Application of Natural and Modified Zeolite Sediments for the Stabilization of Cadmium and Lead in Contaminated Mining Soil
Abstract
Featured Application
Abstract
1. Introduction
2. Materials and Methods
2.1. Collection of Soil and Zeolite Sediments
2.2. Preparation and Modification of Zeolite Sediments
2.3. Characterization of Soil Samples
2.4. Characterization of Natural and Modified Zeolite Sediments
2.5. Adsorption Experiment
2.6. Kinetics Study
2.7. Effect of Incubation Period on Metal Stabilization
2.8. Statistical Analysis
3. Results and Discussion
3.1. Characterization of the Collected Soil
3.2. Characterization of the Zeolite Sediments
3.3. Adsorption Batch Experiments
3.3.1. Effect of Adsorbent Dose and Particle Size
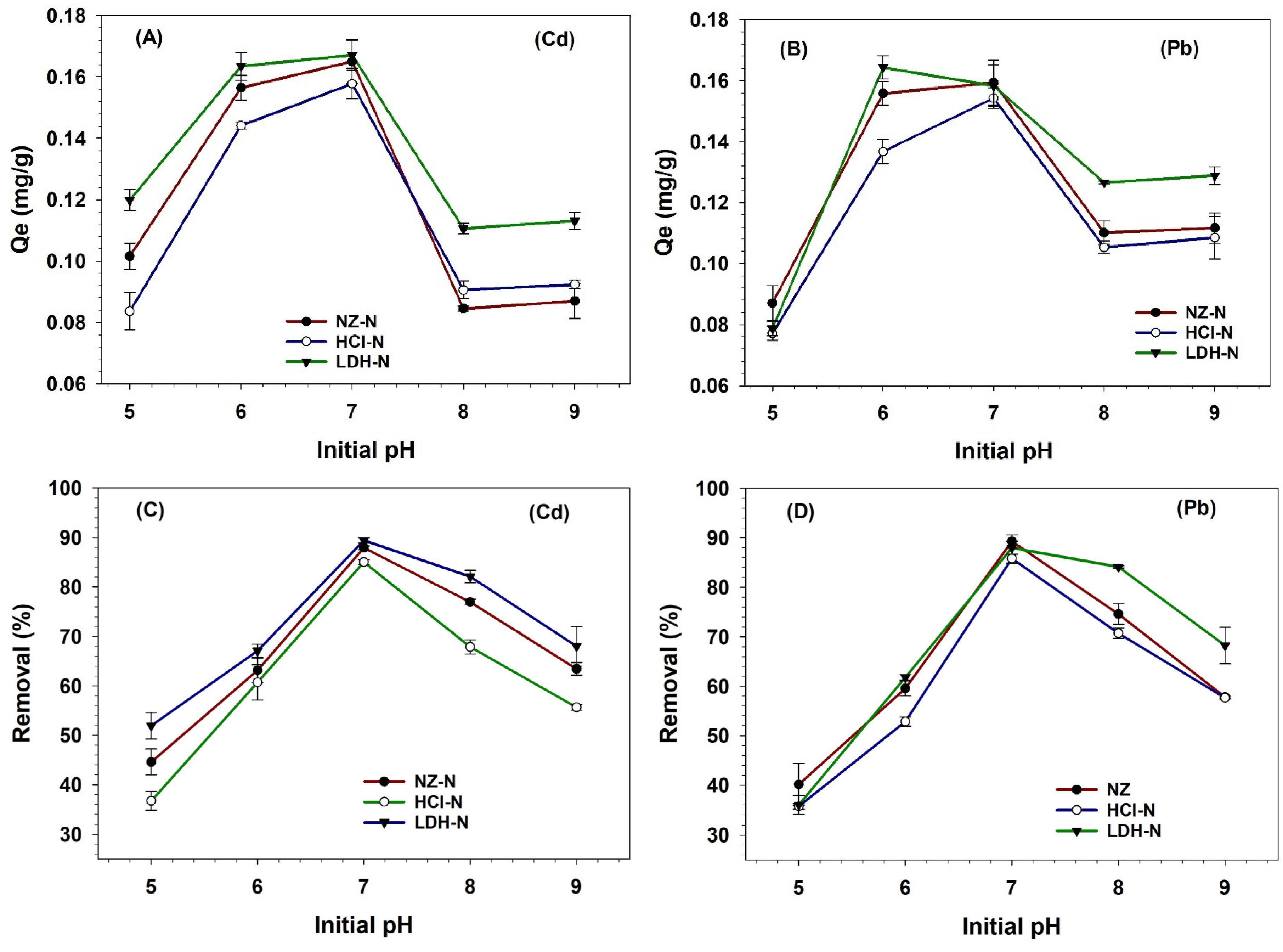
3.3.2. Effect of Initial pH
3.4. Kinetics Experiment
3.5. Incubation Study
3.6. Mechanism of Adsorption
4. Conclusions
Author Contributions
Funding
Institutional Review Board Statement
Informed Consent Statement
Data Availability Statement
Acknowledgments
Conflicts of Interest
References
- Alhawas, M.S.; Rafique, M.I.; Ahmad, M.; Al-Wabel, M.I.; Usman, A.R.A.; Al-Swadi, H.A.; Al-Farraj, A.S. Ball mill, humic acid, and rock phosphate-modified conocarpus biochar for efficient removal of heavy metals from contaminated water. Sustainability 2023, 15, 11474. [Google Scholar] [CrossRef]
- Rafique, M.I.; Usman, A.R.; Ahmad, M.; Sallam, A.; Al-Wabel, M.I. In situ immobilization of Cr and its availability to maize plants in tannery waste–contaminated soil: Effects of biochar feedstock and pyrolysis temperature. J. Soils Sediments 2020, 20, 330–339. [Google Scholar] [CrossRef]
- Rafique, M.I.; Usman, A.R.; Ahmad, M.; Al-Wabel, M.I. Immobilization and mitigation of chromium toxicity in aqueous solutions and tannery waste-contaminated soil using biochar and polymer-modified biochar. Chemosphere 2021, 266, 129198. [Google Scholar] [CrossRef] [PubMed]
- Alazzaz, A.; Rafique, M.I.; Al-Swadi, H.; Ahmad, M.; Alsewaileh, A.S.; Usman, A.R.; Al-Wabel, M.I.; Al-Farraj, A.S. Date palm-magnetized biochar for in-situ stabilization of toxic metals in mining-polluted soil: Evaluation using single-step extraction methods and phytoavailability. Int. J. Phytorem. 2023, 25, 1687–1698. [Google Scholar] [CrossRef] [PubMed]
- Rodriguez-Franco, C.; Page-Dumroese, D.S. Woody biochar potential for abandoned mine land restoration in the US: A review. Biochar 2021, 3, 7–22. [Google Scholar] [CrossRef]
- Agency for Toxic Substances and Disease Registry of the U.S. Department of Health and Human Services (ATSDR). Toxicological Profile for Thallium; under Contract No. 205-88-0608; Prepared by Clement International Corp., ATSDR: Atlanta, GA, USA, 2003.
- Dong, C.; Taylor, M.P.; Kristensen, L.J.; Zahran, S. Environmental contamination in an Australian mining community and potential influences on early childhood health and behavioural outcomes. Environ. Pollut. 2015, 207, 345–356. [Google Scholar] [CrossRef]
- Park, J.H.; Choppala, G.; Lee, S.J.; Bolan, N.; Chung, J.W.; Edraki, M. Comparative sorption of Pb and Cd by biochars and its implication for metal immobilization in soils. Water Air Soil. Pollut. 2013, 224, 1711. [Google Scholar] [CrossRef]
- Usman, A.R.; Abduljabbar, A.; Vithanage, M.; Ok, Y.S.; Ahmad, M.; Ahmad, M.; Elfaki, J.; Sallam, S.A.; Al-Wabel, M.I. Biochar production from date palm waste: Charring temperature induced changes in composition and surface chemistry. J. Anal. Appl. Pyrolysis 2015, 115, 392–400. [Google Scholar] [CrossRef]
- Makusa, G.P. Soil Stabilization Methods and Materials; Lulea University of Technology: Luleå, Sweden, 2012. [Google Scholar]
- Jiang, Q.; He, Y.; Wu, Y.; Dian, B.; Zhang, J.; Li, T.; Jiang, M. Solidification/stabilization of soil heavy metals by alkaline industrial wastes: A critical review. Environ. Pollut. 2022, 312, 120094. [Google Scholar] [CrossRef]
- Belviso, C. Zeolite for potential toxic metal uptake from contaminated soil: A brief review. Processes 2020, 8, 820. [Google Scholar] [CrossRef]
- Rafique, M.I.; Ahmad, M.; Al-Wabel, M.I.; Ahmad, J.; Al-Farraj, A.S. Mitigating the toxic effects of chromium on wheat (Triticum aestivum L.) seed germination and seedling growth by using biochar and polymer-modified biochar in contaminated soil. Sustainability 2022, 14, 16093. [Google Scholar] [CrossRef]
- Breck, D.W. Recent advances in zeolite science. In Molecular Sieve Zeolites-I; Flanigen, E., Sand, L., Eds.; ACS Publications: Washington, DC, USA, 1974; Volume 101, pp. 1–19. [Google Scholar]
- Velarde, L.; Nabavi, M.S.; Escalera, E.; Antti, M.L.; Akhtar, F. Adsorption of heavy metals on natural zeolites: A review. Chemosphere 2023, 328, 138508. [Google Scholar] [CrossRef] [PubMed]
- Senila, M.; Cadar, O. Modification of natural zeolites and their applications for heavy metal removal from polluted environments: Challenges, recent advances, and perspectives. Heliyon 2024, 10, e25303. [Google Scholar] [CrossRef] [PubMed]
- Arunkumar, D.; Krishnani, K.K.; Kumar, N.; Sarkar, B.; Upadhyay, A.K.; Sawant, P.B.; Chadha, N.K.; Abisha, R. Mitigating abiotic stresses using natural and modified stilbites synergizing with changes in oxidative stress markers in aquaculture. Environ. Geochem. Health 2023, 45, 4565–4581. [Google Scholar] [CrossRef]
- Ates, A.; Hardacre, C. The effect of various treatment conditions on natural zeolites: Ion exchange, acidic, thermal and steam treatments. J. Colloid Interface Sci. 2012, 372, 130–140. [Google Scholar] [CrossRef]
- Krstić, V. Chapter 14 - Role of Zeolite Adsorbent in Water Treatment. In Micro and Nano Technologies, Handbook of Nanomaterials for Wastewater Treatment; Bhanvase, B., Sonawane, S., Pawade, V., Pandit, A., Eds.; Elsevier: Amsterdam, The Netherlands, 2021; pp. 417–481. [Google Scholar] [CrossRef]
- Christidis, G.E.; Moraetis, D.; Keheyan, E.; Akhalbedashvili, L.; Kekelidze, N.; Gevorkya, R.; Yeritsyan, H.; Sargsyan, H. Chemical and thermal modification of natural HEU-type zeolitic materials from Armenia, Georgia and Greece. Appl. Clay Sci. 2003, 24, 79–91. [Google Scholar] [CrossRef]
- Wahono, S.; Prasetyo, D.J.; Jatmiko, T.H.; Suwanto, A.; Pratiwi, D.; Vasilev, K. Transformation of mordenite-clinoptilolite natural zeolite at different calcination temperatures. IOP Conf. Series: Earth Environ. Sci. 2019, 251, 012009. [Google Scholar] [CrossRef]
- Elkartehi, M.E.; Mahmoud, R.; Shehata, N.; Farghali, A.; Gamil, S.; Zaher, A. LDH nanocubes synthesized with zeolite templates and their high performance as adsorbents. Nanomaterials 2021, 11, 3315. [Google Scholar] [CrossRef]
- Li, J.; Zhan, Y.; Lin, J.; Jiang, A.; Xi, W. Removal of bisphenol A from aqueous solution using cetylpyridinium bromide (CPB)-modified natural zeolites as adsorbents. Environ. Earth Sci. 2014, 72, 3969–3980. [Google Scholar] [CrossRef]
- Luo, H.; Law, W.W.; Wu, Y.; Zhu, W.; Yang, E.H. Hydrothermal synthesis of needle-like nanocrystalline zeolites from metakaolin and their applications for efficient removal of organic pollutants and heavy metals. Microporous Mesoporous Mater 2018, 272, 8–15. [Google Scholar] [CrossRef]
- Lahori, A.H.; Zhanyu, G.; Zhang, Z.; Ronghua, L.; Mahar, A.; Awasthi, M.K.; Feng, S.; Sial, T.A.; Kumbhar, F.; Ping, W.; et al. Use of biochar as an amendment for remediation of heavy metal-contaminated soils: Prospects and challenges. Pedosphere 2017, 27, 991–1014. [Google Scholar] [CrossRef]
- Nguyen, T.B.H.; Van, H.T. Application of modified zeolite in the remediation of heavy metal in contaminated soil: A short review. Technol. Agron. 2024, 4, e002. [Google Scholar] [CrossRef]
- Dang, V.M.; Van, H.T.; Vinh, N.D.; Duong, T.M.H.; Nguyen, T.B.H.; Nguyen, T.T.; Tran, T.N.H.; Hoang, T.K.; Tran, T.P.; Nguyen, L.H.; et al. Enhancement of exchangeable Cd and Pb immobilization in contaminated soil using Mg/Al LDH-zeolite as an effective adsorbent. RSC Adv. 2021, 11, 17007–17019. [Google Scholar] [CrossRef]
- Dang, H.H.; Nguyen, D.T.C.; Nguyen, T.T.; Nguyen, T.T.T.; Vo, D.V.N.; Nguyen, T.D.; Lee, T.; Tran, T.V. Zeolitic-imidazolate framework-derived N-self-doped porous carbons with ultrahigh theoretical adsorption capacities for tetracycline and ciprofloxacin. J. Environ. Chem. Eng. 2021, 9, 104938. [Google Scholar] [CrossRef]
- Wen, J.; Yi, Y.; Zeng, G. Effects of modified zeolite on the removal and stabilization of heavy metals in contaminated lake sediment using BCR sequential extraction. J. Environ. Manag. 2016, 178, 63–69. [Google Scholar] [CrossRef]
- Rhoades, J.D. Salinity: Electrical conductivity and total dissolved solids. Methods Soil Anal. Part 3 Chem. Methods 1996, 5, 417–435. [Google Scholar]
- Sparks, D.L. Methods of Soil Analysis; Soil Society of American: Madison, WI, USA, 1996. [Google Scholar]
- Loeppert, R.H.; Suarez, D.L. Carbonate and gypsum. Methods Soil Anal. Part 3 Chem. Methods 1996, 5, 437–474. [Google Scholar]
- Gee, G.W.; Bauder, J.W. Particle-size analysis. Methods Soil Anal. Part 1 1994, 1, 377–382. [Google Scholar]
- Walkley, A.; Black, I.A. An examination of the Degtjareff method for determining soil organic matter and a proposed modification of the chromic acid titration method. Soil Sci. 1934, 37, 29–37. [Google Scholar] [CrossRef]
- Hossner, L.R. Dissolution for total elemental analysis. In Methods of Soil Analysis: Part 3e Chemical Methods; Sparks, D., Bigham, J.M., Eds.; SSSA and ASA: Madison, WI, USA, 1996; Volume 38, pp. 2221–2295. [Google Scholar]
- Richards, L.A. Diagnosis and Improvement of Saline and Alkali Soils; US Department of Agriculture: Washington, DC, USA, 1954; Volume 78, p. 154. [CrossRef]
- Sparks, D.L. Kinetics of soil chemical phenomena: Future directions. Future Prospect. Soil Chem. 1998, 55, 81–101. [Google Scholar]
- Foo, K.Y.; Hameed, B.H. Insights into the modeling of adsorption isotherm systems. Chem. Eng. J. 2010, 156, 2–10. [Google Scholar] [CrossRef]
- WHO/FAO. Codex Alimentarius Commission. Food Additives and Contaminants. Joint FAO; WHO Food Standard Programme: Geneva, Switzerland, 2001; Available online: https://www.who.int/groups/joint-fao-who-expert-committee-on-food-additives-(jecfa)/about (accessed on 1 November 2024).
- Al-Swadi, H.A.; Usman, A.R.; Al-Farraj, A.S.; Al-Wabel, M.I.; Ahmad, M.; Al-Faraj, A. Sources, toxicity potential, and human health risk assessment of heavy metals-laden soil and dust of urban and suburban areas as affected by industrial and mining activities. Sci. Rep. 2022, 12, 8972. [Google Scholar] [CrossRef] [PubMed]
- Bezerra, B.G.; Bieseki, L.; Mello, M.I.D.; Silva, D.R.D.; Rodella, C.B.; Pergher, S. Memory effect on a LDH/zeolite a composite: An XRD in situ study. Materials 2021, 14, 2102. [Google Scholar] [CrossRef]
- Ates, A.; Akgül, G. Modification of natural zeolite with NaOH for removal of manganese in drinking water. Powder Technol. 2016, 287, 285–291. [Google Scholar] [CrossRef]
- Rahmani, F.; Haghighi, M.; Amini, M. The beneficial utilization of natural zeolite in preparation of Cr/clinoptilolite nanocatalyst used in CO2-oxidative dehydrogenation of ethane to ethylene. J. Ind. Eng. Chem. 2015, 31, 142–155. [Google Scholar] [CrossRef]
- Khoshbin, R.; Haghighi, M. Direct conversion of syngas to dimethyl ether as a green fuel over CuO-ZnO-Al2O3/HZSM-5 nanocatalyst: Effect of aging time on physicochemical and catalytic properties. J. Renew. Sustain. Energy 2015, 7, 023127. [Google Scholar] [CrossRef]
- Saleh, R.; Zaki, A.H.; El-Ela, F.I.A.; Farghali, A.A.; Taha, M.; Mahmoud, R. Consecutive removal of heavy metals and dyes by a fascinating method using titanate nanotubes. J. Environ. Chem. Eng. 2021, 9, 104726. [Google Scholar] [CrossRef]
- Alshameri, A.; He, H.; Dawood, A.S.; Zhu, J. Simultaneous removal of NH4+ and PO43-from simulated reclaimed waters by modified natural zeolite. Preparation, characterization and thermodynamics. Environ. Prot. Eng. 2017, 43, 73–92. [Google Scholar] [CrossRef]
- Gao, Y.; Ru, Y.; Zhou, L.; Wang, X.; Wang, J. Preparation and characterization of chitosan-zeolite molecular sieve composite for ammonia and nitrate removal. Adv. Compos. Lett. 2018, 27, 096369351802700502. [Google Scholar] [CrossRef]
- Gebretsadik, T.T.; Gebremedhin, T.K. Structural studies of natural zeolites and optimizations for water hardness softening media. J. Met. Mater. Miner. 2020, 30. [Google Scholar] [CrossRef]
- Kandilli, C.; Acikbas, Y.; Uzel, M. Investigation of thermophysical properties of natural zeolite plates enhanced with graphite powder for thermal management of PV thermal systems. J. Clean. Prod. 2021, 318, 128558. [Google Scholar] [CrossRef]
- Aloulou, H.; Bouhamed, H.; Ghorbel, A.; Amar, R.B.; Khemakhem, S. Elaboration and characterization of ceramic microfiltration membranes from natural zeolite: Application to the treatment of cuttlefish effluents. Desalination Water Treat. 2017, 95, 9–17. [Google Scholar] [CrossRef]
- Senila, M.; Neag, E.; Cadar, O.; Kovacs, E.D.; Aschilean, I.; Kovacs, M.H. Simultaneous removal of heavy metals (Cu, Cd, Cr, Ni, Zn and Pb) from aqueous solutions using thermally treated Romanian zeolitic volcanic tuff. Molecules 2022, 27, 3938. [Google Scholar] [CrossRef] [PubMed]
- Pernyeszi, T.; Farkas, R.; Kovács, J. Methylene blue adsorption study on microcline particles in the function of particle size range and temperature. Minerals 2019, 9, 555. [Google Scholar] [CrossRef]
- Kumar, P.S.; Korving, L.; van Loosdrecht, M.C.; Witkamp, G.J. Adsorption as a technology to achieve ultra-low concentrations of phosphate: Research gaps and economic analysis. Water Res. X 2019, 4, 100029. [Google Scholar] [CrossRef]
- Zhang, T.; Wang, W.; Zhao, Y.; Bai, H.; Wen, T.; Kang, S.; Song, G.; Song, S.; Komarneni, S. Removal of heavy metals and dyes by clay-based adsorbents: From natural clays to 1D and 2D nano-composites. Chem. Eng. J. 2021, 420, 127574. [Google Scholar] [CrossRef]
- Kumara, G.M.P.; Kawamoto, K. Use of natural zeolite and its mixtures to refine high-concentrated heavy metal-contaminated wastewater: An investigation of simultaneous removal of Cd (II) and Pb (II) by batch adsorption method. Water Air Soil Pollut. 2021, 232, 1–17. [Google Scholar] [CrossRef]
- Alqadami, A.A.; Wabaidur, S.M.; Jeon, B.H.; Khan, M.A. Co-hydrothermal valorization of food waste: Process optimization, characterization, and water decolorization application. Biomass-Convers. Biorefinery 2023, 14, 15757–15768. [Google Scholar] [CrossRef]
- Khan, M.A.; Wabaidur, S.M.; Siddiqui, M.R.; Alqadami, A.A.; Khan, A.H. Silico-manganese fumes waste encapsulated cryogenic alginate beads for aqueous environment de-colorization. J. Clean. Prod. 2020, 244, 118867. [Google Scholar] [CrossRef]
- Khan, Z.H.; Gao, M.; Qiu, W.; Islam, M.S.; Song, Z. Mechanisms for cadmium adsorption by magnetic biochar composites in an aqueous solution. Chemosphere 2020, 246, 125701. [Google Scholar] [CrossRef]
- Velarde, L.; Nikjoo, D.; Escalera, E.; Akhtar, F. Bolivian natural zeolite as a low-cost adsorbent for the adsorption of cadmium: Isotherms and kinetics. Heliyon 2024, 10, e24006. [Google Scholar] [CrossRef] [PubMed]
- Zou, W.; Han, R.; Chen, Z.; Jinghua, Z.; Shi, J. Kinetic study of adsorption of Cu (II) and Pb (II) from aqueous solutions using manganese oxide coated zeolite in batch mode. Colloids Surf. A Physicochem. Eng. Asp. 2006, 279, 238–246. [Google Scholar] [CrossRef]
- Buasri, A.; Chaiyut, N.; Phattarasirichot, K.; Yongbut, P.; Nammueng, L. Use of natural clinoptilolite for the removal of lead (II) from wastewater in batch experiment. Chiang Mai J. Sci. 2008, 35, 447–456. [Google Scholar]
- Han, T.; Zhang, S.; Zhang, C. Unlocking the secrets behind liquid superlubricity: A state-of-the-art review on phenomena and mechanisms. Friction 2022, 10, 1137–1165. [Google Scholar] [CrossRef]
- Xiao, C.; Li, J.J.; Chen, L.; Zhang, C.H.; Zhou, N.N.; Qing, T.; Qian, L.M.; Zhang, J.Y.; Luo, J.B. Water-based superlubricity in vacuum. Friction 2019, 7, 192–198. [Google Scholar] [CrossRef]
- Jin, X.; Li, H.; Zhu, X.; Li, N.; Owens, G.; Chen, Z. Enhanced removal of oxytetracycline from wastewater using bimetallic Fe/Ni nanoparticles combined with ZIF-8 nanocomposites. J. Environ. Manag. 2022, 318, 115526. [Google Scholar] [CrossRef]
- Fu, Q.; Zhou, S.; Wu, P.; Hu, J.; Lou, J.; Du, B.; Mo, C.; Yan, W.; Luo, J. Regenerable zeolitic imidazolate frameworks@agarose (ZIF-8@AG) composite for highly efficient adsorption of Pb(II) from water. J. Solid State Chem. 2022, 307, 122823. [Google Scholar] [CrossRef]
- Zheng, R.; Feng, X.; Zou, W.; Wang, R.; Yang, D.; Wei, W.; Li, S.; Chen, H. Converting loess into zeolite for heavy metal polluted soil remediation based on “soil for soil-remediation” strategy. J. Hazard. Mater. 2021, 412, 125199. [Google Scholar] [CrossRef]
- Shi, W.Y.; Li, H.; Du, S.; Wang, K.B.; Shao, H.B. Immobilization of lead by application of zeolite: Leaching column and rhizobox incubation studies. Appl. Clay Sci. 2013, 85, 103–108. [Google Scholar] [CrossRef]
- Ibrahim, H.M.; Alghamdi, A.G. Effect of the Particle Size of Clinoptilolite Zeolite on Water Content and Soil Water Storage in a Loamy Sand Soil. Water 2021, 13, 607. [Google Scholar] [CrossRef]
- Anari-Anaraki, M.; Nezamzadeh-Ejhieh, A. Modification of an Iranian clinoptilolite nano-particles by hexadecyltrimethyl ammonium cationic surfactant and dithizone for removal of Pb(II) from aqueous solution. J. Colloid Interface Sci. 2015, 440, 272–281. [Google Scholar] [CrossRef] [PubMed]
- Ren, H.; Jiang, J.; Wu, D.; Gao, Z.; Sun, Y.; Luo, C. Selective adsorption of Pb(II) and Cr(VI) by surfactant-modified and unmodified natural zeolites: A comparative study on kinetics, equilibrium, and mechanism. Water Air Soil Pollut. 2016, 227, 1–11. [Google Scholar] [CrossRef]
- Aloui, L.; Mezghich, S.; Mansour, L.; Hraiech, S.; Ayari, F. Swift Removal of the Heavy Metals Cadmium and Lead from an Aqueous Solution by a CAN-Zeolite Synthesized from Natural Clay. ChemEngineering 2023, 7, 113. [Google Scholar] [CrossRef]
- Jim’enez-Reyes, M.; Almaz´an-S´anchez, P.T.; Solache-Ríos, M. Radioactive waste treatments by using zeolites. A short review. J. Environ. Radioact. 2021, 233, 106610. [Google Scholar] [CrossRef]
- Al-Haj-Ali, A.; Al-Hunaidi, T. Breakthrough curves and column design parameters for sorption of lead ions by natural zeolite. Environ. Technol. 2010, 25, 1009–1019. [Google Scholar] [CrossRef]
- Kragovi´c, M.; Dakovi´c, A.; Markovi´c, M.; Krsti´c, J.; Gatta, G.D.; Rotiroti, N. Characterization of lead sorption by the natural and Fe(III)-modified zeolite. Appl. Surf. Sci. 2013, 283, 764–774. [Google Scholar] [CrossRef]
- Shirzadi, H.; Nezamzadeh-Ejhieh, A. An efficient modified zeolite for simultaneous removal of Pb(II) and Hg(II) from aqueous solution. J. Mol. Liq. 2017, 230, 221–229. [Google Scholar] [CrossRef]









| No | Sediment Name | Description |
|---|---|---|
| 1 | NZ-M | Natural zeolite with microparticle size. |
| 2 | NZ-N | Natural zeolite with nanoparticle size. |
| 3 | LDH-M | LDH-modified zeolite with microparticle size. |
| 4 | LDH-N | LDH-modified zeolite with nanoparticle size. |
| 5 | HCl-M | HCl-modified zeolite with microparticle size. |
| 6 | HCl-N | HCl-modified zeolite with nanoparticle size. |
| 7 | NaOH-M | NaOH-modified zeolite with microparticle size. |
| 8 | NaOH-N | NaOH-modified zeolite with nanoparticle size. |
| 9 | NaCl-M | NaCl-modified zeolite in the microparticle size. |
| 10 | NaCl-N | NaCl-modified zeolite in the nanoparticle size. |
| EC (dSm−1) | pH (1:2.5) | CEC (cmol kg−1) | OM (%) | CaCO3 (%) | Texture |
|---|---|---|---|---|---|
| 0.4 ± 0.1 | 7.8 ± 0.2 | 9.3 ± 1.2 | 0.8 ± 0.1 | 2.4 ± 0.4 | Sandy loam |
| Total Metal Concentration (mg/kg) | |||||
| Cd | Cu | Ni | Pb | Zn | As |
| 13.0 ± 1.6 | 458.1 ± 8.6 | 116.7 ± 0.4 | 193.5 ± 0.3 | 1864.1 ± 0.9 | 16.2 ± 0.8 |
| No | Sediments | pH (1:5 w/v) | EC (dSm−1) | CEC (cmol kg−1) |
|---|---|---|---|---|
| 1 | NZ-M | 8.1 ± 0.1 | 1.9 ± 0.1 | 17.1 ± 1.1 |
| 2 | NZ-N | 7.6 ± 0.1 | 0.3 ± 0.1 | 62.4 ± 1.4 |
| 3 | LDH-M | 8.3 ± 0.1 | 0.7 ± 0.1 | 72.2 ± 1.5 |
| 4 | LDH-N | 7.9 ± 0.1 | 0.6 ± 0.1 | 81.7 ± 1.9 |
| 5 | HCl-M | 6.1 ± 0.1 | 0.3 ± 0.1 | 35.2 ± 1.0 |
| 6 | HCl-N | 6.0 ± 0.1 | 0.2 ± 0.1 | 60.3 ± 1.4 |
| 7 | NaOH-M | 11.2 ± 0.2 | 2.3 ± 0.1 | 36.1 ± 1.1 |
| 8 | NaOH-N | 9.7 ± 0.2 | 1.3 ± 0.1 | 68.8 ± 1.8 |
| 9 | NaCl-M | 8.9 ± 0.1 | 1.9 ± 0.1 | 24.8 ± 1.1 |
| 10 | NaCl-N | 8.0 ± 0.1 | 0.8 ± 0.1 | 49.7 ± 1.3 |
| Sample | BET Surface Area | Pore Volume | Pore Size |
|---|---|---|---|
| (m2 g−1) | (cm³ g−1) | (Å) | |
| NZ-M | 9.1 ± 0.1 | 0.023 | 101.328 |
| NZ-N | 20.8 ± 0.2 | 0.027 | 51.947 |
| LDH-M | 19.7 ± 0.1 | 0.051 | 103.852 |
| LDH-N | 37.2 ± 0.3 | 0.046 | 51.551 |
| HCl-M | 14.8 ± 0.1 | 0.028 | 76.746 |
| HCl-N | 36.1 ± 1.3 | 0.115 | 124.087 |
| NaOH-M | 15.4 ± 0.2 | 0.067 | 175.916 |
| NaOH-N | 35.1 ± 0.7 | 0.112 | 128.437 |
| NaCl-M | 11.3 ± 0.1 | 0.027 | 96.939 |
| NaCl-N | 23.4 ± 0.3 | 0.025 | 49.919 |
| Cd | ||||||||
|---|---|---|---|---|---|---|---|---|
| Adsorbents | First Order | Pseudo-Second Order | ||||||
| r2 | k1 | SEE | r2 | SEE | k2′ | qe (mg g−1) | h | |
| NZ-N | 0.95 | 0.06 | 0.0003 | 0.97 | 0.0007 | 0.171 | 1.529 | 0.438 |
| LDH-N | 0.96 | 0.07 | 0.0003 | 0.99 | 0.0009 | 0.172 | 1.599 | 0.399 |
| HCl-N | 0.93 | 0.06 | 0.0002 | 0.99 | 0.0007 | 0.170 | 1.556 | 0.411 |
| Pb | ||||||||
| r2 | k1 | SEE | r2 | SEE | k2′ | qe (mg g−1) | h | |
| NZ-N | 0.95 | 0.04 | 0.0003 | 0.99 | 0.0002 | 0.634 | 0.374 | 0.104 |
| LDH-N | 0.96 | 0.08 | 0.0009 | 0.99 | 0.0014 | 0.874 | 0.382 | 0.089 |
| HCl-N | 0.94 | 0.06 | 0.0004 | 0.98 | 0.0006 | 0.713 | 0.334 | 0.097 |
| Adsorbent | Metal | Removal Efficiency (%) | Reference |
|---|---|---|---|
| NZ | Cd, Pb | 85, 34% | [59] |
| NZ | Cd, Pb | >99% | [55] |
| NZ | Cd, Pb | 91, 80% | [64] |
| LDH-MZ | Cd, Pb | >70% | [28] |
| NaCl-Z | Cd, Pb | 73, 56% | [59] |
| LDH-N | Cd, Pb | >98% | This study |
| NZ-N | Cd, Pb | 97, 96% | This study |
| HCl-N | Cd, Pb | 96, 97% | This study |
Disclaimer/Publisher’s Note: The statements, opinions and data contained in all publications are solely those of the individual author(s) and contributor(s) and not of MDPI and/or the editor(s). MDPI and/or the editor(s) disclaim responsibility for any injury to people or property resulting from any ideas, methods, instructions or products referred to in the content. |
© 2024 by the authors. Licensee MDPI, Basel, Switzerland. This article is an open access article distributed under the terms and conditions of the Creative Commons Attribution (CC BY) license (https://creativecommons.org/licenses/by/4.0/).
Share and Cite
Alotaibi, S.S.; Ibrahim, H.M.; Alghamdi, A.G. Application of Natural and Modified Zeolite Sediments for the Stabilization of Cadmium and Lead in Contaminated Mining Soil. Appl. Sci. 2024, 14, 10864. https://doi.org/10.3390/app142310864
Alotaibi SS, Ibrahim HM, Alghamdi AG. Application of Natural and Modified Zeolite Sediments for the Stabilization of Cadmium and Lead in Contaminated Mining Soil. Applied Sciences. 2024; 14(23):10864. https://doi.org/10.3390/app142310864
Chicago/Turabian StyleAlotaibi, Sami S., Hesham M. Ibrahim, and Abdulaziz G. Alghamdi. 2024. "Application of Natural and Modified Zeolite Sediments for the Stabilization of Cadmium and Lead in Contaminated Mining Soil" Applied Sciences 14, no. 23: 10864. https://doi.org/10.3390/app142310864
APA StyleAlotaibi, S. S., Ibrahim, H. M., & Alghamdi, A. G. (2024). Application of Natural and Modified Zeolite Sediments for the Stabilization of Cadmium and Lead in Contaminated Mining Soil. Applied Sciences, 14(23), 10864. https://doi.org/10.3390/app142310864

