Abstract
The reconstruction of bridge responses has been a significant area of focus within the field of structural health monitoring. This process entails the cross-reconstruction of responses from various cross-sections to identify any anomalies at specific locations, which may indicate the presence of structural defects. Traditional research has concentrated on simulating the relationships between different cross-sections for both high- and low-frequency components in isolation. However, this study introduces an innovative approach using a residual network (ResNet) to reconstruct high-frequency bridge responses under vehicular loading and demonstrates its applicability to low-frequency response reconstruction as well. The theoretical basis of this method is established through an analysis of the dynamics within a simplified vehicle-bridge-interaction (VBI) system. This analysis reveals that the transfer matrices for both high- and low-frequency components remain consistent across various loading conditions. Then, a data interception technique is introduced to separate high-frequency, low-frequency, and temperature-related components based on their spectral characteristics. The ResNet modeled the inter-sectional relationships of the high-frequency components and was then used to reconstruct the low-frequency responses under vehicular loading. The methodology was validated using a series of finite element models, confirming the uniformity of the transfer matrix between high- and low-frequency vibration components of the bridge. Field testing was also conducted to evaluate the practical effectiveness of the method. The proposed transfer–reconstruction method is expected to significantly reduce training dataset requirements compared with existing methods, thereby enhancing the efficiency of structural health monitoring systems.
1. Introduction
Bridge structures are essential to the modern transportation infrastructure. Their safety and functionality are paramount, and their condition and maintenance are of great concern to governments [1]. In the realm of structural health monitoring (SHM), reconstructing structural responses is crucial for assessing the properties of structures and making informed maintenance decisions [2]. With data from multiple cross-sections, it is feasible to establish a mapping function that correlates the response at one specific cross-section with those at other locations. If the reconstructed data significantly diverges from the monitored data, it could signal severe damage at the particular cross-sections.
Data reconstruction methods in current research can generally be divided into two primary strategies: model-based approaches [3] and data-driven approaches [4,5]. The model-based approach relies heavily on accurate finite element simulations [3,6]. After constructing a finite element model, one can calculate the global stiffness and mass matrices, estimate the mode shape vector, and subsequently determine the target mapping function to calculate responses. To enhance precision, an iterative model updating process is often necessary to refine physical parameters such as mass, stiffness, and damping ratio [7]. However, this process can be exceedingly time-consuming, as it involves building finite element models and processing numerical simulations. The parameters and their variations can lead to a vast number of combinations. Furthermore, in long-term monitoring, the properties of construction materials may change due to factors like structural aging and temperature fluctuations. An updated finite element model may not always accurately reflect the current state of a target bridge under varying conditions, necessitating even more frequent updates. These limitations diminish the practical applicability of the model-based approach in real-world engineering scenarios.
In contrast to the model-driven method, the data-driven approach leverages existing monitoring data directly, which tends to be more time-efficient without any finite element modelling. Fundamentally, data-driven approaches begin by mapping the monitoring data onto a specific space. Subsequently, the responses at various cross-sections are transformed into a linear combination of bases of this space. Ultimately, the reconstruction process evolves into an estimation of the transformation matrix that connects the weights of these bases across different cross-sections. Candes et al. [8] introduced the concept of the restricted isometry property (RIP) and showed that the compressive sensing (CS) method could effectively reconstruct data from incomplete frequency information. Bao et al. [9] adapted the CS method for mobile wireless sensing systems to approximate the original signal, allowing responses to be reconstructed by estimating weights through normalization techniques. In recent years, machine learning techniques such as convolutional neural networks (CNNs) [10] and generative adversarial networks (GANs) [11] have been increasingly applied in the field of structural health monitoring (SHM) for data reconstruction. These methods utilize adaptive neural network structures, offering greater flexibility in modeling temporal and frequency characteristics compared with the CS method, which necessitates a predefined basis such as Fourier or wavelet transforms. Furthermore, these machine learning methods [12,13,14,15,16] directly aim to simulate the mapping function between inputs and outputs, providing a more dynamic and responsive approach to data reconstruction in SHM.
Concentrating on the reconstruction of bridge responses under traffic loading, typical processes using the aforementioned machine learning methods [17] involve initially segregating the responses into low-frequency and high-frequency components [18]. These components are then trained separately to emulate the transfer matrices for different cross-sections. Prior research has confirmed that the transfer matrices for both low-frequency [19] and high-frequency [20] components are governed by the bridge’s modal shapes. However, in this study, it is further revealed and substantiated that the transfer matrices for responses at different frequencies are identical. Consequently, the individual training approach is deemed redundant. Specifically, a simulated inter-section relationship tailored to high-frequency responses can be employed to reconstruct the low-frequency responses. This insight suggests that a unified training strategy could be more efficient and effective, eliminating the need for separate training for different frequency bands.
The theoretical framework for the construction of transfer matrices is explicated through an analysis of the physical characteristics of bridge responses within vehicle–bridge interaction (VBI) systems [21]. This analysis confirms the existence of high-frequency free vibrations of the bridge, low-frequency vibrations induced by traffic forces, and responses due to temperature fluctuations within the long-term dynamics of bridges. More importantly, transfer matrices for both high-frequency and low-frequency dynamics were examined, revealing that these matrices are identical and remain consistent under varying traffic and temperature conditions. Based on the theoretical understanding of the VBI system’s physical properties, an interception method was first introduced to separate these components. Subsequently, a residual network (ResNet) [22] algorithm was utilized to model the transfer matrix of high-frequency bridge responses. Furthermore, a series of finite element simulations and field tests validated that the ResNet calibrated for high-frequency responses can be directly applied to the reconstruction of low-frequency responses.
In contrast to the model-based approach, the proposed data-driven methodology promises to be more time-efficient. It eliminates the need for finite element models and detailed knowledge of global stiffness matrices, mass matrices, or mode shape vectors. This data-driven approach directly estimates the mapping relationship between responses at multiple different cross-sections, enhancing efficiency in practical applications. Moreover, this method aims to simulate a physically based, time-independent transfer matrix, leveraging the findings from previous studies [19,20]. This could potentially offer even greater time efficiency compared with conventional data-driven reconstruction techniques [10,11,12,13,14,15,16], which often overlook time-related factors such as traffic conditions and temperature. Additionally, the model-updating process, a staple in the model-based approach, is rendered unnecessary. Most importantly, this study demonstrates that the proposed approach eliminates the need for separate training processes for low-frequency and high-frequency responses, thereby further streamlining the data reconstruction process. Consequently, it is anticipated that the proposed method will be more suitable for practical engineering applications.
Section 2 delves into the theoretical derivation of bridge dynamics within a simplified VBI system. It examines the physical characteristics associated with bridge free vibrations and vibrations related to driving forces. This section then proceeds to outline the entire algorithm, encompassing an interception method and the deployment of a residual network (ResNet). Section 3 presents a series of finite element models constructed for the VBI system, designed to substantiate the theoretical analyses. Section 4 details the validation of these theoretical analyses and the methodology for response reconstruction, utilizing field monitoring data.
2. Bridge Dynamics in a VBI System and the Data Reconstruction Algorithm
2.1. Dynamic Responses of a Bridge in a Simple VBI System
When a vehicle traverses a bridge, it engages in an interaction with the bridge structure, collectively constituting a VBI system, as depicted in Figure 1 [19]. The dynamic responses of this system can be ascertained by solving the corresponding dynamic equations. In the case of a simply supported beam, and by modeling the vehicle as a single-degree-of-freedom sprung mass, the dynamic equations governing the VBI system are articulated as follows [18].
Figure 1.
A simple VBI system [19].
For the vehicle:
where the denotes the vertical displacement of the sprung mass, is the vehicle’s vertical acceleration, represents the vertical displacement of the contact point, and are the vehicle mass and the spring stiffness, respectively, denotes the road roughness at location , and is the constant vehicle speed.
For the bridge, assuming that the bridge has a constant cross-section [23]:
where is the unit mass, is the elastic modulus, is the moment of inertia, is the acceleration of gravity, and the prime denotes differentiation to coordinate of the beam. Moreover, by assuming that the vehicle mass is much smaller than the bridge mass [18] and neglecting the influence of road roughness, Equation (3) can be solved as follows [18]:
where represents the beam length, and:
For a stationary monitoring sensor, the variable represents a constant in Equation (4). The bridge responses delineated by Equation (4) comprise two distinct components: the responses attributable to the driving force as presented in Equation (8), and the free vibration as illustrated in Equation (9).
Assume that the total time for the vehicle to pass the bridge is :
As Equation (8) indicates, the driving-force frequencies are:
2.2. Characteristics of Bridge Dynamics in the VBI System
Firstly, we analyzed the response components of the direct measurement data. Typically, long-term monitoring data encompass responses induced by temperature fluctuations as well as those related to driving forces and free vibrations. Although these components have distinct frequencies, vehicle loading does not influence the temperature-related responses. In this study, we concentrate solely on the responses induced by vehicle loading, which are related to the driving force and free vibrations. Paulter et al. [24], after examining 898 highway bridges, concluded that the first natural frequency generally lies between 2 Hz and 5 Hz. He and Zhu [25] observed that the ratio of the first driving-force frequency to the first natural frequency is minimal, usually not exceeding 0.15 at vehicle speeds of 30–60 km/h, indicating that resonance is unlikely to be triggered by driving-force-induced responses. Furthermore, since temperature fluctuations occur much more slowly than the vehicle operation process, the high-frequency free vibrations of the bridge can be effectively isolated from the monitoring data using a high-pass filter. The remaining long-term monitoring data should primarily consist of low-frequency components related to driving forces and temperature variations, as depicted in Figure 2. Subsequently, the separation of driving-force and temperature-related components was carried out using the intercept method described in Section 2.3.1.
Figure 2.
Three kinds of components in monitoring data.
The transfer matrix for responses at different cross-sections was then investigated. Assume that there are three specific locations, , , and , on the simply supported beam. According to previous research [19] (a detailed derivation is listed in Appendix A), the transfer matrix corresponding to the low-frequency free vibration from , to , can be derived from Equation (9) as follows:
where , , and are the N + 1 time points, and the transfer matrix is:
The second row of the left-side matrix of Equation (12) is the actual responses at at N + 1 time points (, , …, ), as the target output. While the inputs are the measured responses at and , which are the first and second rows of the left-side matrix of Equation (12), respectively. Through the multiplication between and the input displacement matrix, the displacement at can be then calculated with Equation (12). It is important to note that only the first two vibration modes, corresponding to the first and second free vibration frequencies, were taken into account, due to their significant contributions to the overall high-frequency bridge responses. These two modes are also the global vibration modes, whose responses can typically be measured along the length of the bridge. Higher vibration modes, which are primarily associated with local deformation of the bridge, were not considered in this study. It is assumed that for these local vibration modes, the selection of input observation points must be carried out with great care. Otherwise, a low signal-to-noise ratio (SNR) could hinder the achievement of accurate reconstruction results. As illustrated in Equation (13), is a matrix related only to the global vibration modes.
Similarly, one can obtain the transfer matrix corresponding to the low-frequency driving-force-related vibrations [20] from Equation (8) as follows:
It should be noted that, similarly to the high-frequency components, only the first low-frequency vibration modes were considered in this study. The following apparently applies:
In fact, Equation (15) should also be applicable to other bridges with multiple spans and varying mode shape functions, given that the dynamics of typical beam bridges can always be formulated as a product of modal coordinates and time functions, as depicted in Equation (16):
where denotes the mode shape function and represents the time-domain function. Analogous to Equations (8) and (9), can be segmented into a high-frequency component attributed to the bridge’s free vibration and a low-frequency component related to the driving force, as detailed in Equation (17):
where the subscripts “high” and “low” represent the high-frequency and low-frequency components, respectively.
Equation (17) illustrates that for components of identical order across both high-frequency and low-frequency domains, the associated mode shape function is invariant. As a result, the transfer matrix should perpetually match , holding true not solely for the simply supported beam but also for various other general linear bridge configurations. Furthermore, Equation (17) suggests that for any additional monitoring parameters—such as velocity, acceleration, strain, or inclination—while the mode shape function may diverge from the displacement mode shape , the principle that the transfer matrices (which may also diverge from and ) for high-frequency and low-frequency responses are identical remains universally applicable.
Moreover, as evidenced by prior research [19,20], Equation (14) underscores a significant attribute. The transfer matrix is dimensionless; consequently, fluctuations in traffic conditions, which serve as the external driving force for the VBI system, and alterations in bridge material stiffness due to temperature changes should not affect the transfer matrix . Additionally, the equivalence between and is perpetually maintained, even amidst varying traffic conditions and air temperatures.
2.3. Signal Processing Methods
2.3.1. An Intercept Method to Separate Vibration Components
As previously discussed, the high-frequency free vibration component of the bridge was readily extracted from the raw monitoring data using a high-pass filter, facilitated by the MATLAB® (R 2022a) toolbox [26] in this study. However, it is challenging to distinguish between the residual low-frequency responses related to driving forces and those related to temperature changes using this type of high-pass filter, owing to a lack of spectral resolution. To tackle this issue, a novel intercept method is proposed, capitalizing on the observation that the standard deviation of structural responses during vehicle passage is markedly higher compared to periods when no vehicles are present.
For instance, Figure 3a illustrates the residual time history of bridge strain with the high-frequency free vibration component removed. The local peaks in Figure 3b denote the instances of vehicle passage.
Figure 3.
A typical band-pass filtered low-frequency time history of bridge strain: (a) time history; (b) zoomed time history (the data marked with the rectangle in (a) are zoomed in on (b)).
The whole process of the intercept method is listed as follows:
- Step 1: The residual data series was segmented into a series of windows, with each window extending to 50% of the subsequent one, as depicted in Figure 4a.
Figure 4. An intercept method to separate temperature change-related and driving-force-induced structural responses: (a) moving window with 50% overlap; (b) STD of each window; (c) label and pick; (d) interpolate; (e) approximated temperature strain; (f) driving-force-related structural responses.
When a vehicle passes the bridge, the vehicle-induced strain forms local peaks on the strain time history curve, and the standard deviation of the window is obviously higher than the periods without passing vehicles. The duration of each window should remain uniform, established at 2, where represents the anticipated period of the first driving-force frequency, which is designed to cover general periods of vehicles passing;
- Step 2: The standard deviation (STD) of each window was calculated (as shown in Figure 4b);
- Step 3: The median of all the STDs was calculated, based on the direct observation that during most of the monitoring periods, there were no vehicles on the bridge.
- Step 4: Windows with a standard deviation (STD) exceeding the median value were identified and designated with “0”, and the remaining windows were assigned “1”, as illustrated in Figure 4c. If the STD during a window period is higher than the median value, a vehicle is passing the bridge. Otherwise, it is supposed that no vehicles are on the bridge.
- Step 5: All assigned labels were examined and consecutive pairs of windows identified. The first window in each pair was designated as “1” and the following window as “0”. Subsequently, the initial data point in the second window of each pair was referenced as the “start element,” as demonstrated in Figure 4c. This step marks the start time point of the multiple-vehicle process.
- Step 6: Similarly, the labels were sequentially reviewed and subsequent sets of two adjacent windows selected. The label “0” was assigned to the first window and “1” to the second window. Then, the first data point in the second window was designated as the “end element,” as shown in Figure 4c. This step marks the end time point of the process of multiple vehicles.
- Step 7: Subsequently, interpolation between the “start element” and the “end element” was performed using a spline function to generate a smooth curve. This curve was then used to replace the corresponding segment of the original monitoring data, as depicted in Figure 4d. The resulting interpolated curve provides an estimation of the time history of the temperature change-induced responses, isolated from the driving-force-related responses, as illustrated in Figure 4e alongside Figure 3b for comparison.
- Step 8: Afterward, the temperature change-induced responses were removed from the residual filtered monitoring data by subtraction. The resulting curve isolated the low-frequency driving-force-related structural responses, as portrayed in Figure 4f.
2.3.2. Response Reconstruction with a Deep ResNet (Residual Network)
The residual network (ResNet) was introduced [27] to mitigate the challenges of exploding and vanishing gradients in conventional neural networks, which can impede weight updates and lead to training stagnation. ResNet has become a well-utilized deep learning method [28,29], facilitating the training of significantly deeper architectures. Distinct from traditional feedforward neural networks, a ResNet incorporates residual, or skip, connections that concatenate a layer’s output with its subsequent layer’s output. Specifically, a ResNet is constructed from multiple residual units. For a given residual unit l and its input , as illustrated in Figure 5, the output is formulated as follows:
where denotes the residual function . The and (i.e., the relu in Figure 5) function as pre-activation of the weight layers, and is a linear projection function.
Figure 5.
Residual unit. [27].
Further, the following can be obtained:
which can be expanded for deeper residual blocks and shallower residual blocks . If the shallower residual blocks within the network can discern a reasonable representation, the network has the capability to bypass the remaining layers by utilizing the skip connections, effectively setting to zero for subsequent residual blocks.
In this investigation, a ResNet was initially trained on high-frequency bridge responses induced by vehicle loading to emulate the transfer matrix across various cross-sections. The architecture of the ResNet is depicted in Figure 6.
Figure 6.
ResNet configuration.
In this study, the ResNet comprised an input layer, five hidden layers, and an output layer. The network was designed to utilize the responses measured at two cross-sections to reconstruct the responses at a third cross-section. Accordingly, the input layer featured two inputs, corresponding to the two measured cross-sections, while the output layer generated a single feature output, representing the reconstructed response. Regarding the hidden layers, the first three layers were populated with 64 neurons each, the fourth layer containeds 32 neurons, and the fifth layer comprised 16 neurons. The neurons between connected layers were fully interconnected. The activation function used was ReLU, which is suitable for signal prediction tasks as opposed to graph processing, thus eliminating the need for batch normalization (BN). Additionally, a skip connection was established from the output of the first hidden layer to the third hidden layer, facilitating the direct propagation of input features to aid in the learning process.
2.3.3. Transfer–Reconstruction Process
In this research, the low-frequency bridge responses induced by vehicle loading were reconstructed using a transfer matrix that was trained with a ResNet, leveraging high-frequency bridge responses. The flowchart of the entire algorithm is presented in Figure 7.
Figure 7.
Flowchart of the whole algorithm.
Initially, a high-pass filter was employed to isolate the high-frequency free vibration components of the bridge. The remaining data consisted of temperature-induced bridge responses (TBR) and driving-force-induced responses, separated with the above interception method. These high-frequency responses were subsequently harnessed to train a ResNet, simulating the inter-sectional relationships for high-frequency responses across various locations, such as Location 1, Location 2, and Location 3. Following the training, the calibrated network (ResNet) was then deployed to reconstruct the absent low-frequency responses at Location 3, utilizing the separated low-frequency responses at Location 1 and Location 2. It should be emphasized that throughout the entire process, there was no need for explicit global stiffness matrices, mass matrices, or mode shape vectors, despite these parameters typically being required to calculate the transfer matrix, as in Equation (12). Instead, the ResNet was employed to directly estimate the transfer matrix using the input measurement data from Location 1 and Location 2 to predict the output data at Location 3. It was anticipated that, compared with model-based methods, the proposed approach would offer greater efficiency.
3. Finite Element Analysis
In this part of the research, a series of finite element models were built. Then, the derived physical characteristics of bridge dynamics of a simple VBI system described in Section 2 were validated.
3.1. Finite Element Models
In this research, a numerical finite element model was employed to simulate a simple VBI system. This model adhered to the configuration in a previous study [18], used for theoretical validation of VBI system responses, and was not based on any specific real-world bridge. The VBI system comprised a 25-m simply supported beam featuring a uniform cross-sectional profile. The beam’s detailed characteristics are delineated in Table 1. For the sake of simplicity and in accordance with the theoretical framework outlined in Section 2, structural damping was not incorporated into the model. Additionally, the potential effects of road roughness were disregarded [30]. A simplified sprung mass model was utilized to represent the vehicle; its properties are enumerated in Table 2. The vehicle was assumed to travel at a uniform velocity of 5 m/s. The first driving-force frequency was 0.1 Hz. The ratio between this frequency and the bridge’s first natural frequency was 0.0193.
Table 1.
Properties of the beam.
Table 2.
Properties of the simplified vehicle.
A three-dimensional computational model was meticulously constructed using the commercial finite element analysis software ABAQUS 2020 [31], as depicted in Figure 8. The beam and the sprung mass within the model were discretized using C3D8R elements. Additionally, a wheel component was integrated into the model, also represented by C3D8R elements. A spring element was interposed between the sprung mass and the wheel component to model the interaction between these two components. The interaction design parameters and the calculation framework are detailed in Table 3. More details can be referred to in the previous study [32].
Figure 8.
Finite element model of VBI system.
Table 3.
Details of simulation.
3.2. Validation of the Derived Physical Characteristics
To validate the derived physical properties stated in Section 2, the simulation result of a series of finite element models were analyzed and are illustrated as follows.
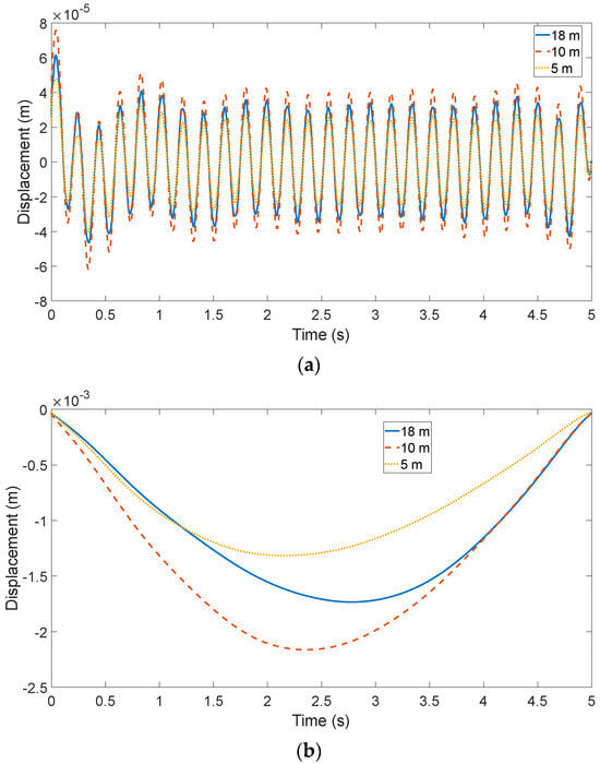
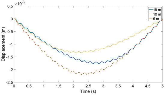
Three observation points located at 18 m, 10 m, and 5 m along the beam were selected for analysis. Their positions are represented in Figure 9. The direct simulated displacement time histories for these points are presented in Figure 10. The high-frequency local fluctuations observed on these curves represent the high-frequency displacements as described by Equation (9), while the remaining, smoother curves correspond to the low-frequency displacements as delineated by Equation (8). Given that the first natural bending frequency of the bridge was approximately 5 Hz, a bandpass filter was strategically applied to differentiate between high-frequency and low-frequency displacements, using a cutoff threshold of 1 Hz. The separated high-frequency and low-frequency displacement components are depicted in Figure 11a and Figure 11b, respectively. Notably, the high-frequency displacement appears to approximate a free-vibration response, which is consistent with the theoretical derivations presented in Equation (9) and corroborated by findings from previous studies [19]. Furthermore, the low-frequency displacement closely resembles the quasi-static bridge displacement, a phenomenon that has been previously illustrated and discussed in the literature [20].
Figure 9.
Three observation points.
Figure 10.
Simulation result for bridge displacement at three observation points.
Figure 11.
Separated high−frequency and low-frequency bridge displacement at three observation points with the bandpass filter of 1 Hz: (a) high−frequency displacement; (b) low−frequency displacement.
We initially confirmed the theoretical feature that the transfer matrices for both low-frequency and high-frequency components were identical. For this simple VBI system, the transfer matrix associated with the high-frequency responses was estimated using MATLAB’s multiple linear regression function [26]. As indicated by Equations (8) and (9), the first two modes predominantly influence the bridge’s responses. Thus, in this investigation, we focused exclusively on the primary vibration modes. Accordingly, a 2 × 2 matrix as formulated in Equation (13) was employed as the transfer matrix. The high-frequency displacements at the 18 m and 10 m positions were designated as the two inputs, with the high-frequency displacement at the 5 m position set as the sole output. Utilizing MATLAB’s multiple linear regression function (‘regress’), the transfer matrix for high-frequency displacement was calculated. Subsequently, the two inputs were substituted with the low-frequency displacements at the 18 m and 10 m positions.
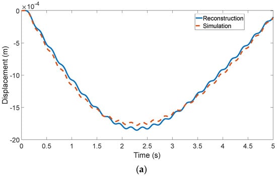
By applying the determined transfer matrix to the low-frequency displacement inputs, the low-frequency displacement at the 5 m location was successfully reconstructed. Comparison of the low-frequency displacement time histories, as depicted in Figure 12, reveals a close correspondence between the reconstructed and simulated results. While minor discrepancies between the peak values of the reconstructed and simulated results may exist, these are likely to have been due to the simplified consideration of only the first two vibration modes. Despite these minor differences, the overall agreement between the two sets of results supports the inference that the transfer matrices for both high-frequency and low-frequency displacements are indeed identical, as theoretically postulated in Equation (15).
Figure 12.
Comparison of low−frequency displacement at 5 m between reconstruction and FEM simulation.
Subsequently, we conducted further validation to ascertain the theoretical feature that the transfer matrix for high-frequency responses would be equally applicable to other scenarios characterized by varying temperatures and traffic conditions. In the first scenario, the bridge’s material stiffness was adjusted to 0.75 times its original value to simulate the effects of temperature variations. In the second scenario, the vehicles’ moving speed was increased to 10 m/s to represent different traffic conditions.
The comparisons of the reconstructed versus simulated low-frequency displacements at the 5 m point for these two distinct scenarios are presented in Figure 13a and Figure 13b, respectively. The results clearly demonstrate that the reconstructed displacements were in close alignment with the simulation outcomes. This concurrence confirms that the transfer matrix calibrated for high-frequency responses in one scenario can reliably be employed to reconstruct low-frequency responses in other scenarios, irrespective of differing traffic conditions and ambient temperatures.

Figure 13.
Comparison between reconstructed and simulated low−frequency responses in scenarios of lower stiffness and higher speed: (a) lower−stiffness scenario; (b) higher−speed scenario.
It should be noted that while structural damping was not included in this numerical simulation, the physical characteristics discussed should still hold true when structural damping is taken into account. This is because these characteristics are founded on the principle that the mode shape functions remain constant. For linear bridge structures, whether or not structural damping is considered, the mode shape functions are invariant. Thus, these characteristics and the proposed method should also be applicable in practical engineering scenarios.
In practical engineering, damping reduces the amplitude of higher vibration modes. If measurement noise is significant, it may obscure these higher modes, which should be identified during preliminary data processing. For this simply supported beam model, only the first two vibration modes were considered. However, in real-world engineering, additional vibration modes may contribute to structural responses and should be accounted for. Therefore, installing more observation points with sensors is likely to be necessary to achieve a more accurate reconstruction result.
4. Validation with Field Test
This section details the analysis of field monitoring data collected from a typical continuous bridge. Utilizing the proposed interception method, high-frequency bridge vibrations and low-frequency driving-force-related responses were successfully discriminated. Following this, an assessment was conducted to evaluate the efficacy of the proposed data reconstruction method.
4.1. Bridge and Structural Health Monitoring System
The subject of our analysis was a concrete highway overpass situated in Hebei Province, China, as depicted in Figure 14 [11]. This bridge carries a dual carriageway, with distinct left and right sides. The left side span is divided into four continuous spans (32 m + 32 m + 32 m + 37 m), as illustrated in Figure 14a. Each span is elegantly crafted with prestressed box girders. The right side of the bridge is comprised of two distinct sections: a 75 m segment featuring prestressed concrete T beams and a 104 m segment with a continuous prestressed box–girder design. The latter is further subdivided into three spans (35 m + 37 m + 32 m). The cross-section of the bridge is illustrated in Figure 14b.
Figure 14.
Fuchang bridge and the SHM system: (a) target bridge; (b) cross-section; (c) layout and positions of strain gauges.
In 2018, a health monitoring system was installed on the fourth span of the left side of the bridge. This system is equipped with 12 electronic resistance strain gauges, positioned at three distinct cross-sections identified as 02-S-XX, 03-S-XX, and 04-S-XX (illustrated in Figure 14c). The duration of the monitoring data collection spanned a period of ten months, commencing in March 2018 and concluding in December 2018. The strain data were meticulously collected at a high sampling rate of 50 Hz.
To separate the three components, we first used a high-pass filter with a 1 Hz threshold. This threshold was determined based on a previous study [33], which showed that the first natural frequency of the target bridge was 3.906 Hz and the passing vehicles’ frequency was higher than 1 Hz. By using the high-pass filter, high-frequency bridge vibrations were separated. Then, the proposed intercept method was utilized to separate the driving-force-related component from the residual low-frequency data.
4.2. Dataset Configuration
To validate the effectiveness of the proposed method and confirm the stability of the simulated cross-sectional relationships under varying traffic and temperature conditions, we carefully selected monitoring data from three distinct periods, as shown in Figure 15. The data were collected on March 7th, August 28th, and October 6th, 2018, with a 30 min monitoring period each day to ensure a representative sample of the bridge’s behavior. The daily air temperatures were recorded as 4 °C/0 °C, 31 °C/22 °C, and 22 °C/13 °C, respectively. As depicted in Figure 15, strain measurements—using the monitoring data from 02-S01 as a representative example—demonstrated varying ranges on these days. It should be noted that the strain values depicted in Figure 15 represent the unprocessed raw data. The initial strain recorded throughout the entire monitoring period ranged from −2500 to −3000 µε. Furthermore, the monitoring data exhibited several anomalies, such as the “sudden jump” shown in Figure 16, which may have artificially inflated the measured strain values. As a result, the raw strain measurements for the bridge, particularly the maximum strain values presented in Figure 15, are unrepresentatively high. The strain distribution also reflects the impact of temperature on the bridge’s structural response. We specifically analyzed the high-frequency bridge vibrations. Figure 17 shows that the primary natural frequency of the bridge exhibited minor variations across the three different days, indicating that the dataset captured the variability in bridge stiffness due to air temperature fluctuations. It is important to observe that, as depicted in Figure 17, the average value of the high-pass-filtered high-frequency strain was zero. Moreover, as illustrated in Figure 4f, the isolated low-frequency strain induced by vehicles was realigned to the zero baseline using the method proposed in this study. Given that our focus is on reconstructing both the low-frequency and high-frequency responses attributable to vehicle loading, it is posited that potential measurement errors such as the non-zero initial strain measurements and the data anomalies highlighted in Figure 16 should not compromise the accuracy of the method we propose.
Figure 15.
Strain monitoring dataset for the three days (raw data, strain gauge 02-S01) The span of monitoring data for each day is 30 min).
Figure 16.
Another example of raw monitoring data from strain gauge 02−S01.
Figure 17.
Verification of synchronous vibration in different locations. (a–c): the high−frequency bridge responses at three sensors measured on 7 March; (d–f): high−frequency bridge responses at three sensors measured on 28 August; (g–i): high−frequency bridge responses at three sensors measured on 6 October. (a,d,g): strain time history; (b,e,h): zoomed strain time history; (c,f,i): frequency spectrum. Circle: first bridge frequency; rectangle: potential vehicle frequency).
4.3. Data Analysis and Discussion
4.3.1. Validation of the ResNet with High-Frequency Responses
The architectural specifics of the ResNet are elaborated upon in Section 2.3.2. For the training of the ResNet, monitoring data from the second and third days were utilized. To be precise, two discrete datasets, each spanning a duration of thirty minutes, were merged to create a comprehensive time-series dataset. In the training phase, 70% of these compiled data was appropriated for the training of the ResNet model, 20% were earmarked for testing, and the remaining 10% were reserved for validation to ascertain the precision of the proposed methodology.
The inputs to the ResNet encompassed the high-frequency responses measured at locations 04-S02 and 02-S02. The output target for the model was the high-frequency response at the midpoint cross-section, 03-S02. The validation outcomes, which illustrate the efficacy of the trained ResNet across both the time and frequency domains, are delineated in Figure 18, Figure 19 and Figure 20, respectively.
Figure 18.
Reconstruction results from ResNet and true monitoring data. (Solid line: reconstruction result with ResNet; dashed line: true monitoring data).
Figure 19.
Frequency spectrums of high-frequency strain in reconstruction results and monitoring data: (a) reconstruction results; (b) measurement results.
Figure 20.
Comparison of amplitudes of the first (a) and second (b) natural frequencies between the reconstruction results (solid line) and the direct measurement data (dashed line): (a) first frequency; (b) second frequency.
In the time domain, as evidenced in Figure 18, the high-frequency strain time histories derived from the reconstructed data closely mirrored those extracted from the monitoring data, signifying a substantial concordance between the two datasets. This correlation affirms the fidelity of the reconstruction process.
In the frequency domain, which is detailed in Figure 19, the major frequencies were observed to align with the first and second natural frequencies of the bridge. These frequencies were uniformly present in both the reconstructed and monitoring datasets. Moreover, the amplitudes associated with these frequencies exhibited a similar pattern, underscoring the consistency of the results.
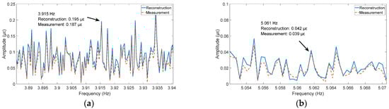
A more granular examination of the frequencies and their respective amplitudes, especially pertaining to the first and second natural frequencies, is depicted in Figure 20. The variations in amplitude at the first natural frequency of 3.915 Hz and the second natural frequency of 5.061 Hz were negligible. Such minimal discrepancies are indicative of the ResNet’s proficiency in accurately simulating the mapping function for high-frequency strain responses.
4.3.2. Transfer Reconstruction from High-Frequency to Low-Frequency Strain
The ResNet, which had been previously trained on high-frequency response data, was subsequently employed to estimate low-frequency strain without the need for additional training. It is imperative to emphasize that no new ResNet models were trained for this specific task. The low-frequency strain measurements at cross-sections 04-S02 and 02-S02 were input into the existing ResNet model, with the expectation that the output would reconstruct the low-frequency strain at the intermediate cross-section, 03-S02. It is important to note that temporal factors, such as traffic conditions or air temperature, were not explicitly captured during the monitoring period; hence, these variables were not directly represented in the input data. However, it is posited that the traffic conditions, including vehicle count, mass, and velocity, were inherently embedded within the input information, as suggested by Equations (8) and (9).
Figure 21 presents a comparative analysis between the reconstructed and measured low-frequency strains over time. The good agreement between the two datasets substantiates two fundamental conclusions. Firstly, it reaffirms that the transfer matrices for both low- and high-frequency bridge responses are indeed identical, as evidenced by Equation (15). Secondly, the close match between the predicted and actual low-frequency strains suggests that the ResNet trained on high-frequency strain data effectively simulated the transfer matrix governing the bridge’s response.
Figure 21.
Comparison between reconstructed and measured low−frequency strain at 03−S02.
The implication of these findings is that once a transfer matrix has been established using high-frequency responses, there is no necessity to conduct a separate training process for low-frequency strain. This realization implies the potential to significantly expedite the engineering process by reducing the need for extensive data collection and model training specific to low-frequency strains. Such an optimization could lead to more efficient structural health assessments and a streamlined approach to bridge monitoring and maintenance.
Furthermore, we conducted an evaluation to ascertain the versatility of the trained ResNet under varying traffic conditions and air temperatures. The ResNet, which was originally trained on high-frequency strain data from the second and third days, was provided with low-frequency strain measurements taken from 04-S02 and 02-S02 on the first day as input. This test was designed to assess the model’s capacity to generalize across different datasets. The comparison between the strain reconstructed by the ResNet and the actual measurements from 03-S02 on the first day is depicted in Figure 22.
Figure 22.
Comparison between reconstructed and measured low−frequency strain at 03−S02 on the first day. (Solid line: reconstruction result; dashed line: measured strain).
Upon reviewing Figure 22, it is clear that the reconstructed low-frequency strain closely matched the direct measurements, attesting to the model’s precision. This also implies that the transfer matrix was consisted for strains across different cross-sections, even under fluctuating traffic conditions and air temperatures. Furthermore, similar to Figure 21, Figure 22 also shows that the ResNet was able to accurately capture the time-invariant characteristics of strain responses across various cross-sections under unknown and varying traffic conditions.
4.3.3. Discussion on Transfer Reconstruction with Time-Series Prediction Method
In prior studies [34,35,36,37,38,39], response reconstruction has been treated as a time-series forecasting issue, leading to the application of time-series prediction techniques. This section further discusses the feasibility of transfer reconstruction using time-series prediction methods from existing research and compares their accuracy with that of the proposed ResNet algorithm. A typical time-series prediction method, LSTM, was utilized to simulate the transfer matrix. The LSTM and the other time-series prediction methods [10,11,12,13,14,15,16] have been validated to be effective for training a network when both the input and output data are known information.
A LSTM network was initially trained on high-frequency responses recorded at 04-S02 and 03-S02, with the target output at 03-S02. The architecture of the LSTM network closely mirrored that of the ResNet. Subsequently, this trained LSTM network was employed to reconstruct low-frequency strain, utilizing low-frequency responses at the same cross-sections. The comparison between the low-frequency strain reconstructed with the LSTM and the actual measurements is depicted in Figure 23.
Figure 23.
Comparison between the low−frequency strain reconstructed with LSTM and the measured strain at 03−S02.
In Figure 23, discrepancies are evident between the peak amplitudes of the reconstructed and measured bridge strains. Compared with the precise alignment achieved with the ResNet, the LSTM exhibited less satisfactory performance in the transfer–reconstruction process. Notably, the LSTM-reconstructed peak strain was characterized by an unusual “upper limit” around 50 με, as indicated by the solid lines in Figure 23. This limitation is presumed to be a carryover from the high-frequency training data for 03-S02. As shown in Figure 24, the maximum high-frequency strain at this location was approximately 50 με. It is hypothesized that the LSTM, in its attempt to reconstruct low-frequency responses, was constrained by the memory of the exact amplitude values from the high-frequency responses. Once the predicted low-frequency strain surpassed the maximum amplitude present in the high-frequency dataset, the LSTM enforced the upper limit, resulting in a distorted reconstruction. Drawing from the author’s experience, this discrepancy can typically be mitigated in LSTM applications by leveraging partial knowledge of the target responses and implementing normalization to align the upper limits across all datasets. i.e., overfitting of unreal time-related factors. However, in this study with the ResNet, no such prior knowledge of the low-frequency strain was assumed, and the overfitting was therefore avoided. Based on these observations, it is advisable to prefer time-irrelevant methods such as the ResNet over time-series prediction methods like LSTM for transfer–reconstruction tasks, particularly when dealing with scenarios where limited prior knowledge of the target variable is present.
Figure 24.
High−frequency strain time history at 03−S02.
5. Conclusions
In this research, we introduce a pioneering transfer–reconstruction technique designed to reconstruct low-frequency responses from high-frequency data. Our theoretical exploration of bridge dynamics within a simple VBI system establishes a crucial physical property: the transfer matrices for both low-frequency and high-frequency bridge responses remain consistent across varying traffic conditions and temperature fluctuations. Additionally, we have developed an interception algorithm capable of distinguishing between high-frequency and low-frequency responses within monitoring data. Subsequently, we propose the application of the ResNet method to model the transfer matrix across multiple cross-sections.
To substantiate the physical properties and confirm the efficacy of our proposed method, we conducted finite element simulations and field tests. The key findings of our study are summarized as follows:
- (1).
- The theoretical analysis confirms that the transfer matrix for high-frequency responses is identical to that for low-frequency responses. This matrix is independent of time and remains stable under changing traffic conditions, which can modify the external forces acting on the bridge, and under varying air temperatures, which can influence the stiffness of the bridge’s structural materials.
- (2).
- A series of numerical models was meticulously constructed. The low-frequency bridge displacement at a designated cross-section was accurately reconstructed by multiplying the regressed transfer matrix for high-frequency displacements and the low-frequency displacement input. This reconstructed outcome closely aligned with the simulation results, thereby substantiating the validity of the derived physical characteristics. Furthermore, it was confirmed that the transfer matrix maintained its constancy even amidst varying traffic conditions and alterations in the global stiffness of the bridge.
- (3).
- Through validation with monitoring data from a real continuousbridge, an example of the aforementioned constant transfer matrix representing physical characteristics was confirmed. The reconstructed low-frequency bridge responses were in close agreement with the actual values, thereby also validating the effectiveness of the proposed algorithm. Moreover, comparisons with a typical time-series prediction method such as LSTM suggest that the proposed method exhibits superior robustness.
This study demonstrates the potential of utilizing solely high-frequency responses for the reconstruction of both high-frequency and low-frequency responses. As a result, the time expenditure required for training a neural network to simulate the transfer matrix can be significantly curtailed. Comparing with existing research, particularly in the realm of purely data-driven approaches, the proposed method stands out as markedly more efficient. Furthermore, given that this advantage is theoretically grounded in the dynamic equations of structural dynamics, it is anticipated that this method could be extensively applied across various engineering scenarios.
It should be highlighted that this study method may be confined to medium-span and short-span bridges, with the simulation of the transfer matrix approached as a multiple linear regression problem. The linear structure property and constant mode shape function underpin the applicability of the proposed method. However, for long-span bridges, which exhibit nonlinear characteristics, this method may not be suitable. In particular, time-dependent factors like varying wind and traffic load must be considered. Thus, the time-irrelevant method should be adapted to include input of time-varying external load data. Furthermore, a large comprehensive database encompassing time-varying temperatures, traffic conditions, and wind forces will be essential for developing an accurate response reconstruction model. Moreover, the successful reconstruction achieved in the present study is likely to have been attributable to the high-quality monitoring data, which were characterized by a low level of noise. In scenarios with significant noise, the performance of the proposed method may not be so satisfactory. These considerations will be the subject of further exploration in future research.
Author Contributions
Conceptualization, methodology, software, validation, writing—original draft preparation, X.L.; investigation, methodology, writing—original draft preparation, C.W.; resources, data curation, Y.X.; writing—review and editing, supervision, funding acquisition, L.S.; investigation, writing—original draft preparation, W.Z. All authors have read and agreed to the published version of the manuscript.
Funding
The authors disclose receipt of the following financial support for the research, authorship, and publication of this article: Technology Cooperation Project of Shanghai Qi Zhi Institute (NO. SQZ202310); Fujian Provincial Department of Science and Technology, China (Optimization design and key technology research of urban bridge cluster monitoring. Grant NO. 2023Y0040); National Natural Science Foundation of China (Grant NO. 52278313, 5231101864).
Institutional Review Board Statement
Not applicable.
Informed Consent Statement
Not applicable.
Data Availability Statement
The data presented in this study are available on request from the corresponding author, Limin Sun.
Conflicts of Interest
Author Wei Zhang was employed by the company Fujian Provincial Construction Engineering Quality Testing Center Co., Ltd., Fujian Academy of Building Research Co., Ltd. The remaining authors declare that the research was conducted in the absence of any commercial or financial relationships that could be construed as a potential conflict of interests.
Appendix A. Derivation of the Transfer Matrix of Equation (12) [19]
Two sub-equations (Equations (A2a) and (A2b)) can be further derived from Equation (A1):
Equations (A2a) and (A2b) can be rewritten as Equations (A3a) and (A3b), respectively:
High-frequency responses at and are utilized to estimate the responses at as follows:
Then, the transfer matrix can be derived from Equations (A3a) and (A3b):
References
- RAC Foundation Report: Bridge Maintenance in Great Britain in 2016–2017. 2018. Available online: http://www.racfoundation.org/media-centre/bridge-maintenance-backlog-grows (accessed on 1 August 2024).
- Avci, O.; Abdeljaber, O.; Kiranyaz, S.; Hussein, M.; Gabbouj, M.; Inman, D.J. A Review of Vibration-Based Damage Detection in Civil Structures: From Traditional Methods to Machine Learning and Deep Learning Applications. Mech. Syst. Signal Process. 2021, 147, 107077. [Google Scholar] [CrossRef]
- He, J.; Guan, X.; Liu, Y. Structural Response Reconstruction Based on Empirical Mode Decomposition in Time Domain. Mech. Syst. Signal Process. 2012, 28, 348–366. [Google Scholar] [CrossRef]
- Zhuang, Y.; Qin, J.; Chen, B.; Dong, C.; Xue, C.; Easa, S.M. Data Loss Reconstruction Method for a Bridge Weigh-in-Motion System Using Generative Adversarial Networks. Sensors 2022, 22, 858. [Google Scholar] [CrossRef] [PubMed]
- Sun, H.; Burton, H.; Wallace, J. Reconstructing Seismic Response Demands across Multiple Tall Buildings Using Kernel-Based Machine Learning Methods. Struct. Control. Health Monit. 2019, 26, e2359. [Google Scholar] [CrossRef]
- Li, J.; Hao, H.; Chen, Z. Damage Identification and Optimal Sensor Placement for Structures under Unknown Traffic-Induced Vibrations. J. Aerosp. Eng. 2017, 30, B4015001. [Google Scholar] [CrossRef]
- Wan, H.-P.; Ni, Y.-Q. Bayesian Multi-Task Learning Methodology for Reconstruction of Structural Health Monitoring Data. Struct. Health Monit. 2019, 18, 1282–1309. [Google Scholar] [CrossRef]
- Candes, E.J.; Wakin, M.B. An Introduction to Compressive Sampling. IEEE Signal Process. Mag. 2008, 25, 21–30. [Google Scholar] [CrossRef]
- Bao, Y.; Li, H.; Sun, X.; Yu, Y.; Ou, J. Compressive Sampling–Based Data Loss Recovery for Wireless Sensor Networks Used in Civil Structural Health Monitoring. Struct. Health Monit. 2013, 12, 78–95. [Google Scholar] [CrossRef]
- Moeinifard, P.; Rajabi, M.S.; Bitaraf, M. Lost Vibration Test Data Recovery Using Convolutional Neural Network: A Case Study. arXiv 2022, arXiv:2204.05440. [Google Scholar]
- Lei, X.; Sun, L.; Xia, Y. Lost Data Reconstruction for Structural Health Monitoring Using Deep Convolutional Generative Adversarial Networks. Struct. Health Monit. 2021, 20, 2069–2087. [Google Scholar] [CrossRef]
- Fan, G.; Li, J.; Hao, H. Lost Data Recovery for Structural Health Monitoring Based on Convolutional Neural Networks. Struct. Control. Health Monit. 2019, 26, e2433. [Google Scholar] [CrossRef]
- Oh, B.K.; Glisic, B.; Kim, Y.; Park, H.S. Convolutional Neural Network–Based Data Recovery Method for Structural Health Monitoring. Struct. Health Monit. 2020, 19, 1821–1838. [Google Scholar] [CrossRef]
- Kim, S.G.; Chae, Y.H.; Seong, P.H. Development of a Generative-Adversarial-Network-Based Signal Reconstruction Method for Nuclear Power Plants. Ann. Nucl. Energy 2020, 142, 107410. [Google Scholar] [CrossRef]
- Li, L.; Zhou, H.; Liu, H.; Zhang, C.; Liu, J. A Hybrid Method Coupling Empirical Mode Decomposition and a Long Short-Term Memory Network to Predict Missing Measured Signal Data of SHM Systems. Struct. Health Monit. 2021, 20, 1778–1793. [Google Scholar] [CrossRef]
- Wang, Z.; Li, A.; Zhang, W.; Zhang, Y. Long-Term Missing Wind Data Recovery Using Free Access Databases and Deep Learning for Bridge Health Monitoring. J. Wind. Eng. Ind. Aerodyn. 2022, 230, 105201. [Google Scholar] [CrossRef]
- Chen, Z.; Li, H.; Bao, Y. Analyzing and Modeling Inter-Sensor Relationships for Strain Monitoring Data and Missing Data Imputation: A Copula and Functional Data-Analytic Approach. Struct. Health Monit. 2019, 18, 1168–1188. [Google Scholar] [CrossRef]
- Yang, Y.B.; Lin, C.W. Vehicle–Bridge Interaction Dynamics and Potential Applications. J. Sound Vib. 2005, 284, 205–226. [Google Scholar] [CrossRef]
- Lu, X.; Sun, L.; Xia, Y. Reconstruction of High-Frequency Bridge Responses Based on Physical Characteristics of VBI System with BP-ANN. Appl. Sci. 2024, 14, 6757. [Google Scholar] [CrossRef]
- Lu, X.; Qu, G.; Sun, L.; Xia, Y.; Sun, H.; Zhang, W. Physically Guided Estimation of Vehicle Loading-Induced Low-Frequency Bridge Responses with BP-ANN. Buildings 2024, 14, 2995. [Google Scholar] [CrossRef]
- Li, J.-A.; Feng, D. A Comparative Study of Vehicle-Bridge Interaction Dynamics with 2D and 3D Vehicle Models. Eng. Struct. 2023, 292, 116493. [Google Scholar] [CrossRef]
- He, K.; Zhang, X.; Ren, S.; Sun, J. Deep Residual Learning for Image Recognition. In Proceedings of the 2016 IEEE Conference on Computer Vision and Pattern Recognition (CVPR), Las Vegas, NV, USA, 27–30 June 2016; pp. 770–778. [Google Scholar]
- Lu, X.; Kim, C.-W.; Chang, K.-C.; Han, Z.; Sun, L. Bridge Frequency Identification Using Cross-Power Spectra of Vehicle Vibrations from Multiple Moving Speeds. Int. J. Str. Stab. Dyn. 2023, 23, 2340035. [Google Scholar] [CrossRef]
- Paultre, P.; Chaallal, O.; Proulx, J. Bridge Dynamics and Dynamic Amplification Factors—A Review of Analytical and Experimental Findings. Can. J. Civ. Eng. 1992, 19, 260–278. [Google Scholar] [CrossRef]
- He, W.-Y.; Zhu, S. Moving Load-Induced Response of Damaged Beam and Its Application in Damage Localization. J. Vib. Control. 2016, 22, 3601–3617. [Google Scholar] [CrossRef]
- MATLAB. Signal Processing Toolbox (Version R2022a). MathWorks. Available online: https://www.mathworks.com/help/signal/ref/highpass.html#mw_dcf4bbd2-1e29-4f0f-819f-39d872f77a14_seealso (accessed on 27 September 2024).
- Shafiq, M.; Gu, Z. Deep Residual Learning for Image Recognition: A Survey. Appl. Sci. 2022, 12, 8972. [Google Scholar] [CrossRef]
- Ukil, A.; Bandyopadhyay, S.; Pal, A. Sig-R2ResNet: Residual Network with Signal Processing-Refined Residual Mapping, Auto-Tuned L1-Regularization with Modified Adam Optimizer for Time Series Classification. In Proceedings of the 2020 International Joint Conference on Neural Networks (IJCNN), Glasgow, UK, 19–24 July 2020; pp. 1–8. [Google Scholar]
- Xu, Q.; Huang, Q. A3R-Net: Adaptive Attention Aggregation Residual Network for Sparse DOA Estimation. Signal Image Video Process. 2024, 18, 2939–2949. [Google Scholar] [CrossRef]
- Yang, Y.B.; Li, Y.C.; Chang, K.C. Using Two Connected Vehicles to Measure the Frequencies of Bridges with Rough Surface: A Theoretical Study. Acta Mech. 2012, 223, 1851–1861. [Google Scholar] [CrossRef]
- Dassault Systèmes. Abaqus 6.11 Analysis User’s Manual; Dassault Systemes Simulia Corporation: Providence, RI, USA, 2011. [Google Scholar]
- Lu, X.; Kim, C.-W.; Chang, K.-C. Finite Element Analysis Framework for Dynamic Vehicle-Bridge Interaction System Based on ABAQUS. Int. J. Str. Stab. Dyn. 2020, 20, 2050034. [Google Scholar] [CrossRef]
- Xia, Y.; Lei, X.; Wang, P.; Liu, G.; Sun, L. Long-Term Performance Monitoring and Assessment of Concrete Beam Bridges Using Neutral Axis Indicator. Struct. Control. Health Monit. 2020, 27, e2637. [Google Scholar] [CrossRef]
- Li, H.; Wang, T.; Wu, G. Dynamic Response Prediction of Vehicle-Bridge Interaction System Using Feedforward Neural Network and Deep Long Short-Term Memory Network. Structures 2021, 34, 2415–2431. [Google Scholar] [CrossRef]
- Fan, G.; Li, J.; Hao, H.; Xin, Y. Data Driven Structural Dynamic Response Reconstruction Using Segment Based Generative Adversarial Networks. Eng. Struct. 2021, 234, 111970. [Google Scholar] [CrossRef]
- Li, Y.; Ni, P.; Sun, L.; Zhu, W. A Convolutional Neural Network-Based Full-Field Response Reconstruction Framework with Multitype Inputs and Outputs. Struct. Control. Health Monit. 2022, 29, e2961. [Google Scholar] [CrossRef]
- Lu, Y.; Tang, L.; Chen, C.; Zhou, L.; Liu, Z.; Liu, Y.; Jiang, Z.; Yang, B. Reconstruction of Structural Long-Term Acceleration Response Based on BiLSTM Networks. Eng. Struct. 2023, 285, 116000. [Google Scholar] [CrossRef]
- Xin, J.; Zhou, C.; Jiang, Y.; Tang, Q.; Yang, X.; Zhou, J. A Signal Recovery Method for Bridge Monitoring System Using TVFEMD and Encoder-Decoder Aided LSTM. Measurement 2023, 214, 112797. [Google Scholar] [CrossRef]
- Xu, Y.; Tian, Y.; Li, H. Unsupervised Deep Learning Method for Bridge Condition Assessment Based on Intra-and Inter-Class Probabilistic Correlations of Quasi-Static Responses. Struct. Health Monit. 2023, 22, 600–620. [Google Scholar] [CrossRef]
Disclaimer/Publisher’s Note: The statements, opinions and data contained in all publications are solely those of the individual author(s) and contributor(s) and not of MDPI and/or the editor(s). MDPI and/or the editor(s) disclaim responsibility for any injury to people or property resulting from any ideas, methods, instructions or products referred to in the content. |
© 2024 by the authors. Licensee MDPI, Basel, Switzerland. This article is an open access article distributed under the terms and conditions of the Creative Commons Attribution (CC BY) license (https://creativecommons.org/licenses/by/4.0/).