Next Article in Journal
A Consensus Framework for Evaluating Dispute Resolution Alternatives in International Law Using an Interval-Valued Type-2 Fuzzy TOPSIS Approach
Next Article in Special Issue
Effect of Aggregate Crystalline Surface Anisotropy on Asphalt–Aggregate Interface Interaction Based on Molecular Dynamics
Previous Article in Journal
A Rectangular Spiral Inward–Outward Alternating-Flow Polymer Thermal Collector for a Solar Water Heating System—A Preliminary Investigation in the Climate of Seri Iskandar, Malaysia
Previous Article in Special Issue
Analysis of the Odor Purification Mechanism and Smoke Release of Warm-Mixed Rubber Asphalt
 
 
Font Type:
Arial Georgia Verdana
Font Size:
Aa Aa Aa
Line Spacing:
Column Width:
Background:
Article

Determining the Compaction Temperature of Warm-Mix Anti-Rutting Asphalt Mixture

1
School of Traffic and Transportation Engineering, Changsha University of Science and Technology, Changsha 410114, China
2
General Contract Management Branch, China Communications Construction Co., Ltd., Beijing 100088, China
*
Author to whom correspondence should be addressed.
Appl. Sci. 2024, 14(23), 11042; https://doi.org/10.3390/app142311042
Submission received: 30 August 2024 / Revised: 6 November 2024 / Accepted: 23 November 2024 / Published: 27 November 2024
(This article belongs to the Special Issue Fracture Mechanics of Asphalt Pavement Materials and Structures)

Abstract

In order to study the effect of a warm-mix agent on the compaction characteristics of an anti-rutting asphalt mixture, this study compared the compaction temperature of an anti-rutting asphalt mixture with different warm-mix-agent contents from two aspects: asphalt viscosity and asphalt mixture voids. Based on the rheological properties of asphalt, the optimal content of the anti-rutting agent was first determined as 6% by the weight of asphalt. Four warm-mix-agent contents of 0% (control group), 1%, 2%, and 3% were designed. The viscosity–temperature curve of the warm-mix anti-rutting modified asphalt was obtained by the Brookfield viscosity tests. After that, AC-20 standard Marshall specimens were prepared to conduct a series of consecutive temperature compaction tests. The voids were calculated based on the bulk density of the specimen measured by the saturated surface-dry method. Industrial Computerized Tomography (CT) was employed to further quantify the internal voids. Two voids–compaction temperature curves were constructed based on the saturated surface-dry and CT results, respectively. The comparative results show that significant differences exist between the compaction temperatures obtained from the three curves. The viscosity–temperature curve shows that when the warm-mix agent is increased from 0% to 3%, the compaction temperature only declines about 7.9%. However, the voids–compaction temperature curves from saturated surface-dry and CT, respectively, indicate a temperature decrease of 22.7% and 19.2%. This is because a warm-mix agent will interact with asphalt, resulting in a decrease in asphalt intermolecular adsorption, whereas an anti-rutting agent mixed with asphalt will increase the degree of cross-linking and aggregation between asphalt molecules. Both additions have a certain impact on the viscosity of the asphalt binder; thus the traditional method of using the asphalt viscosity–temperature curve to determine the compaction temperature of warm-mix anti-rutting asphalt mixture has become ineffective. It is suggested to use the equal voids method to determine the compaction temperature of warm-mix anti-rutting asphalt mixtures.

1. Introduction

In recent years, the continuous increase in highway traffic volume and heavy vehicles in China has exacerbated the diseases of asphalt pavements, reducing driving comfort and safety [1]. Rutting is one of the main forms of diseases on asphalt pavements. Improving the viscosity of asphalt materials by adding anti-rutting agent, thereby improving the high-temperature stability of asphalt mixtures, is one of the main ways to optimize asphalt pavement materials. However, this also increases the difficulty of the mixing and compaction of asphalt mixtures. According to existing research and engineering practices, both increasing the construction temperature and using warm-mix technologies can effectively reduce the construction viscosity of asphalt. However, raising the construction temperature of asphalt mixtures increases the emission of harmful gases and accelerates the aging of asphalt. In contrast, warm-mix technology can significantly reduce the construction temperature of asphalt mixtures and decrease the aging of asphalt, thereby improving construction quality, extending the service life of asphalt pavements, and reducing energy consumption.
Warm-mix asphalt (WMA) is an environmentally friendly new material. Its application reduces the production temperature of asphalt mixtures, thereby reducing energy consumption and mitigating the degree of asphalt aging during production. Li Ning [2] and others showed that, compared to sections mixed with hot-mix asphalt mixture at the same time, the asphalt mixture of foamed warm-mix sections has a mixing temperature reduced by about 20 °C, resulting in lower voids and better high-temperature stability. Ma Feng [3] used two types of warm-mix additives and found that both could improve the high-temperature stability of the mixture, but neither was conducive to the low-temperature performance of the mixture. Li Q et al. [4] found that using warm-mix asphalt (WMA) technology would reduce the fatigue performance of recycled asphalt mixtures, but the addition of styrene–butadiene rubber (SBR) latex could compensate for this effect. Ma T et al. [5] found that two warm-mix asphalt additives, SAS and EVM, could reduce the compaction temperature of crumb rubber-modified asphalt mixtures by 10–20 °C. The former improved the mixture’s rutting resistance but reduced the low-temperature performance and water stability; the latter improved water stability. Zelelew H et al. [6] found that mixtures prepared using the Sasobit warm-mix agent had higher stiffness, dynamic modulus, and fatigue resistance compared to HMA mixtures. Shi Yiqing [7] found that the addition of a viscosity reducer significantly improved the mixture’s resistance to water damage, high-temperature rutting resistance, and fatigue performance, with a slight reduction in low-temperature cracking resistance, but still meeting the technical requirements. Li Yanli [8] found that the Evothem warm-mix agent could effectively reduce the mixing temperature of asphalt mixtures by about 20 °C and improve the low-temperature performance and water stability of warm-mix recycled SBS-modified asphalt mixtures. Zhou Qiwei et al. [9] found that Sasobit improved rutting resistance but reduced water stability and low-temperature cracking resistance, while EWMA-1 improved low-temperature crack resistance and fatigue resistance. Wang Wei [10] used high-melting-point modified-wax materials to prepare a warm-mix anti-rutting agent, which showed good improvement in the high-temperature performance of asphalt.
However, there is still no unified test method or clear technical standards for reasonably determining the production temperature of warm-mix anti-rutting-modified asphalt mixtures. Continuing to use the viscosity–temperature curve of the asphalt and asphalt-mixture test procedures (JTG E20-2011) [11] may lead to excessively high construction temperatures for modified asphalt mixtures. The current technical specifications for the construction of highway asphalt pavements in China (JTG F40-2004) [12] suggest that the construction temperature of modified asphalt mixtures should be determined based on engineering experience, by increasing the construction temperature of the base asphalt mixture by 10~20 °C, but this is not accurate and lacks theoretical basis. Wang Chun et al. [13] proposed the “torque–temperature curve” test to determine the mixing and compaction temperatures of modified asphalt mixtures, which were verified through Marshall compaction tests and road performance tests. The test results were reasonable and in line with engineering experience. Zhang Chuna [14] found that the compaction temperature of warm-mix BRA-modified asphalt mixtures determined by the “Equal Void Ratio Method” can obtain the same degree of compaction as that of hot-mix BRA mixtures and had good workability at lower temperatures. Zhang Lei [15], drawing on the Superpave design method, used the “equal voids method” to determine the mixing and compaction temperatures of warm-mix rubber-modified asphalt mixtures, and the compaction temperature obtained was consistent with engineering practice. Hou Xiaojing [16] recommended using the compaction method to determine the compaction characteristics of warm-mix asphalt mixtures through experimental research.
Previous researchers have often used the equal voids method based on the saturated surface-dry method to measure the voids of asphalt mixtures, thereby calculating the mixing and compaction temperatures of modified asphalt mixtures. However, due to the influence of closed voids in asphalt-mixture specimens, the obtained voids have a certain error compared to the actual voids, thus affecting the final mixing and compaction temperature results. In recent years, with the widespread application of image processing technology in practical engineering research, the method of obtaining material microstructure data through precise processing, recognition, and statistical analysis of acquired images has been adopted by many road material researchers [17]. High-tech methods, such as computer tomography (CT), can well characterize and analyze the details of voids in asphalt mixtures, such as their size and distribution [18]. CT is a microstructure-testing method that provides detailed information about the internal voids of a specimen to determine and assess the size and number of voids [19]. By setting the software threshold, the asphalt, aggregate, and void parts can be separated and quantified [20]. Xu et al. [21] obtained non-destructive images of asphalt-mixture specimens through X-ray imaging and then used digital image processing technology to extract parameters such as voids, average void size, and the number of voids. Wang et al. [22] used CT technology to analyze the dispersion of recycled rubber asphalt mixtures. Xu et al. [23] used CT technology to study the impact of different modifiers on base asphalt mixtures under freeze–thaw cycles and explained the development process of F-T damage from a microscopic perspective. Shu et al. [24] used CT technology to study the impact of three different gradations on the voids of mortar.
This study aims to improve the compaction characteristics of anti-rutting asphalt mixture by adding warm-mix agent and to explore the compaction characteristics and evaluation methods of warm-mix anti-rutting composite-modified asphalt mixture. The evaluation is based on the viscosity tests of warm-mix anti-rutting composite-modified asphalt and continuous temperature variation compaction tests of asphalt mixture. The research findings can provide a reference for the engineering application of anti-rutting asphalt pavements.

2. Materials and Preparation

2.1. Matrix Asphalt

The matrix asphalt in this study is No. 70 base asphalt produced by Changsha Poly. According to the «Standard Test Methods of Bitumen and Bituminous Mixtures for Highway Engineering» (JTG E20-2011), the performance indicators of this base asphalt were tested and listed in Table 1.

2.2. Warm-Mix Agent

The warm-mix agent Sasobit (Sasol, Johannesburg, South Africa) was used in this study, as shown in Figure 1. Sasobit has a relatively high melting point, ranging between 70 and 115 °C, which allows it to effectively mix with asphalt and form a stable structure. By decreasing the mixing and compaction temperatures, we can also reduce the energy consumption and environmental pollution during the construction process.

2.3. Anti-Rutting Agent

The basic parameters and forms of anti-rutting agent used in this study are shown in Table 2 and Figure 2.

2.4. Aggregate and Filler

The coarse and fine aggregates used in this study are basalt. The mineral powder is limestone. Its physical properties were tested and met the requirements of JTG F40-2004.

2.5. Asphalt Mixture Preparation

Warm-mix anti-rutting asphalt mixture was prepared in the laboratory according to the following two steps, as shown in Figure 3.
The gradation of the asphalt mixture, including the upper limit, lower limit, median value, and design value of the aggregates, is shown in Figure 4.

3. Viscosity–Temperature Curve of Warm-Mix Anti-Rutting Asphalt

In view of the difficulty in controlling the compaction temperature of warm-mix anti-rutting asphalt mixture, the compaction characteristics of warm-mix anti-rutting composite-modified asphalt mixture was first investigated from perspective of the viscosity–temperature curve of asphalt materials. The viscosity of the warm-mix anti-rutting composite-modified asphalt is measured at different temperatures, and the viscosity–temperature curve is plotted. The compaction temperature of the warm-mix anti-rutting asphalt mixture is calculated back through the viscosity–temperature curve.

3.1. Viscosity–Temperature Curve Method

The viscosity–temperature curve describes the relationship between the dynamic viscosity of asphalt and temperature changes. According to specifications, the mixing temperature for conventional asphalt mixtures should be determined within the temperature range where the viscosity is 0.17 ± 0.02 Pa·s, and the compaction temperature should be determined within the temperature range where the viscosity is 0.28 ± 0.03 Pa·s. This indicates that the plotting and analysis of the viscosity–temperature curve are instructive for determining the appropriate mixing and compaction temperatures.
The Brookfield viscometer is a commonly used instrument for measuring viscosity, which determines the viscosity of a substance by the viscous torque experienced by an object rotating in a fluid. Based on the content of this study, the Brookfield viscometer was chosen as the testing instrument (AMETEK Brookfield, Middleboro, MA, USA).

3.2. Optimum Dosage of Anti-Rutting Agent

In order to study the effect of warm-mix agent on the compaction characteristics of anti-rutting asphalt mixture, it is necessary to determine the optimum dosage of anti-rutting agent. The addition of the warm-mix agent reduces the viscosity of the anti-rutting asphalt mixture. In order to ensure good compaction characteristics and maintain good rutting resistance at high temperatures, the focus is to determine the optimum dosage of anti-rutting agent through the results of the softening-point test and viscosity test. The softening point and viscosity data of warm-mix anti-rutting asphalt at different anti-rutting agent contents were obtained through tests, as shown in Table 3 and Table 4. The softening-point test results show that the maximum increase in the softening point was observed when the anti-rutting agent dosage was increased from 5% to 6%, and in the viscosity test, the increase in anti-rutting agent significantly increased the viscosity of asphalt.
The bending test is commonly used to evaluate the low-temperature crack resistance of asphalt mixtures, with the maximum flexural–tensile strain as the evaluation index. The specimen is a beam specimen with dimensions of 250 × 30 × 25 mm. By applying a vertical force at the mid-span of the specimen, the maximum strain at the time of failure is measured. This study used a bending test to examine the low-temperature crack resistance of the anti-rutting asphalt mixture.
Table 5 shows the results of the low-temperature maximum flexural–tensile strain of the asphalt mixture with different dosages of an anti-rutting agent without a warm-mix agent. However, when the anti-rutting agent is more than 6%, the maximum flexural–tensile strain is lower than the 2000 με required for the base asphalt mixture in the construction specification technology (JTG F40-2004). Ultimately, the optimum dosage of the anti-rutting agent is determined to be 6%.

3.3. Viscosity–Temperature Curve

According to the test requirements of (JTG E20-2011) T0702, the Brookfield rotational viscosity test was conducted on warm-mix anti-rutting asphalt with different warm-mix-agent amounts (0%, 1%, 2%, and 3%) at four different temperatures (115, 135, 155, and 175 °C). The test results are shown in Table 6.
Using the results from the Brookfield viscosity tests, the viscosity–temperature curves for modified asphalt with anti-rutting agent contents of 6% are plotted, as shown in Figure 5.
The Brookfield rotational viscosity decreases exponentially as the test temperature increases. This is due to the increase in intermolecular movement of the asphalt material at high temperatures, resulting in a decrease in viscosity. The test data in the viscosity–temperature curves were fitted to obtain the fitted equations for the viscosity–temperature curves at different Sasobit warm-mix agent:
0 s : y = 1804.9096     exp 0.05064     x 0.01984 R 2 = 0.99999
1 s : y = 4468.1296     exp 0.05966     x 0.01705 R 2 = 0.99946
2 s : y = 6764.2861     exp 0.06374     x + 0.02014 R 2 = 0.99976
3 s : y = 7265.4267     exp 0.06482     x + 0.02540 R 2 = 0.99985
where 0s, 1s, 2s, and 3s represent the contents of Sasobit warm-mix agent as 0%, 1%, 2%, and 3%. Based on the fitting equations, the mixing and compaction temperatures of the warm-mix anti-rutting asphalt mixture with different warm-mix agent contents under the condition of 6% anti-rutting agent content can be calculated backward.
When the anti-rutting agent content is 6%, the mixing temperatures of the warm-mix anti-rutting asphalt mixture with 0%, 1%, 2%, and 3% warm-mix agent contents are 180.88 °C, 168.96 °C, 168.18 °C, and 166.92 °C. Compared with the anti-rutting asphalt mixture without the addition of warm-mix agent, the mixing temperatures of the warm-mix anti-rutting asphalt mixture with agent contents of 1%, 2%, and 3% decrease by 6.59%, 7.02%, and 7.72%. The compaction temperatures are 171.86 °C, 161.23 °C, 159.55 °C, and 158.28 °C. Compared with the anti-rutting asphalt mixture without the addition of warm-mix agent, the compaction temperatures of the warm-mix anti-rutting asphalt mixture with agent contents of 1%, 2%, and 3% decrease by 6.19%, 7.16%, and 7.90%. These data are calculated based on the relationship between temperature and viscosity.
A comprehensive analysis of the viscosity–temperature curves of warm-mix anti-rutting composite-modified asphalt reveals the following: The addition of warm-mix agent can reduce the viscosity of modified asphalt. After the addition of warm-mix agent (≤3%), the mixing and compaction temperatures obtained from the viscosity–temperature curve generally decrease by 6% to 8%. It can be seen that as the amount of warm-mix agent increases, and the mixing and compaction temperatures obtained from the composite-modified asphalt viscosity–temperature curve both show a decrease, but the degree of decrease is not significant. At the same time, some studies have shown that there is a difference between the mixing and compaction temperatures of the anti-rutting asphalt mixture calculated based on the viscosity–temperature curve and those used in actual engineering applications. Therefore, a viscosity–temperature curve is used to determine the mixing, and the compaction temperatures of the warm-mix anti-rutting composite-modified asphalt mixture are in urgent need of validation.

4. Compaction Characterization of Warm-Mix Anti-Rutting Asphalt Mixture

To further study the compaction characteristics of warm-mix anti-rutting asphalt mixture, we selected a warm-mix anti-rutting asphalt mixture with different warm-mix-agent contents to carry out a continuous variable-temperature Marshall compaction test. The voids of warm-mix anti-rutting asphalt mixture with different warm-mix-agent contents at different compaction temperatures by saturated surface-dry method and CT scanning were obtained. Voids–compaction temperature curves were plotted and fitted. The equal voids method was used, with the temperature corresponding to 4% voids determining the compaction temperature of the warm-mix anti-rutting asphalt mixture. We ensured that the anti-rutting agent dosage was consistent with the viscosity–temperature curve at 6%, and the warm-mix agent was also used at four different contents of 0%, 1%, 2%, and 3%. Then, the viscosity–temperature curve method and the compaction test equal voids method were compared and analyzed to propose a compaction evaluation method suitable for warm-mix anti-rutting composite-modified asphalt mixture. This provides a reference for the design and construction of warm-mix anti-rutting asphalt mixtures.

4.1. Compaction Analysis Based on the Saturated Surface-Dry Method

The variable temperature compaction test can determine the compaction temperature of warm-mix anti-rutting asphalt mixture by studying the relationship between temperature change and the voids of the asphalt mixture specimen, so as to further study the effect of warm-mix agent on the compaction characteristics of anti-rutting asphalt mixture. The Marshall test determined that when the anti-rutting agent content is 6%, and the warm-mix agent content is 0%, 1%, 2%, and 3%, the optimal asphalt–aggregate ratios for the warm-mix anti-rutting asphalt mixtures are 4.46%, 4.39%, 4.36%, and 4.34%.
Based on the determined the optimal asphalt–aggregate ratios, the continuous variable temperature compaction test was conducted. After the specimens were compacted, they were demolded after standing for 24 h, and all standard Marshall specimens conducted at different temperatures were placed in a storage box for subsequent tests, as shown in Figure 6.
The saturated surface-dry method calculates the bulk density of an asphalt mixture by measuring the mass of the specimen in air, the mass in water, and the surface-dry mass. The asphalt-mixture voids are then calculated in conjunction with the maximum theoretical density of the asphalt mixture. The voids fraction, VV, is calculated according to the following formula:
γ f = m a m f m w
γ t = 100 + P a i 100 γ s e + P a i γ b
V V = 1 γ f γ t × 100
where γf is the bulk specific gravity of the Marshall specimen at 25 °C, ma is the mass of the dry Marshall specimen in air, mf is the surface-dry mass of the Marshall specimen, mw is the mass of the Marshall specimen in water, γt is the maximum theoretical specific gravity of the Marshall specimen, Pai is the asphalt-to-aggregate ratio used, γse is the effective specific gravity of the aggregate used for forming the specimen, and γb is the specific gravity of the asphalt used.
Through experiments and calculations, the final voids data of the anti-rutting asphalt mixture with different Sasobit warm-mix-agent contents were obtained, as shown in Table 7.
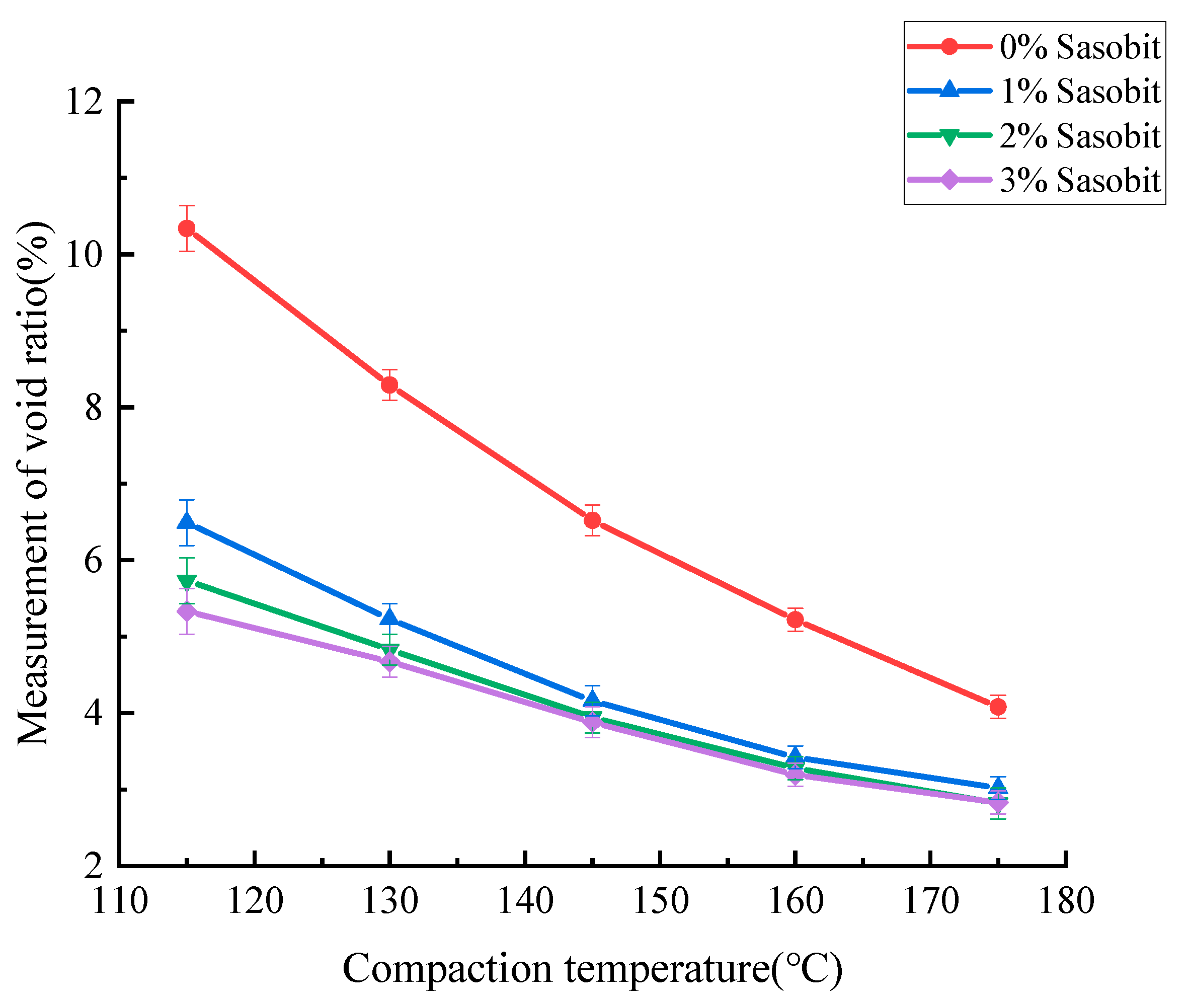
Based on the data from Table 7, the measured voids of the warm-mix anti-rutting asphalt mixture are fitted, as shown in Figure 7.
Using the 4% voids of hot-mixed asphalt mixture Marshall specimens as a standard, when the target voids for anti-rutting asphalt mixture is set to 4%, based on the principle of equal voids, the 4% target voids is substituted into the fitting equation of the measured voids–compaction temperature for the warm-mix anti-rutting asphalt mixture with different warm-mix agent contents:
0 s : y = 61.4903     exp 0.01992     x + 2.0494 R 2 = 0.99932
1 s : y = 54.0865     exp 0.02160     x + 1.6987 R 2 = 0.99994
2 s : y = 37.4936     exp 0.01902     x + 1.3488 R 2 = 0.99497
3 s : y = 33.6995     exp 0.01951     x + 1.5249 R 2 = 0.99439
The compaction temperatures for the warm-mix anti-rutting asphalt mixture with 0%, 1%, 2%, and 3% warm-mix-agent contents are 173.23 °C, 146.16 °C, 139.28 °C, and 133.84 °C. Compared with the anti-rutting asphalt mixture without the addition of warm-mix agent, the compaction temperatures decreased by 27.04 °C, 33.92 °C, and 39.36 °C. The percentage decreases are 15.6%, 19.6%, and 22.7%. It is evident that the warm-mix agent has a significant improving effect on the compaction characteristics of the anti-rutting asphalt mixture.

4.2. Compaction Analysis Based on CT Scans

There is a certain experimental error in measuring the voids of the warm-mix anti-rutting asphalt mixture by the saturated surface-dry method, because the Marshall specimens have closed voids. During the saturated surface-dry method test, it is difficult for water to fill all the voids in the specimen, making it difficult to accurately reflect the true distribution of the internal voids in the asphalt mixture.
CT scanning technology has significant importance in the study of asphalt mixtures. It uses an X-ray source to scan and reconstruct images of the object being tested in a non-destructive state, the scanning principle is shown in Figure 8. It can obtain continuous cross-sectional images of the microstructure of the asphalt mixture, reflecting its two-dimensional distribution characteristics, providing real and accurate digital images for the study. Therefore, the voids of the asphalt-mixture specimens obtained through CT scanning technology are more accurate than the results obtained by the saturated surface-dry method.
The following is a description of CT scans based on research needs:
Specimen specifications: Cylindrical Marshall specimens with a diameter of 100 mm and a height of 63.5 mm.
Experimental purpose: To scan and obtain cross-sectional images of the specimens and to calculate the voids of the specimens using software.
Scanning plan: Four specimens were selected for scanning from each group of variables, totaling 80 specimens. Cross-sectional images at 7 mm, 17 mm, 27 mm, 37 mm, 47 mm, and 57 mm from the height direction of each specimen were taken as the research objects, as shown in Figure 9. The specimen scanning process is shown in Figure 10.
Specimens are scanned using a CT test machine (YXLON, Hamburg, Germany), capturing cross-sectional images with a pixel size of 1028 × 1028. The cross-sectional images are then enhanced using the Avizo 3D software (2017.2), shown in Figure 11.
Following enhancement, the images were imported into Image-Pro Plus (v.7.0) for binarization processing. Some of the processed images are shown in Figure 12.
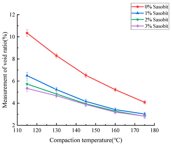
Extract each void (voids are the black shadow parts) from the images that have been binarized and export the data. The selected cross-section voids of each specimen were calculated, finally taking the average value of parallel specimens to obtain the average voids under different compaction temperatures and warm-mix-agent dosages. The final results are shown in Table 8.
Based on the data from Table 8, the measured voids of the warm-mix anti-rutting asphalt mixture are fitted, as shown in Figure 13.
Similarly, using the 4% voids of hot-mixed asphalt-mixture Marshall specimens as a reference, based on the principle of equal voids, the target voids of 4% is substituted into the calculated voids–compaction temperature-fitting equation for the warm-mix anti-rutting asphalt mixture with different warm-mix-agent contents:
0 s : y = 55.4561     exp 0.01408     x 0.6323 R 2 = 0.99985
1 s : y = 59.4443     exp 0.02179     x + 1.6627 R 2 = 0.99851
2 s : y = 27.1924     exp 0.01470     x + 0.7401 R 2 = 0.99828
3 s : y = 17.8354     exp 0.00951     x 0.6046 R 2 = 0.99439
When adding 0%, 1%, 2%, and 3% warm-mix agent, the compaction temperatures for the warm-mix anti-rutting asphalt mixture are 176.32 °C, 148.51 °C, 144.30 °C, and 142.39 °C. Compared with the anti-rutting asphalt mixture without the addition of warm-mix agent, the addition of 1% warm-mix agent reduced the compaction temperature by 27.81 °C, 2% reduced it by 32.02 °C, and 3% reduced it by 33.93 °C. The compaction temperatures decreased by 15.8%, 18.2%, and 19.2%. This further indicates that the addition of a warm-mix agent has a significant effect on the compaction characteristics of the anti-rutting asphalt mixture, causing them to improve.

4.3. Comparison of Results

By comparison, it was found that there is a certain difference between the compaction temperature determined by the saturated surface-dry method and that obtained by CT industrial scanning of the specimens, this shows the difference between measured and calculated voids for warm-mix anti-rutting asphalt mixture. The compaction temperatures determined by the viscosity–temperature curve method, the saturated surface-dry method for measuring voids, and the CT scanning for calculating voids are summarized in Table 9. The anti-rutting agent content in all cases is 6%.
As can be seen from Table 9, when the warm-mix-agent content is 0%, the compaction temperatures determined by different methods are essentially consistent. As the content of Sasobit warm-mix agent increases, there are significant differences in the compaction temperatures determined by different methods. When the warm-mix-agent content is 1%, the compaction temperatures obtained by the saturated surface-dry method and the CT scanning method are reduced by 13.5% and 12.1%, compared to the viscosity–temperature curve method; when the warm-mix-agent content is 2%, the compaction temperatures obtained by the saturated surface-dry method and the CT scanning method are reduced by 17.2% and 14.2%, compared to the viscosity–temperature curve method; and when the warm-mix-agent content is 3%, the compaction temperatures obtained by the saturated surface-dry method and the CT scanning method are reduced by 19.8% and 14.7%, compared to the viscosity–temperature curve method. It can be seen that the compaction temperatures determined by the asphalt-mixture equal voids method are significantly lower than those obtained by the viscosity–temperature curve method.
Based on the compaction temperature determined by the equal voids method from the continuous compaction test, the rutting test, uniaxial penetration test, and Marshall immersion test for the warm-mix anti-rutting asphalt mixture were conducted; the test results are shown in Table 10.
The above road performance test results comply with the requirements of the specification JTG F40-2004. It is indicated that the compaction temperature for the warm-mix anti-rutting-modified asphalt mixture determined by the voids–compaction temperature curve complies with the actual construction requirements.
Using the viscosity–temperature curve method for asphalt materials cannot accurately reflect the effect of warm-mix agent on the compaction characteristics of anti-rutting asphalt mixture. This is because warm-mix anti-rutting asphalt is more complex compared to base asphalt. Base asphalt has a single composition, stable properties, and its viscosity changes consistently with temperature. Meanwhile, the addition of a warm-mix agent and an anti-rutting agent in asphalt leads to a complex and diverse composition: the warm-mix agent will interact with asphalt, resulting in a decrease in asphalt intermolecular adsorption, and the anti-rutting agent mixed with asphalt will increase the degree of cross-linking and aggregation between asphalt molecules, thus causing the viscosity to change abnormally with temperature. Therefore, it is recommended that the compaction temperature of the warm-mix rutting-resistant composite-modified asphalt mixture be determined by the equal voids method through continuous variable-temperature compaction tests.

5. Conclusions

Through experimental research on the compaction characteristics of warm-mix anti-rutting asphalt mixtures, the compaction temperatures of the warm-mix anti-rutting asphalt mixtures were determined using the viscosity–temperature curve of asphalt material and the voids–temperature curves of asphalt mixtures through saturated surface-dry and CT scanning and comparatively studied. The main conclusions are as follows:
(1)
Based on the softening point and viscosity, the optimal dosage of the anti-rutting agent was determined to be 6% of the asphalt weight. AC-20 dense-graded asphalt mixtures were designed and prepared with 6% anti-rutting agent and four levels of warm-mix-agent contents (0%, 1%, 2%, and 3%).
(2)
The compaction temperature was determined from the viscosity–temperature curve. When the content of the warm-mix agent increased from 0% to 3%, the mixing and compaction temperatures of the warm-mix anti-rutting composite-modified asphalt mixture only decreased by 7.72% and 7.90%, whereas in the continuous temperature compaction test, as the content of the warm-mix agent increased from 0% to 3%, the compaction temperatures determined by the voids–temperature curves based on saturated surface-dry and CT scanning were fundamentally decreased by 22.7% and 19.2%, respectively, much more significant compared to the viscosity–temperature curve.
(3)
Based on the compaction temperature determined by the equal voids method from the continuous compaction test, the compaction characteristics of warm-mix anti-rutting asphalt mixture was evaluated via a rutting test and a uniaxial penetration test, and the results showed that when the content of the warm-mix agent increased from 0% to 3%, the dynamic stability was improved by 9%, and the shear strength was increased by 29.1%.
(4)
The additions of a warm-mix agent and an anti-rutting agent to asphalt lead to a complex and diverse composition, thus causing the viscosity to change abnormally with temperature. Therefore, the viscosity–temperature curve is no longer applicable to determine the compaction temperature of a warm-mix anti-rutting-modified asphalt mixture. It is recommended to use a voids–compaction temperature curve, either from saturated surface-dry or CT scanning, to determine the compaction temperature of the warm-mix anti-rutting composite-modified asphalt mixture.
In this study, the effect of compaction temperature on voids was visually analyzed using CT scanning. Image processing was performed to identify voids. However, voids smaller than the resolution of the CT scanner and consideration of all cross-sections of the specimen are important and should not be ignored; this will be the focus of our research in future work.

Author Contributions

Z.L. (Zhaohui Liu), investigation, formal analysis, methodology, and funding acquisition; Z.L. (Zebin Liu), laboratory test, investigation, data curation, and writing—original draft; Y.H., conceptualization, supervision, funding acquisition, and writing—review and editing; Y.C., laboratory test and data curation. All authors have read and agreed to the published version of the manuscript.

Funding

This work was supported by National Natural Science Foundation of China (52278437); Science and Technology Innovation Program of Hunan Provincial Department of Transportation (202236); and Open Fund of Engineering Research Center of Catastrophic Prophylaxis and Treatment of Road & Traffic Safety of Ministry of Education (Changsha University of Science & Technology) (kfj210401).

Institutional Review Board Statement

Not applicable.

Informed Consent Statement

Not applicable.

Data Availability Statement

The raw data supporting the conclusions of this article will be made available by the authors on request.

Conflicts of Interest

Author Yue Cao was employed by the company China Communications Construction Co., LTD. The remaining authors declare that the re-search was conducted in the absence of any commercial or financial relationships that could be construed as a potential conflict of interest.

References

  1. Xu, P.; Zhu, X.; Yao, D.; Shi, C.; Qian, G.; Yu, H. A review of intelligent detection and decision making for asphalt pavement maintenance. J. Cent. South Univ. (Nat. Sci. Ed.) 2021, 52, 2099–2117. [Google Scholar]
  2. Li, N.; Li, B.; Chen, C.; Yin, L.; Zhan, H. Evaluation of high temperature performance of highway foam warm mix asphalt mixtures. New Build. Mater. 2021, 48, 36–41. [Google Scholar]
  3. Ma, F.; Yuan, K.; Fu, Z.; Dai, S.; Guo, X. Effect of different warm mixes on road performance of asphalt mixtures. J. Hefei Univ. Technol. (Nat. Sci. Ed.) 2021, 44, 1500–1505. [Google Scholar]
  4. Li, Q.; Meng, Y.; Li, N.; Li, G.; Wang, J. Characterization of fatigue performance of the warm-mix recycled asphalt mixture using different models. Fatigue Fract. Eng. Mater. Struct. 2022, 45, 770–782. [Google Scholar] [CrossRef]
  5. Ma, T.; Wang, H.; Zhao, Y.; Huang, X.; Wang, S. Laboratory investigation of crumb rubber modified asphalt binder and mixtures with warm-mix additives. Int. J. Civ. Eng. 2017, 15, 185–194. [Google Scholar] [CrossRef]
  6. Zelelew, H.; Paugh, C.; Corrigan, M.; Belagutti, S.; Ramakrishnareddy, J. Laboratory evaluation of the mechanical properties of plant-produced warm-mix asphalt mixtures. Road Mater. Pavement Des. 2013, 14, 49–70. [Google Scholar] [CrossRef]
  7. Shi, Y.; Li, W.; Shao, J.; Liu, X. Study on the road performance of reduced viscosity warm mix asphalt mixtures. Transp. Sci. Eng. 2022, 38, 11–18. [Google Scholar]
  8. Li, Y. Study on road performance of warm-mix recycled SBS-modified asphalt mixtures. Synth. Mater. Ageing Appl. 2023, 52, 68–71. [Google Scholar]
  9. Zhou, Q.; Wu, X.; Yang, B. Analysis of the effect of warm mix on the road performance of rubber asphalt and asphalt mixtures. J. China Foreign Highw. 2016, 36, 302–306. [Google Scholar]
  10. Wang, W. Rheological properties of warm mix rutting resistant agent modified asphalt. J. Beijing Univ. Technol. 2022, 48, 129–136. [Google Scholar]
  11. JTG E20-2011; Standard Test Methods of Bitumen and Bituminous Mixtures for Highway Engineering. Ministry of Transportation: Beijing, China, 2011.
  12. JTG F40-2004; Technical Specifications for Construction of Highway Asphalt Pavements. Ministry of Communications: Beijing, China, 2004.
  13. Wang, C.; Hao, P. Method of determining the mixing and compaction temperature of modified asphalt mixtures. Highway 2020, 65, 32–36. [Google Scholar]
  14. Zhang, C. Design and Performance Evaluation of BRA and BRA Composite SBS Modified Warm Mix Asphalt Mixture Mixing Ratio. New Build. Mater. 2019, 46, 144–149. [Google Scholar]
  15. Zhang, L.; Shan, M.; Xing, C.; Cui, Y.; Wang, P.; Liu, M. Mechanism of physical hardening on the fracture characteristics of polymer-modified asphalt binder. Constr. Build. Mater. 2023, 409, 134091. [Google Scholar] [CrossRef]
  16. Hou, X. Effect of Sasobit on compaction characteristics and road performance of high modulus asphalt mixtures. Road Constr. 2017, 42, 291–295+308. [Google Scholar]
  17. Gong, Y.; Bi, H.; Liang, C.; Wang, S. Microstructure analysis of modified asphalt mixtures under freeze-thaw cycles based on CT scanning technology. Appl. Sci. 2018, 8, 2191. [Google Scholar] [CrossRef]
  18. Du, Z.; Yuan, J.; Zhou, Q.; Hettiarachchi, C.; Xiao, F. Laboratory application of imaging technology on pavement material analysis in multiple scales: A review. Constr. Build. Mater. 2021, 304, 124619. [Google Scholar] [CrossRef]
  19. Liu, J.; Wang, Y.; Wang, S.; Liu, Q.; Yu, B.; Wang, Q. Use of X-ray computed tomography to evaluate the gradual behaviour of air voids in asphalt mixtures during permanent deformation. Int. J. Pavement Eng. 2023, 24, 2134570. [Google Scholar] [CrossRef]
  20. Hu, J.; Qian, Z.; Wang, D.; Oeser, M. Influence of aggregate particles on mastic and air-voids in asphalt concrete. Constr. Build. Mater. 2015, 93, 1–9. [Google Scholar] [CrossRef]
  21. Xu, H.; Li, H.; Tan, Y.; Wang, L.; Hou, Y. A micro-scale investigation on the behaviors of asphalt mixtures under freeze-thaw cycles using entropy theory and a computerized tomography scanning technique. Entropy 2018, 20, 68. [Google Scholar] [CrossRef]
  22. Wang, H.; Zhang, R.; Chen, Y.; You, Z.; Fang, J. Study on microstructure of rubberized recycled hot mix asphalt based X-ray CT technology. Constr. Build. Mater. 2016, 121, 177–184. [Google Scholar] [CrossRef]
  23. Xu, G.; Chen, X.; Cai, X.; Yu, Y.; Yang, J. Characterization of three-dimensional internal structure evolution in asphalt mixtures during freeze–thaw cycles. Appl. Sci. 2021, 11, 4316. [Google Scholar] [CrossRef]
  24. Shu, L.H.; Ni, F.J.; Jiang, J.W.; Zhao, Z.L.; Guo, Z.Y. Calculation and characterization of air void in mortar of the hot mix asphalt (HMA) based on CT scanning and image analysis methods. Appl. Sci. 2023, 13, 652. [Google Scholar] [CrossRef]
Figure 1. Sasobit warm-mix agent.
Figure 1. Sasobit warm-mix agent.
Applsci 14 11042 g001
Figure 2. NTZN-9000 high-grade anti-rutting agent.
Figure 2. NTZN-9000 high-grade anti-rutting agent.
Applsci 14 11042 g002
Figure 3. Warm-mix anti-rutting asphalt mixture’s preparation process.
Figure 3. Warm-mix anti-rutting asphalt mixture’s preparation process.
Applsci 14 11042 g003
Figure 4. Gradation curve for AC-20 asphalt mixture.
Figure 4. Gradation curve for AC-20 asphalt mixture.
Applsci 14 11042 g004
Figure 5. Viscosity–temperature curves of modified asphalt at 6% anti-rutting agent.
Figure 5. Viscosity–temperature curves of modified asphalt at 6% anti-rutting agent.
Applsci 14 11042 g005
Figure 6. Molded Marshall specimens.
Figure 6. Molded Marshall specimens.
Applsci 14 11042 g006
Figure 7. Measured voids–compaction temperature curve of warm-mix anti-rutting asphalt mixture.
Figure 7. Measured voids–compaction temperature curve of warm-mix anti-rutting asphalt mixture.
Applsci 14 11042 g007
Figure 8. X-ray tomography schematic.
Figure 8. X-ray tomography schematic.
Applsci 14 11042 g008
Figure 9. Section selection drawing.
Figure 9. Section selection drawing.
Applsci 14 11042 g009
Figure 10. Diagram of the CT scan site process.
Figure 10. Diagram of the CT scan site process.
Applsci 14 11042 g010
Figure 11. Process of image enhancement at 115 °C with different warm-mix dosages: (a) 0% warm-mix agent, (b) 1% warm-mix agent, (c) 2% warm-mix agent, and (d) 3% warm-mix agent.
Figure 11. Process of image enhancement at 115 °C with different warm-mix dosages: (a) 0% warm-mix agent, (b) 1% warm-mix agent, (c) 2% warm-mix agent, and (d) 3% warm-mix agent.
Applsci 14 11042 g011
Figure 12. Binarization image at 115 °C with different warm-mix-agent dosage: (a) 0% warm-mix agent, (b) 1% warm-mix agent, (c) 2% warm-mix agent, and (d) 3% warm-mix agent.
Figure 12. Binarization image at 115 °C with different warm-mix-agent dosage: (a) 0% warm-mix agent, (b) 1% warm-mix agent, (c) 2% warm-mix agent, and (d) 3% warm-mix agent.
Applsci 14 11042 g012
Figure 13. Calculation of voids–compaction temperature curves for warm-mix anti-rutting asphalt mixture.
Figure 13. Calculation of voids–compaction temperature curves for warm-mix anti-rutting asphalt mixture.
Applsci 14 11042 g013
Table 1. Matrix asphalt technical index.
Table 1. Matrix asphalt technical index.
Technical IndicatorsUnit (of Measure)Test ValueTechnical RequirementTest Methods
Penetration (25 °C, 100 g, 5 s)0.1mm7260–80T 0604
Softening point (ring and ball method) °C°C49≥45T 0606
Ductility 15 °Ccm>100≥100T 0605
Ductility 10 °Ccm29.1≥14T 0605
Density (15 °C)g/cm31.031——T 0603
Flash point (COC)°C276≥260T 0611
Brookfield viscosity (135 °C)Pa.s0.453——T 0625
Residue mass change after TFOT (163 °C, 5 h)
Quality change%0.13≤±0.8T 0609
Penetration ratio%67≥61T 0604
Ductility 10 °Ccm12≥6T 0605
Table 2. Basic parameters of NTZN-9000 high-grade anti-rutting agent(JSTI GROUP, Nanjing, China).
Table 2. Basic parameters of NTZN-9000 high-grade anti-rutting agent(JSTI GROUP, Nanjing, China).
Technical IndicatorsUnit (of Measure)Measured Value
Polyolefin content%≥90
Ash content%≤10
Densityg/cm30.91–0.98
Tensile strengthMPa≥12
Particle sizemm≤4
Melting point°C135–155
Melt indexg/10min1–4
Elongation%≥300
Table 3. Softening-point test results of warm-mix anti-rutting asphalt (°C).
Table 3. Softening-point test results of warm-mix anti-rutting asphalt (°C).
Anti-Rutting AgentSoftening Point
1% Sasobit Warm-Mix Agent2% Sasobit Warm-Mix Agent3% Sasobit Warm-Mix Agent
4%63.872.475
5%66.673.578.2
6%72.380.383.2
7%74.683.885.6
Table 4. Warm-mix anti-rutting asphalt viscosity test results (135 °C, Pa.s).
Table 4. Warm-mix anti-rutting asphalt viscosity test results (135 °C, Pa.s).
Anti-Rutting AgentViscosity
1% Sasobit Warm-Mix Agent2% Sasobit Warm-Mix Agent3% Sasobit Warm-Mix Agent
4%1.0670.9830.889
5%1.2581.1801.112
6%1.4321.2761.188
7%1.5481.3511.234
Table 5. Results of bending tests with different anti-rutting agent (με).
Table 5. Results of bending tests with different anti-rutting agent (με).
Anti-Rutting AgentMaximum Flexural–Tensile Strain
4%2508.45
5%2384.37
6%2160.96
7%1696.39
Table 6. Viscosity of modified asphalt under 6% anti-rutting agent (Pa·s).
Table 6. Viscosity of modified asphalt under 6% anti-rutting agent (Pa·s).
Test Temperature (°C)0% Sasobit Warm-Mix Agent1% Sasobit Warm-Mix Agent2% Sasobit Warm-Mix Agent3% Sasobit Warm-Mix Agent
1155.3154.6624.4504.228
1351.9171.4321.2761.188
1550.6850.3470.3240.308
1750.2350.1550.1440.132
Table 7. Measured voids of anti-rutting asphalt mixture under different warm-mix agents (%).
Table 7. Measured voids of anti-rutting asphalt mixture under different warm-mix agents (%).
Compaction Temperature (°C)0% Sasobit Warm-Mix Agent1% Sasobit Warm-Mix Agent2% Sasobit Warm-Mix Agent3% Sasobit Warm-Mix Agent
1158.2495.8955.5505.086
1307.6315.1604.5064.119
1455.9284.6964.3123.229
1604.9643.9253.5122.958
1754.1163.3422.8582.301
Table 8. Calculated voids of anti-rutting asphalt mixture under different warm-mix agents (%).
Table 8. Calculated voids of anti-rutting asphalt mixture under different warm-mix agents (%).
Compaction Temperature (°C)0% Sasobit Warm-Mix Agent1% Sasobit Warm-Mix Agent2% Sasobit Warm-Mix Agent3% Sasobit Warm-Mix Agent
11510.346.495.735.33
1308.295.234.834.67
1456.524.163.943.88
1605.223.423.283.19
1754.083.022.852.83
Table 9. Compaction temperature (°C) of warm-mix anti-rutting asphalt mixture determined using different methods.
Table 9. Compaction temperature (°C) of warm-mix anti-rutting asphalt mixture determined using different methods.
Sasobit Warm-Mix Agent Viscosity Temperature CurveSaturated Surface-DryIndustrial CT
0%180.88173.23176.32
1%168.96146.16148.51
2%168.18139.28144.30
3%166.92133.84142.39
Table 10. Road performance test results.
Table 10. Road performance test results.
Sasobit Warm-Mix Agent Dynamic Stability (times/mm)Shear Strength (MPa)Residual Stability of Specimens in Water (%)
0%94053.53693.57
1%97503.80894.77
2%99624.30196.31
3%102734.56696.16
Disclaimer/Publisher’s Note: The statements, opinions and data contained in all publications are solely those of the individual author(s) and contributor(s) and not of MDPI and/or the editor(s). MDPI and/or the editor(s) disclaim responsibility for any injury to people or property resulting from any ideas, methods, instructions or products referred to in the content.

Share and Cite

MDPI and ACS Style

Liu, Z.; Liu, Z.; Huang, Y.; Cao, Y. Determining the Compaction Temperature of Warm-Mix Anti-Rutting Asphalt Mixture. Appl. Sci. 2024, 14, 11042. https://doi.org/10.3390/app142311042

AMA Style

Liu Z, Liu Z, Huang Y, Cao Y. Determining the Compaction Temperature of Warm-Mix Anti-Rutting Asphalt Mixture. Applied Sciences. 2024; 14(23):11042. https://doi.org/10.3390/app142311042

Chicago/Turabian Style

Liu, Zhaohui, Zebin Liu, You Huang, and Yue Cao. 2024. "Determining the Compaction Temperature of Warm-Mix Anti-Rutting Asphalt Mixture" Applied Sciences 14, no. 23: 11042. https://doi.org/10.3390/app142311042

APA Style

Liu, Z., Liu, Z., Huang, Y., & Cao, Y. (2024). Determining the Compaction Temperature of Warm-Mix Anti-Rutting Asphalt Mixture. Applied Sciences, 14(23), 11042. https://doi.org/10.3390/app142311042

Note that from the first issue of 2016, this journal uses article numbers instead of page numbers. See further details here.

Article Metrics

Back to TopTop