin, achieving concentrations that surpass the minimum fungicidal concentrations required to inhibit most clinically significant fungi [5].
For example, a 1% ciclopirox olamine cream is often employed in the treatment of skin mycoses, where it has been shown to inhibit and kill 93% and 98% of fungal pathogens, respectively, in a pig skin model. These results are considerably more effective than those of other topical antifungal agents, which typically demonstrate less than 50% effectiveness [37]. Both the lotion and gel formulations have similar efficacy and dosing regimens, with the gel reportedly acting faster [5].
One of the primary uses of ciclopirox is in treating scalp conditions, such as dandruff and seborrheic dermatitis, through anti-dandruff shampoos where it serves as the active ingredient. Clinical studies have confirmed the significant efficacy of ciclopirox-based shampoos in both the treatment and prevention of these conditions. Its broad-spectrum antimicrobial activity, especially against Malassezia yeasts, and anti-inflammatory properties are thought to contribute to its effectiveness [5,18,38].
The studies evaluated the in vitro susceptibility of Malassezia furfur, revealing minimum inhibitory concentration (MIC) values between 0.001 and 0.125 µg/mL. The demonstrated effectiveness of ciclopirox against Malassezia has supported its successful application in the treatment of seborrheic dermatitis. For this reason, ciclopirox olamine is also incorporated into gel-based formulations, such as shampoos, to treat various forms of dermatitis, including dandruff. Clinical trials have shown that a 1% ciclopirox shampoo, available in the EU and the US for the treatment of seborrheic dermatitis, can significantly improve scalp conditions and alleviate symptoms compared to a placebo. It is recommended for application twice weekly for 4 weeks [5,18]. At the conclusion of the treatment period, assessments were conducted to evaluate erythema, scaling, and pruritus, along with an overall clinical evaluation. By the fourth week, a significantly higher proportion of patients in the ciclopirox-treated group showed complete resolution or notable improvement in symptoms compared to those in the placebo group [39]. Importantly, from a prophylactic perspective, studies indicate that relapse rates are significantly lower in the active treatment groups compared to the placebo group, suggesting the superiority of ciclopirox over placebo in the prophylaxis of seborrheic dermatitis of the scalp. The relapse rates were lower in patients using ciclopirox once weekly (14.7%) compared to those receiving treatment every two weeks (22.1%), consistent with the dose-dependent efficacy observed during the initial treatment phase [38].
Safety assessments in these studies indicated that adverse events potentially associated with ciclopirox shampoo were generally minor and limited to the skin. The frequency of these events was similar across both the active treatment and placebo groups, suggesting a favorable safety profile for ciclopirox [38,39].
In addition to being used in cream and shampoo forms, a lacquer containing 8% ciclopirox olamine has been found to be effective in treating nail fungus, or onychomycosis [40]. Although its efficacy may not be as high as systemic antifungal medications, its favorable pharmacokinetic profile and fewer side effects make it a desirable treatment option, particularly for patients for whom systemic treatment is contraindicated [41]. Moreover, a newly developed water-soluble lacquer, P-3051, with 8% ciclopirox has demonstrated excellent antifungal efficacy due to its improved ability to penetrate the nail structure [42].
Potential applications of ciclopirox olamine extend beyond fungal infections. Due to its anti-inflammatory properties, it may also be used in the treatment of other skin conditions, such as psoriasis [43]. Studies on an emulgel containing ciclopirox olamine have demonstrated its antifungal efficacy against Microsporum canis, a dermatophyte commonly found in animals and humans, suggesting its potential use in the treatment of skin mycoses caused by this pathogen [44].

8. Other Uses of Ciclopirox Olamine

Beyond its well-established use in the treatment of fungal infections, ciclopirox olamine is currently being investigated for its therapeutic potential in other areas of medicine. Its iron-chelating properties and its capacity to modulate the activity of certain enzymes and signaling pathways render it a promising candidate for the treatment of various diseases.
One such potential application is in cancer treatment, including acute myelogenous leukemia, breast cancer, rhabdomyosarcoma, and colon carcinoma [1]. Ciclopirox olamine can inhibit the growth of cancer tumors by affecting key cellular processes such as DNA replication, the cell cycle, and apoptosis [45]. Preclinical studies have confirmed its anticancer activity in animal models, and phase I clinical trials are currently underway to evaluate its efficacy and safety in patients with advanced blood cancers [9].
Chronic hepatitis B virus (HBV) infection is a major cause of hepatocellular carcinoma (HCC). Ciclopirox shows promising potential for HBV treatment by inhibiting replication through the disruption of normal viral capsid assembly, reducing HBV’s ability to form virions. It binds to three of the six sites in the hydrophobic pocket of the HBV core protein, inducing conformational changes that enhance its penetration and efficacy. Ciclopirox has a synergistic effect with tenofovir (TDF) and entecavir (ETV), targeting multiple HBV life cycle stages, including HBV polymerase and capsid assembly. Preclinical studies suggest it could serve as an adjunctive therapy with limited side effects and no interference with HBV transcription. Further clinical studies are needed to evaluate its safety and efficacy in HBV treatment [46].
Ciclopirox, in addition to its previously reported therapeutic potential, effectively inhibited SARS-CoV-2 replication in vitro and in vivo. It exerts its antiviral effect by inducing abnormal nucleocapsid proteins (NP) condensates, which are degraded via the autophagy-lysosomal pathway. SARS-CoV-2 encodes four structural proteins, spike (S), envelope (E), membrane (M), and nucleocapsid (NP). NP is highly expressed in infected cells, conserved across strains, and implicated in inflammatory responses and “long COVID”. Reducing NP expression can impair viral replication and limit inflammation. The studies suggest that ciclopirox targets NP to disrupt SARS-CoV-2 replication and also alleviates lung pathology in infected mice by suppressing inflammation [47].
In the field of immunology, ciclopirox olamine may offer novel approaches in the management of Acquired Immunodeficiency Syndrome (AIDS). It has been found to inhibit HIV replication by affecting the translation initiation factor eIF5A, which is essential for viral replication [48]. Importantly, this drug also blocks viral gene expression through a unique mechanism, affecting the 5′ untranslated regions of HIV, potentially enabling it to combat HIV drug resistance. Additionally, its antiviral properties have been demonstrated against human papillomavirus (HPV) and other viral infections, and it also plays a role in preventing cyst formation in polycystic kidney disease [1].
Furthermore, ciclopirox olamine may have a beneficial effect on the treatment of type I diabetes. By inhibiting the enzyme deoxyhypusine hydroxylase (DOHH), which plays a role in the pathogenesis of the disease, ciclopirox olamine could be a useful therapeutic agent. Additionally, its ability to promote angiogenesis may be utilized in the treatment of diabetic complications, such as diabetic foot [10].
Ciclopirox exerts therapeutic effects by interacting with uroporphyrinogen III synthase, an enzyme whose deficiency is the underlying cause of congenital erythropoietic porphyria (CEP). It binds to an allosteric site located away from the enzyme’s active site, enabling its stabilization without disrupting its catalytic function. This interaction restores enzymatic activity and reduces the accumulation of toxic by-products, such as uroporphyrins, which are responsible for the clinical manifestations of the disease. Studies indicate that ciclopirox alleviates most clinical symptoms of CEP, demonstrating significant therapeutic potential. Furthermore, it may be effective against many mutant versions of this enzyme that contribute to the development of the disease, offering a promising avenue for treatment [49].
Ciclopirox olamine may also have implications for the treatment of cardiovascular diseases. It has been shown to improve the response to inotropic stimulation in aging myocytes by inducing hypoxia-inducible factor-1α (HIF-1α), which may benefit patients with certain cardiovascular diseases, such as hypertension, heart failure, and hypertrophic cardiomyopathy [10]. These diverse potential applications underline the therapeutic versatility of ciclopirox olamine.
Ciclopirox olamine (CPX), an antifungal drug, shows promise for ischemic stroke treatment, as demonstrated in a rat MCAO model. The post-stroke administration of CPX reduced brain infarction, neurological deficits, and edema, with multiple doses yielding better outcomes than a single dose. CPX protects neurons by regulating AKT and GSK-3β phosphorylation and mitigates neuroinflammation by inhibiting cell cycle progression and inflammatory responses in glial cells. It also promotes angiogenesis and neurogenesis via HIF-1 activation and increased VEGF levels. These multifaceted effects make CPX a promising candidate for further ischemic stroke research [50].
Lastly, topical treatment with CPX olamine has also been found to decrease acute and latent nervous system infections, reduce the development of blepharitis, and inhibit the replication of HSV-1 in the cornea. While it remains unclear whether CPX’s neuroprotective effects are solely due to its impact on corneal viral replication, this seems unlikely, as low doses of CPX have demonstrated a disproportionately strong effect on the accumulation of latent viral genomes [1].
Although preliminary findings are encouraging, further research is needed to fully explore the therapeutic potential of CPX. With continued investigation, CPX could offer significant benefits to patients across a range of diseases and become a valuable addition to the pharmacological arsenal. Table 3 provides a summary of the therapeutic potential of CPX and CPO across various medical fields.

9. Conclusions

Ciclopirox and its derivative ciclopirox olamine represent highly effective agents in the treatment of a broad spectrum of fungal and bacterial infections, due to their distinct mechanism of action that minimizes resistance development. Their ability to inhibit fungal cell proliferation, combined with anti-inflammatory and iron-chelating properties, renders them valuable in dermatological applications, notably in managing mycotic infections and inflammatory skin conditions such as seborrheic dermatitis. Furthermore, ongoing research into CPX’s therapeutic versatility reveals its potential in oncology, immunology, and even neurodegenerative diseases, positioning it as a promising candidate beyond dermatology. Topical formulations of CPX and CPO, such as creams, lotions, and lacquers, demonstrate a favorable safety profile and efficacy, offering patients alternative treatment options, particularly in cases where traditional antifungal therapies have proven ineffective. As research continues to explore and validate new clinical applications, ciclopirox-based compounds may offer significant advancements in medical and cosmetic therapies, reinforcing their value as multifunctional agents in both established and emerging treatment paradigms.

Author Contributions

Conceptualization, P.M.; methodology, P.M.; investigation, P.M. and B.B. and A.E.-P.; resources, P.M. and B.B. and A.E.-P.; writing—original draft preparation, P.M. and B.B. and A.E.-P.; writing—review and editing, P.M. and E.B.; supervision, E.B.; funding acquisition, E.B. All authors have read and agreed to the published version of the manuscript.

Funding

This research was supported by the statutory research activity at the Department of Cosmetic Raw Material Chemistry, Faculty of Pharmacy, Medical University of Łódź, grant no. 503/3-066-02/503-31-001 (to Elzbieta Budzisz).

Conflicts of Interest

Author Bartłomiej Borkowski was employed by the company Pharmaceutical Works POLPHARMA S.A. Medana Branch in Sieradz and at the same time was a PhD sudent in Department of the Chemistry of Cosmetic Raw Materials, Faculty of Pharmacy, Medical University of Łódź. The remaining authors declare that the research was conducted in the absence of any commercial or financial relationships that could be construed as a potential conflict of interest.

References

  1. Singh, D.; Kaur, G.; Chintamaneni, M.; Joshi, H.; Ramniwas, S.; Tuli, H.S. Exploring the versatility of ciclopirox—From anti-fungal to anticancer agent and beyond. Eur. J. Clin. Exp. Med. 2023, 21, 896–908. [Google Scholar] [CrossRef]
  2. Roques, C.; Brousse, S.; Panizzutti, C. In vitro antifungal efficacy of ciclopiroxolamine alone and associated with zinc pyrithione compared to ketoconazole against Malassezia globosa and Malassezia restricta reference strains. Mycopathologia 2006, 162, 395–400. [Google Scholar] [CrossRef] [PubMed]
  3. Lin, J.; Zangi, M.; Kumar, T.V.N.H.; Shakar Reddy, M.; Reddy, L.V.R.; Sadhukhan, S.K.; Bradley, D.P.; Moreira-Walsh, B.; Edwards, T.C.; O’Dea, A.T.; et al. Synthetic Derivatives of Ciclopirox are Effective Inhibitors of Cryptococcus neoformans. ACS Omega 2021, 6, 8477–8487. [Google Scholar] [CrossRef] [PubMed]
  4. Sigle, H.-C.; Thewes, S.; Niewerth, M.; Korting, H.C.; Schäfer-Korting, M.; Hube, B. Oxygen accessibility and iron levels are critical factors for the antifungal action of ciclopirox against Candida albicans. J. Antimicrob. Chemother. 2005, 55, 663–673. [Google Scholar] [CrossRef]
  5. Subissi, A.; Monti, D.; Togni, G.; Mailland, F. Ciclopirox: Recent nonclinical and clinical data relevant to its use as a topical antimycotic agent. Drugs 2010, 70, 2133–2152. [Google Scholar] [CrossRef]
  6. Zangi, M.; Donald, K.A.; Casals, A.G.; Franson, A.D.; Yu, A.J.; Marker, E.M.; Woodson, M.E.; Campbell, S.D.; Mottaleb, M.A.; Narayana Hajay Kumar, T.V.; et al. Synthetic derivatives of the antifungal drug ciclopirox are active against herpes simplex virus 2. Eur. J. Med. Chem. 2022, 238, 114443–114462. [Google Scholar] [CrossRef] [PubMed]
  7. Niewerth, M.; Kunze, D.; Seibold, M.; Schaller, M.; Korting, H.C.; Hube, B. Ciclopirox olamine treatment affects the expression pattern of Candida albicans genes encoding virulence factors, iron metabolism proteins, and drug resistance factors. Antimicrob. Agents Chemother. 2003, 47, 1805–1817. [Google Scholar] [CrossRef] [PubMed]
  8. Tang, C.F.; Pudney, P.D.A.; Lane, M.E. Investigation of piroctone olamine delivery to the skin from single, binary and ternary solvent systems. Int. J. Cosmet. Sci. 2024, 46, 357–367. [Google Scholar] [CrossRef] [PubMed]
  9. Eberhard, Y.; McDermott, S.P.; Wang, X.; Gronda, M.; Venugopal, A.; Wood, T.E.; Hurren, R.; Datti, A.; Batey, R.A.; Wrana, J.; et al. Chelation of intracellular iron with the antifungal agent ciclopirox olamine induces cell death in leukemia and myeloma cells. Blood 2009, 114, 3064–3073. [Google Scholar] [CrossRef]
  10. Shen, T.; Huang, S. Repositioning the Old Fungicide Ciclopirox for New Medical Uses. Curr. Pharm. Des. 2016, 22, 4443–4450. [Google Scholar] [CrossRef]
  11. Zhang, Y.; Pike, A. Pyridones in drug discovery: Recent advances. Bioorg Med. Chem. Lett. 2021, 38, 127849. [Google Scholar] [CrossRef] [PubMed]
  12. Daina, A.; Michielin, O.; Zoete, V. iLOGP: A simple, robust, and efficient description of n-octanol/water partition coefficient for drug design using the GB/SA approach. J. Chem. Inf. Model. 2014, 54, 3284–3301. [Google Scholar] [CrossRef]
  13. Casertano, M.; Genovese, M.; Paoli, P.; Santi, A.; Aiello, A.; Menna, M.; Imperatore, C. Insights into Cytotoxic Behavior of Lepadins and Structure Elucidation of the New Alkaloid Lepadin L from the Mediterranean Ascidian Clavelina lepadiformis. Mar. Drugs 2022, 20, 65. [Google Scholar] [CrossRef] [PubMed]
  14. Summary of Product Characteristics, Ciclokrem, 10 mg/g, Cream. Available online: https://rejestrymedyczne.ezdrowie.gov.pl/api/rpl/medicinal-products/34462/characteristic/ (accessed on 18 October 2024).
  15. Lin, S.; Liu, C.; Zhao, X.; Han, X.; Li, X.; Ye, Y.; Li, Z. Recent Advances of Pyridinone in Medicinal Chemistry. Front. Chem. 2022, 10, 869860. [Google Scholar] [CrossRef]
  16. Liu, Z.; Yao, Y.; Kogiso, M.; Zheng, B.; Deng, L.; Qiu, J.J.; Dong, S.; Lv, H.; Gallo, J.M.; Li, X.N.; et al. Inhibition of cancer-associated mutant isocitrate dehydrogenases: Synthesis, structure-activity relationship, and selective antitumor activity. J. Med. Chem. 2014, 57, 8307–8318. [Google Scholar] [CrossRef] [PubMed]
  17. Seidl, H.P.; Jäckel, A.; Müller, J.; Schaller, M.; Borelli, C.; Polak, A. Sporicidal effect of amorolfine and other antimycotics used in the therapy of fungal nail infections. Mycoses 2015, 58, 610–619. [Google Scholar] [CrossRef] [PubMed]
  18. Gupta, A.K.; Plott, T. Ciclopirox: A broad-spectrum antifungal with antibacterial and anti-inflammatory properties. Int. J. Dermatol. 2004, 1, 3–8. [Google Scholar] [CrossRef]
  19. Rosen, T.; Schell, B.J.; Orengo, I. Anti-inflammatory activity of antifungal preparations. Int. J. Dermatol. 1997, 36, 788–792. [Google Scholar] [CrossRef] [PubMed]
  20. Nakashima, T.; Sato, E.; Niwano, Y.; Kohno, M.; Muraoka, W.; Oda, T. Inhibitory or scavenging action of ketoconazole and ciclopiroxolamine against reactive oxygen species released by primed inflammatory cells. Br. J. Dermatol. 2007, 156, 720–727. [Google Scholar] [CrossRef] [PubMed]
  21. Leem, S.H.; Park, J.E.; Kim, I.S.; Chae, J.Y.; Sugino, A.; Sunwoo, Y. The possible mechanism of action of ciclopirox olamine in the yeast Saccharomyces cerevisiae. Mol. Cells. 2003, 15, 55–61. [Google Scholar] [CrossRef]
  22. Paulino, L.C. New perspectives on dandruff and seborrheic dermatitis: Lessons we learned from bacterial and fungal skin microbiota. Eur. J. Dermatol. 2017, 27 (Suppl. S1), 4–7. [Google Scholar] [CrossRef] [PubMed]
  23. Vano-Galvan, S.; Reygagne, P.; Melo, D.F.; Barbosa, V.; Wu, W.Y.; Moneib, H.; Piraccini, B.M. A comprehensive literature review and an international expert consensus on the management of scalp seborrheic dermatitis in adults. Eur. J. Dermatol. 2024, 34 (Suppl. S1), 4–16. [Google Scholar] [CrossRef]
  24. Dall’Oglio, F.; Nasca, M.R.; Gerbino, C.; Micali, G. An Overview of the Diagnosis and Management of Seborrheic Dermatitis. Clin. Cosmet. Investig. Dermatol. 2022, 15, 1537–1548. [Google Scholar] [CrossRef]
  25. Park, T.; Kim, H.J.; Myeong, N.R.; Lee, H.G.; Kwack, I.; Lee, J.; Kim, J.; Sul, W.J.; An, S. Collapse of human scalp microbiome network in dandruff and seborrhoeic dermatitis. Exp. Dermatol. 2017, 26, 835–838. [Google Scholar] [CrossRef] [PubMed]
  26. Soares, R.C.; Zani, M.B.; Arruda, A.C.; Arruda, L.H.; Paulino, L.C. Malassezia intra-specific diversity and potentially new species in the skin microbiota from Brazilian healthy subjects and seborrheic dermatitis patients. PLoS ONE 2015, 10, e0117921. [Google Scholar] [CrossRef]
  27. Tanaka, A.; Cho, O.; Saito, C.; Saito, M.; Tsuboi, R.; Sugita, T. Comprehensive pyrosequencing analysis of the bacterial microbiota of the skin of patients with seborrheic dermatitis. Microbiol. Immunol. 2016, 60, 521–621. [Google Scholar] [CrossRef] [PubMed]
  28. Xu, Z.; Wang, Z.; Yuan, C.; Liu, X.; Yang, F.; Wang, T.; Wang, T.; Manabe, K.; Wang, O.Q.X.; Zhang, Y.; et al. Dandruff is associated with the conjoined interactions between host and microorganisms. Sci. Rep. 2016, 6, 24877. [Google Scholar] [CrossRef]
  29. Tamer, F.; Yuksel, M.E.; Sarifakioglu, E.; Karabag, Y. Staphylococcus aureus is the most common bacterial agent of the skin flora of patients with seborrheic dermatitis. Dermatol. Pract. Concept. 2018, 8, 80–84. [Google Scholar] [CrossRef] [PubMed]
  30. Ianiri, G.; Heitman, J.; Scheynius, A. The Skin Commensal Yeast Malassezia globosa Thwarts Bacterial Biofilms to Benefit the Host. J. Investig. Dermatol. 2018, 138, 1026–1029. [Google Scholar] [CrossRef] [PubMed]
  31. Clavaud, C.; Jourdain, R.; Bar-Hen, A.; Tichit, M.; Bouchier, C.; Pouradier, F.; El Rawadi, C.; Guillot, J.; Ménard-Szczebara, F.; Breton, L.; et al. Dandruff is associated with disequilibrium in the proportion of the major bacterial and fungal populations colonizing the scalp. PLoS ONE 2013, 8, 58203. [Google Scholar] [CrossRef]
  32. Christensen, G.J.; Scholz, C.F.; Enghild, J.; Rohde, H.; Kilian, M.; Thürmer, A.; Brzuszkiewicz, E.; Lomholt, H.B.; Brüggemann, H. Antagonism between Staphylococcus epidermidis and Propionibacterium acnes and its genomic basis. BMC Genom. 2016, 17, 152. [Google Scholar] [CrossRef] [PubMed]
  33. Feingold, K.R. The regulation of epidermal lipid synthesis by permeability barrier requirements. Crit. Rev. Ther. Drug Carrier Syst. 1991, 8, 193–210. [Google Scholar] [PubMed]
  34. Yoon, J.S.; Shim, J.; Lim, J.M.; Park, S.G. Biophysical characteristics of dandruff-affected scalp categorized on the basis of sebum levels. J. Cosmet. Dermatol. 2021, 20, 1002–1008. [Google Scholar] [CrossRef] [PubMed]
  35. DeAngelis, Y.M.; Gemmer, C.M.; Kaczvinsky, J.R.; Kenneally, D.C.; Schwartz, J.R.; Dawson, T.L., Jr. Three etiologic facets of dandruff and seborrheic dermatitis: Malassezia fungi, sebaceous lipids, and individual sensitivity. J. Investig. Dermatol. Symp. Proc. 2005, 10, 295–297. [Google Scholar] [CrossRef]
  36. Sehgal, V.N. Ciclopirox: A new topical pyrodonium antimycotic agent. A double-blind study in superficial dermatomycoses. Br. J. Dermatol. 1976, 95, 83–88. [Google Scholar] [CrossRef] [PubMed]
  37. Aly, R.; Maibach, H.I.; Bagatell, F.K.; Dittmar, W.; Hänel, H.; Falanga, V.; Leyden, J.J.; Roth, H.L.; Stoughton, R.B.; Willis, I.; et al. Ciclopirox olamine lotion 1%: Bioequivalence to ciclopirox olamine cream 1% and clinical efficacy in tinea pedis. Clin. Ther. 1989, 11, 290–303. [Google Scholar]
  38. Shuster, S.; Meynadier, J.; Kerl, H.; Nolting, S. Treatment and Prophylaxis of Seborrheic Dermatitis of the Scalp With Antipityrosporal 1% Ciclopirox Shampoo. Arch. Dermatol. 2005, 141, 47–52. [Google Scholar] [CrossRef] [PubMed]
  39. Gupta, A.K.; Nicol, K.A. Ciclopirox 1% shampoo for the treatment of seborrheic dermatitis. Int. J. Dermatol. 2006, 45, 66–69. [Google Scholar] [CrossRef] [PubMed]
  40. Gupta, A.K.; Fleckman, P.; Baran, R. Ciclopirox nail lacquer topical solution 8% in the treatment of toenail onychomycosis. J. Am. Acad. Dermatol. 2000, 43, 70–80. [Google Scholar] [CrossRef]
  41. Gupta, A.K. Pharmacoeconomic analysis of ciclopirox nail lacquer solution 8% and the new oral antifungal agents used to treat dermatophyte toe onychomycosis in the United States. J. Am. Acad. Dermatol. 2000, 43, 81–95. [Google Scholar] [CrossRef]
  42. Baran, R.; Tosti, A.; Hartmane, I.; Altmeyer, P.; Hercogova, J.; Koudelkova, V.; Ruzicka, T.; Combemale, P.; Mikazans, I. An innovative water-soluble biopolymer improves efficacy of ciclopirox nail lacquer in the management of onychomycosis. J. Eur. Acad. Dermatol. Venereol. 2009, 23, 773–781. [Google Scholar] [CrossRef] [PubMed]
  43. Oliveira, R.S.; da Silva, D.F.; Mota, S.; Garrido, J.; Garrido, E.M.; Lobo, J.M.S.; Almeida, I.F. Design of an Emulgel for Psoriasis Focused on Patient Preferences. Appl. Sci. 2022, 12, 3260. [Google Scholar] [CrossRef]
  44. Mazurkeviciute, A.; Matulyte, I.; Ivaskiene, M.; Zilius, M. Modeling, the Optimization of the Composition of Emulgels with Ciclopirox Olamine, and Quality Assessment. Polymers 2024, 16, 1816. [Google Scholar] [CrossRef]
  45. Clement, P.M.; Hanauske-Abel, H.M.; Wolff, E.C.; Kleinman, H.K.; Park, M.H. The antifungal drug ciclopirox inhibits deoxyhypusine and proline hydroxylation, endothelial cell growth and angiogenesis in vitro. Int. J. Cancer. 2002, 100, 491–498. [Google Scholar] [CrossRef] [PubMed]
  46. Kang, J.A.; Kim, S.; Park, M.; Park, H.J.; Kim, J.H.; Park, S.; Hwang, J.R.; Kim, Y.C.; Jun Kim, Y.; Cho, Y.; et al. Ciclopirox inhibits Hepatitis B Virus secretion by blocking capsid assembly. Nat. Commun. 2019, 10, 2184. [Google Scholar] [CrossRef]
  47. Wei, X.; Zhou, Y.; Shen, X.; Fan, L.; Liu, D.; Gao, X.; Zhou, J.; Wu, Y.; Li, Y.; Feng, W.; et al. Ciclopirox inhibits SARS-CoV-2 replication by promoting the degradation of the nucleocapsid protein. Acta Pharm. Sin. B. 2024, 14, 2505–2519. [Google Scholar] [CrossRef] [PubMed]
  48. Hoque, M.; Hanauske-Abel, H.M.; Palumbo, P.; Saxena, D.; D’Alliessi Gandolfi, D.; Park, M.H.; Pe’ery, T.; Mathews, M.B. Inhibition of HIV-1 gene expression by Ciclopirox and Deferiprone, drugs that prevent hypusination of eukaryotic initiation factor 5A. Retrovirology 2009, 6, 90. [Google Scholar] [CrossRef] [PubMed]
  49. Urquiza, P.; Laín, A.; Sanz-Parra, A.; Moreno, J.; Bernardo-Seisdedos, G.; Dubus, P.; González, E.; Gutiérrez-de-Juan, V.; García, S.; Eraña, H.; et al. Repurposing ciclopirox as a pharmacological chaperone in a model of congenital erythropoietic porphyria. Sci. Transl. Med. 2018, 10, eaat7467. [Google Scholar] [CrossRef] [PubMed]
  50. Feng, H.; Hu, L.; Zhu, H.; Tao, L.; Wu, L.; Zhao, Q.; Gao, Y.; Gong, Q.; Mao, F.; Li, X.; et al. Repurposing antimycotic ciclopirox olamine as a promising anti-ischemic stroke agent. Acta Pharm. Sin. B 2020, 10, 434–446. [Google Scholar] [CrossRef] [PubMed]
Figure 1. Chemical structure of ciclopirox (a) and ciclopirox olamine (b).
Figure 1. Chemical structure of ciclopirox (a) and ciclopirox olamine (b).
Applsci 14 11859 g001
Table 1. Structure–activity relationships (SAR) of ciclopirox and derivatives.
Table 1. Structure–activity relationships (SAR) of ciclopirox and derivatives.
Structural FeatureEffect on Activity
Hydroxypyridone coreEssential for biological activity
Sixth position (lipophilic substituent)Hexyl or benzyl preferred; -OMe or -OH enhance activity
Position of hexyl ringMoving from the sixth position significantly reduces efficacy
Fourth positionSmall groups (-Me, -OH) necessary for high activity
Table 2. Mechanisms of action of ciclopirox/ciclopirox olamine.
Table 2. Mechanisms of action of ciclopirox/ciclopirox olamine.
MechanismDescription
Antifungal mechanismDisrupts fungal cell membrane, energy production, DNA repair, and cell division.
Iron chelationBinds intracellular iron, inhibiting iron-dependent enzymes and limiting iron availability.
Enzyme inhibitionInhibits metal-dependent enzymes (e.g., cytochromes, catalases), disrupting mitochondrial function.
Iron metabolism alterationRegulates iron transport genes, creating iron-limiting conditions.
Mitochondrial dysfunctionDisrupts electron transport, cytochrome function, and energy production.
Anti-inflammatory actionInhibits free radicals, cyclooxygenase, 5-lipoxygenase, and pro-inflammatory cytokines.
Synergistic effectsEnhances activity of other chelators and inhibitors, reducing resistance risk.
Table 3. Therapeutic potential of ciclopirox/ciclopirox olamine.
Table 3. Therapeutic potential of ciclopirox/ciclopirox olamine.
CategoryDiseaseMechanism and Key Effects
CancerAcute myelogenous leukemia
Breast cancer
Rhabdomyosarcoma
Colon carcinoma
Inhibits DNA replication, regulates apoptosis, disrupts the cell cycle.
Viral infectionsChronic hepatitis B virus (HBV) infectionDisrupts HBV capsid assembly and replication; synergistic with tenofovir and entecavir.
SARS-CoV-2 (COVID-19)Promotes degradation of nucleocapsid protein; reduces inflammation and alleviates lung pathology.
HIV (AIDS)Inhibits replication via eIF5A modulation; combats drug resistance.
Metabolic diseasesType I diabetesInhibits DOHH, reducing disease progression; promotes angiogenesis for diabetic complications.
Rare diseasesCongenital erythropoietic porphyria (CEP)Stabilizes uroporphyrinogen III synthase; reduces toxic by-products and alleviates symptoms.
Cardiovascular diseasesHypertension
Heart failure
Hypertrophic cardiomyopathy
Enhances cardiac response to stimulation and stress adaptation.
Neurological conditionsIschemic strokeModulates phosphorylation, inhibits inflammation, promotes neurogenesis and angiogenesis.
HSV-1 infectionsInhibits replication and latent genome accumulation, effective in corneal infections.
Disclaimer/Publisher’s Note: The statements, opinions and data contained in all publications are solely those of the individual author(s) and contributor(s) and not of MDPI and/or the editor(s). MDPI and/or the editor(s) disclaim responsibility for any injury to people or property resulting from any ideas, methods, instructions or products referred to in the content.

Share and Cite

MDPI and ACS Style

Mucha, P.; Borkowski, B.; Erkiert-Polguj, A.; Budzisz, E. Ciclopirox and Ciclopirox Olamine: Antifungal Agents in Dermatology with Expanding Therapeutic Potential. Appl. Sci. 2024, 14, 11859. https://doi.org/10.3390/app142411859

AMA Style

Mucha P, Borkowski B, Erkiert-Polguj A, Budzisz E. Ciclopirox and Ciclopirox Olamine: Antifungal Agents in Dermatology with Expanding Therapeutic Potential. Applied Sciences. 2024; 14(24):11859. https://doi.org/10.3390/app142411859

Chicago/Turabian Style

Mucha, Paulina, Bartłomiej Borkowski, Anna Erkiert-Polguj, and Elzbieta Budzisz. 2024. "Ciclopirox and Ciclopirox Olamine: Antifungal Agents in Dermatology with Expanding Therapeutic Potential" Applied Sciences 14, no. 24: 11859. https://doi.org/10.3390/app142411859

APA Style

Mucha, P., Borkowski, B., Erkiert-Polguj, A., & Budzisz, E. (2024). Ciclopirox and Ciclopirox Olamine: Antifungal Agents in Dermatology with Expanding Therapeutic Potential. Applied Sciences, 14(24), 11859. https://doi.org/10.3390/app142411859

Note that from the first issue of 2016, this journal uses article numbers instead of page numbers. See further details here.

Article Metrics

Back to TopTop