Next Article in Journal
A New Method for 3D Dental Records Related to Orthopedic Treatments: The Hemimaxillary Plane Reference System and Its Clinical Implications
Previous Article in Journal
Mechanical Resistance of Different Dental Ceramics and Composite, Milled, or Printed Materials: A Laboratory Study
 
 
Font Type:
Arial Georgia Verdana
Font Size:
Aa Aa Aa
Line Spacing:
Column Width:
Background:
Article

Expert-Trajectory-Based Features for Apprenticeship Learning via Inverse Reinforcement Learning for Robotic Manipulation

by
Francisco J. Naranjo-Campos
*,
Juan G. Victores
and
Carlos Balaguer
RoboticsLab, Systems and Automation Engineering Department, University Carlos III of Madrid, 28911 Leganés, Spain
*
Author to whom correspondence should be addressed.
Appl. Sci. 2024, 14(23), 11131; https://doi.org/10.3390/app142311131
Submission received: 1 November 2024 / Revised: 23 November 2024 / Accepted: 26 November 2024 / Published: 29 November 2024
(This article belongs to the Special Issue Automation and Intelligent Control for Robotics)

Abstract

This paper explores the application of Inverse Reinforcement Learning (IRL) in robotics, focusing on inferring reward functions from expert demonstrations of robot arm manipulation tasks. By leveraging IRL, we aim to develop efficient and adaptable techniques for learning robust solutions to complex tasks in continuous state spaces. Our approach combines Apprenticeship Learning via IRL with Proximal Policy Optimization (PPO), expert-trajectory-based features, and the application of a reverse discount. The feature space is constructed by sampling expert trajectories to capture essential task characteristics, enhancing learning efficiency and generalizability by concentrating on critical states. To prevent the vanishing of feature expectations in goal states, we introduce a reverse discounting application to prioritize feature expectations in final states. We validate our methodology through experiments in a simple GridWorld environment, demonstrating that reverse discounting enhances the alignment of the agent’s features with those of the expert. Additionally, we explore how the parameters of the proposed feature definition influence performance. Further experiments on robotic manipulation tasks using the TIAGo robot compare our approach with state-of-the-art methods, confirming its effectiveness and adaptability in complex continuous state spaces across diverse manipulation tasks.

1. Introduction

Robot arm manipulation is a crucial aspect of modern robotics, with applications ranging from industrial automation to advanced research tasks. As the field of robotics evolves, the challenge shifts toward developing efficient and adaptable techniques capable of learning or implementing robust solutions for complex tasks. While certain manipulations might be inherently difficult, creating applications that achieve high performance across diverse tasks in continuous state spaces remains a significant hurdle [1]. This difficulty is often rooted in the need for precise control, real-time adaptation, and the integration of learning algorithms [2].
Reinforcement Learning (RL) [3] has demonstrated significant success in robotic control applications [4]. However, a critical aspect of applying RL is the design of the reward function, which not only defines the goal of the learning task but also dictates how the agent learns to achieve it [5]. Crafting an appropriate reward function to accurately capture the nuances of complex tasks can be challenging and time-consuming. This process often requires substantial domain expertise and involves a considerable amount of trial and error.
To address the challenges associated with reward function design, Inverse Reinforcement Learning (IRL) was introduced as a promising solution [6]. Rather than manually crafting a reward function, IRL seeks to infer the underlying reward structure by observing expert demonstrations. This approach is particularly valuable in robotics, where human experts can provide demonstrations or guide the robot along expert trajectories that follow desired behaviors more intuitively than by explicitly defining reward functions.
One key advantage of IRL is its ability to capture subtle aspects of tasks that might be overlooked in hand-crafted reward functions. By learning directly from expert behavior, IRL can lead to more natural and efficient robotic movements, mirroring the precision and flexibility of human demonstrations [7]. Furthermore, IRL can adapt to complex environments and nuanced behaviors, where defining a reward function explicitly would be not only time-consuming but also error-prone. This flexibility makes IRL particularly well suited for dynamic and unstructured environments, common in real-world robotic applications, where behavior might need to be adapted on the fly.
This problem is still under research and is being further explored theoretically [8] in order to evaluate the accuracy of the obtained reward and to establish convergence bounds that lead to more feasible reward estimation methods. However, many methods and applications have been proposed, such as Apprenticeship Learning via Inverse Reinforcement Learning (AL-IRL), which serves as the foundational method and motivation for this work. The following section outlines the methods proposed in this work, along with the underlying motivation and contributions of our approach.

1.1. Methods and Applications of Inverse Reinforcement Learning

Since the formulation of the IRL problem, various approaches have been proposed. Foundational methods include those based on optimizing some margin between the expert and agent, such as with feature-based value functions [6], or focusing on aligning hand-crafted feature expectations [9], as seen in AL-IRL. This last method has shown favorable results in robotic applications like autonomous driving [9,10] and robotic quadruped locomotion [11]. More recently, it has been applied to swarm-guidance shepherding [12] and path planning for autonomous quadcopters [13]. However, a key issue with IRL is that multiple reward functions can explain the expert’s behavior, leading to ambiguity and bias. To address this, the maximum entropy principle was introduced [7], ensuring that the learned reward function is both unbiased and robust. This principle identifies a distribution over behaviors that maximizes entropy while still aligning with the expert’s performance and has been successfully applied to tasks such as modeling driving routes. Furthermore, it has been extended to deep learning, resulting in Deep Max-Entropy IRL [14], which enables robots to learn directly from raw sensory data. This eliminates the need for manual feature engineering and facilitates the learning of control policies in continuous, high-dimensional spaces.
Another direction in robotic IRL involves probabilistic methods. These methods use approaches like Bayesian updates [15], Gaussian processes [16,17], or maximum likelihood estimation [18,19] to infer reward functions in a way that accounts for uncertainty, making them particularly suited for tasks involving noisy or incomplete data, such as simulations of autonomous highway driving and robotic control tasks like grasping.
A more recent and promising development in IRL is the application of generative adversarial techniques. These approaches involve training a discriminator to distinguish between the expert’s behavior and that of the agent, allowing the agent to learn a reward function based on this feedback. Key examples of this technique include Generative Adversarial Imitation Learning (GAIL) [20] and Adversarial Inverse Reinforcement Learning (AIRL) [21], both of which have shown excellent results in physics-based control tasks but also in autonomous highway driving [22] and robotic manipulation [23].
Other recent developments in IRL have introduced new methods that expand its capabilities. For instance, gradient-based approaches [24,25] have improved the efficiency of reward estimation, particularly in high-dimensional spaces. Additionally, alternative optimization criteria, such as average reward accumulation [26], address IRL without relying on the assumption of discounted expert behavior. Another promising direction involves active exploration strategies [27], where agents use a greedy exploration approach based on defined errors to refine their learned policies.
Another key advancement concerns how to handle expert demonstrations in order to extract useful information. For instance, one challenge is managing multiple experts [28], where agents learn from diverse sources of expertise. This also includes cases where experts are sub-optimal [29], which has been demonstrated to help mitigate the ambiguity problem. Furthermore, recent research has focused on estimating a model of the expert’s decision-making process [30,31], which is then used to provide additional data to the IRL algorithm. In tasks that require time-dependent decision-making, IRL has also been applied with time-dependent reward parameterization [32], enabling more accurate modeling of complex, high-task environments.

1.2. Motivation in Revisiting Apprenticeship Learning via Inverse Reinforcement Learning

Despite the abundance of methods available, AL-IRL remains valuable and has proven to be particularly effective. Grounded in a feature-definition framework of the state space, it optimizes a reward function based on the accumulation of features, known as feature expectations. We chose to revisit this approach for several reasons. First, it offers a clear and interpretable framework for IRL, which is crucial in robotics, where understanding the learned behavior is important for ensuring the transparency, safety, and control of the robot’s actions [9]. Second, this framework serves as a solid foundation for integration with powerful modern policy optimization techniques that are more suitable for handling high-dimensional spaces. Finally, its continued relevance is demonstrated by its application to emerging challenges, such as swarm-guidance shepherding and path planning [12,13].
However, AL-IRL can be improved for applications in robotics and continuous spaces. The accuracy of this method is sensitive to the selection of the feature functions, which must not only encompass the various facets of the expert’s true reward function but also differentiate between those facets. It has been demonstrated that the accuracy of IRL is closely tied to the proper scaling of relevant features [24]. This feature-based nature can reintroduce the hand-crafting challenges present in reward function design. This issue is often addressed by discretizing the continuous space with uniform resolution [6,9,24] or by randomly clustering the state space [12]. While these methods aid in feature generalization, they may suffer from the curse of dimensionality, limiting their effectiveness in complex environments [33].
Another challenge for feature generalization in these methods is that the features are typically tied to the states, functioning as a measure of occupancy. When calculating the feature expectations, the discount factor is often used and prioritizes immediate actions or states over those further in the future, which risks diminishing the impact of features associated with goal states. This issue becomes especially critical when the initial state distribution is highly concentrated or when the goal is sparse, leading to a loss of information about the features near the goal.

1.3. Contributions

To address the challenges of feature generalization in high-dimensional spaces, we introduce expert-trajectory-based features, where the feature space is defined by sampling expert trajectories and the surrounding space. This approach focuses on the regions of the state space that are most relevant to the expert’s behavior, capturing essential task characteristics while ignoring irrelevant details.
To prevent the issue of vanishing goal features, we present an alternative approach to the discount factor by applying it in reverse. This modification prioritizes feature expectations in the final states, which are closer to the task goal, thereby preserving the essential characteristics of the goal state within the feature expectations.
Furthermore, we propose combining AL-IRL with Proximal Policy Optimization (PPO) [34] for policy optimization. This combination leverages the sample efficiency and stability of PPO while benefiting from IRL’s reward inference capabilities. PPO’s robustness and stability in continuous action spaces, coupled with its ability to efficiently handle high-dimensional problems, make it an ideal choice for this application. PPO’s trust region optimization prevents overly aggressive policy updates, which is crucial when learning from demonstrations of robotic tasks.
In summary, this paper presents a novel approach that combines AL-IRL with PPO, an expert-trajectory-based feature framework, and a reverse discount application in feature expectation, as illustrated by the scheme in Figure 1. This approach is particularly well suited for large continuous state spaces and robotic applications. The main contributions of this work include the following:
  • Expert-trajectory-based features: The feature space is defined by sampling expert trajectories to capture critical task characteristics while abstracting away from unnecessary details.
  • Reverse discounting in feature expectations: We demonstrate an alternative application of the discount factor to emphasize goal-state features and prevent their diminishing impact.
  • Integration of AL-IRL and PPO: The proposed approach leverages the strengths of PPO for robust policy optimization alongside IRL’s reward inference capabilities.
  • Validation in a simple GridWorld environment: We assess the effectiveness of the reverse discounting approach and explore how the parameters of the proposed feature definition affect performance.
  • Comparison with other state-of-the-art AL-IRL methods: Experiments in complex robotic manipulation tasks with the TIAGo robot highlight the advantages of our method over others.

2. Materials and Methods

This section provides an overview of the foundational background and then details the proposed approach for applying AL-IRL in robotic manipulation tasks.

2.1. Background

This study builds on key concepts in reinforcement learning (RL), Inverse Reinforcement Learning (IRL), and optimization techniques such as PPO, an efficient method for policy-gradient-based optimization. Additionally, radial basis functions (RBFs) are often used to model the feature space, facilitating the discretization of continuous spaces.

2.1.1. Reinforcement Learning and Inverse Reinforcement Learning

Reinforcement Learning (RL) is a type of machine learning where an agent learns to make decisions by interacting with an environment. The problem can be formulated as a Markov Decision Process (MDP), defined as the tuple M = { S , A , p ( s , a ) , ρ 0 , r } . Here, S represents the state space, which encompasses all possible states the environment can be in. The action space, denoted by A , consists of all possible actions the agent can take. The dynamics function p ( s , a ) describes the transition probabilities, specifying how the environment responds to the agent’s actions. The initial state distribution ρ 0 defines the probability distribution over the initial states of the environment, while the reward function r assigns a numerical reward to each state–action pair, providing feedback to the agent regarding the effectiveness of its actions.
The primary objective of the agent is to derive a policy π ( a | s ) , which is a strategy that outlines the probability of taking action a given the current state s. To achieve this, the agent seeks to maximize the expected sum of rewards, denoted as the return R and represented by the equation
R π = E s t , a t π t = 0 T γ t r ( s t , a t )
In this equation, R π denotes the return or expected cumulative reward following policy π . The variable T signifies the time horizon, defining the length of the episode, while γ is the discount factor (where 0 γ < 1 ), which balances the significance of immediate rewards against future rewards. The term r ( s t , a t ) represents the reward received after taking action a t in state s t at time t. A policy that maximizes the expected total return over all states is called an optimal policy π * , and RL algorithms aim to optimize policy π by maximizing its cumulative reward over time.
In this context, the value functions are fundamental equations for modeling a policy:
  • The state value function V ( s ) provides an estimate of the expected cumulative reward that can be obtained starting from state s and following policy π . It is defined as
    V π ( s ) = E s t , a t π t = 0 γ t r ( s t , a t ) s 0 = s
  • The State–Action Value Function Q ( s , a ) estimates the expected cumulative reward starting from state s, taking action a, and following policy π . It is defined as
    Q π ( s , a ) = E s t , a t π t = 0 γ t r ( s t , a t ) s 0 = s , a 0 = a
Numerous algorithms are based on these equations to optimize policies in RL, enabling agents to learn effective strategies for decision-making. Among these, Deep Reinforcement Learning (DRL) [35] represents a class of algorithms that integrate deep learning techniques with traditional reinforcement learning methods. DRL utilizes neural networks to approximate value functions and policies, allowing agents to handle high-dimensional state spaces and complex environments more efficiently.
On the other hand, Inverse Reinforcement Learning (IRL) is a framework within RL that focuses on inferring a reward function for the agent based on observed behavior, typically through expert demonstrations [6]. Then, we denote MDP\R as an MDP without a reward function with the tuple M \ R = { S , A , p ( s , a ) , ρ 0 , π E } , where π E is the expert policy. IRL algorithms aim to optimize a reward function r that aligns with the expert policy π E . However, this expert policy is not typically known directly; instead, it is inferred from demonstration trajectories provided by the expert.

2.1.2. Apprenticeship Learning via Inverse Reinforcement Learning

Apprenticeship Learning via IRL (AL-IRL) [9] is the foundation of this work, aimed at optimizing a reward function based on samples from expert trajectories. In the IRL framework without a reward function (MDP\R), we assume that a vector of features ϕ : S [ 0 , 1 ] k can be defined. The optimal reward function can then be expressed as r * = w * · ϕ , where w * R k represents the optimal weights. This formulation ensures that the reward function remains bounded between 0 and 1, requiring that the weights satisfy the constraint | | w * | | 1 1 .
Next, we define the expected discounted accumulated feature vector, or feature expectation μ ( π ) , as follows:
μ ( π ) = E s t π t = 0 γ t ϕ ( s t ) R k
Conversely, when we have access to expert demonstrations under the policy π E through trajectories represented by state sequences T E = { T 1 , , T m } , we can estimate the expert feature expectation μ ^ E using the following expression:
μ ^ E = 1 m i = 1 m t = 0 T γ t ϕ t ( i )
In this context, given an MDP\R, a feature mapping ϕ , and the expert feature expectation μ E , AL-IRL aims to find a policy π ˜ that closely matches the expert’s performance with the unknown reward function r * = w * · ϕ . The objective is to ensure that the feature expectations of the learned policy approximate those of the expert:
| | μ ( π ˜ ) μ E | | 2 ϵ
Equation (6) is referred to as the apprenticeship loss. To optimize it, a method based on projections is employed, where the updated feature expectation μ ( π ˜ ) μ ( i 1 ) is estimated using the following equations:
μ l i n e ( i 1 ) = ( μ ( i 1 ) μ ¯ ( i 2 ) )
μ ¯ ( i 1 ) = μ ¯ ( i 2 ) + ( μ l i n e ( i 1 ) ) T ( μ E μ ¯ ( i 2 ) ) ( μ l i n e ( i 1 ) ) T ( μ l i n e ( i 1 ) ) ( μ l i n e ( i 1 ) )
Equation (8) computes the orthogonal projection of μ E onto the line through μ ¯ ( i 2 ) and μ ( i 1 ) . The complete optimization procedure is outlined in Algorithm 1.
Algorithm 1 Apprenticeship Learning via IRL using the projection method.
  1:
Randomly pick π ( 0 ) . Compute μ ( 0 ) = μ ( π ( 0 ) ) with Equation (4).
  2:
Compute μ E with Equation (5).
  3:
Set i = 0 .
  4:
Set μ ¯ ( 0 ) = μ ( 0 ) and w ( 1 ) = μ E μ ( 0 )
  5:
repeat
  6:
    Compute optimal policy π ( i ) using an RL algorithm with r = ( w ( i ) ) T ϕ .
  7:
    Compute μ ( i ) = μ ( π ( i ) ) with Equation (4).
  8:
    Set i = i + 1 .
  9:
    Compute μ ¯ ( i 1 ) with Equations (7) and (8).
10:
    Set w ( i ) = μ E μ ¯ ( i 1 ) .
11:
    Set t ( i ) = | | w ( i ) | | 2 .
12:
until  t ( i ) < ϵ
When it comes to RL algorithms for computing an optimal policy (step 6 in  Algorithm 1), various approaches have been proposed depending on the task and environment. Foundational works [6,9,24] often relied on exact value iteration met-  hods [3], as the environments were fully known, allowing the focus to remain on the AP-IRL algorithm itself. Similarly, early implementations in real-world tasks [10,11] employed value iteration, utilizing a known or estimated model of the environment. More recent works have shifted toward leveraging modern DRL methods, such as Deep Q-Learning (DQN) [36], which is well suited for discretized state and action spaces, as demonstrated in quadcopter navigation [13], or Deep Deterministic Policy Gradient (DDPG) [37], which is designed for continuous state and action spaces, as applied to swarm guiding [12]. In this work, we focus on PPO, a DRL algorithm that is particularly effective for high-dimensional continuous state and action spaces.

2.1.3. Proximal Policy Optimization

Proximal Policy Optimization (PPO) [34] is a family of policy gradient methods for RL that optimize an objective function using stochastic gradient ascent while simultaneously gathering data through interactions with the environment. PPO balances exploration and exploitation by updating the policy iteratively and learning to maximize long-term rewards.
PPO is built within an actor–critic architecture, where the actor is a neural network that represents the policy (mapping states to actions), and the critic is another neural network that estimates the state value function V ( s ) , providing feedback on the expected rewards. Using trajectories gathered from interacting with the environment, PPO performs multiple updates with these samples, improving sample efficiency and data usage. This batch update process makes PPO more efficient than algorithms that update the policy after every single interaction.
The main innovation in PPO is its clipped objective function, which limits policy updates to prevent drastic changes. Denoting the probability ratio by r t ( θ ) = π θ ( a t | s t ) π θ o l d ( a t | s t ) , the surrogate loss is defined as
L C L I P ( θ ) = E ^ t m i n ( r t ( θ ) A t ^ , c l i p ( r t ( θ ) , 1 ϵ , 1 + ϵ ) A t ^ ) ,
where t is the time-step, ϵ is a hyperparameter, and A t ^ is the advantage, which can be computed as
A t ^ = V ( s t ) + r t + γ r t + 1 + + γ T t + 1 r T 1 + γ T t V ( s T )
The clipping mechanism constrains the probability ratio between the new and old policies, ensuring that updates remain within a specified range. This prevents large, destabilizing updates while still allowing for effective policy improvements. As a result, PPO is a stable and sample-efficient algorithm that has demonstrated robust performance across a wide range of applications. The complete algorithm of PPO is shown in  Algorithm 2.
Algorithm 2 Proximal Policy Optimization.
1:
for each e p i s o d e = 1 to E do
2:
    for each a g e n t = 1 to N do
3:
        Run policy π θ o l d in environment for T time-steps.
4:
        Compute A 1 ^ , , A T ^ .
5:
    end for
6:
    Optimize surrogate L with respect to θ , with K epochs.
7:
     θ o l d θ
8:
end for

2.1.4. General Features with Radial Basis Function

A powerful aspect of AL-IRL is the ability to leverage prior knowledge about the environment to construct a feature space from which the algorithm can learn an appropriate reward function [9,10,11,13]. In continuous spaces, an alternative solution is to discretize the state space into a feature space. Common approaches include uniformly dividing the state space [6,24] or using techniques like clustering to randomly separate it [12].
To assign a state to a particular feature, a widely used method is the application of radial basis functions (RBFs) [38]. RBFs are real-valued functions that depend on the distance between an input and a fixed point (usually a center). In this context, RBFs compute the distance between the state and the centers of each feature or cluster. The state is assigned to the feature whose RBF value is the highest, indicating that it is closest to that cluster or division.
Among the various types of RBFs, the Gaussian function is one of the most commonly used, defined as
φ ( x ) = exp x c 2 2 σ 2
where x is the input, c is the center, and σ controls the spread of the function.

2.2. Expert-Trajectory-Based Features for AL-IRL for Robotic Manipulation

The approach proposed in this paper involves implementing AL-IRL with PPO for application in robotics continuous spaces. We implement an expert-trajectory-based feature space designed to effectively represent important aspects of large continuous state spaces. This section details the definition of this feature space. We also develop the reverse discount, our approach to addressing the problem of feature vanishing in goal states when calculating feature expectations across robotics spaces within the proposed feature space. Finally, we present the complete implemented algorithm.

2.2.1. Expert-Trajectory-Based Feature Space Definition

The goal is to identify which zones in the state space are most valuable for the expert in order to construct a feature space that focuses on these zones and their surroundings, addressing large continuous spaces.
To achieve this, using K-means [39], we first cluster the given expert trajectories to obtain C centers. Next, we compute the mean minimum radius r m between these centers. We then define the number of layers L, which correspond to the number of distinct zones around the C centers. The first layer will bound each center at a distance of r m with a width of 2 r m , and the subsequent layers will maintain the same dimensions.
We then generate random points within the bounds of the layers and sample K points for each C in each layer. This process yields the total of the feature centers, given by F = C + C · K · L .
These clustered points form the feature centers ς , which represent the feature space where the expert information is captured by the centers C, while the L · K · C points represent the surrounding expert information.
Figure 2 illustrates the process of generating the centers for the feature space, and Figure 3 depicts an example of a feature space based on expert trajectories in a 2D state space, with C = 2 , K = 2 , and L = 2 .
Once we have the centers, the association between a state and a feature vector is computed using the Gaussian RBF. Given the expert trajectories T E and the feature centers ς with the mean radius r m , we define the distance-based function for feature definition as follows:
ϕ ( s | T E , ς ) = φ ( s | T E , ς ) = exp s ς 2 2 2 r m 2

2.2.2. Reverse Discount in Feature Expectation

When computing the feature expectation according to expressions (4) and (5), we use the parameter γ as a discount factor. Its purpose is to prioritize information from earlier states and decisions, placing less emphasis on future states.
In an environment with a wide initial state distribution ρ , the batch of expert trajectories starts in different initial states according to that distribution and ends in states corresponding to the goal. The same will happen with the features: experts will begin with different initial features and will end with the features corresponding to goal achievement.
Assuming that the feature function is a subjective linear function over the state occupancy measure, this implies that each ϕ ( s 0 ) ϕ 0 is a one-hot vector, as in the case of discretization in related works. The features of initial states and final states can be defined as
ϕ 0 = ϕ ( s ) [ 0 , 1 ] k s ρ 0 , with ρ 0 S
ϕ T = ϕ ( s ) [ 0 , 1 ] k s ρ T , with ρ T S
where ρ 0 is the initial state distribution, and ρ T is the final state distribution. We can then define the feature expectation over a trajectory as
μ ( π ) = E s t π ϕ 0 + γ T ϕ T + t = 1 T 1 γ t ϕ ( s t ) ,
where ϕ ( s t ) is the feature vector at time t, and γ is the discount factor. The feature expectation is computed as a weighted sum over time, from initial to final states.
We can split the computation of the feature expectation over a set of m trajectories as follows:
μ ^ T ( 0 ) , , T ( m ) = 1 m i = 1 m ϕ ( s 0 ( i ) ) + γ T ϕ ( s T ( i ) ) + t = 1 T 1 γ t ϕ ( s t ( i ) )
= 1 m i = 1 m ϕ ( s 0 ( i ) ) + 1 m i = 1 m γ T ϕ ( s T ( i ) ) + 1 m i = 1 m t = 1 T 1 γ t ϕ ( s t ( i ) )
= μ ^ 0 + μ ^ T + μ ^ H
Here, the estimation is split into expectations of initial features ( μ ^ 0 ), final features ( μ ^ T ), and intermediate features along the trajectory ( μ ^ H ).
Considering the assumptions we have expressed, and denoting the sizes of these feature subsets by | ϕ 0 | and | ϕ T | , the maximum values of the initial and final feature expectations are
max μ ^ 0 = 1 | ϕ 0 |
max μ ^ T = γ T | ϕ T |
Thus, in environments where | ϕ 0 | is large and | ϕ T | is small, the contributions of initial and final features to the overall expectation may be balanced, preventing the vanishing of feature expectations for late states. However, when both | ϕ 0 | and | ϕ T | are small, the discount factor may cause the expectation of later states to vanish compared to the initial states.
For example, this situation often occurs in robotic manipulator environments. The manipulator typically starts from a specific initial position, resulting in a small | ϕ 0 | . Similarly, the goal of the manipulation task is to reach a target point, so | ϕ T | is also small. Consequently, the discount factor may cause the features of intermediate or final states to vanish relative to the initial-state features.
To address these situations, in this work and for implementations where the features are subjective discretizations or functions of occupancy, we propose the application of a reverse discount in the feature expectation over completed trajectories:
μ r ( τ π ) = E s t τ π t = 0 T γ T t ϕ ( s t )
where the reverse discount factor γ T t emphasizes the features from states closer to the goal over those from initial states.
Thus, the estimation of the feature expectation with a reverse discount over a set of m trajectories T = { T 1 , , T m } can be expressed as
μ ^ r = 1 m i = 1 m t = 0 T γ T t ϕ t ( i )

2.2.3. Complete Algorithm

Once the new expert-trajectory-based feature method described in Section 2.2.1 and the reverse discount application in the feature expectation detailed in Section 2.2.2 are defined, we can present the complete algorithm that we propose to implement AL-IRL using PPO along with our additions. Algorithm 3 details its steps, with the contributions of this work highlighted in italics. The algorithm builds upon the standard structure of Algorithm 1, which implements AL-IRL using the projection method detailed in Section 2.1.2 to infer reward weights. Our novel approaches are integrated to further enhance scalability and efficiency in continuous and high-dimensional state spaces.
Algorithm 3 Expert-trajectory-based features and reverse discount for AL-IRL with PPO.
  1:
Generate F feature centers following the definition in Section 2.2.1.
  2:
Randomly pick π ( 0 ) .
  3:
Compute μ ( 0 ) = μ ( π ( 0 ) ) with a reverse discount using expression (22).
  4:
Compute μ E with a reverse discount using expression (22).
  5:
Set i = 0 .
  6:
Set μ ¯ ( 0 ) = μ ( 0 ) and w ( 1 ) = μ E μ ( 0 ) .
  7:
repeat
  8:
    Compute the optimal policy π ( i ) using the PPO algorithm with r = ( w ( i ) ) T ϕ .
  9:
    Compute μ ( i ) = μ ( π ( i ) ) with a reverse discount using expression (22).
10:
    Set i = i + 1 .
11:
    Compute μ ¯ ( i 1 ) with Equations (7) and (8).
12:
    Set w ( i ) = μ E μ ¯ ( i 1 ) .
13:
    Set t ( i ) = | | w ( i ) | | 2 .
14:
until  t ( i ) < ϵ

3. Results

To evaluate our approach, we conducted several experiments. First, we tested our algorithm in the classic GridWorld environment, despite it being discrete and our primary focus being on continuous spaces. In this setting, we assessed the method’s performance in a simplified setting and compared the effects of the reverse discount, and we also investigated the impact of varying the parameters that define the feature space based on the expert trajectory. Next, we applied the approach to robotic manipulation tasks in continuous environments. Specifically, we experimented with the proposed method and other state-of-the-art implementations of AL-IRL in three different manipulation tasks using the TIAGo robot in MuJoCo: pushing a box, inserting a box into a bar, and removing a box from a bar.

3.1. GridWorld

To test the proposed implementation, we used a simple GridWorld environment. The state space consists of a 16 × 16 grid, with an action space defined by compass directions. Each action has a 10% probability of resulting in a random movement. The goal is to reach the upper-right cell. The initial state is set in two configurations: a single starting position in the lower-left cell and a random multiple-start setup within the 8 × 8 cells in the lower-left corner. We explored the benefits of the reverse discount and how varying the parameters that define the feature space affects the results.
We conducted training runs in the GridWorld environment using both single and multiple initial states and both common and reverse discounting. The parameters and hyperparameters for these training runs are presented in Appendix A. Figure 4 shows the results for the distance between the feature expectations of the expert and the agent across training episodes. We observe convergence across all methods, with reverse discounting achieving the closest alignment with the expert and common discounting with a single initial state showing the largest distance.
On the other hand, we conducted training runs of our approach in the GridWorld environment using the single-state mode, varying the number of centers C sampled from the expert trajectories and the number of layers L used to represent the surrounding zone while keeping the number of samples per center in each layer fixed at K = 1 . The parameters and hyperparameters for these training runs are presented in Appendix A. Figure 5 shows the distance between the feature expectations of the expert and the agent for each case.

3.2. Robotic Manipulation with TIAGo

TIAGo (see https://pal-robotics.com/es/robot/tiago/, accessed on 25 November 2024) is a mobile manipulator robot developed by PAL Robotics and designed primarily for research purposes. The simulation model we utilized includes a differential mobile base, a prismatic torso, a 7-degree-of-freedom manipulator arm, and a gripper as the end-effector. For the learning task with TIAGo, we have built an environment using the Gymnasium library (see https://gymnasium.farama.org/, accessed on 28 October 2024). The environment defines the state space as the gripper’s end-effector pose, the action space involves incremental adjustments to the gripper’s position along each axis, and the initial state distribution consists of a single predefined position with the robot’s arm holding a box, tailored to the task being learned. The environment employs a MuJoCo model (see https://mujoco.readthedocs.io/en/latest/modeling.html, accessed on 28 October 2024) to simulate the scene, with forward and inverse kinematics between the model and state space to apply the actions.
Within this environment, the robot’s tasks include pushing a box to a specific position on a table (TiagoPush), inserting a box with a hole into a bar (TiagoInsert), and removing a box with a hole from a bar (TiagoRemove). Figure 6 illustrates these task environments in the initial position.
An important aspect of both the TiagoInsert and TiagoRemove tasks is that, while the continuous state space is unrestricted, the presence of the bar imposes significant constraints on valid movements. This introduces the challenge of interacting with obstacles: in TiagoInsert, the robot must achieve a goal that involves navigating around an obstacle, whereas in TiagoRemove, the task begins with the robot interacting with the obstacle, and the objective is to move away from it.

3.2.1. Training

We conducted several training runs using the proposed method outlined in this work, which we refer to as EF-RD-PPO (AL-IRL with Expert-Trajectory-Based Features, Reverse Discount, and PPO), as well as an alternative approach to AL-IRL for continuous spaces [12] and the foundational AL-IRL algorithm [9].
The AL-IRL approach for continuous spaces utilizes K-means clustering to partition the state space and generate cluster centers. These centers are then used to compute Gaussian RBF distances, which define the feature space. Policy optimization in this approach is performed using the DDPG algorithm, tailored for continuous environments. We refer to this implementation of AL-IRL as CF-DDPG (Cluster Features with DDPG).
On the other hand, the foundational AL-IRL algorithm was tested as a baseline with some adaptations. For feature definition, we implemented a similar approach involving the uniform discretization of the state space, resulting in one-hot vector features, to enable comparison with more generalized feature representations. In the original implementation of AL-IRL, a known model and value iteration methods were employed for policy optimization. However, in this work, due to the absence of a model, we trained the policy using both model-free DDPG and PPO algorithms. We refer to this implementation of AL-IRL as DF-PPO and DF-DDPG (Discretization Features with PPO and DDPG).
To evaluate whether a run was successful, we defined a success metric based on the Euclidean distance between the goal position and the final position of the box in a trajectory, which varies depending on the environment. If this distance metric, denoted by d g , is at least d g < tolerance = 0.01 m , we consider the trajectory successful. We performed 100 runs for each task and AL-IRL implementation, with the parameters and hyperparameters detailed in Appendix A. The success rates achieved are presented in Table 1.
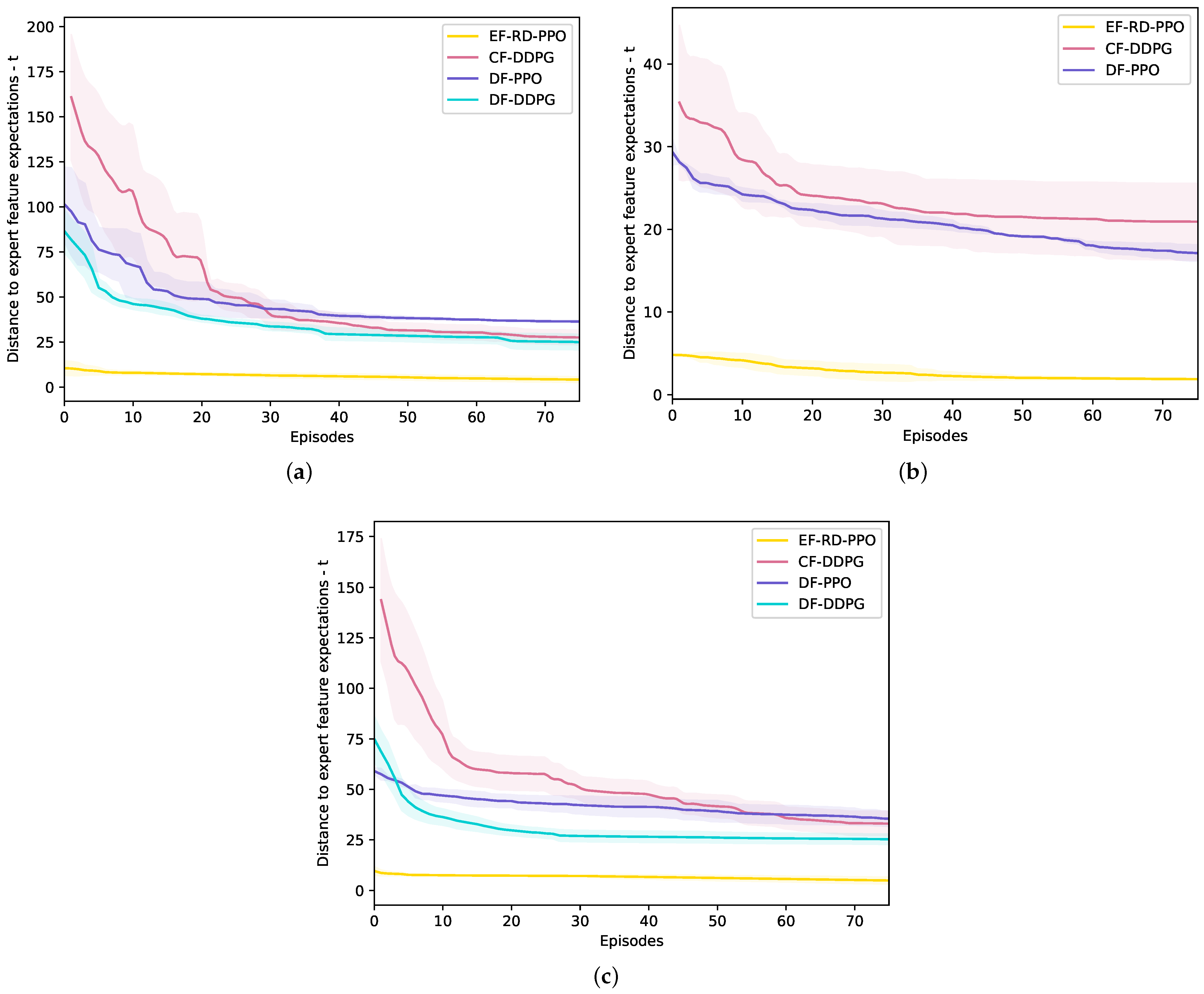
For successful runs, we can observe how the algorithm approximates the agent’s feature expectations to the expert’s feature expectations over episodes in the graphs in Figure 7 for the tasks TiagoPush, TiagoInsert, and TiagoRemove. The distance decreases with each episode and converges to a specific value.

3.2.2. Testing

We evaluated the performance of the learned policies by comparing them to the expert trajectory. For the method proposed in this work, a trajectory was generated for each successful run and is displayed alongside the expert trajectory in Figure 8 for the TiagoPush, TiagoInsert, and TiagoRemove tasks. The resulting trajectories demonstrate a high degree of similarity to the expert’s.
However, to obtain a more accurate measure of similarity between expert and agent trajectories, we also compute trajectory accumulation distances [40]:
  • Dynamic Time Warping (DTW). DTW measures the similarity between two temporal sequences by aligning them to minimize the cumulative distance, allowing comparisons of sequences that may vary in speed. This distance provides a notion of shape similarity.
  • Fréchet distance. Often described as the “dog-leash” distance, it measures how far two curves must travel to maintain alignment, capturing similarities in the overall speed and flow of the paths.
  • Hausdorff distance. This distance measures the greatest minimum distance between points in two sets, effectively providing a notion of positional similarity by capturing the maximum discrepancy between trajectories.
In Table 2, Table 3 and Table 4, we present the means and standard deviations of three different accumulation distance metrics for each environment, calculated from the successful runs of various AL-IRL implementations.

4. Discussion

This discussion analyzes the results obtained from the experiments, focusing on three key areas: the impact of discounting strategies (common versus reverse), the role and influence of feature parameters in the learning process, and a comparative evaluation of the proposed method against state-of-the-art approaches in AL-IRL.

4.1. Common Discount vs. Reverse Discount in GridWorld

In the GridWorld environment, we analyzed the effects of traditional discounting versus reverse discounting on feature expectation alignment between the expert and the agent. The results show that using reverse discounting minimizes the distance between the expert’s feature expectations and the agent’s. Additionally, with common discounting, the case with multiple initial states converges more closely to the results achieved with both multiple and single initializations under reverse discounting. This supports the premise that multiple initial states help distribute initial-state features more broadly, preserving the prominence of goal-state features relative to initial-state features. In contrast, with common discounting and a single initial state, the agent’s convergence is further from the expert’s, likely due to the penalization of goal-state features by discounting, which favors the accumulation of initial-state features.
These results suggest that reverse discounting helps preserve the significance of goal-state features, aiding in reward inference from the expert. This highlights the potential of reverse discounting in AL-IRL frameworks to improve the accuracy of expert behavior representation and policy performance.

4.2. Impact of Feature Space Definition Parameters in GridWorld

In the GridWorld environment, we also explored the effects of varying the parameters used to define the feature space presented in Section 2.2.1. The results shown in Figure 5 indicate that increasing the number of centers C sampled from the expert trajectory leads to better performance. However, dedicating too much information in the feature space to represent the surrounding area (i.e., using more layers L) appears to be penalized. Interestingly, this negative effect of adding layers is largely compensated by increasing C.
These findings suggest that the most critical factor for the agent to learn an appropriate reward function is how close the state is to the expert trajectory, rather than how much information is given about areas of the state space that the expert does not visit. This highlights the importance of focusing the feature space on regions that are frequently encountered by the expert while avoiding unnecessary complexity from less relevant regions.

4.3. Comparison of AL-IRL Approaches in Robotic Manipulation

From the training and testing of our approach to robotic manipulation with the simulation of the TIAGo robot, as well as other state-of-the-art AL-IRL methods, we can draw several points of discussion.
Firstly, in Table 1, we observe variations in success rates across different methods for each task. However, there does not seem to be a single, general explanation for these variations, although some trends align with intuition. For example, DDPG, being a noisier method for policy exploration, struggles with the TiagoInsert task, which requires figuring out how to interact with the bar. This task is more challenging, especially when discretized features are used, leading to poor performance. On the other hand, in the TiagoRemove task, where the agent begins by interacting with the obstacle, DDPG performs better, as it can successfully navigate away from it.
Nevertheless, we observe that the success rate of our method is significantly higher than that of other state-of-the-art methods. This suggests that our additions to AL-IRL, particularly focusing on reducing high dimensionality by concentrating on key zones for the agent and using the reverse discount to prioritize the goal information, help to achieve more successful policies.
Regarding the distance between the feature expectations of the agent and the expert, as shown in Figure 7, our method once again achieves the smallest distance. The other methods show worse performance overall, with their results varying slightly depending on the task but remaining relatively close to one another. This suggests that the feature definition and the reverse discount play a significant role in the convergence of the agent’s feature expectations to those of the expert.
When examining the cumulative distance between expert and agent test trajectories in Table 2, Table 3 and Table 4, we see that, among the state-of-the-art methods, PPO produces lower errors than DDPG. This confirms that PPO provides more stable policies, and our method consistently achieves the most precise results across all tested cases.
Despite these strong results, we found that achieving successful training can be quite challenging. Further investigations may be needed to identify additional factors influencing convergence to an optimal policy, such as exploring alternative reward structures.

5. Conclusions

In this work, we propose a novel approach to implementing Apprenticeship Learning via Inverse Reinforcement Learning (AL-IRL) in continuous spaces. We address the challenges posed by large state and feature spaces by defining a feature space based on the expert trajectory and its surrounding zone. To mitigate the vanishing of features in goal states—especially when the initial state distribution is limited—we advocate for the application of a reverse discount factor. This adjustment prioritizes the expectation of features in goal states, thereby enhancing the learning process. For policy optimization, we utilize Proximal Policy Optimization (PPO) to ensure robustness and stability during exploration in continuous state environments.
Our experiments demonstrate the effectiveness of our proposal in the simple GridWorld environment. In this setting, we observed the vanishing effect of features in final states and showed how reverse discounting helps address this issue. Furthermore, we studied the effect of parameter selection in the feature definition and found that learning benefits more from information on the expert’s trajectories than from amplifying the surrounding zone represented by features.
Additionally, we conducted experiments in continuous spaces, particularly in robotic manipulation tasks, using our proposed approach alongside other state-of-the-art AL-IRL methods. The results show that our approach outperforms the tested state-of-the-art methods in terms of the training success rate, proximity to expert feature expectations, and precision in task execution. The feature definition represents a more concise space, and the reverse discount factor prevents the loss of information from the goal. Combined with PPO for stable optimization, this leads to the convergence of policies that perform close to the expert with high precision, even in the presence of obstacles that constrain movement.
Future studies will focus on improving the training rate. Additionally, extending this work to more challenging continuous environments in robotic manipulation and incorporating different trajectory curves will further test its efficacy and scalability. Finally, we anticipate that this approach will contribute valuable insights for complex, high-dimensional tasks in real-world applications.

Author Contributions

Conceptualization, J.G.V., F.J.N.-C. and C.B.; methodology, J.G.V. and F.J.N.-C.; software, F.J.N.-C.; validation, J.G.V. and F.J.N.-C.; formal analysis, F.J.N.-C.; investigation, J.G.V. and F.J.N.-C.; resources, J.G.V. and F.J.N.-C.; data curation, J.G.V. and F.J.N.-C.; writing—original draft preparation, F.J.N.-C.; writing—review and editing, J.G.V.; visualization, F.J.N.-C.; supervision, J.G.V. and C.B.; project administration, J.G.V. and C.B.; funding acquisition, J.G.V. and C.B. All authors have read and agreed to the published version of the manuscript.

Funding

This research was funded by “iREHAB: AI-powered Robotic Personalized Rehabilitation”, ISCIII-AES-2022/003041 funded by ISCIII and UE; “COMPANION-CM: Inteligencia artificial y modelos cognitivos para la interacción simétrica humano-robot en el ámbito de la robótica asistencial”, Y2020/NMT-666, funded by “Proyectos Sinérgicos de I+D la Comunidad de Madrid”; and EU structural funds; “IROPER: Robótica inteligente para necesidades personales”, PLEC2021-007819, funded by MCIN/AEI/10.13039/501100011033 and by “NextGenerationEU/PRTR” of European Union.

Institutional Review Board Statement

Not applicable.

Informed Consent Statement

Not applicable.

Data Availability Statement

The original contributions presented in the study are included in the article. Further inquiries can be directed to the corresponding author.

Acknowledgments

In the process of writing, the artificial intelligence tool ChatGPT was employed as a means of enhancing and verifying the accuracy of orthography and grammar. Its outputs were always reviewed and edited by the authors. The contributions and content of the paper are entirely from the authors.

Conflicts of Interest

The authors declare no conflicts of interest.

Abbreviations

The following abbreviations are used in this manuscript:
AIRLAdversarial Inverse Reinforcement Learning
AL-IRLApprenticeship Learning via Inverse Reinforcement Learning
CDCommon discount
CF-DDPGClustered Features with Deep Deterministic Policy Gradient
DDPGDeep Deterministic Policy Gradient
DF-DDPGDiscretized Features with Deep Deterministic Policy Gradient
DF-PPODiscretized Features with Proximal Policy Optimization
DQNDeep Q-Learning
DRLDeep Reinforcement Learning
DTWDynamic Time Warping
EF-RD-PPOExpert-Trajectory-Based Features with Reverse Discount and Proximal Policy Optimization
GAILGenerative Adversarial Imitation Learning
IRLInverse Reinforcement Learning
MDPMarkov Decision Process
MDP\RMarkov Decision Process without Reward Function
PPOProximal Policy Optimization
RBFRadial basis function
RDReverse discount
RLReinforcement Learning

Appendix A

This appendix provides the parameters and hyperparameters used for each training run, which were determined through a tuning process. Table A1 shows the values used for training in GridWorld. Those for robotic manipulation training are detailed in Table A2 for our method of AL-IRL with Expert-Trajectory-Based Features, Reverse Discount, and PPO; Table A3 for the clusterization of the state space for features and DDPG [12]; and Table A4 and Table A5 for the foundational method of discretizing the state space for features and using DDPG and PPO.
Table A1. Parameters and hyperparameters used for training our method of AL-IRL with Expert-Trajectory-Based Features, Reverse Discount, and PPO in the GridWorld environment.
Table A1. Parameters and hyperparameters used for training our method of AL-IRL with Expert-Trajectory-Based Features, Reverse Discount, and PPO in the GridWorld environment.
Expert-Trajectory-Based Feature Parameters
C10
L2
K1
Apprenticeship Learning Hyperparameters
Episodes75
Discount γ 0.99
PPO Hyperparameters
Coefficient critic0.5
Coefficient entropy0.01
Clip0.2
Critic learning rate 1 × 10 4
Actor learning rate 1 × 10 4
Discount γ 0.99
Advantage lambda λ 0.95
N° Agents10
Trajectory length128
Minibatch length164
Epochs4
Table A2. Parameters and hyperparameters used for training with our method of AL-IRL with Expert-Trajectory-Based Features, Reverse Discount, and PPO in the TiagoPush, TiagoInsert, and TiagoRemove environments.
Table A2. Parameters and hyperparameters used for training with our method of AL-IRL with Expert-Trajectory-Based Features, Reverse Discount, and PPO in the TiagoPush, TiagoInsert, and TiagoRemove environments.
Expert-Trajectory-Based Feature Parameters
C10
L4
K1
Apprenticeship Learning Hyperparameters
Episodes250
Discount γ 0.999
PPO Hyperparameters
Coefficient critic0.5
Coefficient entropy0.0
Clip0.2
Critic learning rate 3 × 10 5
Actor learning rate 1 × 10 4
Discount γ 0.99
Advantage lambda λ 0.95
N° Agents10
Trajectory length200
Minibatch length100
Epochs3
Table A3. Parameters and hyperparameters used for training with the method of AL-IRL for continuous spaces based on clustering the state space for features and DDPG in the TiagoPush, TiagoInsert, and TiagoRemove environments.
Table A3. Parameters and hyperparameters used for training with the method of AL-IRL for continuous spaces based on clustering the state space for features and DDPG in the TiagoPush, TiagoInsert, and TiagoRemove environments.
Clusterization Parameters
Centers40
Bounds x [ 0 , 1 ] , y [ 1 , 1 ] , z [ 0 , 1 ]
Apprenticeship Learning Hyperparameters
Episodes250
Discount γ 0.999
DDPG Hyperparameters
Critic learning rate 1 × 10 2
Actor learning rate 1 × 10 2
Discount0.99
Trajectory length100
Batch length50
Memory size 1 × 10 4
Update frequency50
Start_update1000
Target update coefficient τ 0.005
Noise standard deviation0.1
Table A4. Parameters and hyperparameters used for training with the foundational method of AL-IRL with a discretized state space for features and DDPG in the TiagoPush, TiagoInsert, and TiagoRemove environments.
Table A4. Parameters and hyperparameters used for training with the foundational method of AL-IRL with a discretized state space for features and DDPG in the TiagoPush, TiagoInsert, and TiagoRemove environments.
Discretized Features
Resolution0.05
Bounds x [ 0 , 1 ] , y [ 1 , 1 ] , z [ 0 , 1 ]
Apprenticeship Learning Hyperparameters
Episodes250
Discount γ 0.999
DDPG Hyperparameters
Critic learning rate 1 × 10 2
Actor learning rate 1 × 10 2
Discount0.99
Trajectory length100
Batch length50
Memory size 1 × 10 4
Update frequency50
Start_update1000
Target update coefficient τ 0.005
Noise standard deviation0.1
Table A5. Parameters and hyperparameters used for training with the foundational method of AL-IRL with a discretized state space for features and PPO in the TiagoPush, TiagoInsert, and TiagoRemove environments.
Table A5. Parameters and hyperparameters used for training with the foundational method of AL-IRL with a discretized state space for features and PPO in the TiagoPush, TiagoInsert, and TiagoRemove environments.
Discretized Features
Resolution0.05
Bounds x [ 0 , 1 ] , y [ 1 , 1 ] , z [ 0 , 1 ]
Apprenticeship Learning Hyperparameters
Episodes250
Discount γ 0.999
PPO Hyperparameters
Coefficient critic0.5
Coefficient entropy0.0
Clip0.2
Critic learning rate 3 × 10 5
Actor learning rate 1 × 10 4
Discount γ 0.99
Advantage lambda λ 0.95
N° Agents10
Trajectory length200
Minibatch length100
Epochs3

References

  1. Siciliano, B.; Khatib, O. Springer Handbook of Robotics; Springer: Berlin/Heidelberg, Germany, 2016; pp. 1–2227. [Google Scholar] [CrossRef]
  2. Levine, S.; Finn, C.; Darrell, T.; Abbeel, P. End-to-End Training of Deep Visuomotor Policies. J. Mach. Learn. Res. 2015, 17, 1–40. [Google Scholar]
  3. Sutton, R.S.; Barto, A.G. Reinforcement Learning: An Introduction, 2nd ed.; MIT Press: Cambridge, MA, USA, 2018. [Google Scholar]
  4. Kober, J.; Bagnell, J.A.; Peters, J. Reinforcement learning in robotics: A survey. Int. J. Robot. Res. 2013, 32, 1238–1274. [Google Scholar] [CrossRef]
  5. Eschmann, J. Reward Function Design in Reinforcement Learning. Stud. Comput. Intell. 2021, 883, 25–33. [Google Scholar] [CrossRef]
  6. Ng, A.Y.; Russell, S. Algorithms for Inverse Reinforcement Learning. In Proceedings of the 7th International Conference on Machine Learning (ICML 2000), Stanford University, Standord, CA, USA, 29 June–2 July 2000; Volume 1, p. 2. [Google Scholar]
  7. Ziebart, B.D.; Maas, A.; Bagnell, J.A.; Dey, A.K. Maximum Entropy Inverse Reinforcement Learning. In Proceedings of the Twenty-Third AAAI Conference on Artificial Intelligence, Chicago, IL, USA, 13–17 July 2008. [Google Scholar]
  8. Metelli, A.M.; Lazzati, F.; Restelli, M. Towards Theoretical Understanding of Inverse Reinforcement Learning. In Proceedings of the 40th International Conference on Machine Learning, Honolulu, HI, USA, 23–29 July 2023. [Google Scholar]
  9. Abbeel, P.; Ng, A.Y. Apprenticeship learning via inverse reinforcement learning. In Proceedings of the Twenty-First International Conference on Machine Learning, ICML 2004, Banff, AB, Canada, 4–8 July 2004; pp. 1–8. [Google Scholar] [CrossRef]
  10. Abbeel, P.; Dolgov, D.; Ng, A.Y.; Thrun, S. Apprenticeship learning for motion planning with application to parking lot navigation. In Proceedings of the 2008 IEEE/RSJ International Conference on Intelligent Robots and Systems, IROS, Nice, France, 22–26 September 2008; pp. 1083–1090. [Google Scholar] [CrossRef]
  11. Kolter, J.Z.; Abbeel, P.; Ng, A.Y. Hierarchical Apprenticeship Learning with Application to Quadruped Locomotion. Adv. Neural Inf. Process. Syst. 2007, 20, 1–8. [Google Scholar]
  12. Nguyen, H.T.; Garratt, M.; Bui, L.T.; Abbass, H. Apprenticeship Learning for Continuous State Spaces and Actions in a Swarm-Guidance Shepherding Task. In Proceedings of the 2019 IEEE Symposium Series on Computational Intelligence, SSCI 2019, Xiamen, China, 6–9 December 2019; pp. 102–109. [Google Scholar] [CrossRef]
  13. Shamsoshoara, A.; Lotfi, F.; Mousavi, S.; Afghah, F.; İsmail, G. Joint path planning and power allocation of a cellular-connected UAV using apprenticeship learning via deep inverse reinforcement learning. Comput. Netw. 2024, 254, 110789. [Google Scholar] [CrossRef]
  14. Wulfmeier, M.; Ondrúška, P.; Ondrúška, O.; Posner, I. Maximum Entropy Deep Inverse Reinforcement Learning. arXiv 2015, arXiv:1507.04888. [Google Scholar]
  15. Xie, X.; Li, C.; Zhang, C.; Zhu, Y.; Zhu, S.C. Learning Virtual Grasp with Failed Demonstrations via Bayesian Inverse Reinforcement Learning. In Proceedings of the 2019 IEEE/RSJ International Conference on Intelligent Robots and Systems (IROS), Macau, China, 3–8 November 2019; pp. 1812–1817. [Google Scholar] [CrossRef]
  16. Jin, M.; Damianouy, A.; Abbeel, P.; Spanos, C. Inverse Reinforcement Learning via Deep Gaussian Process. In Proceedings of the Uncertainty in Artificial Intelligence—Proceedings of the 33rd Conference, UAI 2017, Sydney, Australia, 11–15 August 2017. [Google Scholar]
  17. Levine, S.; Popovic, Z.; Koltun, V. Nonlinear Inverse Reinforcement Learning with Gaussian Processes. Adv. Neural Inf. Process. Syst. 2011, 24, 1–9. [Google Scholar]
  18. Zeng, S.; Li, C.; Garcia, A.; Hong, M. When Demonstrations Meet Generative World Models: A Maximum Likelihood Framework for Offline Inverse Reinforcement Learning. arXiv 2023, arXiv:2302.07457. [Google Scholar]
  19. Zeng, S.; Li, C.; Garcia, A.; Hong, M. Maximum-Likelihood Inverse Reinforcement Learning with Finite-Time Guarantees. Adv. Neural Inf. Process. Syst. 2022, 35, 10122–10135. [Google Scholar]
  20. Ho, J.; Ermon, S. Generative Adversarial Imitation Learning. Adv. Neural Inf. Process. Syst. 2016, 29, 1–9. [Google Scholar]
  21. Fu, J.; Luo, K.; Levine, S. Learning Robust Rewards with Adversarial Inverse Reinforcement Learning. In Proceedings of the 6th International Conference on Learning Representations, ICLR 2018—Conference Track Proceedings, Vancouver, BC, Canada, 30 April–3 May 2018. [Google Scholar]
  22. Wang, P.; Liu, D.; Chen, J.; Li, H.; Chan, C.Y. Decision Making for Autonomous Driving via Augmented Adversarial Inverse Reinforcement Learning. In Proceedings of the 2021 IEEE International Conference on Robotics and Automation (ICRA), Xi’an, China, 30 May–5 June 2021; pp. 1036–1042. [Google Scholar] [CrossRef]
  23. Sun, J.; Yu, L.; Dong, P.; Lu, B.; Zhou, B. Adversarial Inverse Reinforcement Learning with Self-Attention Dynamics Model. IEEE Robot. Autom. Lett. 2021, 6, 1880–1886. [Google Scholar] [CrossRef]
  24. Neu, G.; Szepesvári, C. Apprenticeship Learning using Inverse Reinforcement Learning and Gradient Methods. In Proceedings of the 23rd Conference on Uncertainty in Artificial Intelligence, UAI 2007, Vancouver, BC, Canada, 19–22 July 2007; pp. 295–302. [Google Scholar]
  25. Pirotta, M.; Restelli, M. Inverse Reinforcement Learning through Policy Gradient Minimization. Proc. AAAI Conf. Artif. Intell. 2016, 30, 1993–1999. [Google Scholar] [CrossRef]
  26. Wu, F.; Ke, J.; Wu, A. Inverse Reinforcement Learning with the Average Reward Criterion. Adv. Neural Inf. Process. Syst. 2023, 36, 69117–69129. [Google Scholar]
  27. Lindner, D.; Krause, A.; Ramponi, G. Active Exploration for Inverse Reinforcement Learning. Adv. Neural Inf. Process. Syst. 2022, 35, 5843–5853. [Google Scholar]
  28. Likmeta, A.; Metelli, A.M.; Ramponi, G.; Tirinzoni, A.; Giuliani, M.; Restelli, M. Dealing with multiple experts and non-stationarity in inverse reinforcement learning: An application to real-life problems. Mach. Learn. 2021, 110, 2541–2576. [Google Scholar] [CrossRef]
  29. Poiani, R.; Curti, G.; Metelli, A.M.; Restelli, M. Inverse Reinforcement Learning with Sub-optimal Experts. arXiv 2024, arXiv:2401.03857. [Google Scholar]
  30. Hoshino, H.; Ota, K.; Kanezaki, A.; Yokota, R. OPIRL: Sample Efficient Off-Policy Inverse Reinforcement Learning via Distribution Matching. In Proceedings of the 2022 International Conference on Robotics and Automation (ICRA), Philadelphia, PA, USA, 23–27 May 2022; pp. 448–454. [Google Scholar] [CrossRef]
  31. Beliaev, M.; Pedarsani, R. Inverse Reinforcement Learning by Estimating Expertise of Demonstrators. arXiv 2024, arXiv:2402.01886. [Google Scholar]
  32. Ashwood, Z.C.; Jha, A.; Pillow, J.W. Dynamic Inverse Reinforcement Learning for Characterizing Animal Behavior. Adv. Neural Inf. Process. Syst. 2022, 35, 29663–29676. [Google Scholar]
  33. Bellman, R. Adaptive Control Processes: A Guided Tour; Princeton University Press: Princeton, NJ, USA, 1961. [Google Scholar]
  34. Schulman, J.; Wolski, F.; Dhariwal, P.; Radford, A.; Openai, O.K. Proximal Policy Optimization Algorithms. arXiv 2017, arXiv:1707.06347. [Google Scholar]
  35. François-Lavet, V.; Henderson, P.; Islam, R.; Bellemare, M.G.; Pineau, J. An Introduction to Deep Reinforcement Learning. Found. Trends® Mach. Learn. 2018, 11, 219–354. [Google Scholar] [CrossRef]
  36. Hasselt, H.V.; Guez, A.; Silver, D. Deep Reinforcement Learning with Double Q-learning. In Proceedings of the 30th AAAI Conference on Artificial Intelligence, AAAI 2016, Phoenix, AZ, USA, 12–17 February 2016; pp. 2094–2100. [Google Scholar] [CrossRef]
  37. Lillicrap, T.P.; Hunt, J.J.; Pritzel, A.; Heess, N.; Erez, T.; Tassa, Y.; Silver, D.; Wierstra, D. Continuous control with deep reinforcement learning. In Proceedings of the 4th International Conference on Learning Representations, ICLR 2016–Conference Track Proceedings, San Juan, PR, USA, 2–4 May 2016. [Google Scholar]
  38. Arora, G.; KiranBala.; Emadifar, H.; Khademi, M. A review of radial basis function with applications explored. J. Egypt. Math. Soc. 2023, 31, 6. [Google Scholar] [CrossRef]
  39. Jain, A.K. Data clustering: 50 years beyond K-means. Pattern Recognit. Lett. 2010, 31, 651–666. [Google Scholar] [CrossRef]
  40. Bigham, B.S.; Mazaheri, S. A Survey on Measurement Metrics for Shape Matching Based on Similarity, Scaling and Spatial Distance. Lect. Notes Data Eng. Commun. Technol. 2020, 45, 13–23. [Google Scholar] [CrossRef]
Figure 1. The proposed framework for Apprenticeship Learning via IRL, incorporating expert-trajectory-based features, reverse discounting for feature expectation estimation, and PPO, implemented for robotic manipulation with the TIAGo robot. In this framework, π represents the learned policy, τ E the expert trajectory, τ the agent trajectory, ϕ the feature function, w the weight vector for features, r the constructed reward function, and μ the feature expectation.
Figure 1. The proposed framework for Apprenticeship Learning via IRL, incorporating expert-trajectory-based features, reverse discounting for feature expectation estimation, and PPO, implemented for robotic manipulation with the TIAGo robot. In this framework, π represents the learned policy, τ E the expert trajectory, τ the agent trajectory, ϕ the feature function, w the weight vector for features, r the constructed reward function, and μ the feature expectation.
Applsci 14 11131 g001
Figure 2. A flow diagram illustrating the process of generating centers that represent the feature space based on expert trajectories. Below each step, a 2D example illustrates the process: expert trajectory (light red), clustered centers (red), random points within layers (light blue and light cyan), and layer centers (blue and cyan).
Figure 2. A flow diagram illustrating the process of generating centers that represent the feature space based on expert trajectories. Below each step, a 2D example illustrates the process: expert trajectory (light red), clustered centers (red), random points within layers (light blue and light cyan), and layer centers (blue and cyan).
Applsci 14 11131 g002
Figure 3. An example of the centers obtained to represent the feature space based on expert trajectory information in a 2D state space. The expert trajectory is shown in light red, with C = 2 clustered centers highlighted in red. Random points within the L = 2 layers are displayed in light blue and light cyan, while the C · K · L = 8 centers of the layers are marked in blue and cyan.
Figure 3. An example of the centers obtained to represent the feature space based on expert trajectory information in a 2D state space. The expert trajectory is shown in light red, with C = 2 clustered centers highlighted in red. Random points within the L = 2 layers are displayed in light blue and light cyan, while the C · K · L = 8 centers of the layers are marked in blue and cyan.
Applsci 14 11131 g003
Figure 4. The distance between the feature expectations of the expert and agent ( t ) over training episodes in GridWorld for four conditions: common discount with a single initial state (CD-Single-Init, yellow), reverse discount with a single initial state (RD-Single-Init, pink), common discount with multiple initial states (CD-Multi-Init, purple), and reverse discount with multiple initial states (RD-Multi-Init, cyan). The mean and standard deviation are calculated over 10 training runs.
Figure 4. The distance between the feature expectations of the expert and agent ( t ) over training episodes in GridWorld for four conditions: common discount with a single initial state (CD-Single-Init, yellow), reverse discount with a single initial state (RD-Single-Init, pink), common discount with multiple initial states (CD-Multi-Init, purple), and reverse discount with multiple initial states (RD-Multi-Init, cyan). The mean and standard deviation are calculated over 10 training runs.
Applsci 14 11131 g004
Figure 5. The distance between the feature expectations of the expert and agent ( t ) obtained by training our proposed approach while varying different numbers of centers C and layers L (with the number of sample points in each layer fixed at K = 1 ) in GridWorld with a single initial state. The mean and standard deviation are calculated over 10 training runs for each configuration.
Figure 5. The distance between the feature expectations of the expert and agent ( t ) obtained by training our proposed approach while varying different numbers of centers C and layers L (with the number of sample points in each layer fixed at K = 1 ) in GridWorld with a single initial state. The mean and standard deviation are calculated over 10 training runs for each configuration.
Applsci 14 11131 g005
Figure 6. Simulation of the TIAGo environments showing the initial state for each task: (a) TiagoPush, (b) TiagoInsert, and (c) TiagoRemove.
Figure 6. Simulation of the TIAGo environments showing the initial state for each task: (a) TiagoPush, (b) TiagoInsert, and (c) TiagoRemove.
Applsci 14 11131 g006
Figure 7. The distance between feature expectations of the expert and the agent (t) over training episodes for (a) TiagoPush, (b) TiagoInsert, and (c) TiagoRemove. The mean and standard deviation are calculated from 10 successful training runs using different approaches to AL-IRL.
Figure 7. The distance between feature expectations of the expert and the agent (t) over training episodes for (a) TiagoPush, (b) TiagoInsert, and (c) TiagoRemove. The mean and standard deviation are calculated from 10 successful training runs using different approaches to AL-IRL.
Applsci 14 11131 g007
Figure 8. Expert trajectory (red) and 10 test agent trajectories (blue) with the initial point marked (yellow) for (a) TiagoPush, (b) TiagoInsert, and (c) TiagoRemove.
Figure 8. Expert trajectory (red) and 10 test agent trajectories (blue) with the initial point marked (yellow) for (a) TiagoPush, (b) TiagoInsert, and (c) TiagoRemove.
Applsci 14 11131 g008
Table 1. Success rates of training using different approaches to AL-IRL in Tiago environments.
Table 1. Success rates of training using different approaches to AL-IRL in Tiago environments.
EnvironmentEF-RD-PPOCF-DDPGDF-PPODF-DDPG
TiagoPush54%24%28%24%
TiagoInsert72%8%24%0%
TiagoRemove64%18%12%10%
Table 2. Distance accumulation between expert and agent trajectories (mean and standard deviation) for TiagoPush environment.
Table 2. Distance accumulation between expert and agent trajectories (mean and standard deviation) for TiagoPush environment.
EF-RD-PPOCF-DDPGDF-PPODF-DDPG
DTW (m) 0.037 ± 0.009 0.213 ± 0.107 0.137 ± 0.160 0.376 ± 0.145
Fréchet (m) 0.011 ± 0.002 0.088 ± 0.033 0.079 ± 0.002 0.082 ± 0.004
Hausdorff (m) 0.012 ± 0.002 0.087 ± 0.033 0.079 ± 0.002 0.082 ± 0.004
Table 3. Distance accumulation between expert and agent trajectories (mean and standard deviation) for TiagoInsert environment.
Table 3. Distance accumulation between expert and agent trajectories (mean and standard deviation) for TiagoInsert environment.
EF-RD-PPOCF-DDPGDF-PPODF-DDPG
DTW (m) 0.037 ± 0.009 0.270 ± 0.013 0.215 ± 0.063 -
Fréchet (m) 0.011 ± 0.002 0.108 ± 0.006 0.072 ± 0.030 -
Hausdorff (m) 0.012 ± 0.002 0.108 ± 0.006 0.071 ± 0.029 -
Table 4. Distance accumulation between expert and agent trajectories (mean and standard deviation) for TiagoRemove environment.
Table 4. Distance accumulation between expert and agent trajectories (mean and standard deviation) for TiagoRemove environment.
EF-RD-PPOCF-DDPGDF-PPODF-DDPG
DTW (m) 0.037 ± 0.009 0.329 ± 0.021 0.159 ± 0.026 0.443 ± 0.012
Fréchet (m) 0.011 ± 0.002 0.140 ± 0.004 0.108 ± 0.059 0.163 ± 0.002
Hausdorff (m) 0.012 ± 0.002 0.140 ± 0.004 0.104 ± 0.053 0.163 ± 0.001
Disclaimer/Publisher’s Note: The statements, opinions and data contained in all publications are solely those of the individual author(s) and contributor(s) and not of MDPI and/or the editor(s). MDPI and/or the editor(s) disclaim responsibility for any injury to people or property resulting from any ideas, methods, instructions or products referred to in the content.

Share and Cite

MDPI and ACS Style

Naranjo-Campos, F.J.; Victores, J.G.; Balaguer, C. Expert-Trajectory-Based Features for Apprenticeship Learning via Inverse Reinforcement Learning for Robotic Manipulation. Appl. Sci. 2024, 14, 11131. https://doi.org/10.3390/app142311131

AMA Style

Naranjo-Campos FJ, Victores JG, Balaguer C. Expert-Trajectory-Based Features for Apprenticeship Learning via Inverse Reinforcement Learning for Robotic Manipulation. Applied Sciences. 2024; 14(23):11131. https://doi.org/10.3390/app142311131

Chicago/Turabian Style

Naranjo-Campos, Francisco J., Juan G. Victores, and Carlos Balaguer. 2024. "Expert-Trajectory-Based Features for Apprenticeship Learning via Inverse Reinforcement Learning for Robotic Manipulation" Applied Sciences 14, no. 23: 11131. https://doi.org/10.3390/app142311131

APA Style

Naranjo-Campos, F. J., Victores, J. G., & Balaguer, C. (2024). Expert-Trajectory-Based Features for Apprenticeship Learning via Inverse Reinforcement Learning for Robotic Manipulation. Applied Sciences, 14(23), 11131. https://doi.org/10.3390/app142311131

Note that from the first issue of 2016, this journal uses article numbers instead of page numbers. See further details here.

Article Metrics

Back to TopTop