Effects of the Fruit Harvest Date and Shelf-Life Nexus of Apples on Different Quality Perspectives
Abstract
1. Introduction
2. Materials and Methods
2.1. Apple Varieties and Experimental Design
2.2. Texture Profile Analysis
2.3. Kano Model
2.4. Sensory Panel
2.5. Temporal Dominance of Sensations (TDS)
2.6. Emotion Recognition
2.7. Statistical Analysis
3. Results and Discussion
3.1. Texture Profile Analysis
3.2. Kano Model
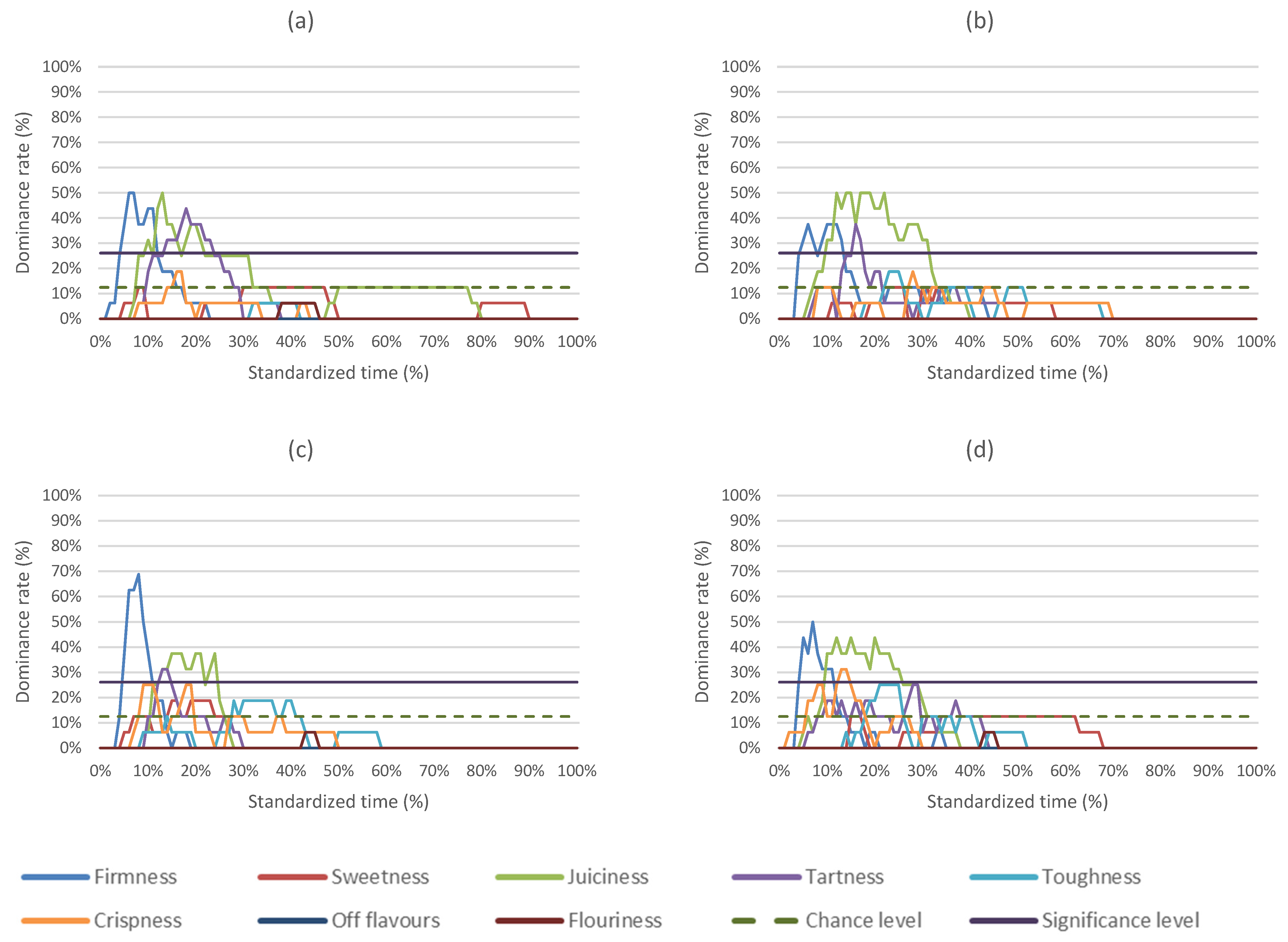
3.3. Temporal Dominance of Sensations
3.4. Emotion Recognition
4. Conclusions
Author Contributions
Funding
Institutional Review Board Statement
Informed Consent Statement
Data Availability Statement
Conflicts of Interest
References
- Harker, F.R.; Gunson, F.A.; Jaeger, S.R. The Case for Fruit Quality: An Interpretive Review of Consumer Attitudes, and Preferences for Apples. Postharvest Biol. Technol. 2003, 28, 333–347. [Google Scholar] [CrossRef]
- Ikegaya, A.; Toyoizumi, T.; Ohba, S.; Nakajima, T.; Kawata, T.; Ito, S.; Arai, E. Effects of Distribution of Sugars and Organic Acids on the Taste of Strawberries. Food Sci. Nutr. 2019, 7, 2419–2426. [Google Scholar] [CrossRef] [PubMed]
- Mignard, P.; Beguería, S.; Giménez, R.; Font i Forcada, C.; Reig, G.; Moreno, M.Á. Effect of Genetics and Climate on Apple Sugars and Organic Acids Profiles. Agronomy 2022, 12, 827. [Google Scholar] [CrossRef]
- Liao, L.; Zhang, W.; Zhang, B.O.; Fang, T.; Wang, X.-F.; Cai, Y.; Ogutu, C.; Gao, L.; Chen, G.; Nie, X. Unraveling a Genetic Roadmap for Improved Taste in the Domesticated Apple. Mol. Plant 2021, 14, 1454–1471. [Google Scholar] [CrossRef] [PubMed]
- Bonany, J.; Brugger, C.; Buehler, A.; Carbó, J.; Codarin, S.; Donati, F.; Echeverria, G.; Egger, S.; Guerra, W.; Hilaire, C. Preference Mapping of Apple Varieties in Europe. Food Qual. Prefer. 2014, 32, 317–329. [Google Scholar] [CrossRef]
- Lateur, M.; Planchon, V.; Moons, E. Organoleptic Properties of Old Apple Cultivars Evaluated by Sensory Analysis. Biotechnol. Agron. Soc. Environ. 2001, 5, 180–188. [Google Scholar]
- Tomala, K.; Baryłko-Pikielna, N.; Jankowski, P.; Jeziorek, K.; Wasiak-Zys, G. Acceptability of Scab-resistant versus Conventional Apple Cultivars by Polish Adult and Young Consumers. J. Sci. Food Agric. 2009, 89, 1035–1045. [Google Scholar] [CrossRef]
- Lu, Y.; Lu, R. Quality Evaluation of Apples. In Computer Vision Technology for Food Quality Evaluation; Sun, D.-W., Ed.; Academic Press: London, UK, 2016; pp. 273–304. ISBN 978-0-12-802232-0. [Google Scholar]
- Harker, F.R.; Redgwell, R.J.; Hallett, I.C.; Murray, S.H.; Carter, G. Texture of Fresh Fruit. Hortic. Rev. Am. Soc. Hortic. Sci. 2010, 20, 121–224. [Google Scholar]
- Yahia, E.M. Apple Flavor. In Horticultural Reviews; John Wiley & Sons Inc.: New York, NY, USA, 1994; pp. 197–234. ISBN 9780470650561. [Google Scholar]
- Poles, L.; Gentile, A.; Giuffrida, A.; Valentini, L.; Endrizzi, I.; Aprea, E.; Gasperi, F.; Distefano, G.; Artioli, G.; La Malfa, S. Role of Fruit Flesh Cell Morphology and MdPG1 Allelotype in Influencing Juiciness and Texture Properties in Apple. Postharvest Biol. Technol. 2020, 164, 111161. [Google Scholar] [CrossRef]
- Andani, Z.; Jaeger, S.R.; Wakeling, I.; MacFie, H.J.H. Mealiness in Apples: Towards a Multilingual Consumer Vocabulary. J. Food Sci. 2001, 66, 872–879. [Google Scholar] [CrossRef]
- Drkenda, P.; Ćulah, A.; Spaho, N.; Akagić, A.; Hudina, M. How Do Consumers Perceive Sensory Attributes of Apple? Foods 2021, 10, 2667. [Google Scholar] [CrossRef] [PubMed]
- Pantouvakis, A. The Relative Importance of Service Features in Explaining Customer Satisfaction: A Comparison of Measurement Models. Manag. Serv. Qual. Int. J. 2010, 20, 366–387. [Google Scholar] [CrossRef]
- Shahin, A.; Pourhamidi, M.; Antony, J.; Hyun Park, S. Typology of Kano Models: A Critical Review of Literature and Proposition of a Revised Model. Int. J. Qual. Reliab. Manag. 2013, 30, 341–358. [Google Scholar] [CrossRef]
- Chen, L.-F. A Novel Approach to Regression Analysis for the Classification of Quality Attributes in the Kano Model: An Empirical Test in the Food and Beverage Industry. Omega 2012, 40, 651–659. [Google Scholar] [CrossRef]
- Borgianni, Y.; Rotini, F. Towards the Fine-Tuning of a Predictive Kano Model for Supporting Product and Service Design. Total Qual. Manag. Bus. Excell. 2015, 26, 263–283. [Google Scholar] [CrossRef]
- Chaudha, A.; Jain, R.; Singh, A.R.; Mishra, P.K. Integration of Kano’s Model into Quality Function Deployment (QFD). Int. J. Adv. Manuf. Technol. 2011, 53, 689–698. [Google Scholar] [CrossRef]
- Tontini, G. Integrating the Kano Model and QFD for Designing New Products. Total Qual. Manag. 2007, 18, 599–612. [Google Scholar] [CrossRef]
- Djekic, I.; Ilic, J.; Guiné, R.P.F.; Tomasevic, I. Can We Understand Food Oral Processing Using Kano Model? Case Study with Confectionery Products. J. Texture Stud. 2020, 51, 861–869. [Google Scholar] [CrossRef] [PubMed]
- Pineau, N.; Cordelle, S.; Schlich, P. Temporal Dominance of Sensations: A New Technique to Record Several Sensory Attributes Simultaneously over Time. In Proceedings of the 35th Journées de Statistique, Lyon, France, 2–6 June 2003; p. 121. [Google Scholar]
- Pineau, N.; Schlich, P.; Cordelle, S.; Mathonnière, C.; Issanchou, S.; Imbert, A.; Rogeaux, M.; Etiévant, P.; Köster, E. Temporal Dominance of Sensations: Construction of the TDS Curves and Comparison with Time–Intensity. Food Qual. Prefer. 2009, 20, 450–455. [Google Scholar] [CrossRef]
- Labbe, D.; Schlich, P.; Pineau, N.; Gilbert, F.; Martin, N. Temporal Dominance of Sensations and Sensory Profiling: A Comparative Study. Food Qual. Prefer. 2009, 20, 216–221. [Google Scholar] [CrossRef]
- Di Monaco, R.; Su, C.; Masi, P.; Cavella, S. Temporal Dominance of Sensations: A Review. Trends Food Sci. Technol. 2014, 38, 104–112. [Google Scholar] [CrossRef]
- Castura, J.C.; Antúnez, L.; Giménez, A.; Ares, G. Temporal Check-All-That-Apply (TCATA): A Novel Dynamic Method for Characterizing Products. Food Qual. Prefer. 2016, 47, 79–90. [Google Scholar] [CrossRef]
- Delarue, J.; Blumenthal, D. Temporal Aspects of Consumer Preferences. Curr. Opin. Food Sci. 2015, 3, 41–46. [Google Scholar] [CrossRef]
- Kahneman, D. A Perspective on Judgment and Choice: Mapping Bounded Rationality. In Progress in Psychological Science around the World. Volume 1 Neural, Cognitive and Developmental Issues; Psychology Press: London, UK, 2013; pp. 1–47. [Google Scholar]
- Köster, E.P. The Psychology of Food Choice: Some Often Encountered Fallacies. Food Qual. Prefer. 2003, 14, 359–373. [Google Scholar] [CrossRef]
- Scherer, K.R. What Are Emotions? And How Can They Be Measured? Soc. Sci. Inf. 2005, 44, 695–729. [Google Scholar] [CrossRef]
- Scherer, K.R. Emotions Are Emergent Processes: They Require a Dynamic Computational Architecture. Philos. Trans. R. Soc. B Biol. Sci. 2009, 364, 3459–3474. [Google Scholar] [CrossRef] [PubMed]
- Köster, E.P.; Mojet, J. From Mood to Food and from Food to Mood: A Psychological Perspective on the Measurement of Food-Related Emotions in Consumer Research. Food Res. Int. 2015, 76, 180–191. [Google Scholar] [CrossRef]
- van Bommel, R.; Stieger, M.; Boelee, N.; Schlich, P.; Jager, G. From First to Last Bite: Temporal Dynamics of Sensory and Hedonic Perceptions Using a Multiple-Intake Approach. Food Qual. Prefer. 2019, 78, 103748. [Google Scholar] [CrossRef]
- van Bommel, R.; Stieger, M.; Visalli, M.; de Wijk, R.; Jager, G. Does the Face Show What the Mind Tells? A Comparison between Dynamic Emotions Obtained from Facial Expressions and Temporal Dominance of Emotions (TDE). Food Qual. Prefer. 2020, 85, 103976. [Google Scholar] [CrossRef]
- Streif, J.; Kittemann, D.; Neuwald, D.A.; McCormick, R.; Xuan, H. Pre-and Post-Harvest Management of Fruit Quality, Ripening and Senescence. In Proceedings of the VI International Postharvest Symposium 877, Antalya, Turkey, 8–12 April 2009; pp. 55–68. [Google Scholar]
- Brookfield CT3 Texture Analyzer. Operating Instructions. Manual No. M08-372-E0315. 2019. Available online: https://www.brookfieldengineering.com/-/media/ametekbrookfield/manuals/texture/ct3%20manual%20m08-372-f1116.pdf (accessed on 5 September 2024).
- Diehl, K.C.; Hamann, D.D. Relathionships Between Sensory Profile Parameters and Fundamental Mechanical Parameters for Raw Potatoes, Melons and Apples 1. J. Texture Stud. 1980, 10, 401–420. [Google Scholar] [CrossRef]
- Diehl, K.C.; Hamann, D.D.; Whitfield, J.K. Structural Failure in Selected Raw Fruits and Vegetables 1. J. Texture Stud. 1980, 10, 371–400. [Google Scholar] [CrossRef]
- DeLong, J.; Prange, R.; Harrison, P.; McRae, K. Comparison of a New Apple Firmness Penetrometer with Three Standard Instruments. Postharvest Biol. Technol. 2000, 19, 201–209. [Google Scholar] [CrossRef]
- Mikulić, J.; Prebežac, D. A Critical Review of Techniques for Classifying Quality Attributes in the Kano Model. Manag. Serv. Qual. Int. J. 2011, 21, 46–66. [Google Scholar] [CrossRef]
- Madzík, P.; Pelantová, V. Validation of Product Quality through Graphical Interpretation of the Kano Model: An Explorative Study. Int. J. Qual. Reliab. Manag. 2018, 35, 1956–1975. [Google Scholar] [CrossRef]
- Forde, C.G.; Van Kuijk, N.; Thaler, T.; De Graaf, C.; Martin, N. Oral Processing Characteristics of Solid Savoury Meal Components, and Relationship with Food Composition, Sensory Attributes and Expected Satiation. Appetite 2013, 60, 208–219. [Google Scholar] [CrossRef] [PubMed]
- Cliff, M.A.; Stanich, K.; Lu, R.; Hampson, C.R. Use of Descriptive Analysis and Preference Mapping for Early-stage Assessment of New and Established Apples. J. Sci. Food Agric. 2016, 96, 2170–2183. [Google Scholar] [CrossRef]
- Bejaei, M. Converting Apple Textural Parameters Obtained from Penetrometers and Their Relationships with Sensory Attributes. Horticulturae 2022, 8, 269. [Google Scholar] [CrossRef]
- Harker, F.R.; Feng, J.; Johnston, J.W.; Gamble, J.; Alavi, M.; Hall, M.; Chheang, S.L. Influence of Postharvest Water Loss on Apple Quality: The Use of a Sensory Panel to Verify Destructive and Non-Destructive Instrumental Measurements of Texture. Postharvest Biol. Technol. 2019, 148, 32–37. [Google Scholar] [CrossRef]
- Bejaei, M.; Xu, H. Internal Quality Attributes and Sensory Characteristics of ‘Ambrosia’Apples with Different Dry Matter Content after a Two-Week and a Ten-Week Air Storage at 1 °C. Foods 2023, 12, 219. [Google Scholar] [CrossRef] [PubMed]
- ISO 5492:2008; Sensory Analysis—Vocabulary. International Organization for Standardization: Geneva, Switzerland, 2008.
- Djekic, I.; Lorenzo, J.M.; Munekata, P.E.S.; Gagaoua, M.; Tomasevic, I. Review on Characteristics of Trained Sensory Panels in Food Science. J. Texture Stud. 2021, 52, 501–509. [Google Scholar] [CrossRef]
- Djekic, I.; Ilic, J.; Lorenzo, J.M.; Tomasevic, I. How Do Culinary Methods Affect Quality and Oral Processing Characteristics of Pork Ham? J. Texture Stud. 2021, 52, 36–44. [Google Scholar] [CrossRef] [PubMed]
- Rocha, C.; Lima, R.C.; de Moura, A.P.; Costa, T.; Cunha, L.M. Implicit Evaluation of the Emotional Response to Premium Organic Herbal Infusions through a Temporal Dominance Approach: Development of the Temporal Dominance of Facial Emotions (TDFE). Food Qual. Prefer. 2019, 76, 71–80. [Google Scholar] [CrossRef]
- Azevedo, R.R. Uma Plataforma Computacional Para Análise e Relato de Emoções Em Sessões de Videoconferência; Universidade de Aveiro: Aveiro, Portugal, 2023. [Google Scholar]
- Ahmed, M.U.; Woo, K.J.; Hyeon, K.Y.; Bashar, M.R.; Rhee, P.K. Wild Facial Expression Recognition Based on Incremental Active Learning. Cogn. Syst. Res. 2018, 52, 212–222. [Google Scholar] [CrossRef]
- Danner, L.; Sidorkina, L.; Joechl, M.; Duerrschmid, K. Make a Face! Implicit and Explicit Measurement of Facial Expressions Elicited by Orange Juices Using Face Reading Technology. Food Qual. Prefer. 2014, 32, 167–172. [Google Scholar] [CrossRef]
- Zeinstra, G.G.; Koelen, M.A.; Colindres, D.; Kok, F.J.; De Graaf, C. Facial Expressions in School-Aged Children Are a Good Indicator of ‘Dislikes’, but Not of ‘Likes’. Food Qual. Prefer. 2009, 20, 620–624. [Google Scholar] [CrossRef]
- Frost, S.C.; Blackman, J.W.; Ebeler, S.E.; Heymann, H. Analysis of Temporal Dominance of Sensation Data Using Correspondence Analysis on Merlot Wine with Differing Maceration and Cap Management Regimes. Food Qual. Prefer. 2018, 64, 245–252. [Google Scholar] [CrossRef]
- Niklas, K.J. Plant Biomechanics: An Engineering Approach to Plant Form and Function; University of Chicago Press: Chicago, IL, USA, 1992; ISBN 0226586316. [Google Scholar]
- Ben-Arie, R.; Kislev, N.; Frenkel, C. Ultrastructural Changes in the Cell Walls of Ripening Apple and Pear Fruit. Plant Physiol. 1979, 64, 197–202. [Google Scholar] [CrossRef] [PubMed]
- De Smedt, V.; Pauwels, E.; De Baerdemaeker, J.; Nicolaï, B. Microscopic Observation of Mealiness in Apples: A Quantative Approach. Postharvest Biol. Technol. 1998, 14, 151–158. [Google Scholar] [CrossRef]
- Zdunek, A.; Konopacka, D.; Jesionkowska, K. Crispness and Crunchiness Judgment of Apples Based on Contact Acoustic Emission. J. Texture Stud. 2010, 41, 75–91. [Google Scholar] [CrossRef]
- Lin, T.; Pitt, R.E. Rheology of Apple and Potato Tissue as Affected by Cell Turgor Pressure. J. Texture Stud. 1986, 17, 291–313. [Google Scholar] [CrossRef]
- Zdunek, A.; Bednarczyk, J. Effect of Mannitol Treatment on Ultrasound Emission during Texture Profile Analysis of Potato and Apple Tissue. J. Texture Stud. 2006, 37, 339–359. [Google Scholar] [CrossRef]
- Ahmadi-Afzadi, M. Genetic and Biochemical Properties of Apples That Affect Storability and Nutritional Value. Introd. Pap. Fac. Landsc. Plan. Hortic. Agric. Sci. 2012, 1, 1–41. [Google Scholar]
- Ornelas-Paz, J.d.J.; Quintana-Gallegos, B.M.; Escalante-Minakata, P.; Reyes-Hernández, J.; Pérez-Martínez, J.D.; Rios-Velasco, C.; Ruiz-Cruz, S. Relationship between the Firmness of Golden Delicious Apples and the Physicochemical Characteristics of the Fruits and Their Pectin during Development and Ripening. J. Food Sci. Technol. 2018, 55, 33–41. [Google Scholar] [CrossRef] [PubMed]
- Harker, F.R.; Hallett, I.C. Physiological Changes Associated with Development of Mealiness of Apple Fruit during Cool Storage. HortScience 1992, 27, 1291–1294. [Google Scholar] [CrossRef]
- Riviere, P.; Monrozier, R.; Rogeaux, M.; Pages, J.; Saporta, G. Adaptive Preference Target: Contribution of Kano’s Model of Satisfaction for an Optimized Preference Analysis Using a Sequential Consumer Test. Food Qual. Prefer. 2006, 17, 572–581. [Google Scholar] [CrossRef]
- Ruiz-Capillas, C.; Herrero, A.M. Sensory Analysis and Consumer Research in New Product Development. Foods 2021, 10, 582. [Google Scholar] [CrossRef]
- Goupil de Bouillé, A.; Pineau, N.; Meyners, M.; Martin, N.; Schlich, P. How Do Panellists Use the List of Attributes during a Temporal Dominance of Sensations Experiment. In Proceedings of the 11th European Symposium on Statistical Methods for the Food Industry (AgroStat), Benevento, Italy, 24–26 February 2010. [Google Scholar]
- Pineau, N.; de Bouillé, A.G.; Lepage, M.; Lenfant, F.; Schlich, P.; Martin, N.; Rytz, A. Temporal Dominance of Sensations: What Is a Good Attribute List? Food Qual. Prefer. 2012, 26, 159–165. [Google Scholar] [CrossRef]
- Meillon, S.; Urbano, C.; Schlich, P. Contribution of the Temporal Dominance of Sensations (TDS) Method to the Sensory Description of Subtle Differences in Partially Dealcoholized Red Wines. Food Qual. Prefer. 2009, 20, 490–499. [Google Scholar] [CrossRef]
- Kovač, A.; Babojelić, M.S.; Pavičić, N.; Voća, S.; Voća, N.; Dobričević, N.; Jagatić, A.-M.; Šindrak, Z. Influence of Harvest Time and Storage Duration on “Cripps Pink” Apple Cultivar (Malus× Domestica Borkh) Quality Parameters Influencia Del Tiempo de Cosecha y Duración En Almacenamiento En Los Parámetros de Calidad de La Variedad de Manzana Cripps Pink (Malus× Domestica Borkh). CyTA–J. Food 2010, 8, 1–6. [Google Scholar]
- Nazari Gholjogh, R.; Selahvarzi, Y.; Abedi, B.; Sayyad-Amin, P.; Rastegar, S. Effect of Rootstock and Fruit Harvest Date on Quantitative, Qualitative and Storage Attributes of ‘Golden Delicious’ Apple. Appl. Fruit Sci. 2024, 66, 1707–1718. [Google Scholar] [CrossRef]
- Stevenson, D.G.; Domoto, P.A.; Jane, J. Structures and Functional Properties of Apple (Malus Domestica Borkh) Fruit Starch. Carbohydr. Polym. 2006, 63, 432–441. [Google Scholar] [CrossRef]
- HUMAINE Association (HUman MAchine Interaction Network on Emotions). HUMAINE Emotion Annotation and Representation Language (EARL): Proposal; Aalborg Universitet: Aalborg, Denmark, 2006. [Google Scholar]
- De Houwer, J.; Moors, A. How to Define and Examine the Implicitness of Implicit Measures. Implicit Meas. Attitudes Proced. Controv. 2007, 179, 194. [Google Scholar]
- Senate of the University of Belgrade. The Code of Professional Ethics of the University of Belgrade. Off. Gaz. Univ. Belgrade 2016, 193, 16. [Google Scholar]










| Mechanical Parameters | General Description | Unit |
|---|---|---|
| Deformation at hardness | The distance to which the sample was compressed when the hardness occurred. | mm |
| Adhesiveness | The work needed to separate a probe from the sample. | mJ |
| Fracturability | The energy needed to break the sample apart. | N |
| Cohesiveness | An indicator of how effectively a sample’s structure resists compression. | - |
| Springiness | Indicator of the sample’s return distance following compression to the target deformation. | - |
| Gumminess | The amount of energy needed to break down the semi-solid food sample into a form that could be swallowed. | N |
| Chewiness Index | The amount of energy needed to chew a solid food sample until it was ready to be swallowed. | N |
| Average peak load | Average value of maximum measured loads recorded during the test. | N |
| Firmness | The force needed for a probe to penetrate a certain distance into the flesh. | kg/cm2 |
| Descriptor | Definition |
|---|---|
| Firmness | The force needed to bite through flesh and to chew. |
| Juiciness | The amount of apple juice produced on initial bite and when chewing. |
| Sweetness | Sugars that stimulate taste evaluated following several chewing sessions. |
| Tartness | Acid-stimulated taste evaluated following several chewing sessions. |
| Crispness | The noise level of apple flesh when the sample is initially bitten with front teeth. |
| Flouriness | Particles of tiny, dry powder that are formed from the breakdown of apple flesh. |
| Toughness | The ease with which the skin breaks down in the mouth as the apple is being chewed with the back teeth to get it ready for ingestion. |
| Off-flavors | Selecting unpleasant tastes, such as: unripe, overripe, alcoholic, bitter, bland, green or grassy, musty or moldy, watery, empty, and other (please define). |
| D@H | ADH | FRA | COH | SPR | GUM | CHEW | Peak | FIRM | |
|---|---|---|---|---|---|---|---|---|---|
| Harvest date (H) | |||||||||
| Unripe | 8.51 ± 3.48 | 0.35 ± 0.31 | 32.79 ± 7.48 a | 0.10 ± 0.17 a | 4.06 ± 4.18 a | 2.32 ± 6.58 | 2.19 ± 6.29 | 24.85 ± 8.30 a | 6.85 ± 1.64 a |
| Ripe | 10.46 ± 1.25 | 0.30 ± 0.60 | 27.81 ± 9.60 ab | 0.02 ± 0.03 b | 1.24 ± 2.05 b | 0.25 ± 0.89 | 0.04 ± 0.12 | 21.78 ± 5.54 ab | 6.60 ± 1.28 a |
| Overripe | 10.01 ± 3.45 | 0.21 ± 0.31 | 26.92 ± 7.47 b | 0.02 ± 0.03 b | 1.16 ± 4.72 b | 0.28 ± 0.99 | 0.06 ± 0.18 | 19.17 ± 7.83 b | 6.00 ± 1.25 b |
| Shelf life testing day (D) | |||||||||
| Day 0 | 8.54 ± 2.90 | 0.37 ± 0.33 | 26.14 ± 6.33 a | 0.06 ± 0.10 | 4.27 ± 4.05 a | 1.22 ± 3.15 | 0.91 ± 3.00 | 28.16 ± 6.57 a | 8.45 ± 1.16 a |
| Day 5 | 9.70 ± 3.95 | 0.20 ± 0.26 | 26.30 ± 5.70 a | 0.09 ± 0.18 | 1.88 ± 4.43 ab | 2.35 ± 7.16 | 1.97 ± 6.80 | 22.68 ± 9.07 ab | 6.33 ± 0.63 b |
| Day 10 | 11.11 ± 2.09 | 0.21 ± 0.30 | 28.93 ± 7.02 ab | 0.02 ± 0.02 | 0.04 ± 3.39 b | 0.05 ± 0.10 | 0.01 ± 0.04 | 15.74 ± 3.24 c | 5.83 ± 0.69 bc |
| Day 15 | 9.29 ± 2.36 | 0.36 ± 0.69 | 35.32 ± 11.15 b | 0.03 ± 0.04 | 2.44 ± 3.20 ab | 0.17 ± 0.52 | 0.15 ± 0.51 | 21.14 ± 4.65 bc | 5.34 ± 0.58 c |
| H × D | |||||||||
| Unripe × Day 0 | 7.88 ± 3.54 | 0.48 ± 0.33 | 30.22 ± 4.54 | 0.12 ± 0.16 | 6.60 ± 3.54 | 2.59 ± 5.18 | 2.52 ± 5.15 | 30.10 ± 8.11 | 9.28 ± 0.63 |
| Unripe × Day 5 | 6.92 ± 3.57 | 0.34 ± 0.23 | 26.45 ± 5.21 | 0.21 ± 0.28 | 6.06 ± 2.74 | 6.20 ± 12.16 | 5.81 ± 11.59 | 28.23 ± 11.69 | 6.76 ± 0.73 |
| Unripe × Day 10 | 10.58 ± 2.54 | 0.48 ± 0.41 | 33.15 ± 5.00 | 0.02 ± 0.01 | 1.28 ± 4.23 | 0.02 ± 0.02 | 0.01 ± 0.01 | 17.95 ± 0.78 | 5.94 ± 0.83 |
| Unripe × Day 15 | 8.66 ± 4.11 | 0.10 ± 0.12 | 41.34 ± 6.53 | 0.04 ± 0.07 | 2.31 ± 4.29 | 0.45 ± 0.89 | 0.40 ± 0.89 | 23.12 ± 3.47 | 5.46 ± 0.55 |
| Ripe × Day 0 | 9.63 ± 0.35 | 0.48 ± 0.40 | 21.30 ± 1.70 | 0.02 ± 0.01 | 2.75 ± 1.59 | 0.02 ± 0.02 | 0.01 ± 0.01 | 24.49 ± 1.17 | 8.41 ± 1.26 |
| Ripe × Day 5 | 11.27 ± 1.91 | 0.08 ± 0.13 | 27.98 ± 7.15 | 0.03 ± 0.04 | 0.63 ± 2.00 | 0.83 ± 1.79 | 0.11 ± 0.23 | 23.13 ± 7.89 | 6.31 ± 0.43 |
| Ripe × Day 10 | 10.98 ± 1.12 | 0.08 ± 0.08 | 31.85 ± 3.90 | 0.03 ± 0.04 | 0.22 ± 2.84 | 0.11 ± 0.16 | 0.04 ± 0.06 | 17.17 ± 2.45 | 6.05 ± 0.26 |
| Ripe × Day 15 | 9.96 ± 0.03 | 0.56 ± 1.14 | 30.11 ± 16.99 | 0.01 ± 0.02 | 1.38 ± 0.85 | 0.03 ± 0.05 | 0.01 ± 0.01 | 22.32 ± 6.14 | 5.64 ± 0.43 |
| Overripe × Day 0 | 8.09 ± 3.81 | 0.14 ± 0.13 | 26.91 ± 8.13 | 0.04 ± 0.05 | 3.45 ± 5.63 | 1.06 ± 1.92 | 0.21 ± 0.34 | 29.89 ± 7.66 | 7.66 ± 0.99 |
| Overripe × Day 5 | 10.90 ± 4.87 | 0.18 ± 0.35 | 24.47 ± 5.27 | 0.01 ± 0.01 | −1.06 ± 4.75 | 0.01 ± 0.02 | 0.00 ± 0.01 | 16.69 ± 2.28 | 5.94 ± 0.48 |
| Overripe × Day 10 | 11.79 ± 2.57 | 0.08 ± 0.13 | 21.80 ± 5.99 | 0.01 ± 0.01 | −1.39 ± 3.14 | 0.01 ± 0.01 | 0.00 ± 0.00 | 12.11 ± 2.23 | 5.51 ± 0.82 |
| Overripe × Day 15 | 9.25 ± 1.22 | 0.42 ± 0.47 | 34.50 ± 4.84 | 0.02 ± 0.02 | 3.64 ± 3.66 | 0.05 ± 0.07 | 0.04 ± 0.08 | 17.98 ± 2.60 | 4.93 ± 0.57 |
| Significance | |||||||||
| H | n.s. | n.s. | * | * | * | n.s. | n.s. | * | *** |
| D | n.s. | n.s. | ** | n.s. | * | n.s. | n.s. | *** | *** |
| H × D | n.s. | n.s. | n.s. | n.s. | n.s. | n.s. | n.s. | n.s. | n.s. |
| D@H | ADH | FRA | COH | SPR | GUM | CHEW | Peak | FIRM | |
|---|---|---|---|---|---|---|---|---|---|
| Harvest date (H) | |||||||||
| Unripe | 9.31 ± 1.22 | 2.72 ± 1.65 a | 45.87 ± 12.11 | 0.04 ± 0.04 | 1.67 ± 1.08 a | 0.50 ± 0.87 | 0.33 ± 0.62 | 32.04 ± 8.31 a | 8.09 ± 0.72 a |
| Ripe | 9.63 ± 1.45 | 1.64 ± 1.20 b | 42.22 ± 7.11 | 0.03 ± 0.09 | 3.98 ± 3.73 ab | 0.27 ± 0.74 | 0.54 ± 2.16 | 24.44 ± 3.61 b | 7.77 ± 0.59 a |
| Overripe | 8.43 ± 3.16 | 1.74 ± 1.04 b | 46.38 ± 10.98 | 0.06 ± 0.11 | 4.45 ± 3.87 b | 1.09 ± 3.52 | 0.99 ± 3.53 | 27.34 ± 6.44 b | 7.15 ± 0.40 b |
| Shelf life testing day (D) | |||||||||
| Day 0 | 7.99 ± 2.55 | 2.65 ± 2.09 | 44.86 ± 5.03 | 0.09 ± 0.14 | 3.85 ± 3.73 | 1.54 ± 4.23 | 2.12 ± 4.69 | 31.37 ± 7.60 | 8.05 ± 0.90 a |
| Day 5 | 9.97 ± 0.03 | 2.07 ± 0.91 | 47.69 ± 11.72 | 0.01 ± 0.04 | 2.27 ± 2.35 | 0.30 ± 0.62 | 0.08 ± 0.15 | 28.91 ± 6.97 | 7.66 ± 0.53 ab |
| Day 10 | 9.08 ± 2.39 | 1.73 ± 1.36 | 42.71 ± 9.87 | 0.04 ± 0.05 | 4.00 ± 3.33 | 0.42 ± 0.85 | 0.24 ± 0.48 | 26.02 ± 6.88 | 7.63 ± 0.59 ab |
| Day 15 | 9.34 ± 2.34 | 1.74 ± 0.85 | 44.20 ± 13.02 | 0.03 ± 0.04 | 3.35 ± 3.82 | 0.31 ± 0.46 | 0.16 ± 0.34 | 25.92 ± 6.11 | 7.34 ± 0.58 b |
| H × D | |||||||||
| Unripe × Day 0 | 7.32 ± 0.70 | 4.50 ± 2.27 | 47.21 ± 6.19 | 0.07 ± 0.06 | 2.15 ± 0.85 | 0.29 ± 0.52 | 0.81 ± 0.93 | 37.98 ± 5.78 | 8.82 ± 0.63 |
| Unripe × Day 5 | 9.99 ± 0.01 | 2.06 ± 0.36 | 50.45 ± 4.39 | 0.03 ± 0.03 | 1.56 ± 0.67 | 0.80 ± 0.94 | 0.18 ± 0.24 | 33.77 ± 6.71 | 8.12 ± 0.43 |
| Unripe × Day 10 | 9.97 ± 0.04 | 2.82 ± 0.76 | 43.32 ± 14.57 | 0.03 ± 0.03 | 1.96 ± 1.67 | 0.81 ± 1.39 | 0.33 ± 0.70 | 31.94 ± 8.07 | 7.99 ± 0.70 |
| Unripe × Day 15 | 9.95 ± 0.03 | 1.50 ± 0.86 | 42.48 ± 19.37 | 0.01 ± 0.02 | 1.01 ± 0.79 | 0.11 ± 0.15 | 0.02 ± 0.03 | 24.48 ± 8.07 | 7.43 ± 0.40 |
| Ripe × Day 0 | 8.37 ± 3.16 | 0.80 ± 0.61 | 45.43 ± 5.48 | 0.11 ± 0.17 | 5.06 ± 5.25 | 0.99 ± 1.54 | 2.40 ± 4.70 | 28.04 ± 3.97 | 8.27 ± 0.53 |
| Ripe × Day 5 | 9.98 ± 0.03 | 1.80 ± 1.49 | 37.56 ± 7.04 | 0.00 ± 0.06 | 3.37 ± 3.34 | 0.05 ± 0.10 | 0.04 ± 0.06 | 22.83 ± 2.16 | 7.66 ± 0.41 |
| Ripe × Day 10 | 9.98 ± 0.04 | 1.66 ± 1.40 | 45.87 ± 6.41 | 0.02 ± 0.01 | 4.52 ± 3.56 | 0.06 ± 0.05 | 0.04 ± 0.04 | 24.08 ± 3.72 | 7.64 ± 0.56 |
| Ripe × Day 15 | 9.94 ± 0.04 | 2.12 ± 0.99 | 40.67 ± 7.55 | 0.02 ± 0.02 | 3.19 ± 3.91 | 0.11 ± 0.11 | 0.06 ± 0.11 | 23.54 ± 3.29 | 7.49 ± 0.65 |
| Overripe × Day 0 | 8.35 ± 3.52 | 2.28 ± 0.98 | 42.06 ± 2.05 | 0.11 ± 0.20 | 4.58 ± 4.26 | 3.23 ± 7.09 | 3.21 ± 7.09 | 27.42 ± 7.58 | 7.06 ± 0.33 |
| Overripe × Day 5 | 9.94 ± 0.04 | 2.36 ± 0.59 | 55.05 ± 14.35 | 0.01 ± 0.02 | 1.88 ± 2.33 | 0.05 ± 0.10 | 0.03 ± 0.06 | 30.13 ± 6.53 | 7.19 ± 0.29 |
| Overripe × Day 10 | 7.30 ± 3.74 | 0.72 ± 1.08 | 38.94 ± 7.55 | 0.07 ± 0.07 | 5.50 ± 3.87 | 0.38 ± 0.49 | 0.34 ± 0.50 | 22.04 ± 4.27 | 7.27 ± 0.23 |
| Overripe × Day 15 | 8.13 ± 4.05 | 1.6 ± 0.73 | 49.45 ± 10.35 | 0.07 ± 0.05 | 5.84 ± 4.52 | 0.70 ± 0.64 | 0.39 ± 0.54 | 29.76 ± 5.16 | 7.11 ± 0.68 |
| Significance | |||||||||
| H | n.s. | ** | n.s. | n.s. | * | n.s. | n.s. | *** | *** |
| D | n.s. | n.s. | n.s. | n.s. | n.s. | n.s. | n.s. | n.s. | ** |
| H × D | n.s. | ** | n.s. | n.s. | n.s. | n.s. | n.s. | * | * |
| Attribute | Mean ± SD; Mode | Graphic Coordinates | Category | |
|---|---|---|---|---|
| Q1-F | If apple size is acceptable, how do you feel? | 1.9 ± 1.1; 1.0 | 12.02 | A |
| Q1-D | If apple size is not acceptable, how do you feel? | 3.6 ± 0.9; 4.0 | 5.30 | |
| Q2-F | If apple is tasty, how do you feel? | 1.2 ± 0.7; 1.0 | 12.99 | O |
| Q2-D | If apple is not tasty, how do you feel? | 4.7 ± 0.8; 5.0 | 5.06 | |
| Q3-F | If apple is sweet, how do you feel? | 2.0 ± 1.4; 1.0 | 12.20 | A |
| Q3-D | If apple is not sweet, how do you feel? | 3.2 ± 1.4; 4.0 | 5.34 | |
| Q4-F | If apple is tart, how do you feel? | 2.2 ± 1.5; 1.0 | 11.38 | A |
| Q4-D | If apple is not tart, how do you feel? | 3.1 ± 1.4; 4.0 | 5.55 | |
| Q5-F | If apple is firm, how do you feel? | 2.4 ± 1.5; 1.0 | 11.14 | A |
| Q5-D | If apple is not firm, how do you feel? | 3.6 ± 1.4; 4.0 | 6.08 | |
| Q6-F | If apple is juicy, how do you feel? | 1.3 ± 0.7; 1.0 | 13.25 | O |
| Q6-D | If apple is not juicy, how do you feel? | 4.2 ± 1.0; 5.0 | 4.78 | |
| Q7-F | If apple is chrispy, how do you feel? | 1.8 ± 1.1; 1.0 | 12.80 | A |
| Q7-D | If apple is not chrispy, how do you feel? | 3.8 ± 1.0; 4.0 | 5.17 | |
| O1-F | When apple requires higher number of chews, how do you feel? | 3.7 ± 1.2; 4.0 | 7.69 | R |
| O1-D | When apple requires lower number of chews, how do you feel? | 2.1 ± 1.2; 1.0 | 7.46 | |
| O2-F | If during chewing, apple breakdown is easy, how do you feel? | 1.8 ± 1.1; 1.0 | 12.96 | A |
| O2-D | If during chewing, apple breakdown is not easy, how do you feel? | 3.7 ± 1.0; 4.0 | 5.28 | |
| O3-F | If bite size of tasty apple is too small, how do you feel? | 3.0 ± 1.1; 3.0 | 9.82 | I |
| O3-D | If bite size of tasty apple is too big, how do you feel? | 3.4 ± 1.1; 4.0 | 6.71 | |
| O4-F | When your chewing rate is fast, how do you feel? | 3.0 ± 1.4; 3.0 | 8.31 | I |
| O4-D | When your chewing rate is slow, how do you feel? | 2.8 ± 1.3; 3.0 | 7.07 | |
| O5-F | When eating rate is high, how do you feel? | 3.0 ± 1.4; 3.0 | 9.18 | I |
| O5-D | When eating rate is low, how do you feel? | 3.0 ± 1.2; 3.0 | 6.91 | |
| χ2 | p | Significance | |
|---|---|---|---|
| Harvest date | |||
| Unripe | 14.371 | 0.025756 | * |
| Ripe | 16.961 | 0.009428 | ** |
| Overripe | 9.197 | 0.162798 | n.s. |
| Shelf life | |||
| Day 0 | 10.649 | 0.030805 | * |
| Day 5 | 13.368 | 0.009611 | ** |
| Day 10 | 19.712 | 0.000569 | ** |
| Day 15 | 21.743 | 0.000225 | ** |
| χ2 | p | Significance | |
|---|---|---|---|
| Harvest date | |||
| Unripe | 8.43 | 0.208262 | n.s. |
| Ripe | 5.873 | 0.437566 | n.s. |
| Overripe | 9.384 | 0.153106 | n.s. |
| Shelf life | |||
| Day 0 | 4.469 | 0.346239 | n.s. |
| Day 5 | 5.917 | 0.205433 | n.s. |
| Day 10 | 2.962 | 0.564205 | n.s. |
| Day 15 | 3.157 | 0.531904 | n.s. |
Disclaimer/Publisher’s Note: The statements, opinions and data contained in all publications are solely those of the individual author(s) and contributor(s) and not of MDPI and/or the editor(s). MDPI and/or the editor(s) disclaim responsibility for any injury to people or property resulting from any ideas, methods, instructions or products referred to in the content. |
© 2024 by the authors. Licensee MDPI, Basel, Switzerland. This article is an open access article distributed under the terms and conditions of the Creative Commons Attribution (CC BY) license (https://creativecommons.org/licenses/by/4.0/).
Share and Cite
Sredojevic, A.; Radivojevic, D.; Levic, S.M.; Aksic, M.F.; Milivojevic, J.; Djekic, I. Effects of the Fruit Harvest Date and Shelf-Life Nexus of Apples on Different Quality Perspectives. Appl. Sci. 2024, 14, 11737. https://doi.org/10.3390/app142411737
Sredojevic A, Radivojevic D, Levic SM, Aksic MF, Milivojevic J, Djekic I. Effects of the Fruit Harvest Date and Shelf-Life Nexus of Apples on Different Quality Perspectives. Applied Sciences. 2024; 14(24):11737. https://doi.org/10.3390/app142411737
Chicago/Turabian StyleSredojevic, Ana, Dragan Radivojevic, Steva M. Levic, Milica Fotiric Aksic, Jasminka Milivojevic, and Ilija Djekic. 2024. "Effects of the Fruit Harvest Date and Shelf-Life Nexus of Apples on Different Quality Perspectives" Applied Sciences 14, no. 24: 11737. https://doi.org/10.3390/app142411737
APA StyleSredojevic, A., Radivojevic, D., Levic, S. M., Aksic, M. F., Milivojevic, J., & Djekic, I. (2024). Effects of the Fruit Harvest Date and Shelf-Life Nexus of Apples on Different Quality Perspectives. Applied Sciences, 14(24), 11737. https://doi.org/10.3390/app142411737

