Dynamic Bending Behaviour of Sandwich Structures for Marine Applications
Abstract
1. Introduction
2. Experimental Procedure
2.1. Composite Sandwich Specimen
2.2. Salt Spray Conditioning
2.3. Moisture Monitoring
2.4. Dynamic Low-Velocity Pendulum Test
2.5. Postmortem Damage Assessment
3. Bending Properties
3.1. Bending Failure Properties
3.2. Impact Bending Stiffness
4. Results and Discussion
4.1. Moisture Uptake
4.2. Seawater Effects on Single Low-Velocity Impact Bending Performance of FRPSS
4.2.1. Load–Time Behaviour for Single Impact
4.2.2. Energy–Time Impact Properties
4.3. Seawater Effects on Multiple Low-Velocity Impact Bending Performance of FRPSS
4.3.1. Load–Time Multiple Impact Behaviour
4.3.2. Energy–Time Multiple Impact Diagram
4.4. Analytical Assessment of Impact Bending Performance
4.4.1. Failure Prediction Analysis
4.4.2. Bending Stiffness Result
4.4.3. Inter-Laminar Shear Stress Analysis
4.5. Damage Morphology Assessment
5. Conclusions
- Specimens of Type A exhibited a higher moisture uptake than the GSV and GSH samples, with absorption rates of 4.8%, 4.4%, and 4.3%, respectively. This was ascribed to the effects of the adhesive layers in Type B.
- All specimens showed a reduction in damage resistance properties after seawater exposure under both single and multiple impact loading regimes. For single-impact loads, GSP experienced the largest reduction in force at 39.1% after seawater exposure, while GSV and GSH exhibited reductions of 7.2% and 15.9%, respectively. However, there was minimal change in absorbed energy between exposed and unexposed specimens. In multiple impact scenarios, GSV samples exhibited the greatest reduction in impact resistance, increasing with the number of impacts from 48.7% to 54%, whereas GSH samples had the least reduction, ranging from 6.3% to 10.9% in load-bearing capacity. In terms of energy absorption, GSV had the largest decrease, ranging from 51.5% to 58.8%, while GSH and GSP specimens showed a relatively lower decrease after exposure.
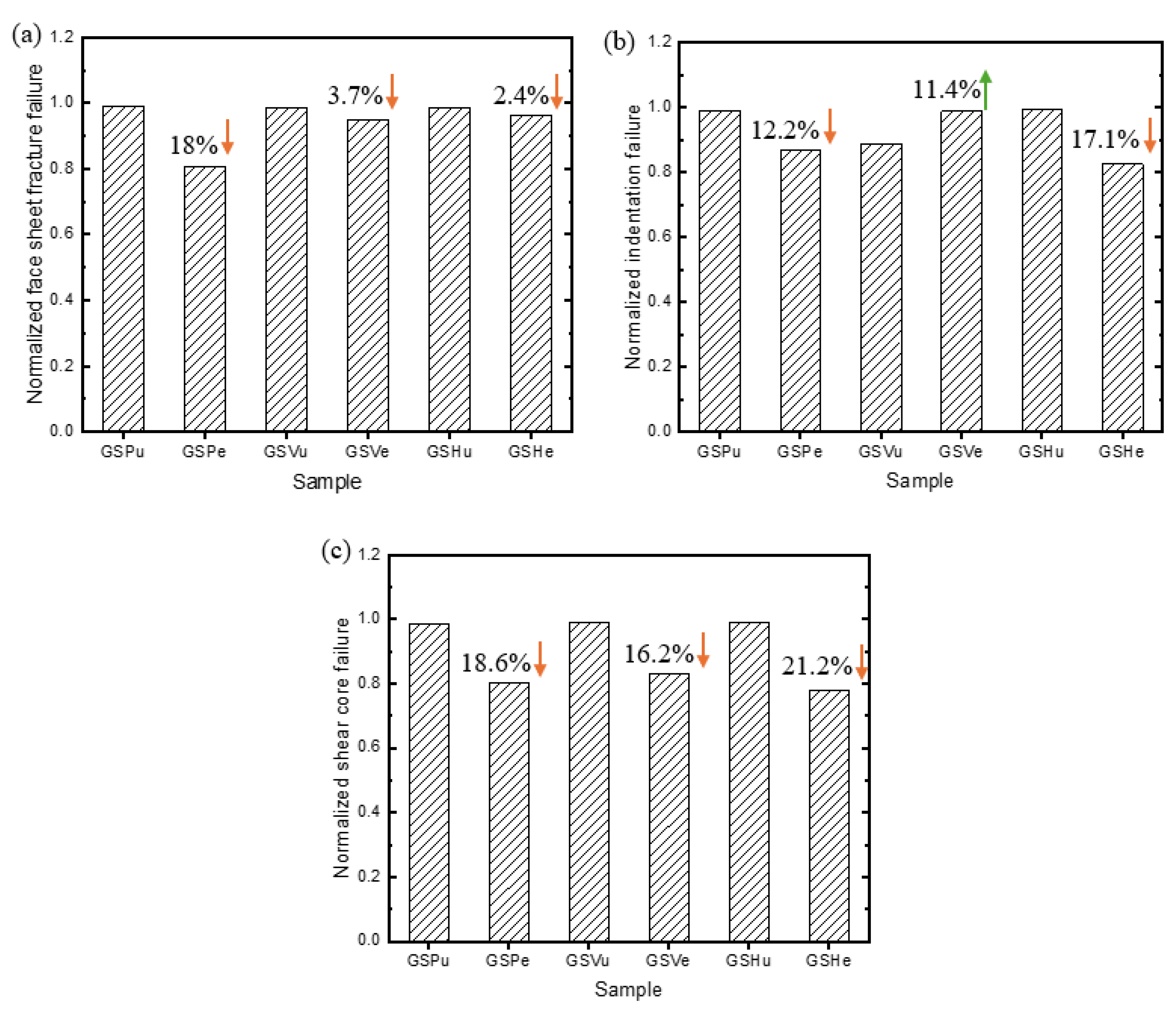
- Seawater exposure led to a reduction in bending stiffness by 8.9%, 45%, and 19.2% for GSP, GSH, and GSV, respectively. For ILSS, a similar reduction was observed by 18.57%, 17.43%, and 6.62% for GSP, GSV, and GSH samples, respectively. In terms of the theoretical failure modes, GSP decreased by 18%, 12.2%, and 18.6%, while GSH reduced by 2.4%, 17.1%, and 21.2% for facesheet fracture, indentation, and shear core failures, respectively. GSV followed the same trend except for indentation failure, which saw an increase of 11.4%, which could be due to the cross-linking behaviour of the vertical epoxy layer with the top facesheet. These indicators provide a better understanding of the aggravated effect of moisture uptake on the damage sequence of FRPSS.
- Under single impact loading, intensified core shearing, delamination, core/facesheet debonding, and fibre breakage were identified as the principal damage modes in the postmortem assessment of the samples due to sweater ageing. Furthermore, core shearing was predominant in the GSP samples after seawater exposure, unlike adhesive-layered samples (GSV and GSH). The prevalent damage modes for multiple impacts are excessive fibre rupture, extended facesheet/core debonding, and severe delamination in the GSP, GSV, and GSH specimens. These modes were caused by a combination of moisture uptake and an increase in the number of impacts. For the specimen with adhesive layers, the additional stiffness provided by the adhesive layer (GSV) and a thicker core (GSH) weakened interlaminate and facesheet/core interfaces.
Author Contributions
Funding
Institutional Review Board Statement
Informed Consent Statement
Data Availability Statement
Conflicts of Interest
References
- Iqbal, Z.; Umer, M.A.; Asim, K.; Khan, H.A. Investigating Damage Resistance in Aerospace Radome Applications: Experimental Analysis of Hybrid Sandwich Composites. J. Reinf. Plast. Compos. 2024, 07316844241229849. [Google Scholar] [CrossRef]
- Wei, S.; Guo, Z.; Niu, W.; Chai, G.B.; Tai, Z.; Li, Y. High-velocity Impact Resistance of the Carbon Fiber Composite Grid Sandwich Structures. Polym. Compos. 2024, 45, 5558–5573. [Google Scholar] [CrossRef]
- Chang, B.; Wang, Z.; Bi, G. Energy Absorption and Damage Analysis of Fragments in High-Speed Impact on Composite Honeycomb Sandwich Structures. Appl. Sci. 2024, 14, 7303. [Google Scholar] [CrossRef]
- Cestino, E.; Catapano, J.; Galvano, F.; Felis, A.; Zuccalà, S.; Martilla, V.; Sapienza, V.; Chesta, L. Effectiveness of Nanotechnology Treatments in Composite Aircraft Applications. Appl. Sci. 2024, 14, 1721. [Google Scholar] [CrossRef]
- Osa-Uwagboe, N.; Silberschimdt, V.V.; Demirci, E. Seawater Effect on Energy-Absorption Properties of Polymer-Based Composite Sandwich Structures. In Procedia Structural Integrity; Elsevier B.V.: Amsterdam, The Netherlands, 2024; Volume 54, pp. 44–51. [Google Scholar]
- Cao, Y.; Fang, H.; Shi, H.; Li, B.; Xie, H.; Cai, W. Experimental and Numerical Studies on Shear Behavior of Lattice-Web Reinforced PET Foam Sandwich Panels. Eng. Struct. 2023, 290, 116316. [Google Scholar] [CrossRef]
- Osa-uwagboe, N.; Silberschmidt, V.V.; Demirci, E. Review on Mechanical Performance of Fibre-Reinforced Plastics in Marine Environments. Appl. Compos. Mater. 2024. [Google Scholar] [CrossRef]
- Wu, Q.; Wang, M. Study on the Dynamic Mechanical Properties of Viscoelastic Materials Based on Asymmetrical Sandwich Beams. Appl. Sci. 2018, 8, 1359. [Google Scholar] [CrossRef]
- Chawla, V.; Penumadu, D. The Combined Effect of Temperature and Seawater on the Compression Properties of Carbon Fiber Vinyl Ester Composites for Sandwich Structures. J. Sandw. Struct. Mater. 2023, 26, 133–151. [Google Scholar] [CrossRef]
- Khan, M.H.; Li, B.; Tan, K.T. Impact Performance and Bending Behavior of Carbon-Fiber Foam-Core Sandwich Composite Structures in Cold Arctic Temperature. J. Compos. Sci. 2020, 4, 133. [Google Scholar] [CrossRef]
- Osa-uwagboe, N.; Silberschmidt, V.V.; Baxevanakis, K.P.; Demirci, E. Effects of Moisture Absorption on Penetration Performance of FRP Sandwich Structures. Compos. Struct. 2024, 344, 118319. [Google Scholar] [CrossRef]
- Ren, P.; Ding, C.; Liu, Y.; Ye, R.; Wu, J.; Ma, Y.; Zhao, W.; Zhang, W. Dynamic Response and Failure of Carbon/Epoxy Composite Sandwich Subjected to Underwater Impulsive Loading. Int. J. Impact Eng. 2020, 143, 103614. [Google Scholar] [CrossRef]
- Xie, W.H.; Meng, S.H.; Ding, L.; Jin, H.; Du, S.Y.; Han, G.K.; Wang, L.B.; Xu, C.H.; Scarpa, F.; Chi, R.Q. High-Temperature High-Velocity Impact on Honeycomb Sandwich Panels. Compos. B Eng. 2018, 138, 1–11. [Google Scholar] [CrossRef]
- El-Hassan, H.; El-Maaddawy, T.; Al-Sallamin, A.; Al-Saidy, A. Performance Evaluation and Microstructural Characterization of GFRP Bars in Seawater-Contaminated Concrete. Constr. Build. Mater. 2017, 147, 66–78. [Google Scholar] [CrossRef]
- Chai, G.B.; Zhu, S. A Review of Low-Velocity Impact on Sandwich Structures. Proc. Inst. Mech. Eng. Part L J. Mater. Des. Appl. 2011, 225, 207–230. [Google Scholar] [CrossRef]
- Osa-uwagboe, N.; Udu, A.G.; Silberschmidt, V.V.; Baxevanakis, K.P.; Demirci, E. Damage Assessment of Glass-Fibre-Reinforced Plastic Structures under Quasi-Static Indentation with Acoustic Emission. Materials 2023, 16, 5036. [Google Scholar] [CrossRef] [PubMed]
- Peysayyar, R.; Taghipoor, H.; Nouri, M.D. Sandwich Panel Behavior under Low-Velocity Impact with Polyurethane Core. Proc. Inst. Mech. Eng. Part L J. Mater. Des. Appl. 2024, 238, 14644207231223490. [Google Scholar] [CrossRef]
- Ullah, H.; Harland, A.R.; Silberschmidt, V.V. Damage and Fracture in Carbon Fabric Reinforced Composites under Impact Bending. Compos. Struct. 2013, 101, 144–156. [Google Scholar] [CrossRef]
- ASTM G85-19; ASTM International Standard Practice for Modified Salt Spray (Fog) Testing 1. Annual Book of ASTM Standards: West Conshohocken, PA, USA, 2019. [CrossRef]
- ASTM D1822-21; ASTM D256 Standard Test Method for Determining the Izod Pendulum Impact Resistance of Plastics. ASTM International: West Conshohocken, PA, USA, 2015. [CrossRef]
- Ni, C.; Lu, L.; Liu, G.; Zhang, L.; Mao, J.; An, Q.; Li, J. Deformation and Failure of Asymmetric Sandwich Structures under Low-Velocity Impact. Eng. Fail Anal. 2024, 161, 108324. [Google Scholar] [CrossRef]
- Steeves, C.A.; Fleck, N.A. Collapse Mechanisms of Sandwich Beams with Composite Faces and a Foam Core, Loaded in Three-Point Bending. Part I: Analytical Models and Minimum Weight Design. Int. J. Mech. Sci. 2004, 46, 561–583. [Google Scholar] [CrossRef]
- Steeves, C.A.; Fleck, N.A. Collapse Mechanisms of Sandwich Beams with Composite Faces and a Foam Core, Loaded in Three-Point Bending. Part II: Experimental Investigation and Numerical Modelling. Int. J. Mech. Sci. 2004, 46, 585–608. [Google Scholar] [CrossRef]
- Zhang, W.; Qin, Q.; Li, J.; Li, K.; Poh, L.H.; Li, Y.; Zhang, J.; Xie, S.; Chen, H.; Zhao, J. Deformation and Failure of Hybrid Composite Sandwich Beams with a Metal Foam Core under Quasi-Static Load and Low-Velocity Impact. Compos. Struct. 2020, 242, 112175. [Google Scholar] [CrossRef]
- Shi, H.; Liu, W.; Fang, H.; Bai, Y.; Hui, D. Flexural Responses and Pseudo-Ductile Performance of Lattice-Web Reinforced GFRP-Wood Sandwich Beams. Compos. B Eng. 2017, 108, 364–376. [Google Scholar] [CrossRef]
- Grigorievich, B.A.; Olegovna, D.K.; Yurievich, A.V. Methods for Calculating Rectangular Section Beams Made of Wood and Concrete. J. Appl. Eng. Sci. 2021, 19, 1035–1039. [Google Scholar] [CrossRef]
- Shivakumar, K.; Elber, W.; IIIg, W. Prediction of Impact Force and Duration Due to Low-Velocity Impact on Circular Composite Laminates. J. Appl. Mech. 1985, 52, 674–680. [Google Scholar] [CrossRef]
- Damghani, M.; Atkinson, G.A.; Thapa, P.; Joy, J.; Monaghan, M.; Maleki, P.; Ward, C. An Experimental Investigation of Tensile Residual Strength of Repaired Composite Laminates after Low Velocity Impact. Thin-Walled Struct. 2024, 200, 111896. [Google Scholar] [CrossRef]
- Advanced Mechanics of Composite Materials; Elsevier: Amsterdam, The Netherlands, 2013; ISBN 9780080982311.
- Chawla, K.K. Composite Materials; Springer International Publishing: Cham, Switzerland, 2019; ISBN 978-3-030-28982-9. [Google Scholar]
- Antunes, M.B.; Almeida, J.H.S.; Amico, S.C. Curing and Seawater Aging Effects on Mechanical and Physical Properties of Glass/Epoxy Filament Wound Cylinders. Compos. Commun. 2020, 22, 100517. [Google Scholar] [CrossRef]
- Elamin, M.; Li, B.; Tan, K.T. Impact Damage of Composite Sandwich Structures in Arctic Condition. Compos. Struct. 2018, 192, 422–433. [Google Scholar] [CrossRef]
- Cui, W.; Wisnom, M.R.; Jones, M. Effect of Specimen Size on Interlaminar Shear Strength of Unidirectional Carbon Fibre-Epoxy. Compos. Eng. 1994, 4, 299–307. [Google Scholar] [CrossRef]















| Material | Young’s Modulus (GPa) | Shear Modulus (GPa) | Tensile Strength (MPa) | Poisson Ratio | Density (g/cm3) |
|---|---|---|---|---|---|
| G12 | |||||
| Glass fabric | 12.96 | 7.65 | 175.60 | 0.16 | 2.25 |
| PVC foam | 0.075 * | 0.027 | 1.89 | - | 0.075 |
| Epoxy | 1.72 * | - | 21.36 | 0.29 | 1.16 |
| Designation | Sample Configuration | Condition |
|---|---|---|
| GSPu | Glass sandwich with pure core | unexposed |
| GSPe | Glass sandwich with pure core | exposed |
| GSVu | Glass sandwich with vertical adhesive layered core | unexposed |
| GSVe | Glass sandwich with vertical adhesive layered core | exposed |
| GSHu | Glass sandwich with horizontal adhesive layered core | unexposed |
| GSHe | Glass sandwich with horizontal adhesive layered core | exposed |
| GSP | GSH | GSV | |
|---|---|---|---|
| Region A | |||
| Initial uptake | 0.0 | 0.0 | 0.0 |
| Maximum uptake | 4.7 | 4.3 | 4.0 |
| Region B | |||
| Saturation | 4.8 | 4.4 | 4.3 |
| Impact No. | GSP | GSV | GSH | |||
|---|---|---|---|---|---|---|
| Force (N) | Diff (%) | Force (N) | Diff (%) | Force (N) | Diff (%) | |
| 1 | 103.42 (77.43) | 25.1 | 119.54 (56.33) | 52.9 | 144.57 (128.84) | 10.9 |
| 2 | 97.18 (81.56) | 16.1 | 120.06 (59.73) | 50.2 | 144.86 (131.25) | 9.4 |
| 3 | 92.48 (69.64) | 24.7 | 109.08 (55.92) | 48.7 | 142.73 (132.07) | 7.5 |
| 4 | 91.17 (60.97) | 33.1 | 106.58 (49.02) | 54.0 | 139.79 (130.96) | 6.3 |
| 5 | 85.69 (58.47) | 31.8 | 107.44 (39.89) | 62.9 | 135.25 (131.49) | 2.8 |
| Impact No. | GSP | GSV | GSH | |||
|---|---|---|---|---|---|---|
| Energy (J) | Diff (%) | Energy (J) | Diff (%) | Energy (J) | Diff (%) | |
| 1 | 0.34 (0.28) | 17.9 | 0.30 (0.13) | 56.7 | 0.36 (0.29) | 19.4 |
| 2 | 0.30 (0.33) | −9.1 | 0.31 (0.15) | 51.6 | 0.37 (0.33) | 10.8 |
| 3 | 0.34 (0.32) | 6.3 | 0.33 (0.16) | 51.5 | 0.38 (0.36) | 5.3 |
| 4 | 0.38 (0.35) | 7.9 | 0.37 (0.17) | 54.1 | 0.38 (0.37) | 2.6 |
| 5 | 0.41 (0.35) | 17.1 | 0.34 (0.14) | 58.8 | 0.28 (0.40) | −42.9 |
| Sample | Force | Energy * | Kbs * | ILSS |
|---|---|---|---|---|
| (N) | (J) | (N/mm) | (MPa) | |
| GSPu | 122.52 ± 13.75 | 1.81 ± 0.05 | 22.04 ± 4.36 | 16.10 ± 1.67 |
| GSPe | 74.54 ± 10.09 | 1.81 ± 0.04 | 20.07 ± 5.10 | 13.34 ± 1.55 |
| GSVu | 138.11 ± 9.85 | 1.74 ± 0.13 | 43.72 ± 9.11 | 17.89 ± 1.17 |
| GSVe | 128.2 ± 18.76 | 1.70 ± 0.14 | 35.34 ± 7.07 | 15.19 ± 2.33 |
| GSHu | 149.45 ± 5.86 | 1.85 ± 0.02 | 42.14 ± 4.26 | 5.03 ± 0.19 |
| GSHe | 125.69 ± 19.05 | 1.75 ± 0.06 | 23.19 ± 6.86 | 3.91 ± 0.62 |
Disclaimer/Publisher’s Note: The statements, opinions and data contained in all publications are solely those of the individual author(s) and contributor(s) and not of MDPI and/or the editor(s). MDPI and/or the editor(s) disclaim responsibility for any injury to people or property resulting from any ideas, methods, instructions or products referred to in the content. |
© 2024 by the authors. Licensee MDPI, Basel, Switzerland. This article is an open access article distributed under the terms and conditions of the Creative Commons Attribution (CC BY) license (https://creativecommons.org/licenses/by/4.0/).
Share and Cite
Osa-uwagboe, N.; Silberschmidt, V.V.; Demirci, E. Dynamic Bending Behaviour of Sandwich Structures for Marine Applications. Appl. Sci. 2024, 14, 11110. https://doi.org/10.3390/app142311110
Osa-uwagboe N, Silberschmidt VV, Demirci E. Dynamic Bending Behaviour of Sandwich Structures for Marine Applications. Applied Sciences. 2024; 14(23):11110. https://doi.org/10.3390/app142311110
Chicago/Turabian StyleOsa-uwagboe, Norman, Vadim V. Silberschmidt, and Emrah Demirci. 2024. "Dynamic Bending Behaviour of Sandwich Structures for Marine Applications" Applied Sciences 14, no. 23: 11110. https://doi.org/10.3390/app142311110
APA StyleOsa-uwagboe, N., Silberschmidt, V. V., & Demirci, E. (2024). Dynamic Bending Behaviour of Sandwich Structures for Marine Applications. Applied Sciences, 14(23), 11110. https://doi.org/10.3390/app142311110

