Next Article in Journal
Displacement-Based Seismic Design of Multi-Story Reinforced Concrete-Coupled Shear Wall Buildings with Energy-Dissipation Dampers
Next Article in Special Issue
In-Depth Exploration of Advanced Settings in Personalized Automation of Radiotherapy Treatment Planning Using Reference Datasets
Previous Article in Journal
ADAS Alarm Sound Design for Autonomous Vehicles Based on Local Optimization: A Case Study in Shanghai, China
Previous Article in Special Issue
Image Quality and Information Parameters of Electronic Portal Imaging Devices
 
 
Font Type:
Arial Georgia Verdana
Font Size:
Aa Aa Aa
Line Spacing:
Column Width:
Background:
Article

Machine Learning Models for the Classification of Histopathological Images of Colorectal Cancer

1
Department of Electrical Engineering, Aristotle University of Thessaloniki, 54124 Thessaloniki, Greece
2
Section of Statistics and Operational Research, Department of Mathematics, Aristotle University of Thessaloniki, 54124 Thessaloniki, Greece
3
Lab of Computing, Medical Informatics and Biomedical-Imaging Technologies, School of Medicine, Aristotle University of Thessaloniki, 54124 Thessaloniki, Greece
*
Author to whom correspondence should be addressed.
Appl. Sci. 2024, 14(22), 10731; https://doi.org/10.3390/app142210731
Submission received: 25 September 2024 / Revised: 17 November 2024 / Accepted: 18 November 2024 / Published: 20 November 2024
(This article belongs to the Special Issue Advances in Medical Imaging and Radiation Therapy)

Abstract

The aim of this study was to explore the application of computational models for the analysis of histopathological images in the context of colon cancer. A comprehensive dataset of colon cancer images annotated into eight distinct categories based on their representation of cancerous cell portions was used. The primary objective was to employ various image classification algorithms to assess their efficacy in the context of cancer classification. Additionally, this study investigated the use of feature extraction techniques to derive meaningful data from the images, contributing to a more nuanced understanding of cancerous tissues, comparing the performance of different image classification algorithms in the context of colon cancer image analysis. The findings of this research suggested that XGboost provides the highest accuracy (89.79%) and could contribute to the growing body of knowledge in computational pathology. Other algorithms, such as the random forest, SVM, and CNN, also provided satisfactory results, offering insights into the effectiveness of image classification algorithms in distinguishing between different categories of cancerous cells. This work holds implications for the development of more accurate and efficient tools, underscoring the potential of computational models in enhancing the analysis of histopathological images and improving diagnostic capabilities in cancer research.

1. Introduction

Cancer remains one of the foremost challenges in modern medicine, with its complex and heterogeneous nature necessitating advanced diagnostic tools and methodologies. Histopathological analysis, a cornerstone in cancer diagnosis, provides valuable insights into the morphological characteristics of tissue samples. Recent strides in technology have ushered in an era of computational pathology, leveraging machine learning and computer vision techniques to enhance the accuracy and efficiency of cancer diagnostics. This study delves into the realm of computational models applied to histopathological images, with a specific focus on colon cancer. Colorectal cancer (CRC), a prevalent and potentially fatal malignancy, demands rigorous examination and precise classification for effective diagnosis and treatment planning. Traditional methods of histopathological analysis, while invaluable, are often labor-intensive and subject to interobserver variability. The advent of computational models, particularly machine learning algorithms, present a promising avenue for automating and augmenting the diagnostic process.
Yet, in the realm of classifying tissue types in CRC histological images, numerous published methods solely account for two categories of tissue, namely tumor and stroma. This limitation renders these approaches inadequate for addressing the more heterogeneous components of tumors [1,2]. Kather and his colleagues introduced a novel dataset (Kather-CRC-2016) comprising 5000 histological images of human colorectal cancer, encompassing eight distinct tissue types [3]. Leveraging this dataset, they evaluated the classification efficacy of various texture descriptors and classifiers across the eight tissue types. Their findings revealed an optimal classification approach that surpassed conventional methods, enhancing the state of the art for tumor–stroma differentiation with an accuracy increase from 96.9% to 98.6% for specific tissue types. Moreover, their method set a new benchmark for multiclass tissue differentiation, achieving an accuracy of 87.4% across the eight different classes.
One previous attempt employed a deep neural network methodology to effectively differentiate between various tumor types utilizing histology colorectal images sourced from 28 ordinary plus 29 cancerous tissue samples acquired from the National Cancer Center, which is located in South Korea [4]. The dataset ultimately comprised 6806 images of normal tissues and 3474 images of cancerous tissues. The researchers devised five adaptations of the Visual Geometry Group (VGG) system and subjected them to two distinct tests. For the first test, they identified the configuration of VGG for the dataset, achieving 94.30% maximum accuracy. Subsequently, they applied the strongest altered VGG configuration to assess the CNN model’s performance. By utilizing the dataset with the modified VGG-E configuration, they attained 93.48% accuracy, translating to the correct classification of 294 healthy tissue images out of 309 and 667 cancerous tissue images out of 719.
Furthermore, the so-called “light weighted CNN” was proposed as a new architecture for the convolutional neural network. It utilizes different combinations of convolutional layers, activation layers, and other parameters [5]. The proposed CNN used a dataset including eight different types of tissue, and the experimental results showed that the misclassification rate was 22.7%, which was deemed superior to other simple architectures and classifiers. Two other deep learning approaches were proposed to recognize CRC tissue types using the Kather-CRC-2016 dataset [6]. In the first method, the authors combined the predictions of different pre-trained neural network classifiers (ResNet-101, ResNeXt-50, Inception-v3, and DenseNet-161) and obtained the mean posterior prediction probability for each tissue. In the second method, a combination of deep features obtained from the last fully connected layers of the CNN is performed in order to feed the NN’s four layers with those features. The experimental results demonstrated that deep learning methods surpass hand-crafted feature-based methods, and the algorithms proposed outperformed CNN architectures and hand-crafted feature-based methods, resulting in an accuracy of approximately 96%; however, the resulting models were highly complex.
Other studies have utilized feature extraction to obtain appropriate features that would ultimately lead to better classification. One study employed machine learning, features engineering, and image processing techniques, as well as five models, XGBoost, RF, SVM, MLP, and LDA, to classify histopathological pictures of lung and colon tumors from the LC25000 dataset [7]. The authors extracted both first- and second-order features and used combinations of them to find the subset that provides the optimal discriminating ability. As a preprocessing method, the researchers used Unsharp Masking in order to enhance contrast and sharpen the original image to emphasize texture and detail. The accuracy results were satisfactory, and using the XGBoost algorithm, the highest accuracy was obtained (95.6%). Another study highlighted the importance of Whole-Slide Images (WSIs) as digital replicas of stained specimen samples, contrasting them with traditional glass slides [8,9]. WSIs are integral to the pathology diagnosis process, facilitating easy data sharing and storage [10,11]. They provide pathologists with comprehensive insights into data content, aiding in the precise diagnosis of tumor and cancer subtypes. In recent years, various approaches have been applied to WSI segmentation and classification, with many focusing on superficial features like texture and pattern recognition [12], gray-level co-occurrence matrixes [13], or local binary patterns [14]. However, these techniques often encounter limitations due to the diverse texture, shape, and color distributions present in each tumor simultaneously [15]. Modern histopathological images are notably large, containing up to billions of pixels, thus presenting high-level complex clinical features.
A previous study investigated the use of machine learning to create custom models for the slide-level classification and multi-class segmentation of colon cancer images, resulting in an AUC of 0.71 [16]. This method involves building models from the ground up rather than using pre-trained models, and while computationally costly and experimental, it allows for improving the model’s ability to learn and adapt to the distinct features found in different pathology images. Furthermore, the addition of multi-class segmentation enables these models to be used for a wide range of cancer types (e.g., tumor stroma, necrosis, and lymph, which are present in various cancer types), hence increasing therapeutic utility.
In this study, we describe an algorithmic approach, highlighting machine learning’s transformative promise in computational pathology and customized medicine. A significant gap in the literature exists regarding the optimized use of computational models for the precise classification of colorectal cancer images, despite advancements in image analysis technology. While convolutional neural networks (CNNs) are recognized for their effectiveness in image recognition, the research remains limited in identifying the most suitable architectures and techniques for classifying colorectal cancer into distinct pathological categories. This study addresses this gap by utilizing a comprehensive dataset annotated into eight specific categories of cancerous cell structures. By comparing CNN-based image classification approaches with other methods, this research aims to determine the most effective techniques for accurately distinguishing between these diverse cell categories. Further, many studies often focus solely on raw image data, overlooking the potential impact of feature extraction techniques that could enhance model interpretability and provide richer insights into histopathological characteristics. This research advances beyond CNNs alone to incorporate feature extraction methods, aiming to highlight the fundamental patterns within cancerous tissues that are crucial for diagnosis. Ultimately, this study seeks to fill a critical void in computational pathology by providing a more nuanced understanding of cancerous features, contributing to the development of robust diagnostic tools for colorectal cancer.

2. Materials and Methods

2.1. Sample Description

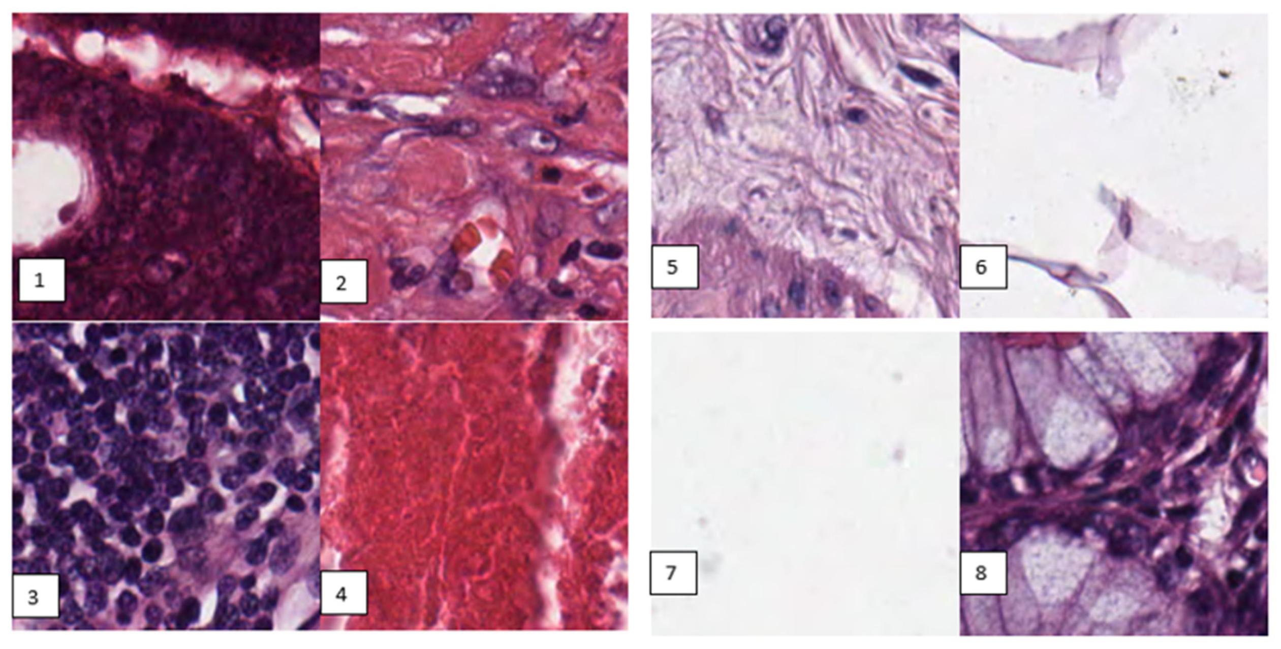
The dataset utilized in this study originates from research conducted by Kather et al. [3], who acquired ten anonymized CRC tissue slides from the pathology archive at the University Medical Center Mannheim (Heidelberg University, Mannheim, Germany). The dataset was made publicly available by the authors for subsequent analyses of colon cancer images, and it consists of both low-grade and high-grade tumors without any additional filtering. Initially, the slides underwent digitization, followed by manual annotation and tessellation of contiguous tissue areas. This process resulted in the creation of 5000 non-overlapping tissue tiles, each measuring 150 × 150 pixels (equivalent to 74 μm  ×  74 μm). Consequently, the dataset encompasses texture features spanning various scales, ranging from individual cells to larger structures such as mucosal glands. For the analysis, eight types of tissue were selected, namely (1) tumor epithelium, (2) complex stroma, (3) immune cells (including immune cell conglomerates and sub-mucosal lymphoid follicles), (4) simple stroma (homogeneous composition, including tumor stroma, extra-tumoral stroma, and smooth muscle), (5) debris (including necrosis, hemorrhage, and mucus), (6) adipose tissue, (7) background/empty (no tissue), and (8) normal mucosal gland. In total, the dataset consisted of 5000 images, and all tissue types were equally represented (625 images for each of the eight tissue types). The images served as the training and testing dataset for the classification task outlined in the subsequent sections. Figure 1 depicts the first image from each class. The dataset was balanced and equally represented. Notably, the average intensity exhibited considerable variation among the tissue samples, reflecting the typical diversity observed in routine histopathological slides. A more detailed description of the tissue types can be found in [3]. The researchers ensured that each class encompassed both bright and dark samples, thereby mitigating any potential bias in terms of average grayscale intensity [3].

2.2. Feature Extraction

Image feature extraction plays a crucial role in computer vision by capturing essential information for image analysis and recognition. Feature extraction involves capturing the essential shape details present in a pattern, streamlining the process of categorizing it through a structured method. In the realms of pattern recognition and image processing, feature extraction serves as a specialized method of reducing dimensionality. When dealing with extensive input data that potentially contains redundant information, feature extraction comes into play by transforming these data into a streamlined set of features, also known as a feature vector.
By selecting these extracted features, the expectation is to capture the critical information from the input data, facilitating the intended task using this condensed representation rather than the full-scale input. Among the commonly employed methods for feature extraction are Template matching, deformable templates, unitary image transforms, graph description, projection histograms, contour profiles, zoning, geometric moment invariants, Zernike moments, spline curve approximation, Fourier descriptors, gradient features, and Gabor features [17].
In classification systems, feature extraction typically follows the preprocessing phase. The main objective of pattern recognition is to accurately categorize an input pattern into one of the potential output classes. This process generally comprises two main stages: feature selection and classification. Effective feature selection is paramount to the entire process, as a classifier will struggle to discern patterns from inadequately chosen features. Low-order statistical features encompass basic statistical measures derived from pixel intensities, providing fundamental insights into image content [18,19]. Mean, variance, skewness, and kurtosis are typically basic statistical descriptors offering foundational tools for image characterization [20]. Other features, such as Gabor filters, based on Gabor wavelets, excel in texture analysis by capturing multi-scale and multi-orientation information [17]. The efficacy of Gabor filters in texture representation is crucial for texture-based recognition tasks [21]. Histogram of Oriented Gradients (HOG) descriptors compute gradient orientation histograms across image regions, encapsulating shape and edge information [22]. HOG features excel in object detection tasks, especially in pedestrian detection and recognition [23]. Local binary patterns (LBPs) encode local texture patterns invariant to illumination changes [14]. LBP-based features provide robust representations for texture analysis. Furthermore, RGB color features represent color information in images by decomposing them into three channels, red, green, and blue. While not specifically tied to academic literature, RGB color spaces remain foundational for color-based analysis in image processing [14].
In the current study, we extracted and utilized the features that are presented in Table 1. Feature selection was based on relevancy, and we extracted features that are widely used in the literature and have been suggested in previous studies [14,17,20,21,22,23]. Those features were extracted from all the CRC images that were used as our dataset. We also generated a correlation matrix (Figure 2) in order to visualize the dependency between the features that we extracted from the dataset. Most features exhibited small to medium correlations, while some features, especially colors, were highly correlated.

2.3. Machine Learning Classification Algorithms

For the main analysis, various machine learning models were utilized and are briefly described in the current subsection. The aim was to examine how accurate the different algorithms are and which of them should be further expanded to automate image classification in the CRC domain.

2.3.1. k-Nearest Neighbors (k-NN)

The k-nearest neighbors (k-NN) algorithm is a non-parametric supervised learning method that classifies data points based on the classifications of their neighbors. Suppose we have a set of n points  Y 1 , Y 2 , , Y n , in some space Ω of dimension p, where each point belongs to some class  Κ = { 1 , 2 , , k } . The space Ω is also called the space or training set of the algorithm. For some point, say X, which does not belong to the set Ω, the k-NN algorithm predicts the class of this point based on the majority of classes present in the points which are “near” it. The distance metric used for the current study was the quadratic Euclidean distance, i.e.,  d ( X , Y ) = i = 1 p ( X i Y i ) 2 , and cross-validation determined the appropriate value for k.

2.3.2. Convolutional Neural Network (CNN)

To predict categorical classes, a convolutional neural network (CNN) was employed based on the raw images. CNNs are specialized artificial neural networks crafted specifically for processing and analyzing images, as well as other forms of multidimensional data, such as audio signals or 3D structures. A distinguishing characteristic of CNNs lies in their capability to acquire hierarchical representations of data by applying a sequence of filters or kernels to the input data. Each filter executes a convolution operation on the input, generating a feature map that accentuates specific patterns or features. These feature maps are subsequently forwarded to successive layers of the network, which further employ additional filters to extract more intricate features. To further improve the model’s fit, we used the Xception-network, a 71-layer convolutional neural network (CNN) with pre-trained weights on the ImageNet dataset, to improve accuracy. Following the pre-trained network, a global average pooling layer was applied; this converts the feature maps into a single vector by averaging across each channel. After global pooling, a fully connected (dense) layer with 2048 units was added. This layer served as a high-dimensional representation of the input image features extracted by the base CNN, which was followed by a ReLU activation function, which introduces non-linearity, making the model capable of learning complex patterns. The CNN also had a dropout layer with a dropout rate of 0.2, which helps prevent overfitting by randomly setting 20% of the units to zero during training. The final layer utilized a softmax activation function, which outputs probabilities for each class. We used the Adam optimizer, which is a variant of a stochastic gradient descent that adapts the learning rate of each parameter, known for its efficient convergence in training deep networks. For the loss function, categorical cross-entropy, which is commonly used for multi-class classification tasks, was used. The CNN was trained for 20 epochs, where saturation in the validation set was observed, as the validation set’s accuracy had a tendency to decline after that.
Every image of colon cancer in our CNN setup had a uniform dimension of 150 × 150 pixels. In our case, for the evaluation of the model, we split the data into train, validation, and test subsets for the 8 different types of tissue: (a) tumor epithelium, (b) simple stroma, (c) complex stroma, (d) immune cells, (e) debris, (f) normal mucosal glands, (g) adipose tissue, and (h) background (no tissue). The train set consisted of the majority of images, the validation set amounted to 30% of the training set, and the test set had 12 images of each type of tissue. Once we had trained the final layer of the model, the test images were passed through the network to identify and predict the tissue label. The accuracy was reported to validate the model.

2.3.3. Random Forest (RF)

The random forest algorithm constructs a diverse “forest” of decision trees, progressively incorporating randomness throughout their development. At each node split, the algorithm selects the optimal splitting feature from a random subset of the total features, thereby promoting feature diversity and, ultimately, a more robust model (James et al., 2013 [24]). This subset selection introduces randomness compared to standard decision trees, which consider all features. Furthermore, random split points within each attribute can be implemented for further diversification. This tree ensemble structure signifies the fusion of numerous models. Consequently, predictions arise from the collective output of the entire ensemble, rather than relying on a single model [25]. This ensemble approach mitigates the overfitting tendencies present in individual decision trees, leading to an improved generalization performance.

2.3.4. Support Vector Machine (SVM)

A Support Vector Machine (SVM) represents a supervised machine learning algorithm functioning as a data classifier. Employing an SVM allows for the classification of observations through the selection of two parallel hyperplanes ( p 1 w T x b = 1 ,   p 2 w T x b = 1 ). The area enclosed between the two hyperplanes is referred to as the margin, which measures a length of  2 | | w | | 2 , where  | | | |  represents the Euclidean distance. Our objective is to optimize the selection of these two hyperplanes to maximize the margin and hence, the accuracy of the model. Furthermore, by employing a mapping function, denoted as  ψ ( ) , the data can be transformed into a domain where they become linearly separable. Utilizing the Radial Basis Function (RBF), we can establish a decision boundary that may exhibit non-linearity in the original space.

2.3.5. XGBoost

The XGBoost algorithm, which stands for eXtreme Gradient Boosting, is a well-known and robust machine learning algorithm that excels in a variety of applications, especially supervised learning issues like regression and classification. It is a member of the boosting ensemble methods family in the context of ensemble learning. XGBoost works by aggregating the predictions from several different models usually decision trees to generate a final prediction that is more reliable and accurate. A series of decision trees are constructed iteratively, with each new tree fixing the mistakes made by the preceding ones. This iterative procedure continues until a predetermined stopping point is reached, like attaining a certain number of trees or performing well enough on the validation data. XGBoost stands out for its distinct optimization objective and regularization strategies. In order to prevent overfitting, it uses a gradient-boosting framework that penalizes model complexity while minimizing a particular loss function. This is accomplished by incorporating regularization terms into the objective function, which regulates the complexity of both the individual trees and the ensemble as a whole. More details about the XGBoost algorithm can be found in [26].

2.3.6. Naïve Bayes

Naïve Bayes (NB) classification, a probabilistic machine learning technique rooted in Bayesian inference, has garnered significant attention across diverse domains for its simplicity and effectiveness. Developed on the principle of conditional independence assumption among predictors, naïve Bayes classifiers offer computational efficiency and scalability, particularly in scenarios with high-dimensional feature spaces [27]. Despite its inherent simplifications, empirical studies have demonstrated the competitive performance of naïve Bayes classifiers compared to more complex algorithms, especially in text classification tasks [28]. Furthermore, the interpretability and ease of implementation of naïve Bayes models render them particularly attractive for real-world applications, where rapid deployment and transparency are crucial factors [29].

2.3.7. Conditional Inference Trees

Conditional inference trees (CITs), a method grounded in the framework of recursive partitioning, have garnered considerable attention in the realm of statistical modeling and analysis. Developed by Hothorn and his colleagues as an extension of traditional decision trees, conditional inference trees offer several advantages over their counterparts [30]. Unlike conventional tree algorithms, which rely on heuristic measures for variable selection, conditional inference trees employ rigorous statistical tests at each node, ensuring robustness and reliability in the resulting tree structure [30]. This approach effectively controls type I error rates and enhances the interpretability of the constructed tree. Moreover, conditional inference trees are adept at handling mixed data types, missing values, and interactions between variables, making them versatile and applicable to diverse datasets [31].

2.4. Algorithm Assessment

In assessing a classification algorithm, particularly when the data classes are predetermined and each observation is assigned to a known class, a confusion matrix was employed. This matrix is a tool utilized to evaluate the efficacy of a classifying algorithm on a dataset where the true values are already known (Table 2). Its rows depict the predicted classes, while its columns correspond to the actual (true) classes. The general form of the confusion matrix with  k  classes includes the elements  c i j , where  c i j  denotes the number of images that were classified as  i , while their true class is  j .
Table 3 presents an outline of these metrics for a multi-class confusion matrix, encompassing precision, recall, accuracy, and the F1 index. For the algorithm comparisons, we split the data into a training (70% of the total sample) and a test set (30%), and the evaluation of the metrics was obtained through the test set. For each class, we also estimated the balanced accuracy (mean value of sensitivity and specificity).

2.5. Data Preprocessing and Model Fine-Tuning

The algorithms that are presented in this study were implemented in the R programming language (version 4.2). The caret library was used to train and evaluate the random forest, SVM, conditional inference tree, naïve Bayes, and k-NN algorithms. For these algorithms, cross-validation was used to determine the parameter values that yield the highest accuracy across all tissue types (optimal parameters). The doParallel library was used, which allowed for parallel CPU processing. The xgboost library was used to train and evaluate the XGBoost algorithm. For the training and evaluation of the CNN, the keras and tensorflow libraries were used. For feature extraction from the images, the OpenImageR (version 1.3), EBImage (version 4.32), wvtool (version 1.0), and glcm (version 1.6.5) libraries were used. The ggplot2 and reshape2 libraries were used for data visualizations.
Initially, 14 features were extracted from each image. In order to find the most relevant features, we implemented different classifying algorithms combining subsets of features, and we completed this procedure for all feature combinations, in order to detect a subset of optimal features. However, the model containing all features was associated with the highest classifying accuracy, and it was selected as the primary model for the subsequent analyses. For each algorithm, a 10-fold cross-validation procedure was applied five times to fine-tune the algorithm and provide a better estimate for accuracy. All the features were standardized before the algorithmic procedure. For the random forest algorithm, the optimal parameter for the parameter mtry, which denotes the number of features that are considered at each iteration, was equal to eight. For the SVM algorithm, the tuning parameters were sigma = 0.124 and C = 1. For the k-NN algorithm, the optimal value for the number of neighbors was set to k = 144. For the XGBoost algorithm, the default parameters of the xgboost library were used. The algorithm was executed for 100 iterations. The objective function was the multiclass log loss. The minimum loss reduction gamma was set to 0. The maximum depth of a tree was set to 6. The parameter eta, which is the step size shrinkage used to prevent overfitting for the next iteration, was set to 0.3. The algorithmic procedures were conducted on a desktop configuration equipped with an AMD Ryzen 7 CPU, an NVIDIA RTX 2070 Super GPU, 32GB of RAM, and a 1TB SSD. Due to the use of a pre-trained CNN model, the computational workload remained comparable across algorithms. Execution times for all algorithms were below two hours.

3. Results

Regarding the extracted features, the RGB colors showed a high discriminatory ability to identify the classes, but energy was also effective in distinguishing between the different classes (Figure 3). It was observed that the empty images scored high in red color, as they mainly contain white or red colors, while there is an absence of the other two colors. Empty images also exhibited large values for energy, due to the white parts that are mostly contained in each image. On the other hand, images containing tumors achieved low energy scores and this is explained through the fact that they contain more colors and that the patterns shown in those images tend to be quite varied, with various shapes present. As a result, the “Lympho” tissues tended to score the largest energy value compared to the others.
Overall, for the aggregated tissue classes, Table 4 presents the training and test accuracies. The XGBoost and random forest algorithms demonstrate the highest test set accuracy, achieving 89.79% and 88.82% respectively. XGBoost was also associated with the highest sensitivity, specificity, precision, and F1 scores, as presented in Table 5 and in Figure 4. This indicates its effectiveness in generalizing to unseen data well, as it performed well not only on the training set but also on the test set. The SVM algorithm shows a decent test set accuracy of 87.73%, indicating its effectiveness in learning patterns from data and generalizing to unseen samples. However, it lags slightly behind the random forest and XGBoost algorithms in terms of test set performance. While the CNN algorithm achieves a high accuracy of 87.50% on the test set, this value is slightly lower than that of the XGBoost, random forest, and SVM algorithms. However, it still demonstrates strong performance, indicating its suitability for image classification tasks. The NB and CIT algorithms also exhibit moderate performance. The k-NN algorithm shows the lowest test set accuracy among the methods considered, at 45.92%. This could suggest that the k-NN algorithm does not generalize well to unseen data in this particular task, possibly due to its reliance on local similarity measures.
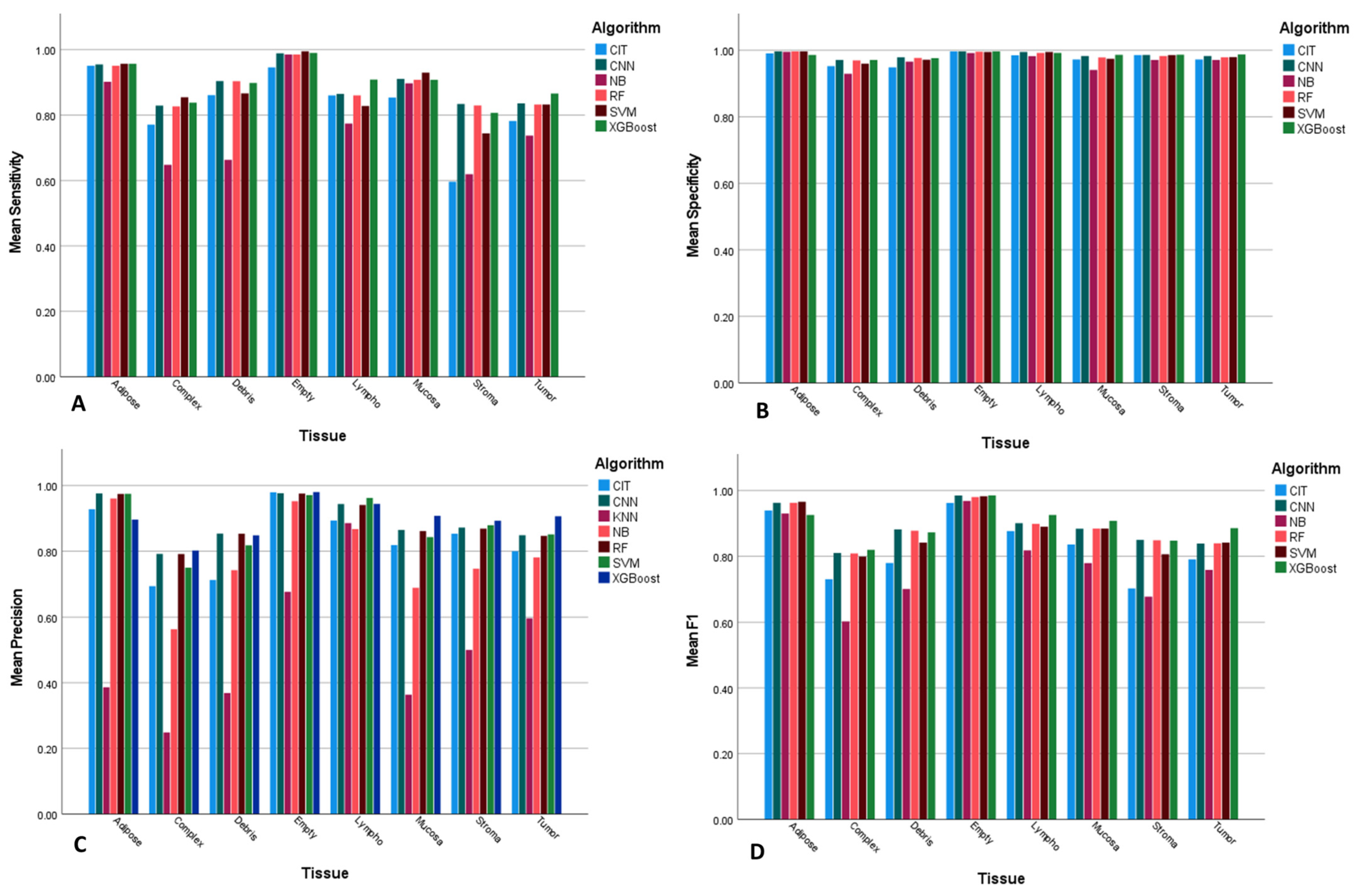
In order to compare the performance for each tissue type between the different algorithms, the balanced accuracy achieved by each algorithmic method is presented in Table 6, while the calculated metrics are visualized in Figure 5. XGboost achieved at least 90% accuracy in all classes, and the lowest accuracy was observed for the “Complex” and “Stroma” classes. The most influential features that provided a good accuracy level through the random forest were the images’ colors (especially red), HoG, and variance. Overall, the random forest’s metrics were adequate, with high sensitivity (>82.7%) and specificity scores (>97%), while the model’s accuracy scores ranged from 90% to 99%. The SVM had high metrics for all tissues, exhibiting good properties and competitive performance across most classes, with particularly high sensitivity for the “Empty” class (99.5%) and high specificity for several classes, such as “Adipose”, “Debris”, “Empty”, and “Lympho”. While the sensitivity for the “Complex” class was relatively high (85.5%), the precision was lower (75%), suggesting a higher rate of false positives among the predicted “Complex” instances compared to the “Adipose” and “Empty” classes, for example. The F1-scores generally reflect a balance between precision and recall, with higher values indicating good overall performance. Notably, the F1-scores for the “Empty” and “Debris” classes are particularly high (98.3% and 84.2%, respectively), indicating effective classification performance for these classes. Compared to the CNN model, the SVM algorithm achieves similar or slightly higher performance across most classes. However, it is important to consider factors such as computational efficiency and ease of implementation when choosing between these two algorithms for a specific task. Overall, the SVM algorithm demonstrates effectiveness in classifying different tissue types in the image dataset, but further analysis may be warranted to identify areas for improvement or optimization, especially in classes with lower precision or sensitivity.
The CNN performed well for all the different classes, especially for “Adipose”, “Lympho”, “Stroma”, “Empty” and “Tumor”, in which it achieved at least 95% accuracy in the test set. On the contrary, it achieved lower accuracy for the “Debris” class and for the “Complex” tissue in the test set. The model demonstrated excellent performance in detecting the “Empty” class, with high sensitivity (98.9%) and specificity (99.7%). This suggests that the model is proficient in accurately identifying images belonging to this class while minimizing false positives and negatives. While the sensitivity for the “Adipose” class is high (95.5%), the precision is even higher (97.6%), indicating that the model not only detects a high proportion of actual “Adipose” instances but also has a low rate of false positives among the predicted “Adipose” instances. The model’s performance varies across different classes, with some classes like “Complex” and “Tumor” exhibiting lower precision and sensitivity compared to others. This indicates potential areas for improvement, such as gathering more data or fine-tuning the model architecture specifically for these classes. Overall, the model achieves competitive F1-scores across most classes, demonstrating its effectiveness in balancing precision and recall for multi-class image classification tasks. The NB and CIT algorithms achieved moderate performance and had high accuracy in the “Empty” and “Adipose” classes. However, they could not overperform the previously mentioned algorithms.

4. Discussion

Cancer persists as a leading hurdle in contemporary medicine, requiring sophisticated diagnostic tools and methodologies due to its intricate and diverse characteristics. Histopathological examination, essential in cancer diagnosis, offers a significant understanding of the structural features of tissue specimens. The central aim of this research is to utilize computational models for the classification of colon cancer images, in order to discern the most effective approach for distinguishing between diverse categories of colon cancer cells.
For the image classification task, an extensive dataset, annotated into eight distinct categories representing various aspects of cancerous cell portions, was used. More specifically, the dataset contained 5000 non-overlapping 150 × 150 tissue images of the following types: tumor epithelium, complex stroma, immune cells, simple stroma, debris, adipose tissue, empty tissue, and normal mucosal gland. For each picture, 14 features were extracted and used for the classification task. The features consisted of first-order statistical measures, such as variance and mean pixel intensity, but we also included more sophisticated features, such as local binary patterns and Gabor filters.
For the image classification task, we utilized seven algorithms: the convolutional neural network, the k-NN algorithm, the Support Vector Machine, the random forest, the naïve Bayes, the conditional inference tree, and the XGBoost algorithm. Each algorithm was trained on a training subset of the data, and the optimal parameters for each algorithm were determined by using cross-validation on the dataset. In order to assess the adequacy of the algorithms, five metrics (accuracy, sensitivity, specificity, precision, and F1 score) were utilized and they were used on the test set, comparing the various methods.
The XGBoost algorithm achieved the highest accuracy, correctly classifying tissue images, and its estimated accuracy was nearly 90% on the test set; yet all algorithms, apart from the k-NN algorithm, achieved satisfactory results. More specifically, the convolutional neural network, the random forest algorithm, and the SVM achieved high accuracy on the test set as well, with a small deviation from the leading algorithm. Regarding sensitivity, specificity, precision, and the F1 score, the four algorithms had nearly identical results, indicating that they could be used as a screening tool for tissue image classification. Regarding tissue types, not all types were equally supported by the algorithms. Not surprisingly, empty images had the highest scores regarding the evaluation metrics, as it is evident that the algorithms could easily “see” that they contain minor pieces of tissue. Furthermore, adipose tissue and normal mucosal glands images achieved high classification rates. Adipose tissue images mainly consist of red and white colors, and they are similar to empty images, while mucosal glands contain specific patterns. On the other hand, complex stroma had the lowest classification rate, as they had different color and shape patterns.
Our main findings align with studies in which different algorithm architectures have been used to classify colon cancer tissue images. One of the first attempts to achieve this with the same sample images utilized a variety of image classifiers and achieved an overall 87.4% accuracy for the eight tissue types, which is slightly lower than our proposed test accuracy. One other attempt, which was more computationally intense, used a sequential method with two different neural network architectures, and the authors achieved an accuracy of 96% on the same dataset [6]. Other, more feasible methods have been used on the sample. For example, in a previous study, an accuracy of 77.3% was achieved on the same dataset using a CNN with smaller complexity. Furthermore, a previous study using a deep neural network approach reported that the highest obtained accuracy was 93.48% on 29 tumor samples. One of the most recent attempts, which used different algorithmic techniques for both lung and colon cancer, achieved an accuracy of 95.6% by using the XGBoost algorithm specifically [7].
Furthermore, classification algorithms could be used in order to predict unknown complex images of composite tissues. For example, given a larger image that includes different tissue types, a rasterized method could be implemented to separate the image into smaller areas and then predict the class probability of those areas within the image. This would finally yield a reconstruction of the whole image, with specific areas that correspond to various tissue types.
Our image classification approach, developed initially for colorectal cancer, has promising applications for other cancer types. Image-based classification techniques in oncology aim to identify tissue-specific patterns and morphological features indicative of cancer, often using convolutional neural networks (CNNs) and other deep learning architectures. For example, recent studies have shown that CNN-based classification systems are effective across a range of cancers, including breast, lung, and prostate cancer, by identifying nuanced histopathological patterns that distinguish cancerous from non-cancerous tissues [32]. These models leverage high-throughput histological imaging to provide robust classification, even in highly heterogeneous cancers, potentially reducing the diagnostic workload for pathologists [33]. Expanding our colorectal cancer classification model to other cancer types could therefore facilitate broader applications in digital pathology, with the potential for training our model on diverse datasets from different cancer types, which may improve generalizability and classification accuracy. This approach underscores the adaptability of algorithms to detect cancer-specific patterns across varied tissue types, enhancing the model’s relevance and application in multi-cancer diagnostic workflows.
Even though our approach achieved satisfactory results and provided very high classification accuracy, there is room for improvement. Other approaches, if there is computational feasibility and an adequate sampling size, could utilize more sophisticated architectures, such as deep neural networks, consisting of many intermediate layers, which appear to be prominent for image classification, especially for cancer images. We also propose that other features could be used, expanding our selection, and this may lead to more extracted information from each image and hence a higher classification accuracy. Finally, by standardizing the training sample, researchers could compare their classification algorithms, as different types of tissue images would be associated with different characteristics.

Author Contributions

Conceptualization, N.G. and I.C.; methodology, N.G. and P.K.; software, N.G. and P.K.; validation, N.G., P.K. and I.C.; formal analysis, N.G. and P.K.; investigation, N.G.; resources, N.G.; data curation, N.G.; writing—original draft preparation, N.G.; writing—review and editing, N.G., P.K. and I.C.; visualization, N.G.; supervision, I.C.; project administration, I.C. All authors have read and agreed to the published version of the manuscript.

Funding

This research received no external funding.

Institutional Review Board Statement

Ethical review and approval were waived for this study due to the usage of public data.

Informed Consent Statement

Not applicable.

Data Availability Statement

The data presented in this study are openly available in DOI: 10.5281/zenodo.53169.

Conflicts of Interest

The authors declare no conflicts of interest.

References

  1. Bianconi, D.; Schuler, A.; Pausz, C.; Geroldinger, A.; Kaider, A.; Lenz, H.J.; Prager, G.W. Integrin beta-3 genetic variants and risk of venous thromboembolism in colorectal cancer patients. Thromb. Res. 2015, 136, 865–869. [Google Scholar] [CrossRef] [PubMed]
  2. Linder, N.; Konsti, J.; Turkki, R.; Rahtu, E.; Lundin, M.; Nordling, S.; Lundin, J. Identification of tumor epithelium and stroma in tissue microarrays using texture analysis. Diagn. Pathol. 2012, 7, 22. [Google Scholar] [CrossRef] [PubMed]
  3. Kather, J.N.; Weis, C.A.; Bianconi, F.; Melchers, S.M.; Schad, L.R.; Gaiser, T.; Zöllner, F.G. Multi-class texture analysis in colorectal cancer histology. Sci. Rep. 2016, 6, 27988. [Google Scholar] [CrossRef] [PubMed]
  4. Yoon, H.; Lee, J.; Oh, J.E.; Kim, H.R.; Lee, S.; Chang, H.J.; Sohn, D.K. Tumor identification in colorectal histology images using a convolutional neural network. J. Digit. Imaging 2019, 32, 131–140. [Google Scholar] [CrossRef] [PubMed]
  5. Rachapudi, V.; Lavanya Devi, G. Improved convolutional neural network based histopathological image classification. Evol. Intell. 2021, 14, 1337–1343. [Google Scholar] [CrossRef]
  6. Paladini, E.; Vantaggiato, E.; Bougourzi, F.; Distante, C.; Hadid, A.; Taleb-Ahmed, A. Two ensemble-CNN approaches for colorectal cancer tissue type classification. J. Imaging 2021, 7, 51. [Google Scholar] [CrossRef]
  7. Hage Chehade, A.; Abdallah, N.; Marion, J.M.; Oueidat, M.; Chauvet, P. Lung and colon cancer classification using medical imaging: A feature engineering approach. Phys. Eng. Sci. Med. 2022, 45, 729–746. [Google Scholar] [CrossRef]
  8. Hamida, A.B.; Devanne, M.; Weber, J.; Truntzer, C.; Derangère, V.; Ghiringhelli, F.; Wemmert, C. Deep learning for colon cancer histopathological images analysis. Comput. Biol. Med. 2021, 136, 104730. [Google Scholar] [CrossRef]
  9. Pantanowitz, L.; Sinard, J.H.; Henricks, W.H.; Fatheree, L.A.; Carter, A.B.; Contis, L.; Parwani, A.V. Validating whole slide imaging for diagnostic purposes in pathology: Guideline from the College of American Pathologists Pathology and Laboratory Quality Center. Arch. Pathol. Lab. Med. 2013, 137, 1710–1722. [Google Scholar] [CrossRef]
  10. Snead, D.R.; Tsang, Y.W.; Meskiri, A.; Kimani, P.K.; Crossman, R.; Rajpoot, N.M.; Cree, I.A. Validation of digital pathology imaging for primary histopathological diagnosis. Histopathology 2016, 68, 1063–1072. [Google Scholar] [CrossRef]
  11. Amin, S.; Mori, T.; Itoh, T. A validation study of whole slide imaging for primary diagnosis of lymphoma. Pathol. Int. 2019, 69, 341–349. [Google Scholar] [CrossRef] [PubMed]
  12. Theodorakopoulos, I.; Kastaniotis, D.; Economou, G.; Fotopoulos, S. Hep-2 cells classification via sparse representation of textural features fused into dissimilarity space. Pattern Recognit. 2014, 47, 2367–2378. [Google Scholar] [CrossRef]
  13. Saito, A.; Numata, Y.; Hamada, T.; Horisawa, T.; Cosatto, E.; Graf, H.P.; Yamamoto, Y. A novel method for morphological pleomorphism and heterogeneity quantitative measurement: Named cell feature level co-occurrence matrix. J. Pathol. Inform. 2016, 7, 36. [Google Scholar] [CrossRef] [PubMed]
  14. Ojala, T.; Pietikäinen, M.; Harwood, D. A comparative study of texture measures with classification based on featured distributions. Pattern Recognit. 1996, 29, 51–59. [Google Scholar] [CrossRef]
  15. Janowczyk, A.; Madabhushi, A. Deep learning for digital pathology image analysis: A comprehensive tutorial with selected use cases. J. Pathol. Inform. 2016, 7, 29. [Google Scholar] [CrossRef]
  16. Harikrishnan, K.; Tarcar, A.K.; Botelho, N.; Kenkre, A.; Rebelo, P. A novel approach to classification and segmentation of colon cancer imaging towards personalized medicine. medRxiv 2023, 2023-07. [Google Scholar] [CrossRef]
  17. Li, H.C.; Celik, T.; Longbotham, N.; Emery, W.J. Gabor feature based unsupervised change detection of multitemporal SAR images based on two-level clustering. IEEE Geosci. Remote Sens. Lett. 2015, 12, 2458–2462. [Google Scholar]
  18. Haralick, R.M.; Shanmugam, K.; Dinstein, I.H. Textural features for image classification. IEEE Trans. Syst. Man Cybern. 1973, 6, 610–621. [Google Scholar] [CrossRef]
  19. Hyndman, R.J.; Fan, Y. Sample quantiles in statistical packages. Am. Stat. 1996, 50, 361–365. [Google Scholar] [CrossRef]
  20. Hassaballah, M.; Awad, A.I. Detection and description of image features: An introduction. In Image Feature Detectors and Descriptors: Foundations and Applications; Springer: Berlin/Heidelberg, Germany, 2016; pp. 1–8. [Google Scholar]
  21. Kruizinga, P.; Petkov, N. Nonlinear operator for oriented texture. IEEE Trans. Image Process. 1999, 8, 1395–1407. [Google Scholar] [CrossRef]
  22. Dalal, N.; Triggs, B. Histograms of oriented gradients for human detection. In Proceedings of the 2005 IEEE Computer Society Conference on Computer Vision and Pattern Recognition (CVPR’05), San Diego, CA, USA, 20–25 June 2005; Volume 1, pp. 886–893. [Google Scholar]
  23. Déniz, O.; Bueno, G.; Salido, J.; De la Torre, F. Face recognition using histograms of oriented gradients. Pattern Recognit. Lett. 2011, 32, 1598–1603. [Google Scholar] [CrossRef]
  24. Gareth, J.; Daniela, W.; Trevor, H.; Robert, T. An Introduction to Statistical Learning: With Applications in R; Spinger: Berlin/Heidelberg, Germany, 2013. [Google Scholar]
  25. Breiman, L. Random forests. Mach. Learn. 2001, 45, 5–32. [Google Scholar] [CrossRef]
  26. Dimitrakopoulos, G.N.; Vrahatis, A.G.; Plagianakos, V.; Sgarbas, K. Pathway analysis using XGBoost classification in Biomedical Data. In Proceedings of the 10th Hellenic Conference on Artificial Intelligence, Patras, Greece, 9–12 July 2018; pp. 1–6. [Google Scholar]
  27. Zhang, T. Statistical analysis of some multi-category large margin classification methods. J. Mach. Learn. Res. 2004, 5, 1225–1251. [Google Scholar]
  28. McCallum, A.; Nigam, K. A comparison of event models for naive Bayes text classification. In Proceedings of the AAAI-98 Workshop on Learning for Text Categorization, Madison, WI, USA, 27 July 1998; No. 1. Volume 752, pp. 41–48. [Google Scholar]
  29. Rish, I. An empirical study of the naive Bayes classifier. In Proceedings of the IJCAI 2001 Workshop on Empirical Methods in Artificial Intelligence, Washington, DC, USA, 4–10 August 2001; No. 22. Volume 3, pp. 41–46. [Google Scholar]
  30. Hothorn, T.; Hornik, K.; Zeileis, A. Unbiased recursive partitioning: A conditional inference framework. J. Comput. Graph. Stat. 2006, 15, 651–674. [Google Scholar] [CrossRef]
  31. Strobl, C.; Boulesteix, A.L.; Kneib, T.; Augustin, T.; Zeileis, A. Conditional variable importance for random forests. BMC Bioinform. 2008, 9, 307. [Google Scholar] [CrossRef] [PubMed]
  32. Srinidhi, C.L.; Ciga, O.; Martel, A.L. Deep neural network models for computational histopathology: A survey. Med. Image Anal. 2021, 67, 101813. [Google Scholar] [CrossRef]
  33. Coudray, N.; Ocampo, P.S.; Sakellaropoulos, T.; Narula, N.; Snuderl, M.; Fenyö, D.; Moreira, A.L.; Razavian, N.; Tsirigos, A. Classification and mutation prediction from non–small cell lung cancer histopathology images using deep learning. Nat. Med. 2018, 24, 1559–1567. [Google Scholar] [CrossRef]
Figure 1. Representation of the eight tissue types, (1) tumor epithelium, (2) complex stroma, (3) immune cells (including immune cell conglomerates and sub-mucosal lymphoid follicles), (4) simple stroma (homogeneous composition, including tumor stroma, extra-tumoral stroma, and smooth muscle), (5) debris (including necrosis, hemorrhage, and mucus), (6) adipose tissue, (7) background/empty (no tissue), and (8) normal mucosal gland.
Figure 1. Representation of the eight tissue types, (1) tumor epithelium, (2) complex stroma, (3) immune cells (including immune cell conglomerates and sub-mucosal lymphoid follicles), (4) simple stroma (homogeneous composition, including tumor stroma, extra-tumoral stroma, and smooth muscle), (5) debris (including necrosis, hemorrhage, and mucus), (6) adipose tissue, (7) background/empty (no tissue), and (8) normal mucosal gland.
Applsci 14 10731 g001
Figure 2. Correlation between the extracted features.
Figure 2. Correlation between the extracted features.
Applsci 14 10731 g002
Figure 3. Boxplots for RGB color red and energy across the eight tissue types.
Figure 3. Boxplots for RGB color red and energy across the eight tissue types.
Applsci 14 10731 g003
Figure 4. Comparison of predictive performance in the test set across the different algorithms.
Figure 4. Comparison of predictive performance in the test set across the different algorithms.
Applsci 14 10731 g004
Figure 5. Comparison of predictive performance ((A) sensitivity, (B) specificity, (C) precision, (D) F1 score) in the test set across the different tissue types and algorithms used.
Figure 5. Comparison of predictive performance ((A) sensitivity, (B) specificity, (C) precision, (D) F1 score) in the test set across the different tissue types and algorithms used.
Applsci 14 10731 g005
Table 1. Description of the variables in the dataset.
Table 1. Description of the variables in the dataset.
FeatureFormulaDescription
Mean   x ¯ = i = 1 N j = 1 M i P i j This gives the contribution of an individual pixel’s intensity to the whole image.
Variance   V a r ( X ) = E [ ( X     x ¯ ) 2 ] Variance is used to find the difference between a pixel and a neighboring pixel.
Entropy   i = 0 N j = 0 M P i j         l o g P i j   Entropy is a statistical measure of randomness that can be used to characterize the texture of an image.
Contrast   i = 0 N j = 0 M ( i j ) 2   P i j Contrast measures the difference in brightness or color across the image.
Homogeneity   i = 0 N j = 0 M P i j 1 + ( i j ) 2 This expresses how similar certain elements (pixels) of the image are.
ASM   i = 0 N j = 0 M P i j 2 ASM is a measure of the textural uniformity of an image.
Dissimilarity   ( i = 1 n ( x i y i ) p ) 1 p This is a numerical measure of how different two data objects are. When  p = 2 , it corresponds to the Euclidean distance.
Correlation   i = 0 N j = 0 M ( i , j ) P i j μ x μ y σ x σ y Correlation is the process of moving a filter mask, often referred to as a kernel, over the image and calculating the sum of the elements at each location.
GaborEnergyThe Gabor filter, a linear filter utilized for texture analysis, essentially examines the presence of particular frequency content within an image along specific directions within a localized region surrounding the point or area under scrutiny.
Magnitude
HOGThe Histogram of Oriented Gradients (HoG) technique counts the occurrences of gradient orientation in a localized portion of an image.
ColorRedThe RGB color model operates as an additive system where combinations of red, green, and blue primary colors of light are blended together to create a wide spectrum of colors.
Green
Blue
Local Binary PatternsA local binary pattern (LBP) is a texture descriptor that analyzes the local texture around each pixel in an image by comparing its intensity to that of its surrounding neighbors. For each pixel, LBP assigns a binary value to each neighboring pixel based on whether it is brighter (1) or darker (0) than the central pixel, forming a binary pattern. This binary sequence is then converted to a decimal value, creating an LBP code for the pixel. Every uniform pattern is assigned to a single bin in the histogram and all non-uniform patterns are assigned to a unique bin (called the u2 LBP).
P i j : the relative frequency of neighboring cells having gray levels i and j.
Table 2. Multi-class confusion matrix representation with k classes.
Table 2. Multi-class confusion matrix representation with k classes.
True Classes
  C 1   C 2   C k
Predicted classes   C 1   C 11   C 12   C 1 k
  C 2   C 21   C 22   C 2 k
  C k   C k 1   C k 2   C k k
Table 3. Indicators—metric evaluations of the classifying algorithms.
Table 3. Indicators—metric evaluations of the classifying algorithms.
MetricsFormula
Accuracy   i = 1 k T P ( C i ) i = 1 k j = 1 k C i j
Sensitivity ( C i )     T P ( C i ) T P ( C i ) + F N ( C i )
Specificity ( C i )     T N ( C i ) T N ( C i ) + F P ( C i )
Precision ( C i )     T P ( C i ) T P ( C i ) + F P ( C i )
F1 ( C i )     2 R e c a l l ( C i ) P r e c i s i o n ( C i ) R e c a l l ( C i ) + P r e c i s i o n ( C i )
TP: true positive; TN: true negative; FP: false positive; FN: false negative;  C i :  class  i .
Table 4. Train–test accuracy results.
Table 4. Train–test accuracy results.
MethodTrain Sample AccuracyTest Sample Accuracy
XGBoost100%89.79%
Random Forest87.15%88.82%
SVM85.40%87.73%
CNN88.34%87.50%
Conditional Inference Tree78.97%82.93%
Naïve Bayes74.20%78.07%
k-NN45.14%45.92%
Table 5. Confusion matrix of the XGBoost algorithm for the test set.
Table 5. Confusion matrix of the XGBoost algorithm for the test set.
True Classes
AdiposeComplexDebrisEmptyLymphoMucosaStromaTumor
Predicted classesAdipose1567320321
Complex015030141127
Debris33168004200
Empty4002020000
Lympho0600169103
Mucosa01302168011
Stroma05100001422
Tumor0700180155
Table 6. Balanced accuracy for each tissue class and algorithm.
Table 6. Balanced accuracy for each tissue class and algorithm.
Algorithm
NBCITKNNSVMXGBOOSTRFCNN
Adipose95%97%73%98%97%97%97%
Complex79%86%59%91%90%90%70%
Debris81%90%63%92%94%94%81%
Empty99%97%92%100%99%99%96%
Lympho88%92%58%91%95%93%96%
Mucosa92%91%70%95%95%94%93%
Stroma80%79%50%87%90%91%95%
Tumor85%88%85%91%93%91%95%
Disclaimer/Publisher’s Note: The statements, opinions and data contained in all publications are solely those of the individual author(s) and contributor(s) and not of MDPI and/or the editor(s). MDPI and/or the editor(s) disclaim responsibility for any injury to people or property resulting from any ideas, methods, instructions or products referred to in the content.

Share and Cite

MDPI and ACS Style

Georgiou, N.; Kolias, P.; Chouvarda, I. Machine Learning Models for the Classification of Histopathological Images of Colorectal Cancer. Appl. Sci. 2024, 14, 10731. https://doi.org/10.3390/app142210731

AMA Style

Georgiou N, Kolias P, Chouvarda I. Machine Learning Models for the Classification of Histopathological Images of Colorectal Cancer. Applied Sciences. 2024; 14(22):10731. https://doi.org/10.3390/app142210731

Chicago/Turabian Style

Georgiou, Nektarios, Pavlos Kolias, and Ioanna Chouvarda. 2024. "Machine Learning Models for the Classification of Histopathological Images of Colorectal Cancer" Applied Sciences 14, no. 22: 10731. https://doi.org/10.3390/app142210731

APA Style

Georgiou, N., Kolias, P., & Chouvarda, I. (2024). Machine Learning Models for the Classification of Histopathological Images of Colorectal Cancer. Applied Sciences, 14(22), 10731. https://doi.org/10.3390/app142210731

Note that from the first issue of 2016, this journal uses article numbers instead of page numbers. See further details here.

Article Metrics

Back to TopTop