Four-Channel Polarimetric-Spectral Intensity Modulation Imager
Abstract
1. Introduction
2. Optical Layout and Principle
3. Effectiveness Validation for the FCPS Scheme
3.1. System Matrix Calibration
3.2. Matrix Rank Calculation
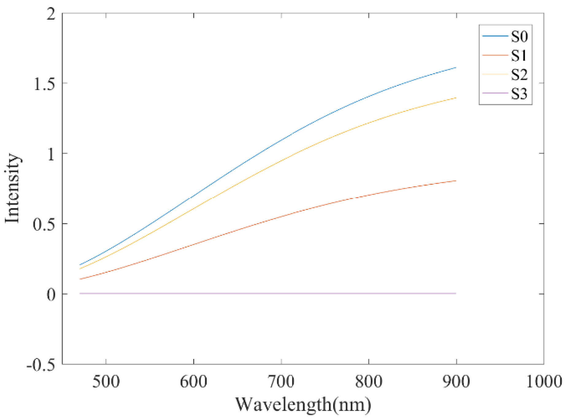
3.3. The Effectiveness of the FCPS
4. Simulation of Alignment Errors in FCPS
5. Discussion
6. Conclusions
Author Contributions
Funding
Data Availability Statement
Conflicts of Interest
References
- van Harten, G.; de Boer, J.; Rietjens, J.H.H.; Di Noia, A.; Snik, F.; Volten, H.; Smit, J.M.; Hasekamp, O.P.; Henzing, J.S. Keller, C.U. Atmospheric aerosol characterization with a ground-based SPEX spectropolarimetric instrument. Atmos. Meas. Tech. 2014, 7, 4341–4351. [Google Scholar] [CrossRef]
- Narukage, N.; Auchere, F.; Kobayashi, K. Vacuum ultraviolet spectropolarimeter design for precise polarization measurements. Appl. Opt. 2015, 54, 2080–2084. [Google Scholar] [CrossRef] [PubMed]
- Jones, S.H.; Iannarilli, F.J.; Kebabian, P.L. Realization of quantitative-grade fieldable snapshot imaging spectropolarimeter. Opt. Express 2004, 12, 6559–6573. [Google Scholar] [CrossRef] [PubMed]
- Yue, F.; Zhang, C.; Zang, X.-F.; Wen, D.; Gerardot, B.D.; Zhang, S.; Chen, X. High-resolution grayscale image hidden in a laser beam. Light Sci. Appl. 2018, 7, 17129. [Google Scholar] [CrossRef]
- Kudenov, M.W.; Lowenstern, M.E.; Craven, J.M.; LaCasse, C.F. Field deployable pushbroom hyperspectral imaging polarimeter. Opt. Eng. 2017, 56, 103107. [Google Scholar] [CrossRef]
- Craven, J.; Kudenov, M.W.; Stapelbroek, M.G.; Dereni, E.L. Compact infrared hyperspectral imaging polarimeter. Proc. SPIE 2010, 7695, 769509. [Google Scholar]
- Zhang, C.; Wu, H.; Li, J. Fourier transform hyperspectral imaging polarimeter for remote sensing. Opt. Eng. 2011, 50, 066201. [Google Scholar] [CrossRef]
- Liu, S.; Cui, T.J.; Xu, Q.; Bao, D.; Du, L.; Wan, X.; Tang, W.X.; Ouyang, C.; Zhou, X.Y.; Yuan, H.; et al. Anisotropic coding metamaterials and their powerful manipulation of differently polarized terahertz waves. Light Sci. Appl. 2016, 5, e16076. [Google Scholar] [CrossRef]
- Zhanghao, K.; Chen, L.; Yang, X.; Wang, M.; Jing, Z.; Han, H.; Zhang, M.Q.; Jin, D.; Gao, J.; Xi, P. Super-resolution dipole orientation mapping via polarization demodulation. Light Sci. Appl. 2016, 5, e16166. [Google Scholar] [CrossRef]
- Dubreuil, M.; Rivet, S.; Le Jeune, B.; Dupont, L. Time-resolved switching analysis of a ferroelectric liquid crystal by snapshot Mueller matrix polarimetry. Opt. Lett. 2017, 35, 1019–1021. [Google Scholar] [CrossRef]
- Ren, M.; Wu, W.; Cai, W.; Pi, B.; Zhang, X.; Xu, J. Reconfigurable metasurfaces that enable light polarization control by light. Light Sci. Appl. 2017, 6, e16254. [Google Scholar] [CrossRef] [PubMed]
- Sun, X.; Qiao, Y.; Hong, J. Review of polarization remote sensing techniques and applications in the visible and infrared. J. Atmos. Environ. Opt. 2010, 5, 175–189. [Google Scholar]
- Nordsieck, K.H. A simple polarimetric system for the Lick Observatory image-tube scanner. Publ. Astron. Soc. Pac. 1974, 86, 324–329. [Google Scholar] [CrossRef]
- Oka, K.; Kato, T. Spectroscopic polarimetry with a channeled spectrum. Opt. Lett. 1999, 24, 1475–1477. [Google Scholar] [CrossRef] [PubMed]
- Iannarilli, F.J.; Jones, S.H.; Scott, H.E.; Kebabian, P.L. Polarimetric-spectral intensity modulation (P-SIM): Enabling simultaneous hyperspectral and polarimetric imaging. Proc. SPIE 1999, 3698, 474–481. [Google Scholar]
- Vandervlugt, C.; Hagen, N.; Sampson, R.; Dereniak, E.; Gerhart, G. Visible imaging spectro-polarimeter. Proc. SPIE 2007, 6661, 666104-1–666104-7. [Google Scholar]
- Ren, W.Y.; Fu, C.; Arce, R.G. The first result of Compressed Channeled Imaging Spectropolarimeter. Imaging Appl. Opt. 2018, JTu4A.21, 10.1364. [Google Scholar]
- Mu, T.; Zhang, C.; Jia, C.; Ren, W.; Zhang, L.; Li, Q. Alignment and retardance errors, and compensation of a channeled spectropolarimeter. Opt. Commun. 2013, 294, 88–95. [Google Scholar] [CrossRef]
- Zhang, C.; Yan, T.; Jia, C.; Ward, W.E. Tempo-spatially modulated imaging spectropolarimetry based on polarization modulation array. J. Quant. Radiat. Transf. 2021, 261, 107448. [Google Scholar] [CrossRef]
- Yang, B.; Ju, X.; Yan, C.; Zhang, J. Alignment errors calibration for a channeled spectropolarimeter. Opt. Express 2016, 24, 28923–28935. [Google Scholar] [CrossRef]
- Ju, X.; Yang, B.; Zhang, J.; Yan, C. Reduction of the effects of angle errors for a channeled spectropolarimeter. Appl. Opt. 2017, 56, 9156–9164. [Google Scholar] [CrossRef] [PubMed]
- Craven, J.; Kudenov, M.W. False signature reduction in channeled spectropolarimetry. Opt. Eng. 2010, 49, 053602. [Google Scholar] [CrossRef]
- Harten, G.; Snik, F.; Rietjens, J.H.; Smit, J.M.; Keller, C.U. Spectral line polarimetry with a channeled polarimeter. Appl. Opt. 2014, 53, 4187–4194. [Google Scholar] [CrossRef] [PubMed]
- Snik, F.; Karalidi, T.; Keller, C.U. Spectral modulation for full linear polarimetry. Appl. Opt. 2009, 48, 1337–1346. [Google Scholar] [CrossRef]
- Li, Q.; Lu, F.; Wang, X.; Zhu, C. Low crosstalk polarization-difference channeled imaging spectropolarimeter using double-Wollaston prism. Opt. Express 2019, 27, 11734–11747. [Google Scholar] [CrossRef]
- Mu, T.; Zhang, C.; Jia, C.; Ren, W. Static hyperspectral imaging polarimeter for full linear Stokes parameters. Opt. Express 2012, 20, 18194–18201. [Google Scholar] [CrossRef]
- Zhao, Z.; Li, Y.; Liu, K.; Zhou, G. Derivation and calibration of spectral response for a channeled spectropolarimeter. Opt. Eng. 2023, 31, 25763–25780. [Google Scholar] [CrossRef]
- Huang, C.; Liu, H.; Wu, S.; Jiang, X.; Zhou, L.; Hu, J. Physics-guided neural network for channeled spectropolarimeter spectral reconstruction. Opt. Eng. 2023, 31, 24387–24403. [Google Scholar] [CrossRef]
















| RMSE | S0 | S1 | S2 | S3 |
|---|---|---|---|---|
| FCPS | 5.3317 × 10−10 | 4.1698 × 10−10 | 2.4510 × 10−10 | 1.1986 × 10−10 |
| CFFT | 0.0069 | 0.0031 | 0.0100 | 0.0021 |
| Linear Polarizer Angle Error (°) | R-S2 and S2 | R-S3 and S3 |
|---|---|---|
| 0.2 | 0.0097 | 0.0057 |
| 0.3 | 0.0145 | 0.0086 |
| 0.4 | 0.0193 | 0.0115 |
| 0.5 | 0.0241 | 0.0145 |
Disclaimer/Publisher’s Note: The statements, opinions and data contained in all publications are solely those of the individual author(s) and contributor(s) and not of MDPI and/or the editor(s). MDPI and/or the editor(s) disclaim responsibility for any injury to people or property resulting from any ideas, methods, instructions or products referred to in the content. |
© 2024 by the authors. Licensee MDPI, Basel, Switzerland. This article is an open access article distributed under the terms and conditions of the Creative Commons Attribution (CC BY) license (https://creativecommons.org/licenses/by/4.0/).
Share and Cite
Bo, J.; Ju, X.; Yan, C. Four-Channel Polarimetric-Spectral Intensity Modulation Imager. Appl. Sci. 2024, 14, 11759. https://doi.org/10.3390/app142411759
Bo J, Ju X, Yan C. Four-Channel Polarimetric-Spectral Intensity Modulation Imager. Applied Sciences. 2024; 14(24):11759. https://doi.org/10.3390/app142411759
Chicago/Turabian StyleBo, Jian, Xueping Ju, and Changxiang Yan. 2024. "Four-Channel Polarimetric-Spectral Intensity Modulation Imager" Applied Sciences 14, no. 24: 11759. https://doi.org/10.3390/app142411759
APA StyleBo, J., Ju, X., & Yan, C. (2024). Four-Channel Polarimetric-Spectral Intensity Modulation Imager. Applied Sciences, 14(24), 11759. https://doi.org/10.3390/app142411759
