Investigation of the Vortex-Induced Transverse Vibration of Cylinders Near a Plane Wall with the Local Domain-Free Discretization Method
Abstract
1. Introduction
2. Mathematical Model and Numerical Method
2.1. Governing Equations and Numerical Methods for Fluid
2.2. The Local DFD Method
2.3. Structure Motion Equations
2.4. Problem Setup
3. Validation and Grid Dependency Study
3.1. Test of Grid Dependency
3.2. Validation
4. Results and Discussions
4.1. VIV of a Cylinder Close to a Plane Wall
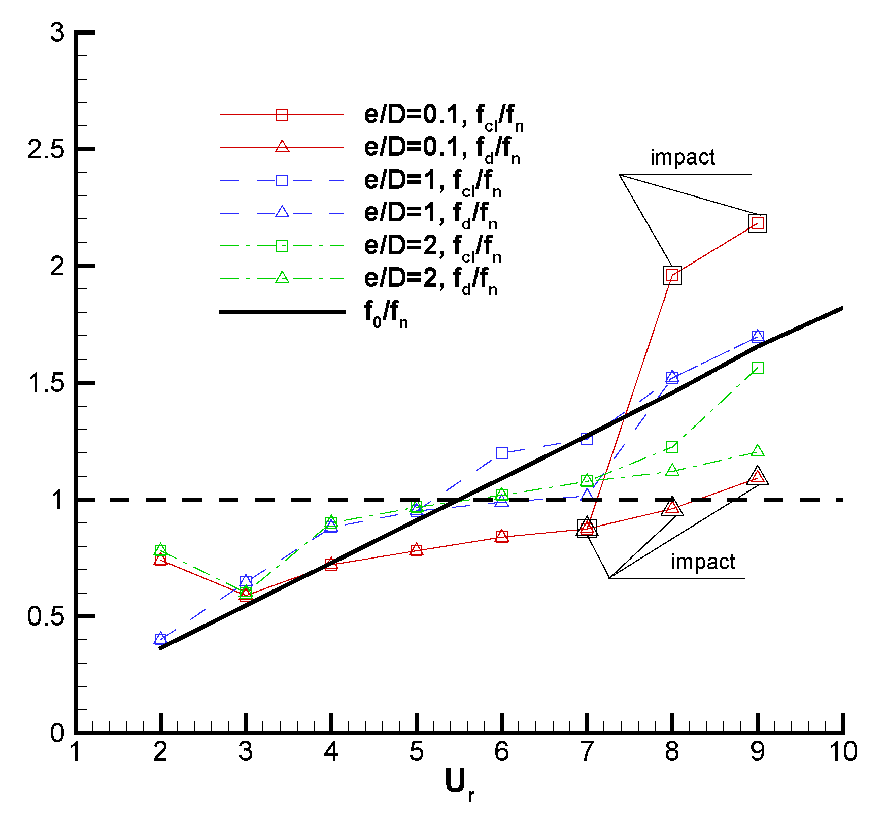
4.2. VIV of Two Inline Cylinders Close to a Plane Wall
5. Conclusions and Summary
Author Contributions
Funding
Institutional Review Board Statement
Informed Consent Statement
Data Availability Statement
Conflicts of Interest
References
- Boersma, P.R.; Rothstein, J.P.; Modarres-Sadeghi, Y. Experimental investigation of vortex-induced vibrations of a flexibly mounted cylinder in a shear-thinning fluid. Phys. Rev. Fluids 2023, 8, 044703. [Google Scholar] [CrossRef]
- Zhu, H.; Xu, H.; Liu, B.; Zhong, J. Numerical investigation of the vortex-induced vibration of a circular cylinder in oscillatory flow. Ocean. Eng. 2024, 310, 118666. [Google Scholar] [CrossRef]
- Williamson, C.H.K.; Govardhan, R. Vortex-Induced Vibrations. Annu. Rev. Fluid Mech. 2004, 36, 413–455. [Google Scholar] [CrossRef]
- Kim, S.; Alam, M.M.; Sakamoto, H.; Zhou, Y. Flow-induced vibrations of two circular cylinders in tandem arrangement. Part 1: Characteristics of vibration. J. Wind. Eng. Ind. Aerodyn. 2009, 97, 304–311. [Google Scholar] [CrossRef]
- Bearman, P.W. Circular cylinder wakes and vortex-induced vibrations. J. Fluids Struct. 2011, 27, 648–658. [Google Scholar] [CrossRef]
- Yang, Z.-M.; Ding, L.; Ye, Q.-Y.; Yang, L.; Zhang, L. Effect of Gap Flow on the Characteristics of Flow-Around and Flow-Induced Vibration for Two Circular Cylinders with Roughness Strips. Appl. Sci. 2019, 9, 3587. [Google Scholar] [CrossRef]
- Khalak, A.; Williamson, C.H.K. Motions, forces and mode transitions in vortex-induced vibrations at low mass-damping. J. Fluids Struct. 1999, 13, 813–851. [Google Scholar] [CrossRef]
- Govardhan, R.; Williamson, C.H.K. Modes of vortex formation and frequency response of a freely vibrating cylinder. J. Fluid Mech. 2000, 420, 85–130. [Google Scholar] [CrossRef]
- Jauvtis, N.; Williamson, C.H.K. The effect of two degrees of freedom on vortex-induced vibration at low mass and damping. J. Fluid Mech. 2004, 509, 23–62. [Google Scholar] [CrossRef]
- Khalil, M.; Ruggieri, S.; Tateo, V.; Nascimbene, R.; Uva, G. A numerical procedure to estimate seismic fragility of cylindrical ground-supported steel silos containing granular-like material. Bull. Earthq. Eng. 2023, 21, 5915–5947. [Google Scholar] [CrossRef]
- Rotter, J.M. Elephant’s foot buckling in pressurised cylindrical shells. Stahlbau 2006, 75, 742–747. [Google Scholar] [CrossRef]
- Mehretehran, A.M.; Maleki, S. Seismic response and failure modes of steel silos with isotropic stepped walls: The effect of vertical component of ground motion and comparison of buckling resistances under seismic actions with those under wind or discharge loads. Eng. Fail. Anal. 2021, 120, 105100. [Google Scholar] [CrossRef]
- Virella, J.C.; Suárez, L.E.; Godoy, L.A. A Static Nonlinear Procedure for the Evaluation of the Elastic Buckling of Anchored Steel Tanks Due to Earthquakes. J. Earthq. Eng. 2008, 12, 999–1022. [Google Scholar] [CrossRef]
- Tham, D.M.Y.; Gurugubelli, P.S.; Li, Z.; Jaiman, R.K. Freely vibrating circular cylinder in the vicinity of a stationary wall. J. Fluids Struct. 2015, 59, 103–128. [Google Scholar] [CrossRef]
- Chen, L.F.; Wu, G.X. Flow-induced transverse vibration of a circular cylinder close to a plane wall at small gap ratios. Appl. Ocean. Res. 2020, 103, 102344. [Google Scholar] [CrossRef]
- De, A.K.; Sarkar, S. Vortex shedding modes of a vibrating cylinder colliding with a rigid wall. Phys. Fluids 2022, 34, 071702. [Google Scholar] [CrossRef]
- Gao, Y.; Liu, L.; Zou, L.; Zhang, Z.; Yang, B. Effect of surface roughness on vortex-induced vibrations of a freely vibrating cylinder near a stationary plane wall. Ocean. Eng. 2020, 198, 106837. [Google Scholar] [CrossRef]
- Wang, C.; Hua, X.; Huang, Z.; Wen, Q. Aerodynamic Characteristics of Coupled Twin Circular Bridge Hangers with Near Wake Interference. Appl. Sci. 2021, 11, 4189. [Google Scholar] [CrossRef]
- Zdravkovich, M.M. The effects of interference between circular cylinders in cross flow. J. Fluids Struct. 1987, 1, 239–261. [Google Scholar] [CrossRef]
- Mahbub Alam, M.; Moriya, M.; Sakamoto, H. Aerodynamic characteristics of two side-by-side circular cylinders and application of wavelet analysis on the switching phenomenon. J. Fluids Struct. 2003, 18, 325–346. [Google Scholar] [CrossRef]
- Chen, W.; Ji, C.; Xu, D.; Zhang, Z. Vortex-induced vibrations of two inline circular cylinders in proximity to a stationary wall. J. Fluids Struct. 2020, 94, 102958. [Google Scholar] [CrossRef]
- Zhou, C.; Shu, C.; Wu, Y. Extension of domain-free discretization method to simulate compressible flows over fixed and moving bodies. Int. J. Numer. Methods Fluids 2007, 53, 175–199. [Google Scholar] [CrossRef]
- Zhou, C.H.; Shu, C. A local domain-free discretization method for simulation of incompressible flows over moving bodies. Int. J. Numer. Methods Fluids 2011, 66, 162–182. [Google Scholar] [CrossRef]
- Pu, T.; Zhou, C.; Ai, J. Extension of the local domain-free discretization method to large eddy simulation of turbulent flows. Int. J. Numer. Methods Fluids 2019, 90, 456–478. [Google Scholar] [CrossRef]
- Peskin, C.S. Flow patterns around heart valves: A numerical method. J. Comput. Phys. 1972, 10, 252–271. [Google Scholar] [CrossRef]
- Mavriplis, D.J.; Jameson, A. Multigrid solution of the Navier-Stokes equations on triangular meshes. AIAA J. 1990, 28, 1415–1425. [Google Scholar] [CrossRef]
- Belov, A.; Martinelli, L.; Jameson, A.; Belov, A.; Martinelli, L.; Jameson, A. Three-dimensional unsteady incompressible flow computations using multigrid. In Proceedings of the 35th Aerospace Sciences Meeting and Exhibit, Reno, NV, USA, 6–9 January 1997. [Google Scholar]
- Gilmanov, A.; Sotiropoulos, F.; Balaras, E. A general reconstruction algorithm for simulating flows with complex 3D immersed boundaries on Cartesian grids. J. Comput. Phys. 2003, 191, 660–669. [Google Scholar] [CrossRef]
- Angelidis, D.; Chawdhary, S.; Sotiropoulos, F. Unstructured Cartesian refinement with sharp interface immersed boundary method for 3D unsteady incompressible flows. J. Comput. Phys. 2016, 325, 272–300. [Google Scholar] [CrossRef]
- Bose, S.T.; Moin, P.; You, D. Grid-independent large-eddy simulation using explicit filtering. Phys. Fluids 2010, 22, 85774. [Google Scholar] [CrossRef]
- Schulz, K.W.; Kallinderis, Y. Unsteady Flow Structure Interaction for Incompressible Flows Using Deformable Hybrid Grids. J. Comput. Phys. 1998, 143, 569–597. [Google Scholar] [CrossRef]
- Borazjani, I.; Ge, L.; Sotiropoulos, F. Curvilinear immersed boundary method for simulating fluid structure interaction with complex 3D rigid bodies. J. Comput. Phys. 2008, 227, 7587–7620. [Google Scholar] [CrossRef] [PubMed]
- Zhao, M.; Cheng, L. Numerical simulation of two-degree-of-freedom vortex-induced vibration of a circular cylinder close to a plane boundary. J. Fluids Struct. 2011, 27, 1097–1110. [Google Scholar] [CrossRef]
- Bao, Y.; Zhou, D.; Tu, J. Flow interference between a stationary cylinder and an elastically mounted cylinder arranged in proximity. J. Fluids Struct. 2011, 27, 1425–1446. [Google Scholar] [CrossRef]
- Zhao, M.; Cheng, L.; An, H.; Lu, L. Three-dimensional numerical simulation of vortex-induced vibration of an elastically mounted rigid circular cylinder in steady current. J. Fluids Struct. 2014, 50, 292–311. [Google Scholar] [CrossRef]
- Ahn, H.T.; Kallinderis, Y. Strongly coupled flow/structure interactions with a geometrically conservative ALE scheme on general hybrid meshes. J. Comput. Phys. 2006, 219, 671–696. [Google Scholar] [CrossRef]
- Griffin, O.M. Vortex-Induced Vibrations of Marine Structures in Uniform and Sheared Currents; University of Michigan: Washington, DC, USA, 1992. [Google Scholar]
- Chung, M.-H. Transverse vortex-induced vibration of spring-supported circular cylinder translating near a plane wall. Eur. J. Mech. B Fluids 2016, 55, 88–103. [Google Scholar] [CrossRef]
- Raghavan, K.; Bernitsas, M.M.; Maroulis, D.E. Effect of bottom boundary on VIV for energy harnessing at 8 × 103 < Re < 1.5 × 105. J. Offshore Mech. Arct. Eng. 2009, 131, 79798. [Google Scholar] [CrossRef]
- Fredsoe, J.; Sumer, B.M.; Andersen, J.; Hansen, E.A. Transverse vibrations of a cylinder very close to a plane wall. J. Offshore Mech. Arct. Eng. 1987, 109, 52–60. [Google Scholar] [CrossRef]
- Krishnamoorthy, S.; Price, S.J.; PaÏDoussis, M.P. Cross-flow past an oscillating circular cylinder: Synchronization phenomena in the near wake. J. Fluids Struct. 2001, 15, 955–980. [Google Scholar] [CrossRef]


















| Mesh | Nodes | Computation Time (s/Time Step) | (Errors) | (Errors) | (Errors) |
|---|---|---|---|---|---|
| Coarse | 37,912 | 2.16 | 0.5325 (4.8%) | 1.415 (19.3%) | 0.2206 (4.8%) |
| Medium | 47,761 | 2.98 | 0.5562 (0.5%) | 1.695 (3.3%) | 0.2082 (1%) |
| Fine | 90,223 | 5.91 | 0.5593 (−) | 1.753 (−) | 0.2104 (−) |
Disclaimer/Publisher’s Note: The statements, opinions and data contained in all publications are solely those of the individual author(s) and contributor(s) and not of MDPI and/or the editor(s). MDPI and/or the editor(s) disclaim responsibility for any injury to people or property resulting from any ideas, methods, instructions or products referred to in the content. |
© 2024 by the authors. Licensee MDPI, Basel, Switzerland. This article is an open access article distributed under the terms and conditions of the Creative Commons Attribution (CC BY) license (https://creativecommons.org/licenses/by/4.0/).
Share and Cite
Qi, H.; Zhang, Y.; Ji, H.; Sun, Z.; Zhou, C.; Zhu, W.; Pu, T. Investigation of the Vortex-Induced Transverse Vibration of Cylinders Near a Plane Wall with the Local Domain-Free Discretization Method. Appl. Sci. 2024, 14, 10990. https://doi.org/10.3390/app142310990
Qi H, Zhang Y, Ji H, Sun Z, Zhou C, Zhu W, Pu T. Investigation of the Vortex-Induced Transverse Vibration of Cylinders Near a Plane Wall with the Local Domain-Free Discretization Method. Applied Sciences. 2024; 14(23):10990. https://doi.org/10.3390/app142310990
Chicago/Turabian StyleQi, Haotian, Yang Zhang, Honglei Ji, Zhenye Sun, Chunhua Zhou, Weijun Zhu, and Tianmei Pu. 2024. "Investigation of the Vortex-Induced Transverse Vibration of Cylinders Near a Plane Wall with the Local Domain-Free Discretization Method" Applied Sciences 14, no. 23: 10990. https://doi.org/10.3390/app142310990
APA StyleQi, H., Zhang, Y., Ji, H., Sun, Z., Zhou, C., Zhu, W., & Pu, T. (2024). Investigation of the Vortex-Induced Transverse Vibration of Cylinders Near a Plane Wall with the Local Domain-Free Discretization Method. Applied Sciences, 14(23), 10990. https://doi.org/10.3390/app142310990

