You are currently viewing a new version of our website. To view the old version click .
Applied Sciences
  • Article
  • Open Access

12 December 2024

Long-Term Dynamics of Water Droplet Impact on Rotating Hydrophilic Disk

,
,
and
Sino-European Institute of Aviation Engineering, Civil Aviation University of China, Tianjin 300300, China
*
Author to whom correspondence should be addressed.
This article belongs to the Section Fluid Science and Technology

Abstract

Ice accretion from the impingement of supercooled water droplets on the rotating components of aero-engines reduces engine efficiency and poses significant in-flight safety risks. In the present study, we experimentally investigate the impact of water droplets on the center of a rotating disk to gain insights into the icing mechanisms on these components. The effects of impact velocity and disk rotation speed on dynamic behaviors are systematically explored by visualizing the phenomena and quantitatively analyzing the evolution of droplet diameters during long time durations. Three distinct regimes of impact dynamics are identified based on the final states: stable rotation, stable ring, and ring ejection. The experimental results reveal that the spreading phase is primarily governed by inertial effects, with minimal influence from disk rotation, while the latter significantly affects the retraction phase. The maximum spreading factor increases with the impact velocity and shows little dependence on rotation, and the spreading time remains nearly unchanged. Scaling laws for the maximum and equilibrium spreading factors as functions of the Weber number and rotational Bond number are established. While the maximum spreading factor increases with impact velocity on static disks, the retraction time decreases as both the impact velocity and rotation speed increase.

1. Introduction

Liquid droplet impact on solid walls is prevalent in both natural phenomena and industrial processes. Examples include raindrops striking soil [1], droplets hitting leaves [2], and the interaction of water with the superhydrophobic feathers of birds [3]. This phenomenon also finds numerous industrial applications, such as in inkjet printing [4,5], spray cooling [6], spraying coating [7], and fuel atomization in internal combustion engines [8,9,10]. When supercooled water droplets from clouds hit the surfaces of flying aircraft, ice forms on both fixed and rotating aerodynamic surfaces. This aircraft icing poses significant risks to flight performance and safety [11,12].
Aerodynamic surfaces on aircraft include fixed components such as wings and engine inlet nacelles. Most studies on aircraft icing have focused on stationary surfaces [13,14,15]. However, the spinners, fan blades, and compressor rotor blades of aero-engines rotate during operation, and ice formation on these rotating surfaces has been less thoroughly investigated, though it has recently gained more attention [16,17,18,19]. Zheng et al. [19] conducted wind-tunnel experiments to examine the anti-icing performance of hydrophobic coatings. Their findings revealed that hydrophobic coatings did not significantly delay icing and had no effect on ice growth. Therefore, understanding droplet impact dynamics on rotating surfaces is essential for comprehending icing mechanisms and developing effective anti-icing techniques for various rotating components.
Droplet impact on static surfaces is a complex multiphase flow, influenced by multiple factors related to surface conditions, droplet properties, as well as impact angle and velocity. This topic has been extensively studied in the literature, providing a solid foundation for understanding droplet behavior on solid surfaces [20,21]. After hitting the solid surface, droplets can exhibit different outcomes such as deposition, splash, or rebounding, depending on the impact conditions [22]. Key factors influencing droplet dynamics include droplet properties (e.g., size, surface tension, viscosity [23]), impact velocity, and surface properties (e.g., wettability [24,25], roughness [26,27], temperature [28,29], curvature [30,31]). In comparison to the wealth of studies on static surfaces, research on droplet impact on rotating surfaces is relatively sparse. Among these studies, the focus has often been on the behavior of droplets impacting superhydrophobic surfaces, particularly regarding the reduction of contact time due to rotational effects. Tao et al. [32] investigated the dynamics of droplets striking the center of high-speed rotating superhydrophobic walls and found that the spreading dynamics were primarily governed by inertia. During the retraction phase, the outward centrifugal force became significant, causing a doughnut-shaped droplet to form, which notably reduced contact time compared to that on stationary superhydrophobic surfaces. Zhang et al. [33] observed that rotation reduced both the contact time and the collision force of droplets impacting the center and eccentric regions of rotating disks. Zhan et al. [34] derived scaling laws for the maximum spreading diameter as functions of the Weber and capillary numbers, as well as for dimensionless contact time as a function of the capillary number for bouncing droplets after eccentric impacts on rotating superhydrophobic surfaces. Moghtadernejad et al. [35] focused on the splashing regime during eccentric droplet impact on a spinning superhydrophobic disk, identifying thresholds between bouncing and splashing regimes.
Droplets impacting rotating hydrophilic surfaces have also garnered attention due to their frequent occurrence in real-world applications. Povarov et al. [36] is one of the primary studies on this problem where the authors examined the effect of surface rotating speed on droplet impact behavior, identifying three distinct outcomes, including complete drop adherence to the surface, partial reflection, and total reflection. Li et al. [37] analyzed the influence of impact eccentricity on droplet spreading on copper surfaces. Pan et al. [38] explored the dynamics of ethanol droplets striking the center of rotating glass or silicon substrates through both numerical simulations and experiments. Due to the superhydrophilic nature of these surfaces, ethanol droplets displayed only spreading, with the initial spreading phase dominated by inertia and the later phase governed by centrifugal forces. Moghtadernejad et al. [39] experimentally studied the behavior of water droplets impacting a spinning aluminum disk, investigating the effects of impact velocity, rotating speed, and impact location on wetted area, finger formation, and secondary droplet generation. Yang et al. [40] focused on the influence of liquid viscosity on radial and tangential spreading dynamics during eccentric droplet impacts on rotating stainless steel disks, defining four regimes to describe the dominant forces during spreading. Zhou et al. [41] systematically examined the effects of impact velocity, rotating speed, and radial impact position on impact phenomena such as asymmetric spreading, finger formation, and secondary droplet creation. In a subsequent study, Zhou et al. [42] further explored the influence of rotating speed, surface tension, and liquid viscosity on splashing phenomena, both with and without liquid filament formation. Concurrently, Moghtadernejad et al. [43] investigated how liquid properties influence the dynamics of a droplet that impacts a rotating aluminum disk with 3 cm off-axis. To summarize, after eccentric impact on rotating hydrophilic surfaces, the droplet undergoes asymmetric spreading dynamics, with both radial and tangential components. The inner and outer edges experience centrifugal acceleration, triggering wave propagation from the inner to the outer edge. This results in fingering and secondary droplet generation—phenomena characteristic of eccentric impact dynamics.
However, for droplets impacting the center of a rotating hydrophilic surface, symmetric spreading dynamics occur, a phenomenon that remains less investigated. Recently, Liu et al. [44] conducted a detailed experimental study on the spreading and retraction dynamics of water droplets impacting the center of both rotating hydrophilic and hydrophobic surfaces. They also proposed a simplified model to predict tangential velocity induced by the surface shear force and established a quantitative description for the maximum spreading factor in the spreading regime, as well as deriving the critical conditions for the transition from spreading and retraction to spreading and breakup. However, the long-term evolution of droplets has not been fully explored, and explicit scaling laws for spreading parameters are still lacking. In this study, we aim to investigate the long-term dynamics of water droplets impacting the center of a commonly used hydrophilic rotating stainless steel disk under varying impact velocities and rotating speeds. The evolution of droplet diameter over time will be quantitatively measured, and the effects of impact velocity and rotating speed on the spreading and retraction dynamics will be analyzed. Additionally, we will discuss the equilibrium stages in detail, search for empirical scaling laws for maximum and equilibrium spreading diameters, and present a special phenomenon involving ring-like droplet formation.

2. Experimental Description

The experiments of droplets impacting a rotating disk are conducted and measured through the devices sketched in Figure 1. The experimental system is composed of a droplet generation apparatus, an electric displacement tool, a rotating disk controlled by an AC servo motor (INOVANCE MS1H2-10C30CB, Shenzhen, China), an LED light source (BEDIRO BD400-SS, Shaoxing, China) with a light diffuser and a high-speed camera (IDT NX3-S3, Newark, NJ, USA) connected to a computer. The servo motor controls the disk to rotate stably in the counterclockwise direction with a rotating speed varying between 0 and 5000 rpm (revolutions per min). The rotating speed bias is within 0.8 rpm. The displacement device consists of three directional components, allowing for precise adjustments in the x, y, and z directions. This enables the setting of both the falling height and the impact point. The disk surface is cleaned with ethanol firstly and then distilled water before each experiment to ensure the clarity of photos and measurement accuracy. The camera equipped with a 100 mm focal length lens is used to record experimental phenomena. The acquisition frame rate is set to 4000 fps with a resolution of 512 × 512 pixels2, providing sufficient temporal and spatial resolution. The camera is positioned above the rotating disk, at a small angle from the vertical direction. During post-processing, the original image is corrected to obtain a top-down view.
Figure 1. Experimental set-up.
The impact process of droplets is primarily governed by the interplay between surface tension, viscous, and inertial forces. To generalize the dynamic evolution of droplets, two dimensionless numbers are introduced: the Weber number ( W e ) and the rotational Bond number ( B o ). The Weber number characterizes the ratio of inertial force to surface tension, while the rotational Bond number represents the ratio of centrifugal force to surface tension. These parameters provide insight into how different forces influence droplet behavior during impact.
W e = ρ V im D 0 σ ,
B o = ρ ω 2 V σ = 1 6 π ρ ω 2 D 0 2 σ ,
where ρ , D 0 , V , V im represent the droplet’s density, initial diameter, volume, and impact velocity, respectively. σ denotes the air-liquid surface tension. ω is the rotating angular velocity of the disk expressed in rad/s. N is the corresponding rotating speed in rpm (revolutions per minute), thus N = 30 π ω . The droplet’s spreading and retraction process is characterized by the spreading factor, defined as the ratio of the instantaneous diameter D to the initial one D 0 . The spreading diameter D was determined using an image-processing technique based on the gray-level difference method described in Yang et al. [40]. In the present experimental setup, the measurement error for the diameter is typically 2 pixels, corresponding to an uncertainty of 0.1 mm.
β = D D 0 .
The working fluid used in the experiments is deionized water, with its physical properties listed in Table 1. The values were obtained directly or through linear interpolation from the data provided in [45]. Droplets generated by the present generation system have an initial diameter of 2.5 ± 0.1 mm. All experiments were conducted in a controlled environment at a room temperature of 25 °C.
Table 1. Physical properties of water droplets [45].
A stainless disk with a diameter of 137 mm and a surface roughness R a =   0.6   μ m (measured by Jitai Keyi TR200 Roughness Meter, Beijing, China) is used throughout the study. The static contact angle of a deionized water droplet on the disk surface was measured to be 80 ± 2°, determined using side-view images processed with the public domain software ImageJ2 and its contact-angle plug-in [46]. During the experiments, droplets were released from heights ranging from 3.0 cm to 30.0 cm and impacted the center of the disk in stable rotation. The corresponding freefall speeds can be used to approximate the impact velocities within this range of heights [26]. The resulting impact velocities span from 0.77 to 2.43 m/s, with Weber numbers varying between 20 and 200. The disk’s rotating speeds in the experiments were set at 0, 500, 1000, 1500, 2000, 2500, and 3000 rpm, chosen with reference to the fan speeds of commercial turbofan engines [47]. These correspond to rotational bond numbers of 0, 0.3, 1.2, 2.6, 4.7, 7.3, and 10.5, respectively. The disk rotates counter-clockwise during experiments.

3. Results and Discussions

3.1. Phenomenal Description

3.1.1. On Stationary Disks

First, the disk was set at rest. Figure 2 presents the evolution of droplet profiles after impacting the center of the stationary disk at seven different Weber numbers. The moment of contact between the droplet and the disk is defined as t = 0 ms, at which the inverted droplet, reflected by the disk, can also be observed.
Figure 2. Selected snapshots of droplets impacting stationary disk at various Weber numbers.
Take the case at W e = 33 as an example. Upon impact, the lower part of the droplet that makes contact with the disk spreads into a thin layer, while the upper portion retains its original spherical shape. As the droplet center continues to descend, the bottom layer spreads outward, forming a lamella surrounded by an axisymmetric rim, visible at t = 1.5 ms. This shape is maintained until the droplet reaches its maximum spreading diameter, D max , at t = 3 ms. The spreading factor reaches its maximum value β max = D max / D 0 , referred to as the maximum spreading factor. Following this, the droplet begins to retract due to surface tension, with liquid from the rim moving inward, as shown at t = 6 ms. During retraction, the size of the central lamella decreases while the rim’s thickness increases. By t = 10 ms, the lamella has disappeared, and the rim has merged. The droplet then continues recoiling upwards, eventually reaching a final state where its diameter undergoes small-amplitude oscillations, as later discussed in Section 3.2.1. As W e increases, the spreading process slightly accelerates, and the maximum spreading factor rises. Furthermore, the rim’s width at maximum spreading becomes thinner with increasing We. The oscillation with small amplitude at the final state diminishes for W e 33 . At even higher Weber numbers (e.g., W e 100 in Figure 2), small fingering instabilities appear along the rim. However, within the Weber number range considered in this study, these disturbances do not eventually result in the formation of secondary droplets.

3.1.2. On Rotating Disks

To investigate the impact dynamics of droplets at different initial velocities on rotating disks with varying speeds, cross-experiments were conducted by changing both the impact velocity and the disk’s rotating speed. Figure 3 shows the behavior of a water droplet impacting a rotating disk at W e = 20 and B o = 0.3 . Under these conditions, the droplet’s behavior closely mirrors that observed on a stationary disk. After completing the spreading and retraction phases, the droplet continues to oscillate with small amplitude at the center of the disk. This oscillation remains stable, with no indication of stopping even after 50 ms under the given experimental conditions. A similar oscillation was also observed in the droplet’s final state at W e = 33 and B o = 0.3 .
Figure 3. Snapshots of a water droplet impacting a rotating disk at W e = 20 and B o = 0.3 .
The droplet’s behavior at W e = 166 and B o = 0.3 is shown in Figure 4. Compared to the case at W e = 20 , the maximum spreading diameter increases significantly due to the higher Weber number. At the maximum spreading, a distinct fingering disturbance appears along the rim edge, as seen in the subfigure at t = 3 ms. This disturbance begins to fade after 4 ms during the retraction phase, which progresses more rapidly at high Weber numbers than at lower ones. Eventually, the droplet stabilizes at the center of the rotating disk without oscillation and continues to rotate as a single object.
Figure 4. Droplet snapshots at W e = 166 and B o = 0.3 .
Unlike the phenomenon shown in Figure 3, the central lamella of the droplet at W e = 166 and B o = 0.3 , as shown in Figure 4, breaks from its thinnest region during the final retraction stage around t = 12 ms. Following this breakup, the rim’s inner edge recoils outward while the outer edge recoils inwards, causing the droplet to assume a crater shape. As the central area dries, the droplet transitions into a ring-like shape, stabilizing at t = 30 ms. This ring-like droplet remains attached to the hydrophilic surface. Similar ring-like droplets were previously observed during the retraction phase on rotating superhydrophobic disks, but in those cases, the droplets eventually bounced off the disk [32].
By increasing B o to 10.5 while maintaining W e at 166, we observed the impact phenomenon depicted in Figure 5. Compared to the case at B o = 0.3 , the impact outcome shows no significant difference, and the maximum spreading diameter remains relatively constant. Clear fingering disturbances quickly appear along the rim edge after impact, but at the higher B o , these ripples display a rotational tendency, as illustrated in the sub-images at t = 2 ms and 3 ms. The ripples spiral outward from the droplet rim, driven by the combined effects of inertia and centrifugal force. Their direction is clockwise, consistent with the disk’s counterclockwise rotation. Several red arrows have been added to these two sub-images to enhance visualization. Another notable difference is that droplet retraction is greatly reduced at this high bond number, as the centrifugal force outweighs surface tension during the retraction phase. After 6 ms, as illustrated in Figure 5, there is almost no retraction of the droplet. The central lamella becomes very thin and dries up by 22.5 ms, while the rim exhibits protrusions and fingering disturbances, eventually leading to the droplet being ejected in a finger-like manner.
Figure 5. Droplet snapshots at W e = 166 and B o = 10.5 .
The three distinct types of impact outcomes, based on their final states across the considered W e and B o ranges, are summarized in Figure 6. Droplets that stabilize after the spreading and retraction phases and rotate at the same speed as the disk are represented by filled circular markers, defining the stable rotation regime. Hollow circular markers correspond to cases where ring-like-shaped, stable droplets form, characterizing the stable ring regime. Square markers indicate droplets that also take on a hollow appearance but fail to maintain steady rotation with the disk; their rims develop azimuthal disturbances, eventually leading to ejection as curved fingers, thus falling into the Ring Ejection Regime. As Figure 6 shows, high values of W e and B o increase the likelihood of droplets adopting a ring-like shape. However, as W e and B o increase further, these ring-like droplets lose stability and are ejected outward by centrifugal forces. In the first two regimes, the droplets retain a stable final state at the disk center, with or without slight oscillations. Therefore, an equilibrium state exists for the droplets located in these two regions.
Figure 6. Distribution of droplets’ final states.

3.2. Spreading Dynamics on Rotating Disks

3.2.1. Spreading Factor

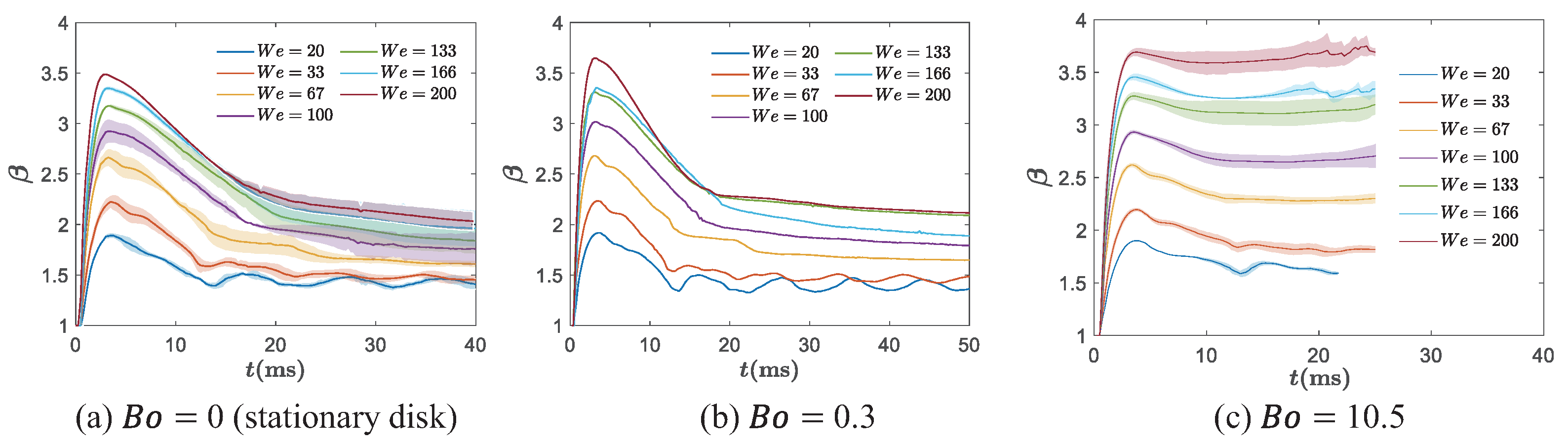
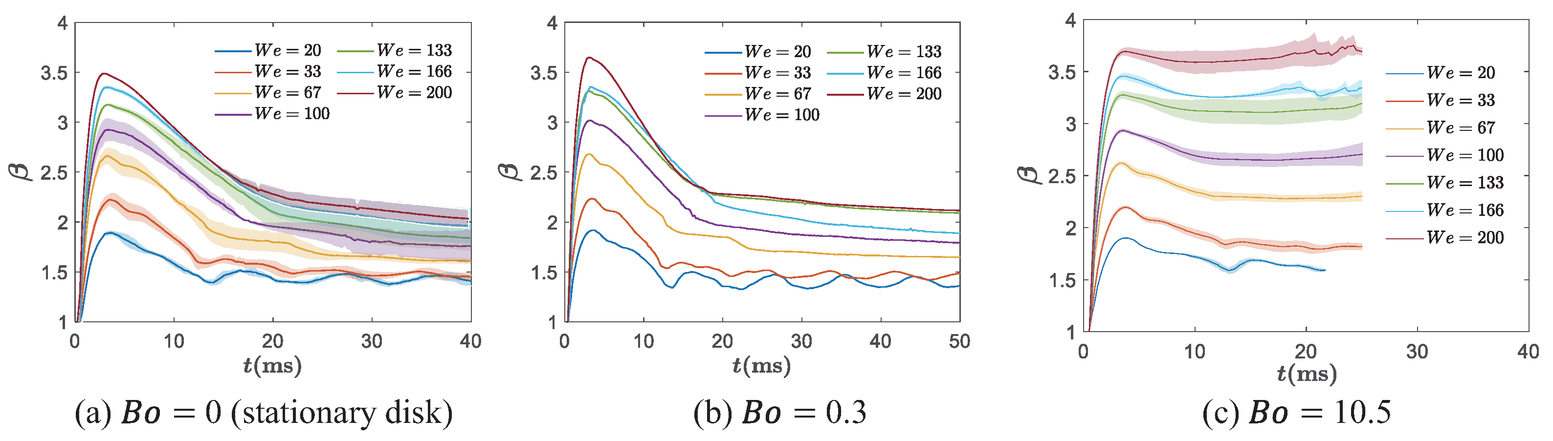
Figure 7 shows the evolution of the spreading factor for droplets impacting the disk at different Weber numbers when the disk is stationary or rotating. Each experiment was repeated three times, and error bands were plotted alongside the ensemble-averaged spreading factor curve. The narrow error bands, compared to the difference between adjacent curves caused by changes in W e , suggest that the variations in the curves are not due to measurement errors but to actual differences in W e . Figure 7a depicts the spreading factor evolution for droplets impacting a stationary disk at varying Weber numbers. As W e increases, the initial rising of the spreading factor β becomes steeper, indicating faster spreading. The maximum spreading factor increases with We, reflecting the greater conversion of inertia into surface energy. When W e increases from 20 to 200, the maximum spreading factor rises from 1.90 to 3.50, and the time for the droplet to reach this maximum decreases slightly from 3.75 ms to 3.25 ms. Notably, at low W e values (e.g., W e = 20 and 33), the droplet diameter undergoes minor oscillation in its equilibrium state at the disk center, whereas for higher W e , e.g., W e > 67 , these oscillations disappear.
Figure 7. The evolution of the spreading factor β for droplet impact on the disk at different Weber numbers.
At low rotating speeds (e.g., B o = 0.3 ), as shown in Figure 7b, the evolution of the spreading factors closely resembles that on a stationary disk. Increasing W e results in a higher maximum spreading factor and faster spreading velocity due to enhanced inertial effects. Specifically, as W e rises from 20 to 200, the maximum spreading factor increases from 1.92 to 3.60, while the time to reach the maximum spreading factor decreases from 3.6 ms to 3.2 ms. At B o = 0.3 , the centrifugal force has minimal impact, allowing the droplet to complete its spreading and retraction phases, eventually stabilizing as either a single droplet or a ring-like droplet. At W e = 20 and 33, the droplet exhibits slight oscillations, which disappear at higher W e . At B o = 10.5 , the spreading characteristics are similar to those at B o = 0 and 0.3, reaffirming that the spreading phase is dominated by inertia. However, at B o = 10.5 , the retraction phase is significantly reduced, especially at high We, as the increasing centrifugal force after maximum spreading prevents effective droplet retraction.
Figure 8 presents the temporal evolution of the spreading factor for droplets within 20 W e 200 , across different values of B o ranging from 0.3 to 10.5. The results indicate that the maximum spreading factor on rotating disks is slightly higher than that on stationary disks for the same We. However, disk rotation speed has a minimal impact on the maximum spreading factor or the spreading process when the Weber number is held constant. The variation in spreading time is also minor, with a difference of only 0.2 ms across different bond numbers at W e = 20 , and 0.4 ms for W e = 200 . At low Weber numbers, such as W e = 20 and 33, the droplet oscillates at the disk center after completing the retraction stage. The oscillation period and amplitude are stable for a given W e but decrease as the impact velocity increases. For instance, at W e = 20 , the oscillation period is 10 ms with an amplitude of approximately 0.15, while at W e = 33 , the period shortens to 8 ms, and the amplitude reduces to about 0.05. Figure 8a,b show more subdued oscillations at W e = 33 . Notably, the oscillation disappears entirely at W e = 67 . As W e increases from 20 to 200 across various B o values, the maximum spreading factor rises from 1.92 to 3.76.
Figure 8. Evolution of the spreading factor β under various working conditions.
While the disk’s rotation has little influence on the spreading phase, it significantly affects the retraction phase during which the azimuthal velocity component is important. Therefore, the centrifugal force counteracts the surface tension, reducing the retraction speed as B o increases at a fixed We. Furthermore, the duration of the retraction phase shortens considerably. For example, in the case of W e = 200 and B o = 10.5 , the droplet transitions almost directly to its equilibrium state after reaching maximum spreading. Consequently, the droplet’s equilibrium spreading factor increases with B o and approaches the maximum spreading factor when W e is constant.

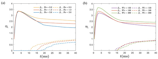
3.2.2. Spreading Factor of Ring-Like Droplets

We provide a detailed analysis of the evolution of both the inner and exterior diameters of the ring-like droplets observed during the retraction phase in the previously reported stable ring regime. Specifically, we examine cases at B o = 0.3 , 1.2 , 2.6 , with a constant Weber number ( W e = 166 ), and compare cases at three different Weber numbers ( W e = 133 , 166 , 200 ), with the same bond number ( B o = 1.2 ). The evolution curves of the inner and exterior spreading factors, denoted as β i = D i / D 0 , β e = D e / D 0 , respectively, as a function of time, are shown in Figure 9. Once the central lamella breaks, the inner diameter continues to increase, while the exterior diameter decreases over time, eventually leading to a constant width for the ring-like droplet. Figure 9a shows that the central lamella breaks earlier at lower bond numbers for the same Weber number. However, the influence of the Weber number on the inner recoiling process is minimal when the bond number is kept constant, as shown in Figure 9b.
Figure 9. Evolution of inner and exterior diameters of the ring-like droplets during the retraction phase. (a) B o = 0.3 ,   1.2 and 2.6 and the same W e = 166 ; (b) W e = 133 ,   166 ,   200 and the same B o = 1.2 .

3.2.3. Maximum and Equilibrium Spreading Factor

The maximum and equilibrium spreading diameters are important parameters related to the area of the ice region. It is thus necessary to summarize the dependence of the maximum and equilibrium spreading factors on the Weber number and bond number from the experimental results. Figure 10a shows the maximum spreading factor β max as a function of W e for different bond numbers. It thus can be inferred that β max is primarily dependent on W e while it is marginally dependent on B o . Moreover, the measured β max on the stationary surface is validated against published experimental data from Tang et al. [26] and several theoretical models in the literature (see Table 2). The two experimental points of Tang et al. [26] correspond to the cases of a water droplet impacting a stationary wall with R a =   0.4   μ m at W e = 20 and 200. The comparison, as shown in Figure 10a, demonstrates that the results of the present study are in good agreement with the Clanet model [48] and Tang model [26]. In particular, the consistency between the present results and the Tang model is better because the latter includes the influence of surface roughness. The surface roughness R a =   0.6   μ m , used in the present study, is slightly larger than that ( 0.4   μ m ) used in Tang et al. [26], which is believed to be the reason for the slight discrepancy between our results and the Tang model at high Weber numbers. The Roisman model predicts the experimental data well at low Weber numbers; however, the deviation becomes more pronounced at higher We numbers. Figure 10b shows β max as a function of B o for different Weber numbers. It is clearly shown that, for a fixed Weber number, the influence of B o is negligible except that a minor increase of β max is observed when B o increases from 0 to 0.3. This is because the action of centrifugal force promotes slightly droplet spreading, but once the disk is set into rotation, the rotating speed does not change further β max .
Figure 10. The relationship of β max with W e and B o . (a) β max as a function of W e for different B o . (b) β max as a function of B o for different W e [26].
Table 2. Previous empirical models regarding the maximum spreading diameter.
The ratio of the diameter at the beginning of the equilibrium regime over the initial diameter is defined as the equilibrium spreading factor β eq . The cases at W e = 20 and W e = 33 are dismissed since the droplets’ oscillation at the equilibrium state makes it difficult to identify exactly the end of the retraction phase. For the stable and unstable cases without ultimate oscillation over the range W e [ 67 , 200 ] , the droplet spreading factor was measured every 1 ms, and the droplet spreading was considered to enter the equilibrium state when the change rate of β was less than 0.01 ms 1 . This value of spreading factor is considered as β eq and the corresponding moment as the end of the retraction phase or the start of the equilibrium state.
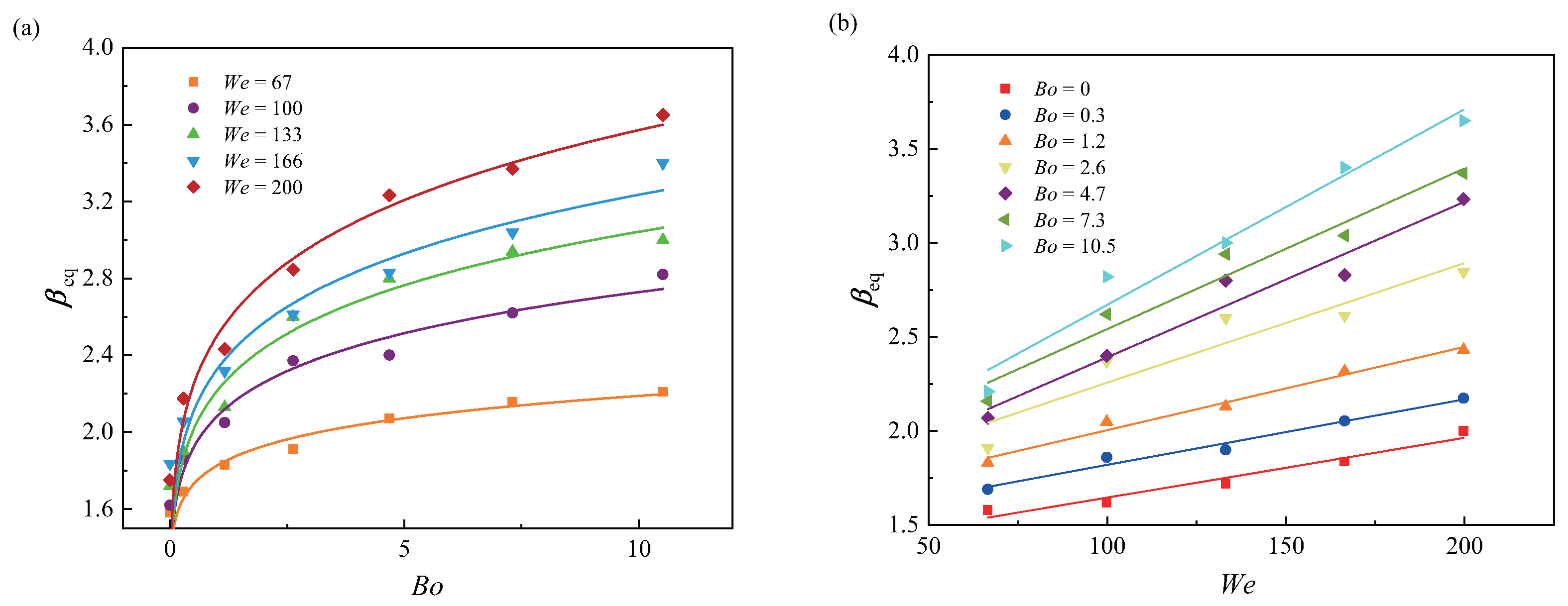
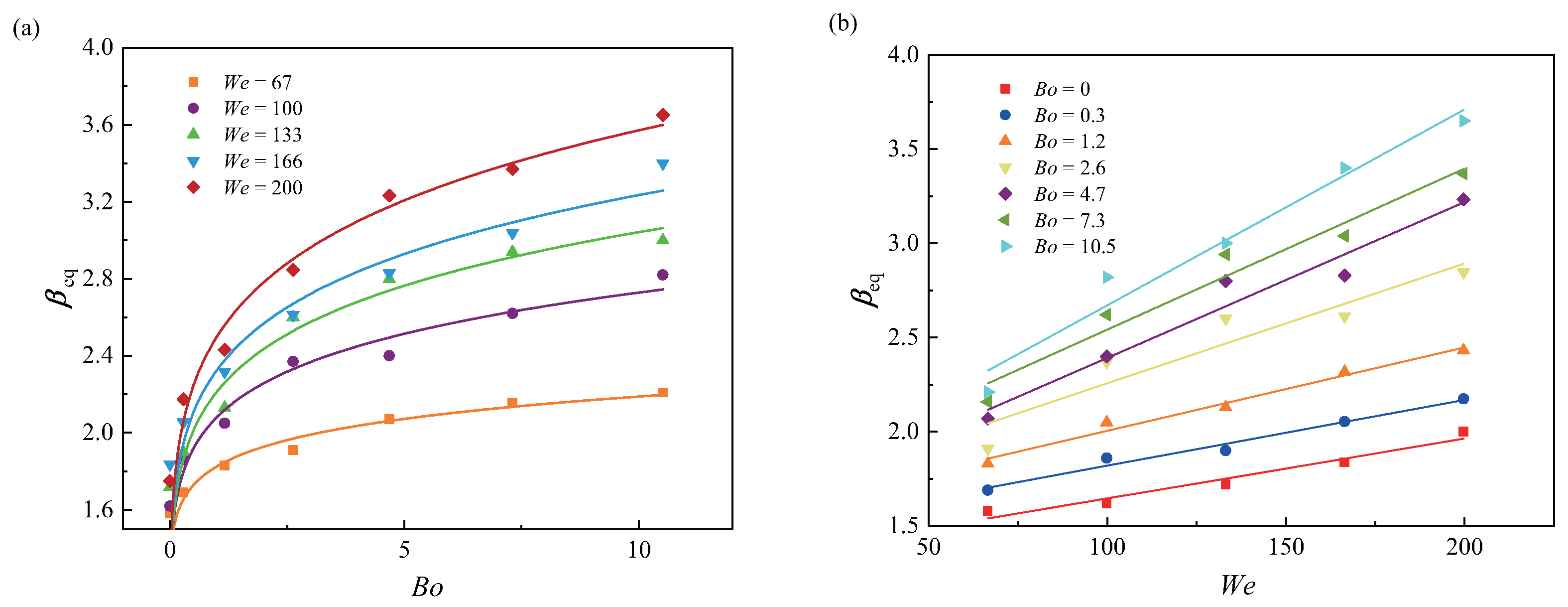
Figure 11 shows the relationship of β eq with B o and W e . As B o increases, β eq increases with respect to B o , as shown in Figure 11a. This is because the droplet keeps its equilibrium state under the balance of centrifugal force, adhesion force, and surface tension. Droplets at higher rotating speeds undergo higher centrifugal force, which needs to be balanced by higher surface tension and adhesion force, thus a larger spreading area. The experimental data at different Weber numbers are fitted to an empirical pow-law relation β eq = a B o b and the fitting curves for each W e are also plotted in Figure 11a. The fitting parameters ( a , b ) are listed in Table 3. Both a and b increase monotonically with W e . When plotting β eq as a function of W e for different B o , as shown in Figure 11b, we observe that β eq increases almost linearly with W e . By fitting the data to an empirical linear relationship, β eq = c W e + d , we obtain the fitting parameters for each B o , as listed in Table 4. The fitting lines are also displayed in Figure 11b.
Figure 11. The relationship of the equilibrium spreading factor β eq with W e and B o . (a) β eq as a function of B o for different W e . (b) β eq as a function of W e for different B o .
Table 3. Fitting parameters ( a , b ) .
Table 4. Fitting parameters ( c , d ) .

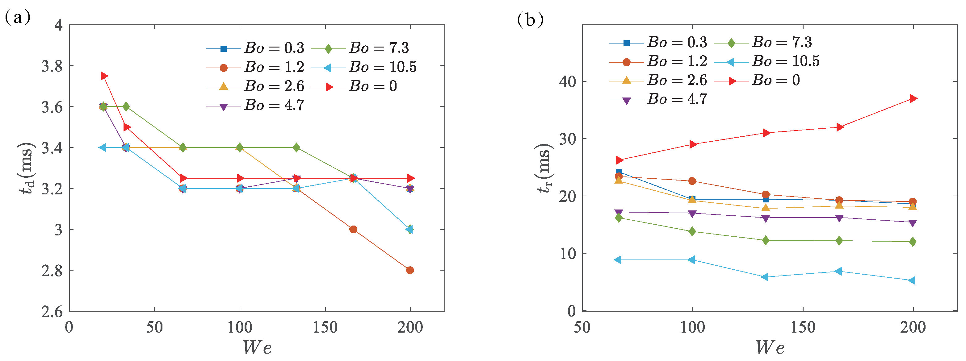
3.2.4. Spreading Time and Retraction Time

We decompose the droplet dynamics before reaching the equilibrium state into the spreading phase and the retraction phase. This enables us to investigate the effect of disk rotation on the two phases separately. The spreading time t d is defined as the duration required for the droplet to reach the maximum spreading factor from the impact instant t = 0 ms. The retraction time t r is defined as the duration from the moment of the maximum spreading to the end of the retraction phase. The spreading and retraction time as a function of W e for different B o is shown in Figure 12. It is observed that the variation of t d is less than 1 ms with respect to W e for the same B o , while the variation of t d versus B o for the same W e is less than 0.4 ms. Therefore, the spreading time hardly depends on W e and B o . The independence of t d on W e for W e 20 was also observed in previous studies on stationary disks [50]. The reason why the disk rotation has little effect on the spreading time is because the spreading is dominated by the inertial effect, in agreement with previous observations for droplets on superhydrophobic rotating surfaces [32,34].
Figure 12. Variation of spreading time (a) t d and (b) retraction time t r with respect to W e and B o .
When the droplet impinges the stationary wall, t r increases with respect to the Weber number, from 13.75 ms at W e = 20 to 37 ms at W e = 200 . However, the retraction time decreases with increasing W e in the range of [67, 200] for a given B o > 0 . This is like the decrease in the retraction time with respect to W e observed for droplets impacting rotating superhydrophobic surfaces as reported in Tao et al. [32] and Zhan et al. [34]. As shown in Figure 12b, t r decreases with increasing B o for a fixed Weber number. At W e = 67 , t r decreases from 26.25 ms to 8.85 ms by increasing B o from 0 to 10.5. At W e = 200 , t r decreases more significantly, from 37 ms at B o = 0 to 5.25 ms at B o = 10.5 . On one hand, the maximum spreading area of the droplets is larger at high Weber numbers, representing larger surface energy, which consequently induces a higher retraction velocity. On the other hand, the equilibrium spreading factor β eq increases with B o at a given W e , thus the drop of the spreading factor from β max (only dominated by W e ) to β eq decreases with B o at a given W e .

4. Conclusions

In this work, we explore the phenomenon of water droplet dynamics on a rotating disk by varying the impact velocity and the rotating speed. The spreading factor is quantitatively measured, and the influence of the Weber number and rotational bond number on the impact characteristics is analyzed. Droplet spreading is dominated by the inertial effect even on a rotating surface. The centrifugal force due to the rotation effect mainly compresses the retraction phase. Three regimes based on the droplets long-term dynamics are identified in the W e B o map. In the first regime covering low values of W e and B o , the droplets stabilize in the center of the rotating disk as a single droplet. In the second regime with higher values of W e and B o , distinguished ring-like shaped droplets were observed to occur in the retraction phase and eventually stabilize in the disk’s center. However, a further increase in W e or B o will disturb the ring-like droplets’ rime and eject the rim outward in the form of fingers. The maximum spreading factor increases as a function of the Weber number but seldom depends on the disk rotation. The variation of the spreading time with respect to the Weber and bond numbers can be neglected, while the retraction time decreases as the Weber number and the rotating bond number increase. The equilibrium spreading factor, which has rarely been reported in the literature, is also obtained by checking the long-term dynamics of droplets, which follows power-law scaling laws with respect to the bond number and linear scaling laws with respect to the Weber number. This study of droplet impact dynamics on a rotating hydrophilic surface is believed to be important for understanding further the mechanism of icing on rotating bodies.

Author Contributions

Conceptualization, W.Y.; methodology, W.Y., Y.Z. and C.L.; software, Y.Z. and C.L.; validation, W.Y. and T.D.; formal analysis, W.Y.; investigation, Y.Z.; resources, W.Y. and T.D.; data curation, Y.Z.; writing—original draft preparation, W.Y. and Y.Z.; writing—review and editing, W.Y. and Y.Z.; visualization, Y.Z.; supervision, W.Y.; project administration, W.Y.; funding acquisition, W.Y. All authors have read and agreed to the published version of the manuscript.

Funding

This research was funded by the National Natural Science Foundation of China (Grant No. 12102457), the Fundamental Research Funds for Central Universities (Grant No. 3122022PT20) and Scientific Research Start-up Project of Civil Aviation University of China (Grant No. 2020KYQD117).

Institutional Review Board Statement

Not applicable.

Data Availability Statement

The data presented in this study are available on reasonable request from the corresponding author.

Conflicts of Interest

The authors declare no conflicts of interest.

References

  1. Joung, Y.S.; Buie, C.R. Aerosol generation by raindrop impact on soil. Nat. Commun. 2015, 6, 6083. [Google Scholar] [CrossRef] [PubMed]
  2. Kim, S.; Park, H.; Gruszewski, H.A.; Schmale, D.G., III; Jung, S. Vortex-induced dispersal of a plant pathogen by raindrop impact. Proc. Natl. Acad. Sci. USA 2019, 116, 4917–4922. [Google Scholar] [CrossRef] [PubMed]
  3. Shiri, S.; Bird, J.C. Heat exchange between a bouncing drop and a superhydrophobic substrate. Proc. Natl. Acad. Sci. USA 2017, 114, 6930–6935. [Google Scholar] [CrossRef] [PubMed]
  4. Zable, J. Splatter during ink jet printing. IBM J. Res. Dev. 1977, 21, 315–320. [Google Scholar] [CrossRef]
  5. Boland, T.; Tao, X.; Damon, B.J.; Manley, B.; Kesari, P.; Jalota, S.; Bhaduri, S. Drop-on-demand printing of cells and materials for designer tissue constructs. Mater. Sci. Eng. Proc. Conf. 2007, 27, 372–376. [Google Scholar] [CrossRef]
  6. Kim, J. Spray cooling heat transfer: The state of the art. Int. J. Heat Fluid Flow 2007, 28, 753–767. [Google Scholar] [CrossRef]
  7. Ye, Q.; Domnick, J. Analysis of droplet impingement of different atomizers used in spray coating processes. J. Coat. Technol. Res. 2017, 14, 467–476. [Google Scholar] [CrossRef]
  8. Park, S.W.; Lee, C.S. Macroscopic and microscopic characteristics of a fuel spray impinged on the wall. Exp. Fluids 2004, 37, 745–762. [Google Scholar] [CrossRef]
  9. Moreira, A.; Moita, A.; Panao, M. Advances and challenges in explaining fuel spray impingement: How much of single droplet impact research is useful? Prog. Energy Combust. Sci. 2010, 36, 554–580. [Google Scholar] [CrossRef]
  10. Soid, S.; Zainal, Z.A. Spray and combustion characterization for internal combustion engines using optical measuring techniques–A review. Energy 2011, 36, 724–741. [Google Scholar] [CrossRef]
  11. Lynch, F.T.; Khodadoust, A. Effects of ice accretions on aircraft aerodynamics. Prog. Aeronaut. Sci. 2001, 37, 669–767. [Google Scholar] [CrossRef]
  12. Cao, Y.; Tan, W.; Wu, Z. Aircraft icing: An ongoing threat to aviation safety. Aerosp. Sci. Technol. 2018, 75, 353–385. [Google Scholar] [CrossRef]
  13. Roisman, I.V.; Tropea, C. Wetting and icing of surfaces. Curr. Opin. Colloid Interface Sci. 2021, 53, 101400. [Google Scholar] [CrossRef]
  14. Cao, Y.; Huang, J.; Yin, J. Numerical simulation of three-dimensional ice accretion on an aircraft wing. Int. J. Heat Mass Transf. 2016, 92, 34–54. [Google Scholar] [CrossRef]
  15. Liu, Y.; Hu, H. An experimental investigation on the unsteady heat transfer process over an ice accreting airfoil surface. Int. J. Heat Mass Transf. 2018, 122, 707–718. [Google Scholar] [CrossRef]
  16. Hu, Y.; Xu, C.; Li, S.; Li, P.; Liu, L. Experimental study on icing and anti-icing of a rotating conical spinner. Appl. Therm. Eng. 2023, 219, 119373. [Google Scholar] [CrossRef]
  17. Tian, L.; Li, L.; Hu, H.; Hu, H. Experimental study of dynamic ice accretion process over rotating aeroengine fan blades. J. Thermophys. Heat Transf. 2023, 37, 353–364. [Google Scholar] [CrossRef]
  18. Liu, Y.; Li, L.; Ning, Z.; Tian, W.; Hu, H. Experimental investigation on the dynamic icing process over a rotating propeller model. J. Propul. Power 2018, 34, 933–946. [Google Scholar] [CrossRef]
  19. Zheng, M.; Guo, Z.; Dong, W.; Guo, X. Experimental investigation on ice accretion on a rotating aero-engine spinner with hydrophobic coating. Int. J. Heat Mass Transf. 2019, 136, 404–414. [Google Scholar] [CrossRef]
  20. Yarin, A.L. Drop impact dynamics: Splashing, spreading, receding, bouncing. Annu. Rev. Fluid Mech. 2006, 38, 159–192. [Google Scholar] [CrossRef]
  21. Josserand, C.; Thoroddsen, S.T. Drop impact on a solid surface. Annu. Rev. Fluid Mech. 2016, 48, 365–391. [Google Scholar] [CrossRef]
  22. Rioboo, R.; Tropea, C.; Marengo, M. Outcomes from a drop impact on solid surfaces. At. Sprays 2001, 11, 155–165. [Google Scholar] [CrossRef]
  23. Qin, M.; Tang, C.; Tong, S.; Zhang, P.; Huang, Z. On the role of liquid viscosity in affecting droplet spreading on a smooth solid surface. Int. Multiph. Flow 2019, 117, 53–63. [Google Scholar] [CrossRef]
  24. Raman, K.A.; Jaiman, R.K.; Lee, T.S.; Low, H.T. Lattice Boltzmann simulations of droplet impact onto surfaces with varying wettabilities. Int. J. Heat Mass Transfer 2016, 95, 336–354. [Google Scholar] [CrossRef]
  25. Almohammadi, H.; Amirfazli, A. Droplet impact: Viscosity and wettability effects on splashing. J. Colloid Interface Sci. 2019, 553, 22–30. [Google Scholar] [CrossRef]
  26. Tang, C.; Qin, M.; Weng, X.; Zhang, X.; Zhang, P.; Li, J.; Huang, Z. Dynamics of droplet impact on solid surface with different roughness. Int. Multiph. Flow 2017, 96, 56–69. [Google Scholar] [CrossRef]
  27. Quetzeri-Santiago, M.A.; Castrejón-Pita, A.A.; Castrejón-Pita, J.R. The effect of surface roughness on the contact line and splashing dynamics of impacting droplets. Sci. Rep. 2019, 9, 15030. [Google Scholar] [CrossRef]
  28. Jin, Z.; Zhang, H.; Yang, Z. Experimental investigation of the impact and freezing processes of a water droplet on an ice surface. Int. J. Heat Mass Transf. 2017, 109, 716–724. [Google Scholar] [CrossRef]
  29. Gao, S.R.; Jia, Q.H.; Shi, S.H.; Liu, Z.; Wei, B.J.; Wang, Y.F.; Zheng, S.F.; Yang, Y.R.; Wang, X.D. Experimental study on contact time of a water droplet impact under controlled surface temperature. Phys. Fluids 2024, 36, 037133. [Google Scholar] [CrossRef]
  30. Sykes, T.C.; Fudge, B.D.; Quetzeri-Santiago, M.A.; Castrejón-Pita, J.R.; Castrejón-Pita, A.A. Droplet splashing on curved substrates. J. Colloid Interface Sci. 2022, 615, 227–235. [Google Scholar] [CrossRef]
  31. Yang, W.; Liu, C.Y.; Zhang, Y.B.; Ruan, J.; Deng, P.Y. Numerical and theoretical modeling of water droplet impact on hydrophilic and superhydrophobic cones. Phys. Fluids 2024, 36, 103329. [Google Scholar] [CrossRef]
  32. Tao, R.; Fang, W.; Wu, J.; Dou, B.; Xu, W.; Zheng, Z.; Li, B.; Wang, Z.; Feng, X.; Hao, C. Rotating surfaces promote the shedding of droplets. Research 2023, 6, 0023. [Google Scholar] [CrossRef] [PubMed]
  33. Zhang, S.; Zhao, M.; Huang, Y.; Yu, M.; Liu, C.; Guo, J.; Zheng, Y. Droplet impact on a rapidly spinning superhydrophobic surface: Shortened contact time and reduced collision force. Colloids Surf. A 2024, 681, 132741. [Google Scholar] [CrossRef]
  34. Zhan, H.; Lu, C.; Liu, C.; Wang, Z.; Lv, C.; Liu, Y. Horizontal motion of a superhydrophobic substrate affects the drop bouncing dynamics. Phys. Rev. Lett. 2021, 126, 234503. [Google Scholar] [CrossRef]
  35. Moghtadernejad, S.; Jadidi, M.; Hanson, J.; Johnson, Z. Dynamics of droplet impact on a superhydrophobic disk. Phys. Fluids 2022, 34, 062104. [Google Scholar] [CrossRef]
  36. Povarov, O.; Nazarov, O.; Ignat’evskaya, L.; Nikol’Skii, A. Interaction of drops with boundary layer on rotating surface. J. Eng. Phys. 1976, 31, 1453–1456. [Google Scholar] [CrossRef]
  37. Li, J.; Yuan, X.; Han, Q.; Xi, G. Impact patterns and temporal evolutions of water drops impinging on a rotating disc. Proc. Inst. Mech. Eng. Part C 2012, 226, 956–967. [Google Scholar] [CrossRef]
  38. Pan, Y.; Wang, Z.; Zhao, X.; Deng, W.; Xia, H. On axisymmetric dynamic spin coating with a single drop of ethanol. J. Fluid Mech. 2022, 951, A30. [Google Scholar] [CrossRef]
  39. Moghtadernejad, S.; Jadidi, M.; Johnson, Z.; Stolpe, T.; Hanson, J. Droplet impact dynamics on an aluminum spinning disk. Phys. Fluids 2021, 33, 072103. [Google Scholar] [CrossRef]
  40. Yang, W.; Zhang, X.; Wang, X.; Liu, C.; Zhang, Y. Effect of liquid viscosity on droplet spreading after off-axis impact on rotating wall. Acta Aeronaut. Astronaut. Sin. 2024, 45, 129847. [Google Scholar] [CrossRef]
  41. Zhou, Y.; Jin, Z.; Yang, Z. Impingement of a water droplet onto a rotational surface. Phys. Fluids 2024, 36, 012102. [Google Scholar] [CrossRef]
  42. Zhou, Y.; Jin, Z.; Yang, Z. Effects of surface tension and viscosity on the impact process of droplets onto a rotational surface. Phys. Fluids 2024, 36, 072110. [Google Scholar] [CrossRef]
  43. Moghtadernejad, S.; Jadidi, M.; Medina, K. Droplet impact dynamics on a rotating aluminum disk: Comparative study based on liquid properties. Phys. Fluids 2024, 36, 073323. [Google Scholar] [CrossRef]
  44. Liu, D.; Yin, H.; Wu, Z.; Luo, X. Droplet impact on rotating surfaces: The effect of centrifugal force and wettability on spreading dynamics. Phys. Rev. Fluids 2024, 9, 083605. [Google Scholar] [CrossRef]
  45. Khattab, I.S.; Bandarkar, F.; Fakhree, M.A.A.; Jouyban, A. Density, viscosity, and surface tension of water+ ethanol mixtures from 293 to 323K. Korean J. Chem. Eng. 2012, 29, 812–817. [Google Scholar] [CrossRef]
  46. Schneider, C.A.; Rasband, W.S.; Eliceiri, K.W. NIH Image to ImageJ: 25 years of image analysis. Nat. Methods 2012, 9, 671–675. [Google Scholar] [CrossRef]
  47. EASA. Type Certificate Data Sheet for LEAP-1A & LEAP-1C Series Engines; EASA: Cologne, Germany, 2018. [Google Scholar]
  48. Clanet, C.; Béguin, C.; Richard, D.; Quéré, D. Maximal deformation of an impacting drop. J. Fluid Mech. 2004, 517, 199–208. [Google Scholar] [CrossRef]
  49. Roisman, I.V. Inertia dominated drop collisions. II. An analytical solution of the Navier–Stokes equations for a spreading viscous film. Phys. Fluids 2009, 21, 052104. [Google Scholar] [CrossRef]
  50. Lin, S.; Zhao, B.; Zou, S.; Guo, J.; Wei, Z.; Chen, L. Impact of viscous droplets on different wettable surfaces: Impact phenomena, the maximum spreading factor, spreading time and post-impact oscillation. J. Colloid Interface Sci. 2018, 516, 86–97. [Google Scholar] [CrossRef]
Disclaimer/Publisher’s Note: The statements, opinions and data contained in all publications are solely those of the individual author(s) and contributor(s) and not of MDPI and/or the editor(s). MDPI and/or the editor(s) disclaim responsibility for any injury to people or property resulting from any ideas, methods, instructions or products referred to in the content.

Article Metrics

Citations

Article Access Statistics

Multiple requests from the same IP address are counted as one view.