Studying the Impact of Diffuser Return Guide Vanes on the Energy Performance of a Multistage Centrifugal Pump
Abstract
1. Introduction
2. Computational Modeling
2.1. Pump Model
2.2. Mesh Generation
2.3. Simulation Setup
2.4. Entropy Production Theory
2.5. Mesh Independence
2.6. Experimental Data
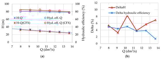
2.7. Validation of Numerical Results
3. Results and Discussion
4. Conclusions
- When operating with RGV2, the pump stage ensures nearly 20% more head than when operating with the original RGV;
- When operating with the three types of RGV, the head loss and hydraulic coefficient of efficiency obtained are practically the same;
- When operating with the three types of vanes, losses in the diffuser dominate over those in the impeller;
- Based on the entropy production analysis, it can be concluded that in all considered operating cases, losses due to velocity fluctuation dominate, and losses from viscous diffusion are insignificant. Losses resulting from wall friction are similar in value to those obtained due to velocity fluctuation;
- The impact of the larger angle on the head of the pump stage is expressed in the creation of a negative circulation relative to the axis of rotation in front of the impeller inlet, leading to its increase. In this sense, the original RGV creates a positive circulation, while RGV1 and RGV2 create a negative circulation, which is valid in all studied modes of pump stage operation.
Author Contributions
Funding
Institutional Review Board Statement
Informed Consent Statement
Data Availability Statement
Conflicts of Interest
References
- Gülich, J. Centrifugal Pumps, 4th ed.; Springer: Cham, Switzerland, 2020. [Google Scholar]
- Petrov, P.R. Investigation of the Influence of the Radial Diffuser and the Return Guide Vanes on the Performance of a Multistage Centrifugal Pump. Ph.D. Thesis, University of Ruse, Ruse, Bulgaria, 1983. [Google Scholar]
- La Roche-Carrier, N.; Ngoma, G.N.; Ghie, W. Numerical Investigation of Liquid Flow in Two-, Three- and Four-Stage Centrifugal Pumps. In Proceedings of the 4th International Conference on Simulation and Modeling Methodologies, Technologies and Applications (SIMULTECH-2014), Vienna, Austria, 28–30 August 2014. [Google Scholar]
- Zhang, Q.; Shi, W.; Xu, Y.; Gao, X.; Wang, C.; Lu, W.; Ma, D. A new proposed return guide vane for compact multistage centrifugal pumps. Int. J. Rotating Mach. 2013, 2013, 683713. [Google Scholar] [CrossRef]
- Zhai, L.; Lu, C.; Guo, J.; Cui, B. Flow characteristics and energy loss of a multistage centrifugal pump with blade-type guide vanes. Mar. Sci. Eng. 2022, 10, 180. [Google Scholar] [CrossRef]
- Miyano, M.; Kanemoto, T.; Kawashima, D.; Wada, A.; Hara, T.; Sakoda, K. Return vane installed in multistage centrifugal pump. Int. J. Fluid Mach. Syst. 2008, 1, 57–63. [Google Scholar] [CrossRef]
- Zhang, Q.H.; Xu, Y.; Shi, W.D.; Lu, W.G. Research and development on the hydraulic design system of the guide vanes of multistage centrifugal pumps. In Proceedings of the IOP Conference Series: Earth and Environmental Science: 26th IAHR Symposium on Hydraulic Machinery and Systems, Beijing, China, 19–23 August 2012. [Google Scholar]
- Wang, C.; Shi, W.; Wang, X.; Jiang, X.; Yang, Y.; Li, W.; Zhou, L. Optimal design of multistage centrifugal pump based on the combined energy loss model and computational fluid dynamics. Appl. Energy 2017, 187, 10–26. [Google Scholar] [CrossRef]
- Kim, D.; Mamatov, S.; Jeon, S.; Park, W. A study of the performance of a radial diffuser for a multistage high-pressure pump. J. Mech. Sci. Technol. 2017, 31, 1693–1700. [Google Scholar] [CrossRef]
- Wu, D.; Yao, S.; Lin, R.; Ren, Y.; Zhou, P.; Gu, Y.; Mou, J. Dynamic instability analysis of a double-blade centrifugal pump. Appl. Sci. 2021, 11, 8180. [Google Scholar] [CrossRef]
- Rao, Z.; Tang, L.; Zhang, H. Double-tongue worm shell structure on plastic centrifugal pump performance study. Appl. Sci. 2023, 13, 8507. [Google Scholar] [CrossRef]
- Babayigit, O.; Ozgoren, M.; Aksoy, M.; Kocaaslan, O. Experimental and CFD investigation of a multistage centrifugal pump including leakages and balance holes. Desalin. Water Treat. 2017, 67, 28–40. [Google Scholar] [CrossRef]
- La Roche-Carrier, N.; Ngoma, G.N.; Ghie, W. Effects of Wall Roughness, Impeller Blades and Diffuser Vanes on the Performances of a First Stage Centrifugal Pump. In Proceedings of the 3rd International Conference on Simulation and Modeling Methodologies, Technologies and Applications (SIMULTECH-2013), Reykjav’ik, Iceland, 29–31 July 2013. [Google Scholar]
- La Roche-Carrier, N.; Ngoma, G.N.; Ghie, W. Numerical Investigation of a First Stage of a Multistage Centrifugal Pump: Impeller, Diffuser with Return Vanes, and Casing. ISRN Mech. Eng. 2013, 2013, 578072. [Google Scholar] [CrossRef]
- He, X.; Jiao, W.; Wang, C.; Cao, W. Influence of surface roughness on the pump performance based on computational fluid dynamics. IEEE Access 2019, 7, 105331–105341. [Google Scholar] [CrossRef]
- Shamsuddeen, M.; Ma, S.-B.; Kim, S.; Yoon, J.-H.; Lee, K.-H.; Jung, C.; Kim, J.-H. Effect of an inducer-type guide vane on hydraulic losses at the inter-stage flow passage of a multistage centrifugal pump. Processes 2021, 9, 526. [Google Scholar] [CrossRef]
- Lee, J.; Moshfeghi, M.; Hur, N.; Yoon, I. Flow analysis in a return channel of a multi-stage centrifugal pump. J. Mech. Sci. Technol. 2016, 30, 3993–4000. [Google Scholar] [CrossRef]
- Zhao, W.; Hu, J.; Wang, K. Influence of channel-diffuser blades on energy performance of a three-stage centrifugal pump. Symmetry 2021, 13, 277. [Google Scholar] [CrossRef]
- Lin, T.; Li, X.; Zhu, Z.; Xie, J.; Li, Y.; Yang, H. Application of enstrophy dissipation to analyze energy loss in a centrifugal pump as turbine. Renew. Energy 2020, 163, 41–55. [Google Scholar] [CrossRef]
- Hou, H.; Zhang, Y.; Li, Z.; Jiang, T.; Zhang, J.; Xu, C. Numerical analysis of entropy production on a LNG cryogenic submerged pump. J. Nat. Gas Sci. Eng. 2016, 36, 87–96. [Google Scholar] [CrossRef]
- Shu, Z.; Shi, G.; Yao, X.; Sun, G.; Tao, S. Influence factors and prediction model of enstrophy dissipation from the tip leakage vortex in a multiphase pump. Sci. Rep. 2022, 12, 16032. [Google Scholar] [CrossRef] [PubMed]
- Li, H.; Chen, Y.; Yang, Y.; Wang, S.; Bai, L.; Zhou, L. CFD Simulation of Centrifugal Pump with Different Impeller Blade Trailing Edges. J. Mar. Sci. Eng. 2023, 11, 402. [Google Scholar] [CrossRef]
- Ji, L.; Li, W.; Shi, W.; Tian, F.; Agarwal, R. Effect of blade thickness on rotating stall of mixed-flow pump using entropy generation analysis. Energy 2021, 236, 121381. [Google Scholar] [CrossRef]
- Kock, F.; Herwig, H. Local entropy production in turbulent shear flows: A high-Reynolds number model with wall functions. Int. J. Heat Mass Transf. 2004, 47, 2205–2215. [Google Scholar] [CrossRef]
- Kock, F.; Herwig, H. Entropy production calculation for turbulent shear flows and their implementation in cfd codes. Int. J. Heat Mass Transf. 2005, 26, 672–680. [Google Scholar] [CrossRef]













| Pump Element | Parameters | Symbol | Value |
|---|---|---|---|
| Impeller | Number of blades | 6 | |
| Inlet diameter (mm) | 76.0 | ||
| Outlet diameter (mm) | 168.0 | ||
| Outlet blade width (mm) | 9.3 | ||
| Outlet angle (deg) | 30 | ||
| Radial Diffuser | Number of blades | 8 | |
| Inlet diameter (mm) | 170.0 | ||
| Outlet diameter (mm) | 234.5.0 | ||
| Original RGV | Radius at blade inlet (mm) | 98.5 | |
| Radius at blade outlet (mm) | 42.5 | ||
| Angle at blade inlet (deg) | 24 | ||
| Angle at blade outlet (deg) | 90 | ||
| Placement angle (deg) | 27 | ||
| Initial radius (mm) | 61.1 | ||
| Inner radius of the blade (mm) | 46.1 | ||
| Outer radius of the blade (mm) | 38.6 | ||
| Middle radius of the blade (mm) | 41.3 | ||
| Thickness at blade inlet (mm) | 3.0 | ||
| Thickness at blade outlet (mm) | 2.0 | ||
| RGV1 | Radius at blade inlet (mm) | 97.0 | |
| Radius at blade outlet (mm) | 44.0 | ||
| Angle at blade inlet (deg) | 11 | ||
| Angle at blade outlet (deg) | 110 | ||
| Placement angle (deg) | 24 | ||
| Initial radius (mm) | 64 | ||
| Inner radius of the blade (mm) | - | ||
| Outer radius of the blade (mm) | - | ||
| Middle radius of the blade (mm) | 34.0 | ||
| Thickness at blade inlet (mm) | 3.0 | ||
| Thickness at blade outlet (mm) | 2.0 | ||
| RGV2 | Radius at blade inlet (mm) | 97.0 | |
| Radius at blade outlet (mm) | 44.0 | ||
| Angle at blade inlet (deg) | 24 | ||
| Angle at blade outlet (deg) | 128 | ||
| Placement angle (deg) | 11 | ||
| Initial radius (mm) | 69.0 | ||
| Inner radius of the blade (mm) | 35.9 | ||
| Outer radius of the blade (mm) | 30.3 | ||
| Middle radius of the blade (mm) | 32.3 | ||
| Thickness at blade inlet (mm) | 3.0 | ||
| Thickness at blade outlet (mm) | 2.0 |
| Mesh | Numbers of Nodes | Numbers of Elements |
|---|---|---|
| Mesh1.4 | 2,356,423 | 6,106,712 |
| Mesh1.3 | 2,591,368 | 6,460,859 |
| Mesh1.2 | 2,990,093 | 7,496,622 |
| Mesh1.0 | 4,246,084 | 10,775,711 |
| Mesh | H (m) | |
|---|---|---|
| Mesh1.4 | 27.3424 | 82.44878687 |
| Mesh1.3 | 27.416 | 82.96281864 |
| Mesh1.2 | 26.6984 | 83.73628451 |
| Mesh1.0 | 26.172 | 83.59579139 |
Disclaimer/Publisher’s Note: The statements, opinions and data contained in all publications are solely those of the individual author(s) and contributor(s) and not of MDPI and/or the editor(s). MDPI and/or the editor(s) disclaim responsibility for any injury to people or property resulting from any ideas, methods, instructions or products referred to in the content. |
© 2024 by the authors. Licensee MDPI, Basel, Switzerland. This article is an open access article distributed under the terms and conditions of the Creative Commons Attribution (CC BY) license (https://creativecommons.org/licenses/by/4.0/).
Share and Cite
Górecki, J.; Klimentov, K.; Popov, G.; Kostov, B.; Ibrahim, S. Studying the Impact of Diffuser Return Guide Vanes on the Energy Performance of a Multistage Centrifugal Pump. Appl. Sci. 2024, 14, 10991. https://doi.org/10.3390/app142310991
Górecki J, Klimentov K, Popov G, Kostov B, Ibrahim S. Studying the Impact of Diffuser Return Guide Vanes on the Energy Performance of a Multistage Centrifugal Pump. Applied Sciences. 2024; 14(23):10991. https://doi.org/10.3390/app142310991
Chicago/Turabian StyleGórecki, Jan, Kliment Klimentov, Gencho Popov, Boris Kostov, and Salaf Ibrahim. 2024. "Studying the Impact of Diffuser Return Guide Vanes on the Energy Performance of a Multistage Centrifugal Pump" Applied Sciences 14, no. 23: 10991. https://doi.org/10.3390/app142310991
APA StyleGórecki, J., Klimentov, K., Popov, G., Kostov, B., & Ibrahim, S. (2024). Studying the Impact of Diffuser Return Guide Vanes on the Energy Performance of a Multistage Centrifugal Pump. Applied Sciences, 14(23), 10991. https://doi.org/10.3390/app142310991

