Variation in Daily Wheelchair Mobility Metrics of Persons with Spinal Cord Injury: The Need for Individual Monitoring
Abstract
1. Introduction
- Temporal wheelchair propulsion characteristics [26];
2. Materials and Methods
2.1. Participants
2.2. Data Collection
2.3. Data Analysis
- Bouts of mobility (BoM, according to the definition of Sonenblum et al. [41]): bout duration, mean distance and mean velocity per bout.
- Distance covered over a range of positive inclines (2 to 10°, which represents uphill wheelchair propulsion).
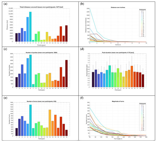
3. Results
3.1. Real-Life Measurements
3.2. Basic WCMMs
3.3. Extended Analysis


4. Discussion
4.1. General Findings
4.2. Distance and Number of Pushes
4.3. Turns
4.4. Distance over Incline
4.5. BoM
4.6. Clinical Perspective
4.7. Limitations
4.8. Future Directions
5. Conclusions
Author Contributions
Funding
Institutional Review Board Statement
Informed Consent Statement
Data Availability Statement
Acknowledgments
Conflicts of Interest
References
- Mercer, J.L.; Boninger, M.; Koontz, A.; Ren, D.; Dyson-Hudson, T.; Cooper, R. Shoulder joint kinetics and pathology in manual wheelchair users. Clin. Biomech. 2006, 21, 781–789. [Google Scholar] [CrossRef] [PubMed]
- Van Drongelen, S.; Van der Woude, L.H.; Janssen, T.W.; Angenot, E.L.; Chadwick, E.K.; Veeger, D.H. Mechanical load on the upper extremity during wheelchair activities. Arch. Phys. Med. Rehabil. 2005, 86, 1214–1220. [Google Scholar] [CrossRef] [PubMed]
- Hogaboom, N.S.; Worobey, L.A.; Boninger, M.L. Transfer Technique Is Associated with Shoulder Pain and Pathology in People with Spinal Cord Injury: A Cross-Sectional Investigation. Arch. Phys. Med. Rehabil. 2016, 97, 1770–1776. [Google Scholar] [CrossRef] [PubMed]
- Bossuyt, F.M.; Arnet, U.; Brinkhof, M.W.G.; Eriks-Hoogland, I.; Lay, V.; Muller, R.; Sunnaker, M.; Hinrichs, T.; SwiSCI Study Group. Shoulder pain in the Swiss spinal cord injury community: Prevalence and associated factors. Disabil. Rehabil. 2018, 40, 798–805. [Google Scholar] [CrossRef]
- Liampas, A.; Neophytou, P.; Sokratous, M.; Varrassi, G.; Ioannou, C.; Hadjigeorgiou, G.M.; Zis, P. Musculoskeletal Pain Due to Wheelchair Use: A Systematic Review and Meta-Analysis. Pain Ther. 2021, 10, 973–984. [Google Scholar] [CrossRef] [PubMed]
- Akbar, M.; Brunner, M.; Balean, G.; Grieser, T.; Bruckner, T.; Loew, M.; Raiss, P. A cross-sectional study of demographic and morphologic features of rotator cuff disease in paraplegic patients. J. Shoulder Elbow Surg. 2011, 20, 1108–1113. [Google Scholar] [CrossRef]
- Jahanian, O.; Van Straaten, M.G.; Barlow, J.D.; Murthy, N.S.; Morrow, M.M.B. Progression of rotator cuff tendon pathology in manual wheelchair users with spinal cord injury: A 1-year longitudinal study. J. Spinal Cord Med. 2023, 46, 466–476. [Google Scholar] [CrossRef]
- Piatt, J.A.; Nagata, S.; Zahl, M.; Li, J.; Rosenbluth, J.P. Problematic secondary health conditions among adults with spinal cord injury and its impact on social participation and daily life. J. Spinal Cord Med. 2016, 39, 693–698. [Google Scholar] [CrossRef]
- Westgren, N.; Levi, R. Quality of life and traumatic spinal cord injury. Arch. Phys. Med. Rehabil. 1998, 79, 1433–1439. [Google Scholar] [CrossRef]
- Dalyan, M.; Cardenas, D.D.; Gerard, B. Upper extremity pain after spinal cord injury. Spinal Cord 1999, 37, 191–195. [Google Scholar] [CrossRef]
- Eriks-Hoogland, I.E.; de Groot, S.; Post, M.W.; van der Woude, L.H. Correlation of shoulder range of motion limitations at discharge with limitations in activities and participation one year later in persons with spinal cord injury. J. Rehabil. Med. 2011, 43, 210–215. [Google Scholar] [CrossRef] [PubMed]
- de Vries, W.H.K.; Bossuyt, F.M.; Veeger, H.E.J.; Arnet, U. Glenohumeral contact force, peak muscle forces, and thorax motion increase with fatiguing wheelchair propulsion in persons with a spinal cord injury. J. Biomech. 2024, resubmitted. [Google Scholar]
- Benning, N.H.; Knaup, P.; Rupp, R. Measurement Performance of Activity Measurements with Newer Generation of Apple Watch in Wheelchair Users with Spinal Cord Injury. Methods Inf. Med. 2021, 60, e103–e110. [Google Scholar] [CrossRef] [PubMed]
- Dowling, A.V.; Eberly, V.; Maneekobkunwong, S.; Mulroy, S.J.; Requejo, P.S.; Gwin, J.T. Telehealth monitor to measure physical activity and pressure relief maneuver performance in wheelchair users. Assist. Technol. 2017, 29, 202–209. [Google Scholar] [CrossRef]
- Fortune, E.; Cloud-Biebl, B.A.; Madansingh, S.I.; Ngufor, C.G.; Van Straaten, M.G.; Goodwin, B.M.; Murphree, D.H.; Zhao, K.D.; Morrow, M.M. Estimation of manual wheelchair-based activities in the free-living environment using a neural network model with inertial body-worn sensors. J. Electromyogr. Kinesiol. 2022, 62, 102337. [Google Scholar] [CrossRef]
- Goodwin, B.M.; Fortune, E.; Van Straaten, M.G.P.; Morrow, M.M.B. Outcome Measures of Free-Living Activity in Spinal Cord Injury Rehabilitation. Curr. Phys. Med. Rehabil. Rep. 2019, 7, 284–289. [Google Scholar] [CrossRef]
- Satizabal, H.F.; Grillon, A.; Upegui, A.; Millet, G.; Picasso, G.; Perez-Uribe, A. ActiDote—A wireless sensor-based system for self-tracking activity levels among manual wheelchair users. EAI Endorsed Trans. Pervasive Health Technol. 2017, 3, e5. [Google Scholar] [CrossRef]
- Schneider, S.; Popp, W.L.; Brogioli, M.; Albisser, U.; Demko, L.; Debecker, I.; Velstra, I.M.; Gassert, R.; Curt, A. Reliability of Wearable-Sensor-Derived Measures of Physical Activity in Wheelchair-Dependent Spinal Cord Injured Patients. Front. Neurol. 2018, 9, 1039. [Google Scholar] [CrossRef]
- Tolerico, M.L.; Ding, D.; Cooper, R.A.; Spaeth, D.M.; Fitzgerald, S.G.; Cooper, R.; Kelleher, A.; Boninger, M.L. Assessing mobility characteristics and activity levels of manual wheelchair users. J. Rehabil. Res. Dev. 2007, 44, 561–571. [Google Scholar] [CrossRef]
- Hiremath, S.V.; Ding, D.; Farringdon, J.; Cooper, R.A. Predicting energy expenditure of manual wheelchair users with spinal cord injury using a multisensor-based activity monitor. Arch. Phys. Med. Rehabil. 2012, 93, 1937–1943. [Google Scholar] [CrossRef]
- Hiremath, S.V.; Intille, S.S.; Kelleher, A.; Cooper, R.A.; Ding, D. Estimation of Energy Expenditure for Wheelchair Users Using a Physical Activity Monitoring System. Arch. Phys. Med. Rehabil. 2016, 97, 1146–1153. [Google Scholar] [CrossRef] [PubMed]
- Kiuchi, K.; Inayama, T.; Muraoka, Y.; Ikemoto, S.; Uemura, O.; Mizuno, K. Preliminary study for the assessment of physical activity using a triaxial accelerometer with a gyro sensor on the upper limbs of subjects with paraplegia driving a wheelchair on a treadmill. Spinal Cord 2014, 52, 556–563. [Google Scholar] [CrossRef] [PubMed][Green Version]
- Learmonth, Y.C.; Kinnett-Hopkins, D.; Rice, I.M.; Dysterheft, J.L.; Motl, R.W. Accelerometer output and its association with energy expenditure during manual wheelchair propulsion. Spinal Cord 2016, 54, 110–114. [Google Scholar] [CrossRef]
- Nightingale, T.E.; Walhin, J.P.; Thompson, D.; Bilzon, J.L. Influence of accelerometer type and placement on physical activity energy expenditure prediction in manual wheelchair users. PLoS ONE 2015, 10, e0126086. [Google Scholar] [CrossRef] [PubMed]
- Popp, W.L.; Richner, L.; Brogioli, M.; Wilms, B.; Spengler, C.M.; Curt, A.E.P.; Starkey, M.L.; Gassert, R. Estimation of Energy Expenditure in Wheelchair-Bound Spinal Cord Injured Individuals Using Inertial Measurement Units. Front. Neurol. 2018, 9, 478. [Google Scholar] [CrossRef] [PubMed]
- Ojeda, M.; Ding, D. Temporal parameters estimation for wheelchair propulsion using wearable sensors. Biomed. Res. Int. 2014, 2014, 645284. [Google Scholar] [CrossRef]
- Mason, B.S.; Rhodes, J.M.; Goosey-Tolfrey, V.L. Validity and reliability of an inertial sensor for wheelchair court sports performance. J. Appl. Biomech. 2014, 30, 326–331. [Google Scholar] [CrossRef] [PubMed]
- van der Slikke, R.; Berger, M.; Bregman, D.; Veeger, D. Push Characteristics in Wheelchair Court Sport Sprinting. Procedia Eng. 2016, 147, 730–734. [Google Scholar] [CrossRef]
- van der Slikke, R.M.A.; Berger, M.A.M.; Bregman, D.J.J.; Veeger, D. Wearable Wheelchair Mobility Performance Measurement in Basketball, Rugby, and Tennis: Lessons for Classification and Training. Sensors 2020, 20, 3518. [Google Scholar] [CrossRef]
- van Dijk, M.P.; van der Slikke, R.M.A.; Rupf, R.; Hoozemans, M.J.M.; Berger, M.A.M.; Veeger, D. Obtaining wheelchair kinematics with one sensor only? The trade-off between number of inertial sensors and accuracy for measuring wheelchair mobility performance in sports. J. Biomech. 2022, 130, 110879. [Google Scholar] [CrossRef]
- Hiremath, S.V.; Ding, D.; Cooper, R.A. Development and evaluation of a gyroscope-based wheel rotation monitor for manual wheelchair users. J. Spinal Cord Med. 2013, 36, 347–356. [Google Scholar] [CrossRef] [PubMed]
- Karinharju, K.S.; Gomersall, S.R.; Clanchy, K.M.; Trost, S.G.; Yeo, L.T.; Tweedy, S.M. Validity of Two Wheelchair-Mounted Devices for Estimating Wheelchair Speed and Distance Traveled. Adapt. Phys. Activ. Q. 2021, 38, 435–451. [Google Scholar] [CrossRef] [PubMed]
- Popp, W.L.; Brogioli, M.; Leuenberger, K.; Albisser, U.; Frotzler, A.; Curt, A.; Gassert, R.; Starkey, M.L. A novel algorithm for detecting active propulsion in wheelchair users following spinal cord injury. Med. Eng. Phys. 2016, 38, 267–274. [Google Scholar] [CrossRef] [PubMed]
- Sonenblum, S.E.; Sprigle, S.; Caspall, J.; Lopez, R. Validation of an accelerometer-based method to measure the use of manual wheelchairs. Med. Eng. Phys. 2012, 34, 781–786. [Google Scholar] [CrossRef]
- Wilson, S.K.; Hasler, J.P.; Dall, P.M.; Granat, M.H. Objective assessment of mobility of the spinal cord injured in a free-living environment. Spinal Cord 2008, 46, 352–357. [Google Scholar] [CrossRef] [PubMed]
- Valérie, L.; Routhier, F.; Noreau, L.; Sen Hoong, P.; Ginis, K.M. Relationships between wheelchair skills, wheelchair mobility and level of injury in individuals with spinal cord injury. Spinal Cord 2011, 50, 37–41. [Google Scholar] [CrossRef]
- Glasheen, E.; Domingo, A.; Kressler, J. Accuracy of Apple Watch fitness tracker for wheelchair use varies according to movement frequency and task. Ann. Phys. Rehabil. Med. 2021, 64, 101382. [Google Scholar] [CrossRef]
- Karinharju, K.S.; Boughey, A.M.; Tweedy, S.M.; Clanchy, K.M.; Trost, S.G.; Gomersall, S.R. Validity of the Apple Watch((R)) for monitoring push counts in people using manual wheelchairs. J. Spinal Cord Med. 2021, 44, 212–220. [Google Scholar] [CrossRef] [PubMed]
- Togni, R.; Kilchenmann, A.; Proffe, A.; Mullarkey, J.; Demko, L.; Taylor, W.R.; Zemp, R. Turning in Circles: Understanding Manual Wheelchair Use Towards Developing User-Friendly Steering Systems. Front. Bioeng. Biotechnol. 2022, 10, 831528. [Google Scholar] [CrossRef]
- Coulter, E.H.; Dall, P.M.; Rochester, L.; Hasler, J.P.; Granat, M.H. Development and validation of a physical activity monitor for use on a wheelchair. Spinal Cord 2011, 49, 445–450. [Google Scholar] [CrossRef] [PubMed]
- Sonenblum, S.E.; Sprigle, S.; Lopez, R.A. Manual wheelchair use: Bouts of mobility in everyday life. Rehabil. Res. Pract. 2012, 2012, 753165. [Google Scholar] [CrossRef] [PubMed]
- Chaikhot, D.; Taylor, M.J.D.; de Vries, W.H.K.; Hettinga, F.J. Biomechanics of wheelchair turning manoeuvres: Novel insights into wheelchair propulsion. Front. Sports Act. Living 2023, 5, 1127514. [Google Scholar] [CrossRef] [PubMed]
- Chow, J.W.; Millikan, T.A.; Carlton, L.G.; Chae, W.S.; Lim, Y.T.; Morse, M.I. Kinematic and electromyographic analysis of wheelchair propulsion on ramps of different slopes for young men with paraplegia. Arch. Phys. Med. Rehabil. 2009, 90, 271–278. [Google Scholar] [CrossRef] [PubMed]
- Gagnon, D.H.; Babineau, A.C.; Champagne, A.; Desroches, G.; Aissaoui, R. Pushrim biomechanical changes with progressive increases in slope during motorized treadmill manual wheelchair propulsion in individuals with spinal cord injury. J. Rehabil. Res. Dev. 2014, 51, 789–802. [Google Scholar] [CrossRef] [PubMed]
- Morrow, M.M.; Hurd, W.J.; Kaufman, K.R.; An, K.N. Shoulder demands in manual wheelchair users across a spectrum of activities. J. Electromyogr. Kinesiol. 2010, 20, 61–67. [Google Scholar] [CrossRef] [PubMed]
- de Vries, W.H.K.; van der Slikke, R.M.A.; van Dijk, M.P.; Arnet, U. Real-Life Wheelchair Mobility Metrics from IMUs. Sensors 2023, 23, 7174. [Google Scholar] [CrossRef] [PubMed]
- Barakou, I.; Hettinga, F.J.; Arnet, U.; Finch, T.; Hackett, K.L.; Perret, C.; de Vries, W.H.K. Exploring the Role of Wheelchair Mobility Metrics in Clinicians Support: A Qualitative Study. Spinal Cord 2024. to be submitted. [Google Scholar]
- Butler Forslund, E.; Lofvenmark, I. Effects of the SmartDrive on mobility, activity, and shoulder pain among manual wheelchair users with spinal cord injury–A prospective long-term cohort pilot study. Disabil. Rehabil. Assist. Technol. 2024, 19, 397–406. [Google Scholar] [CrossRef] [PubMed]
- Qi, L.; Wakeling, J.; Grange, S.; Ferguson-Pell, M. Coordination patterns of shoulder muscles during level-ground and incline wheelchair propulsion. J. Rehabil. Res. Dev. 2013, 50, 651–662. [Google Scholar] [CrossRef]
- Arnet, U.; van Drongelen, S.; van der Woude, L.H.; Veeger, D.H. Shoulder load during handcycling at different incline and speed conditions. Clin. Biomech. 2012, 27, 1–6. [Google Scholar] [CrossRef]
- van Drongelen, S.; van der Woude, L.H.; Janssen, T.W.; Angenot, E.L.; Chadwick, E.K.; Veeger, D.H. Glenohumeral contact forces and muscle forces evaluated in wheelchair-related activities of daily living in able-bodied subjects versus subjects with paraplegia and tetraplegia. Arch. Phys. Med. Rehabil. 2005, 86, 1434–1440. [Google Scholar] [CrossRef]
- DIN 18040-3-2024-12; Construction of Accessible Buildings—Design Principles—Part 3: Public Circulation Areas and Open Spaces. Die Deutsche Gesetzliche Unfallversicherung e. V. (DGUV): Berlin, Germany, 2024. [CrossRef]
- Arnet, U.; van Drongelen, S.; Veeger, D.H.; van der Woude, L.H. Force application during handcycling and handrim wheelchair propulsion: An initial comparison. J. Appl. Biomech. 2013, 29, 687–695. [Google Scholar] [CrossRef] [PubMed]
- Goosey-Tolfrey, V.L.; van der Scheer, J.W.; Lexell, J.; Clements, K.; Martin Ginis, K.A.; International, S.C.I.E.G.P.G. Development of scientific exercise guidelines for adults with spinal cord injury. Br. J. Sports Med. 2018, 52, 1166–1167. [Google Scholar] [CrossRef] [PubMed]
- Giner-Pascual, M.; Alcanyis-Alberola, M.; Millan Gonzalez, L.; Aguilar-Rodriguez, M.; Querol, F. Shoulder pain in cases of spinal injury: Influence of the position of the wheelchair seat. Int. J. Rehabil. Research.. 2011, 34, 282–289. [Google Scholar] [CrossRef] [PubMed]
- Slowik, J.S.; Neptune, R.R. A theoretical analysis of the influence of wheelchair seat position on upper extremity demand. Clin. Biomech. 2013, 28, 378–385. [Google Scholar] [CrossRef] [PubMed]
- Sasaki, J.E.; Júnior, J.H.; Meneguci, J.; Tribess, S.; Marocolo Júnior, M.; Stabelini Neto, A.; Virtuoso Júnior, J.S. Number of days required for reliably estimating physical activity and sedentary behaviour from accelerometer data in older adults. J. Sports Sci. 2018, 36, 1572–1577. [Google Scholar] [CrossRef] [PubMed]
- Brogioli, M.; Popp, W.L.; Schneider, S.; Albisser, U.; Brust, A.K.; Frotzler, A.; Gassert, R.; Curt, A.; Starkey, M.L. Multi-Day Recordings of Wearable Sensors Are Valid and Sensitive Measures of Function and Independence in Human Spinal Cord Injury. J. Neurotrauma 2017, 34, 1141–1148. [Google Scholar] [CrossRef] [PubMed]
- Zemp, R.; Tanadini, M.; Pluss, S.; Schnuriger, K.; Singh, N.B.; Taylor, W.R.; Lorenzetti, S. Application of Machine Learning Approaches for Classifying Sitting Posture Based on Force and Acceleration Sensors. Biomed. Res. Int. 2016, 2016, 5978489. [Google Scholar] [CrossRef]
- Boninger, M.L.; Souza, A.L.; Cooper, R.A.; Fitzgerald, S.G.; Koontz, A.M.; Fay, B.T. Propulsion patterns and pushrim biomechanics in manual wheelchair propulsion. Arch. Phys. Med. Rehabil. 2002, 83, 718–723. [Google Scholar] [CrossRef] [PubMed]


| Participant | Distance [m] | Bouts | Distance per Bout [m] | Pushes | Push Duration [s] | Turns |
|---|---|---|---|---|---|---|
| 1 | 3035 | 78 | 38 (84) | 1485 | 0.67 (0.30) | 348 |
| 2 | 3122 | 226 | 14 (28) | 1994 | 0.78 (0.36) | 762 |
| 3 | 4665 | 166 | 28 (67) | 2446 | 0.67 (0.30) | 764 |
| 4 | 3815 | 186 | 20 (29) | 2034 | 0.66 (0.27) | 683 |
| 5 | 8877 | 152 | 58 (168) | 4312 | 0.61 (0.29) | 542 |
| 6 | 10,769 | 356 | 30 (96) | 4820 | 0.76 (0.37) | 1396 |
| 7 | 578 | 98 | 7 (8) | 438 | 0.97 (0.41) | 344 |
| 8 | 2799 | 136 | 20 (30) | 1879 | 0.66 (0.31) | 568 |
| 9 | 3676 | 166 | 22 (41) | 2081 | 0.65 (0.33) | 633 |
| 10 | 574 | 107 | 5 (3) | 631 | 0.84 (0.39) | 467 |
| 11 | 687 | 79 | 8 (5) | 662 | 0.65 (0.33) | 357 |
| 12 | 3481 | 74 | 47 (90) | 1912 | 0.47 (0.26) | 371 |
| 13 | 1933 | 273 | 6 (11) | 2107 | 0.72 (0.31) | 1169 |
| 14 | 1001 | 136 | 7 (6) | 914 | 0.77 (0.37) | 667 |
| 15 | 1942 | 266 | 7 (7) | 1802 | 0.80 (0.35) | 982 |
| 16 | 2130 | 61 | 34 (59) | 939 | 0.69 (0.31) | 359 |
| 17 | 5522 | 211 | 26 (38) | 2974 | 0.68 (0.34) | 855 |
| 18 | 2141 | 134 | 16 (25) | 1565 | 0.66 (0.31) | 536 |
| 19 | 5874 | 99 | 59 (133) | 4042 | 0.57 (0.26) | 269 |
Disclaimer/Publisher’s Note: The statements, opinions and data contained in all publications are solely those of the individual author(s) and contributor(s) and not of MDPI and/or the editor(s). MDPI and/or the editor(s) disclaim responsibility for any injury to people or property resulting from any ideas, methods, instructions or products referred to in the content. |
© 2024 by the authors. Licensee MDPI, Basel, Switzerland. This article is an open access article distributed under the terms and conditions of the Creative Commons Attribution (CC BY) license (https://creativecommons.org/licenses/by/4.0/).
Share and Cite
Vries, W.d.; Eriks-Hoogland, I.; Hertig-Godeschalk, A.; Koch-Borner, S.; Perret, C.; Arnet, U. Variation in Daily Wheelchair Mobility Metrics of Persons with Spinal Cord Injury: The Need for Individual Monitoring. Appl. Sci. 2024, 14, 11087. https://doi.org/10.3390/app142311087
Vries Wd, Eriks-Hoogland I, Hertig-Godeschalk A, Koch-Borner S, Perret C, Arnet U. Variation in Daily Wheelchair Mobility Metrics of Persons with Spinal Cord Injury: The Need for Individual Monitoring. Applied Sciences. 2024; 14(23):11087. https://doi.org/10.3390/app142311087
Chicago/Turabian StyleVries, Wiebe de, Inge Eriks-Hoogland, Anneke Hertig-Godeschalk, Sabrina Koch-Borner, Claudio Perret, and Ursina Arnet. 2024. "Variation in Daily Wheelchair Mobility Metrics of Persons with Spinal Cord Injury: The Need for Individual Monitoring" Applied Sciences 14, no. 23: 11087. https://doi.org/10.3390/app142311087
APA StyleVries, W. d., Eriks-Hoogland, I., Hertig-Godeschalk, A., Koch-Borner, S., Perret, C., & Arnet, U. (2024). Variation in Daily Wheelchair Mobility Metrics of Persons with Spinal Cord Injury: The Need for Individual Monitoring. Applied Sciences, 14(23), 11087. https://doi.org/10.3390/app142311087

