Miniaturized Arrow-Shaped Flexible Filter-Embedded Antenna for Industrial and Medical Applications
Abstract
1. Introduction
- The proposed antenna consists of simple configurations that significantly reduce the fabrication errors for massive production.
- Compact size and high gain as compared with related products make it a strong candidate for targeted applications.
- Stable performance is achieved in both rigid and conformal scenarios.
- Along with confirmability, the proposed antenna offers filtering properties that are validated using measured results.
2. Filtering Antenna Design and Analysis
2.1. Antenna Design
2.2. Filtenna Design
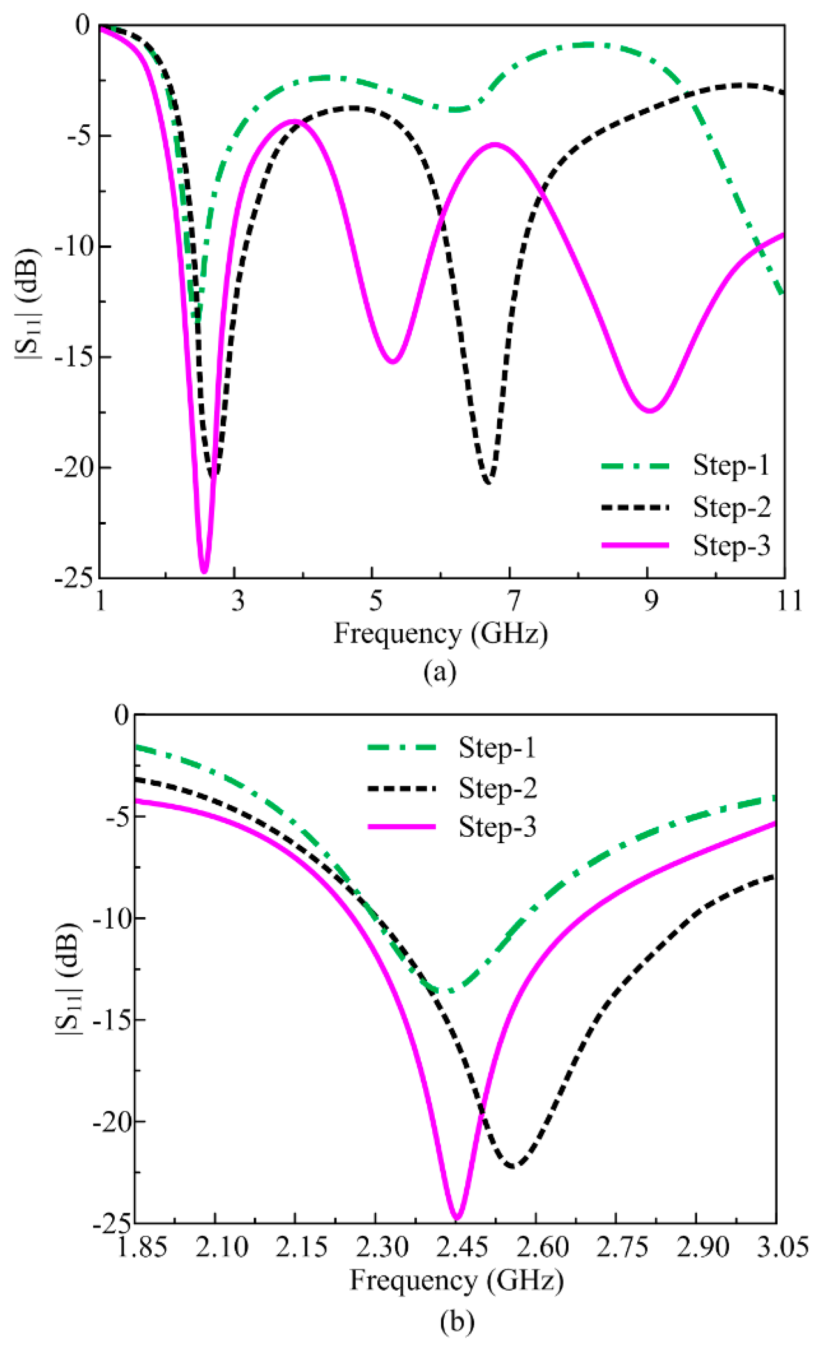
2.3. Parametric Analysis
3. Experimental Results
3.1. |S11|
3.2. Radiation Pattern and Surface Current Distribution
3.3. Gain and Efficiency
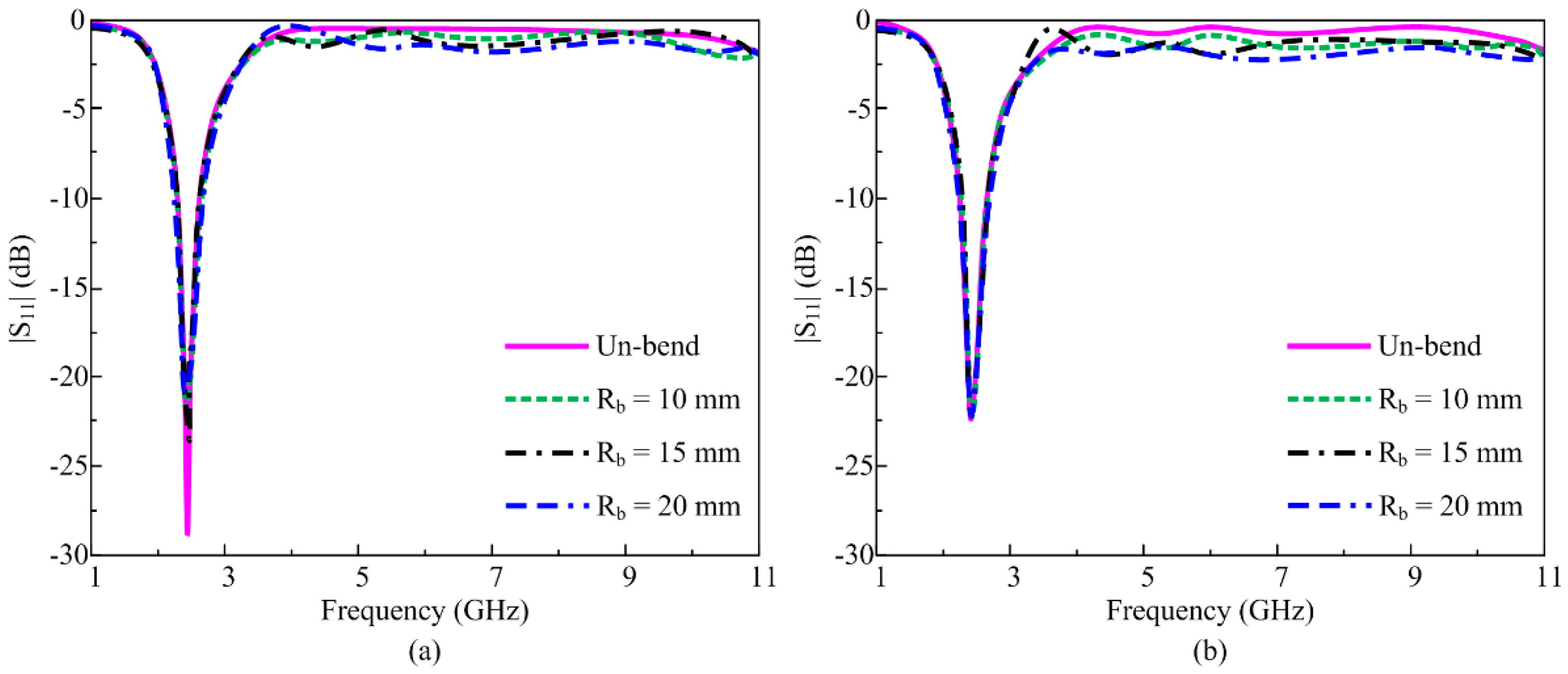
3.4. Conformal Analysis
4. Performance Comparison
5. Conclusions
Author Contributions
Funding
Institutional Review Board Statement
Informed Consent Statement
Data Availability Statement
Conflicts of Interest
References
- Khaleel, H. Innovation in Wearable and Flexible Antennas; Wit Press: Boston, MA, USA, 2014. [Google Scholar]
- Al-Haddad, M.A.S.M.; Jamel, N.; Nordin, A.N. Flexible antenna: A review of design, materials, fabrication, and applications. J. Phys. Conf. Ser. 2021, 1878, 012005. [Google Scholar] [CrossRef]
- Hu, F.; Qiu, L.; Zhou, H. Medical Device Product Innovation Choices in Asia: An Empirical Analysis Based on Product Space. Front. Public Health 2022, 10, 871575. [Google Scholar] [CrossRef]
- Zhang, L.; Kou, H.; Pang, Y.; Yang, L.; Zhang, X.; Shang, Z.; Zhang, L. Design of Temperature-Pressure Sensor Based on Slot-Antenna CSRR Integrated for Applications in High-Temperature Environments. IEEE Sens. J. 2024, 24, 27218–27224. [Google Scholar] [CrossRef]
- El Gharbi, M.; Fernández-García, R.; Ahyoud, S.; Gil, I. A review of flexible wearable antenna sensors: Design, fabrication methods, and applications. Materials 2020, 13, 3781. [Google Scholar] [CrossRef] [PubMed]
- Ghaffar, A.; Awan, W.A.; Hussain, N.; Ahmad, S.; Li, X.J. A compact dual-band flexible antenna for applications at 900 and 2450 MHz. Prog. Electromagn. Res. Lett. 2021, 99, 83–91. [Google Scholar] [CrossRef]
- Ali, U.; Ullah, S.; Basir, A.; Kamal, B.; Matekovits, L.; Yoo, H. Design and SAR analysis of AMC-based fabric antenna for body-centric communication. IEEE Access 2023, 11, 73894–73911. [Google Scholar] [CrossRef]
- Dey, A.B.; Arif, W. On-body low-profile compact AMC-integrated wideband antenna for body area network applications. IETE Tech. Rev. 2024, 41, 133–146. [Google Scholar] [CrossRef]
- Hussain, M.; Zahra, H.; Asadnia, M.; Abbas, S.M.; Zhu, Y. PDMS based dual band flexible antenna for ISM and WLAN portable applications. In Proceedings of the 2024 4th URSI Atlantic Radio Science Meeting (AT-RASC), Gran Canaria, Spain, 26 May–1 June 2024. [Google Scholar]
- Hussain, N.; Awan, W.A.; Naqvi, S.I.; Ghaffar, A.; Zaidi, A.; Naqvi, S.A.; Iftikhar, A.; Li, X.J. A compact flexible frequency reconfigurable antenna for heterogeneous applications. IEEE Access 2020, 8, 173298–173307. [Google Scholar] [CrossRef]
- Wang, Q.; Sihvola, A.; Qi, J. A Novel Procedure to Hybridize the Folded Transmitarray and Fabry–Perot Cavity with Low Antenna Profile and Flexible Design Frequency. IEEE Antennas Wirel. Propag. Lett. 2024, 23, 2501–2505. [Google Scholar] [CrossRef]
- Wang, C.; Zhang, L.; Wu, X. A wearable flexible microstrip antenna based on the floating-ground backplane. Int. J. RF Microw. Comput. Aided Eng. 2021, 31, e22481. [Google Scholar] [CrossRef]
- Das, S.; Mitra, D. A compact wideband flexible implantable slot antenna design with enhanced gain. IEEE Trans. Antennas Propag. 2018, 66, 4309–4314. [Google Scholar] [CrossRef]
- Marasco, I.; Niro, G.; Rizzi, F.; De Vittorio, M.; D’Orazio, A.; Grande, M. Design of a PEN-based flexible PIFA antenna operating in the sub-6GHz band for 5G applications. In Proceedings of the 22nd International Conference on Transparent Optical Networks (ICTON), Bari, Italy, 19–23 July 2020; pp. 1–4. [Google Scholar]
- Awan, W.A.; Hussain, N.; Le, T.T. Ultra-thin flexible fractal antenna for 2.45 GHz application with wideband harmonic rejection. AEU-Int. J. Electron. Commun. 2019, 110, 152851. [Google Scholar] [CrossRef]
- Zha, S.; Qu, Z.; Zhang, J.; Zheng, D.; Liu, P. A Gain-Reconfigurable Reflector Antenna with Surface-Mounted Field-Induced Artificial Magnetic Conductor for Adaptive HIRF Prevention. IEEE Trans. Antennas Propag. 2024, 72, 7252–7260. [Google Scholar] [CrossRef]
- Nichita, M.V.; Paun, M.A.; Paun, V.A.; Paun, V.P. On the 5G communications: Fractal-shaped antennas for PPDR applications. Complexity 2021, 2021, 9451730. [Google Scholar] [CrossRef]
- Radonić, V.; Palmer, K.; Stojanović, G.; Crnojević-Bengin, V. Flexible Sierpinski carpet fractal antenna on a Hilbert slot patterned ground. Int. J. Antennas Propag. 2012, 2012, 980916. [Google Scholar] [CrossRef]
- Silva Junior, P.F.; Santana, E.E.; Pinto, M.S.; Freire, R.; Oliveira, M.A.; Fontgalland, G.; Silva, P.H. Flexible wearable pre-fractal antennas for personal high-temperature monitoring. Wirel. Pers. Commun. 2020, 114, 1983–1998. [Google Scholar] [CrossRef]
- Shrestha, S.; Lee, S.R.; Choi, D.Y. A new fractal-based miniaturized dual band patch antenna for RF energy harvesting. Int. J. Antennas Propag. 2014, 2014, 805052. [Google Scholar] [CrossRef]
- Shi, Y.; Fan, Y.; Jing, J.; Yang, L.; Li, Y.; Wang, M. An efficient fractal rectenna for RF energy harvest at 2.45 GHz ISM band. Int. J. RF Microw. Comput. Aided Eng. 2018, 28, e21424. [Google Scholar] [CrossRef]
- Kumar, S.B.; Singhal, P.K. RF energy harvesting using Sierpinski’s gasket fractal antenna with EBG geometry. J. Inform. Optim. Sci. 2020, 41, 99–106. [Google Scholar] [CrossRef]
- Yang, Y.; Zhang, Z.; Zhou, Y.; Wang, C.; Zhu, H. Design of a Simultaneous Information and Power Transfer System Based on a Modulating Feature of Magnetron. IEEE Trans. Microw. Theory Tech. 2023, 71, 907–915. [Google Scholar] [CrossRef]
- Yuan, Y.; Qin, G.; Li, D.; Zhong, M.; Shen, Y.; Ouyang, Y. Real-Time Joint Filtering of Gravity and Gravity Gradient Data Based on Improved Kalman Filter. IEEE Trans. Geosci. Remote Sens. 2024, 62, 5925512. [Google Scholar] [CrossRef]
- Wen, P.; Jiang, Y.; Liu, F.; Ma, Z.; Wang, Y. Direct Synthesis of Continuously Tunable Wideband Bandpass Filtering Attenuator with Multiple Transmission Zeros. IEEE Trans. Circuits Syst. II Express Briefs 2024, 71, 4346–4350. [Google Scholar] [CrossRef]
- Huang, X.; Zhou, L.; Xu, J.; Zhang, X.Y.; Mao, J. BCB-Based Thin-Film Ka-Band Quarter-Mode SIW Packaged Filters with Ultrawide Stopband and Independently Controlled TZs. IEEE Trans. Microw. Theory Tech. 2022, 70, 4389–4398. [Google Scholar] [CrossRef]
- Mao, C.X.; Zhang, Y.; Zhang, X.Y.; Xiao, P.; Wang, Y.; Gao, S. Filtering antennas: Design methods and recent developments. IEEE Microw. Mag. 2021, 22, 52–63. [Google Scholar] [CrossRef]
- Awan, W.A.; Hussain, N.; Kim, S.; Kim, N. A frequency-reconfigurable filtenna for GSM, 4G-LTE, ISM, and 5G Sub-6 GHz band applications. Sensors 2022, 22, 5558. [Google Scholar] [CrossRef]
- Sahu, B.; Singh, S.; Meshram, M.K.; Singh, S.P. Integrated design of filtering antenna with high selectivity and improved performance for L-band applications. AEU-Int. J. Electron. Commun. 2018, 97, 185–194. [Google Scholar] [CrossRef]
- Huang, X. Design of Miniaturized SIW Filter Loaded with Improved CSRR Structures. Electronics 2023, 12, 3789. [Google Scholar] [CrossRef]
- Gangwar, A.K.; Alam, M.S.; Rajpoot, V.; Ojha, A.K. Filtering antennas: A technical review. Int. J. RF Microw. Comput. Aided Eng. 2021, 31, e22717. [Google Scholar] [CrossRef]
- Mahmoud, K.R.; Montaser, A.M. Design of compact mm-wave tunable filtenna using capacitor loaded trapezoid slots in ground plane for 5G router applications. IEEE Access 2020, 8, 27715–27723. [Google Scholar] [CrossRef]
- Pal, P.; Sinha, R.; Mahto, S.K. Synthesis approach to design a compact printed monopole filtenna for 2.4 GHz Wi-Fi application. Int. J. RF Microw. Comput. Aided Eng. 2021, 31, e22733. [Google Scholar] [CrossRef]
- Chen, X.; Tang, M.-C.; Li, D.; Li, M. Flexible, bandwidth-enhanced, electrically small, electric near-field resonant parasitic antenna with filtering performance characteristics. IEEE Trans. Antennas Propag. 2022, 70, 4860–4865. [Google Scholar] [CrossRef]
- Shome, P.P.; Khan, T.; Koul, S.K.; Antar, Y.M.M. Filtenna designs for radio-frequency front-end systems: A structural-oriented review. IEEE Antennas Propag. Mag. 2020, 63, 72–84. [Google Scholar] [CrossRef]
- Munirathinam, S.; Natarajan, G. Design, fabrication, and performance analysis of corporate feed filtenna array using complementary split ring resonators. Microw. Opt. Technol. Lett. 2021, 63, 924–936. [Google Scholar] [CrossRef]
- Liu, S.; Wang, Z.; Dong, Y. A compact coupling-fed patch antenna with quasi-elliptic filtering response. IEEE Antennas Wirel. Propag. Lett. 2023, 22, 3137–3141. [Google Scholar] [CrossRef]
- Boddu, R.; Deb, A.; Roy, J.S. Design of a compact microstrip filtenna for miniaturized devices to access Internet of Things using long term evolution. Adv. Electromagn. 2023, 12, 10–16. [Google Scholar] [CrossRef]
- Tang, M.-C.; Guo, P.; Li, D.; Hu, K.-Z.; Li, M.; Ziolkowski, R.W. Vertically polarized, high-performance, electrically small monopole filtennas. IEEE Trans. Antennas Propag. 2021, 70, 1488–1493. [Google Scholar] [CrossRef]
- Ribó, M.; Cabedo-Fabrés, M.; Pradell, L.; Blanch, S.; Ferrando-Bataller, M. Multimodal planar monopole filtenna for 5G applications. AEU-Int. J. Electron. Commun. 2024, 180, 155338. [Google Scholar] [CrossRef]
- He, Q.Q.; Zhou, P.; Li, D.; Tang, M.C.; Wu, Z.; Yi, D.; Li, M. A compact, uniplanar, wideband, differential-fed transparent filtenna. IEEE Antennas Wirel. Propag. Lett. 2022, 21, 735–739. [Google Scholar] [CrossRef]
- Inclán-Sánchez, L. Inverted microstrip gap waveguide filtering antenna based on coplanar EBG resonators. Sensors 2022, 23, 282. [Google Scholar] [CrossRef]
- Lin, X.C.; Wang, L.T.; Sun, J.S. Harmonic suppression by photonic bandgap on CPW-fed loop-slot antenna. Microw. Opt. Technol. Lett. 2004, 41, 154–156. [Google Scholar] [CrossRef]
- Kumar Ghosh, C. Harmonics suppression of microstrip antenna using open-ended stubs. Microw. Opt. Technol. Lett. 2016, 58, 1340–1345. [Google Scholar] [CrossRef]
- Batista, F.F.; de Souza, L.L.; da Silva, J.P.F.; da Fonseca Silva, P.H.; de Oliveira, M.A.; Fontgalland, G. Harmonic suppression in microstrip patch antenna using spur-line filter. In Proceedings of the SBMO/IEEE MTT-S International Microwave and Optoelectronics Conference (IMOC), Águas de Lindóia, Brazil, 27–30 August 2017; pp. 1–5. [Google Scholar]
- Gas, P. Optimization of Multi-Slot Coaxial Antennas for Microwave Thermotherapy Based on the S11-Parameter Analysis. Biocybern. Biomed. Eng. 2017, 37, 78–93. [Google Scholar]
- Balanis, C.A. Antenna Theory: Analysis and Design; John Wiley & Sons: Hoboken, NJ, USA, 2016. [Google Scholar]

















| Prototype | Size (mm × mm) | Bandwidth (GHz) | Harmonics (GHz) | Filtering Bandwidth (GHz) |
|---|---|---|---|---|
| Step 1 | 30 × 35 | 2.35–2.47 | 10.7–11.3 | No |
| Step 2 | 25 × 33 | 2.4–2.8 | 6.2–7.4 | No |
| Step 3 | 23 × 30 | 2.3–2.75 | 5–5.5/8.2–10.2 | No |
| Proposed | 23 × 30 | 2.276–2.75 | No | 3–11 |
| Ref. | Electrical Size (mm2) | Bandwidth (GHz) | Gain (dBi) | Conformability | Filtering |
|---|---|---|---|---|---|
| [15] | 32 × 27 | 2.27–2.72 | 2.25 | × | ✓ |
| [19] | 50 × 78 | 2.5–2.7 | – | × | × |
| [20] | 46.67 × 53 | 2.45–2.48 | – | × | × |
| [21] | 48 × 48 | 2.3–2.6 | 3.5 | × | × |
| [28] | 32 × 25 | 1.6–3.8 | 3 | × | ✓ |
| [37] | 40 × 40 | 2.55–2.66 | 1.9 | × | ✓ |
| [41] | 35 × 46 | 3–4 | 1.88 | × | ✓ |
| [42] | 50 × 100 | 9.8–10.6 | 2.1 | × | ✓ |
| [43] | 40 × 21.5 | 1.5–2.8 | 2.7 | × | ✓ |
| [44] | 25 × 38 | 5–5.2 | 2.3 | ✓ | ✓ |
| Proposed | 23 × 30 | 2.276–2.75 | 2.9 | ✓ | ✓ |
Disclaimer/Publisher’s Note: The statements, opinions and data contained in all publications are solely those of the individual author(s) and contributor(s) and not of MDPI and/or the editor(s). MDPI and/or the editor(s) disclaim responsibility for any injury to people or property resulting from any ideas, methods, instructions or products referred to in the content. |
© 2024 by the authors. Licensee MDPI, Basel, Switzerland. This article is an open access article distributed under the terms and conditions of the Creative Commons Attribution (CC BY) license (https://creativecommons.org/licenses/by/4.0/).
Share and Cite
Hussain, M.; Abbas, A.; Awan, W.A.; Naqvi, S.I. Miniaturized Arrow-Shaped Flexible Filter-Embedded Antenna for Industrial and Medical Applications. Appl. Sci. 2024, 14, 11004. https://doi.org/10.3390/app142311004
Hussain M, Abbas A, Awan WA, Naqvi SI. Miniaturized Arrow-Shaped Flexible Filter-Embedded Antenna for Industrial and Medical Applications. Applied Sciences. 2024; 14(23):11004. https://doi.org/10.3390/app142311004
Chicago/Turabian StyleHussain, Musa, Anees Abbas, Wahaj Abbas Awan, and Syeda Iffat Naqvi. 2024. "Miniaturized Arrow-Shaped Flexible Filter-Embedded Antenna for Industrial and Medical Applications" Applied Sciences 14, no. 23: 11004. https://doi.org/10.3390/app142311004
APA StyleHussain, M., Abbas, A., Awan, W. A., & Naqvi, S. I. (2024). Miniaturized Arrow-Shaped Flexible Filter-Embedded Antenna for Industrial and Medical Applications. Applied Sciences, 14(23), 11004. https://doi.org/10.3390/app142311004
