Featured Application
An alternative interpretation of Borehole Resistivity Logging surveys when conventional methods do not provide a satisfactory interpretation.
Abstract
In this paper, we present the application of a special soil resistivity model, the Exponentially Graded Multilayered Soil model, to the interpretation of Borehole Resistivity Logging surveys. The model, which was recently introduced by the authors, offers an alternative to the interpretation provided by constant resistivity layer models. The model is applied to synthetic soil surveys as well as to a real survey that is not satisfactorily interpreted using conventional models. This model aids in the design and calculation of grounding systems in electrical engineering, providing an alternative to calculations performed by traditional layered models.
1. Introduction
The study of the electrical properties of soil, such as electrical resistivity, as a function of depth from the surface is highly useful for determining the nature of the materials that compose it. The applications of this knowledge are of both scientific and technological importance. In subsurface characterization inside Geological and Geotechnical Studies, resistivity models help map subsurface structures and properties, aiding in geological surveys and engineering projects. For example, they have been used to identify different soil and rock types based on resistivity variations [1]. In Hydrogeology, the model assists in delineating aquifers and assessing groundwater quality by interpreting resistivity data to detect variations caused by water content and salinity [2]. In Mining Exploration, the soil model aids in locating and evaluating mineral deposits by providing detailed resistivity profiles that help identify ore bodies [3]. The model is used in Environmental Monitoring to monitor soil conditions before and after remediation, providing insights into the effectiveness of different treatment methods [4]. In precision agriculture, it helps manage irrigation and fertilization by mapping soil moisture and nutrient variations [5]. In Archaeology, the model is applied to detect and map buried archaeological features by analyzing resistivity data to locate structures or artifacts [6]. In Engineering, Construction, and Infrastructure Management, the soil model provides detailed resistivity profiles to assist in designing foundations and assessing soil stability for construction projects. In addition, it helps to plan cable and pipeline routes by providing insights into subsurface resistivity that may affect installation [7].
The methods used to study soil electrical resistivity as a function of depth can be divided into two major groups. The first is non-invasive methods, in which geoelectrical surveys, especially for shallow investigations, are currently primarily conducted using the approach known as Electrical Resistivity Imaging (ERI), which is often also referred to as Electrical Resistivity Ground Imaging (ERGI) or Electrical Resistivity Tomography (ERT) [8]. The aim is to study the variability of resistivity both with depth and laterally by measuring magnitudes directly related to resistivity. Apparent resistivity is one of these magnitudes, which can be measured using a set of surface electrodes in various configurations, with Wenner and Schlumberger arrays being some of them. When only the variability of resistivity with depth at a specific location is investigated, the survey is referred to as Vertical Electrical Sounding (VES) [9], which is a restricted type of soil test from a geophysical perspective, although it is very useful, for example, for the design of grounding systems in electrical engineering. On the other hand, invasive methods involve drilling a narrow vertical hole or well through which a bare rod can be inserted to release current into the ground, known as the Driven-Rod method (DRM) [10,11], or a device with two or three electrodes can be introduced into the well, one of which releases current into the soil while the others measure the electric potential, a method known as Borehole Resistivity Logging (BRL) [12]. In general, it can be said that non-invasive surface measurement methods provide information about resistivity in the vertical direction while also allowing for investigation of its lateral variability, although they lose resolution with depth. However, drilling methods such as BRL provide information in the vertical direction, with the possibility of obtaining a large amount of data, but offer little information in the horizontal directions unless many adjacent parallel boreholes are drilled and studied [13].
In an electrical survey using any of the methods described above, the electrical resistivity is not directly determined; instead, some other electrical quantity related to it is measured. In VES, the so-called apparent resistivity is measured [14]; in surveys using DRM, the electrical resistance of the rod is measured as a function of the length inserted into the ground [15], while in BRL, the electrical potential at various depths in the well or the potential difference between two nearby points is measured. Based on the information provided by the survey device, the soil resistivity as a function of depth must be determined, a procedure known in the literature as inversion. This is only possible if a soil resistivity model is available, which can be used to apply an inversion procedure to the measurement data and thus obtain the specific parameters of the model [16]. Due to the nature of the measuring device, BRL data provide an almost direct measurement of electrical resistivity as a function of the depth of the materials that make up the soil, making the inversion of BRL data less relevant for geophysical knowledge of the ground than the inversion of apparent resistivity measured with some non-invasive surface method. However, for the design of grounding systems in electrical engineering, a horizontal layer model to perform the necessary calculations is more than suitable. Among other reasons, for layered models, semi-analytical expressions can be found for the potential created by a current element at any point on the ground, allowing for the evaluation of the effect produced by the current leaked into the ground by a finite electrode.
The most commonly used soil resistivity model is the Horizontal Constant Multi-Layered model (HCMS) [17], which, in its simplest version, involves dividing the ground into horizontal layers of constant resistivity. The soil parameters are the constant resistivities of the different layers and their thicknesses, with the exception of the deepest layer, which extends to infinity. It is a semi-analytical model in the sense that it provides calculable expressions that can be mathematically implemented numerically in the equations that determine the electrical potential in the soil, leading to more acceptable results the more closely the actual soil matches the proposed model.
The HCMS is not the only possible model. For us, it is clear that, unless we are dealing with soils composed of perfectly horizontal layers with constant resistivity throughout their thickness, the resistivity will not be a piecewise constant function, but rather a magnitude that will vary within each layer with depth.
Recently, a multilayer model has been proposed that allows the resistivity in each layer to vary with depth according to specific functions. This is the Functionally Graded Multilayered Soil model (FGMS) [18]. This model is also semi-analytical, in the same sense as the HCMS mentioned earlier, although it is mathematically much more complex. It offers three possible modes of resistivity variation with depth: exponential, parabolic, and trigonometric, with the first being the functional mode used in this paper—the Exponentially Graded Multilayered Soil model (EGMS) [18]. Additionally, the model can be adjusted so that the resistivity is continuous at the layer interfaces, although this does not always yield suitable final results in the inversion process. With this new model for soil resistivity, it is possible to provide an alternative interpretation of apparent resistivity profiles, as was already highlighted in [18], but it also offers an interpretation of BRL profiles, which is the main contribution of the present work. For the authors, it is clear that not all soils can be satisfactorily modeled using HCMS models, so alternative models should be welcomed.
In summary, this work focuses on applying an inversion algorithm to the results of BRL measurements using an EGMS-type soil resistivity model and comparing the final results with a conventional HCMS model by directly simulating BRL with both models. While, in the field of geophysics, the inversion of an BRL is not a primary concern, the inversion of an BRL or an apparent resistivity pattern using a layered model, whether HCMS or EGMS, plays an important role in the design and calculation of protection systems for electrical installations. The application of the EGMS model to the calculation of relevant quantities in grounding systems is straightforward. Quantities such as resistance, as well as step and touch potentials, can be evaluated through implementation in numerical schemes similar to those already operating with the HCMS model. Having alternative models to compare results is, therefore, highly convenient. To this end, after this introduction, the paper continues with a description of the mathematical foundations of the calculations to be performed. The calculation scheme is then applied to several examples to highlight the differences between the models. The paper concludes with the findings derived from the previous applications.
2. Mathematical Foundations
For the study to be conducted in this work, it is necessary to have a calculation tool capable of simulating a BRL according to a specific soil model. This is what many authors refer to as the direct or forward method. This tool is essential for applying the inversion procedure and thereby determining the parameters of the chosen model. Therefore, we will describe the mathematical foundations of both methods, direct and inversion, for the EGMS soil model.
2.1. Direct Method
The direct method, also often referred to as the forward modeling method, involves simulating how a BRL measurement would appear given a specific soil resistivity model. This method is fundamental for understanding how different soil properties influence resistivity measurements and is essential for comparing theoretical predictions with actual data.
Let us consider a point current source of strength I located at in a semi-infinite soil whose conductivity is a function . The electric potential generated at point , also called Green’s function, is the solution of the boundary value problem (BVP).
BVP (1) is difficult to solve in general. Through the change , (1) becomes part of the following equation for the new variable ,
When the conductivity only depends on the z coordinate, the LHS second term of (2) becomes , which will be forced to take a constant value. Among other possibilities, when the constant value F is set to , it can be proof that , which will be called an exponentially graded model, and (2) becomes a modified Helmholtz equation. The solution for and in an infinite medium is:
For a semi-infinite medium composed by horizontal layers where a conductivity of the type described can be defined in each layer, what in this paper is called EGMS model, a cylindrical coordinates system can be used to solve the homogeneous equations associated with (3). For a point current source located in the i layer at , the potential at any point of the j layer can be expressed as:
where is the Kronecker delta and the unknown functions and need to be calculated by imposing the boundary conditions at each interface. Namely, stands for the null electric current flux through the soil surface, and
guarantees continuity of potential and normal electric current flux conservation through the interface separating the layers j and j + 1. In (4)–(5), stands for the exponential model conductivity [18].
2.2. Inversion Method
Once the EGMS model has been defined, the calculation of the potential generated by a point current source is given by (4). In this section, the inverse problem of setting the constants associated with the chosen model will be addressed. Focusing on the EGMS model, from the BRL measurements using a device as shown in Figure 1, it is possible to find the parameters associated with each layer of the model. Indeed, from BRL measurements, the values are available so that they represent the values that must be reproduced by the proposed soil model. From the EGMS model, is obtained, where represents the parameters associated with each layer, with N being the number of layers considered. This is sometimes referred to as the objective function. Points A and B in Figure 1 correspond to indices i and j in expression (4), where A is the source point and B is the field point where the potential will actually be evaluated. The model parameters can be found by an algorithm that minimizes
Figure 1.
Simplified schematic of SPR tools for BRL surveys (left panel). The distance between A and B is fixed, while the assembly (green part) can move vertically. The right panel shows the result of the survey (see text).
In this work, a code written in MatLab (2023b) has been used, employing the fminsearch minimization routine operating on (6) according to the Nelder–Mead simplex algorithm. To achieve this, an initial set of model parameters is used to apply the direct method, calculating the theoretical value of the potential. The model parameters in the set are adjusted by approximately 5% of their value in successive iterations until an optimal set of parameters is obtained that minimizes (6) according to the established tolerance values.
This procedure allows the parameters that define the function that represents the electrical conductivity in each layer to be obtained. Note that conductivity is non-continuous piecewise in general, since no supplementary conditions have been imposed on the interfaces. The variable conductivity model proposed here in each layer is only an approximation somewhat closer to the real world than the well-known HCMS. Nevertheless, it is possible to add conditions to the parameters in the minimization process described above to ensure that the discontinuity at the interfaces is the minimum possible. Such models will be classified as quasi-continuous models. The Lagrange multipliers method can be used to force continuity of conductivity at interfaces by expanding (6) to
where stands for the Lagrange multiplier whose number is equal to the number of interfaces, and are the conductivities on both sides of the interface i, and zi takes the value of the interface depth. This will not always improve the results obtained with the associated non-continuous model, although it is obvious that if the real conductivity behaves like a continuous EGMS model, continuity will arise by itself.
3. Applications of the Proposed Model
The mathematical foundations presented in the previous section must be implemented in calculation algorithms for both the direct and inverse processes. For simplicity, to illustrate the application of the EGMS model to BRL, only three-layer soils will be considered. This is because, given the large number of parameters required to specify the model, the calculations, particularly in the inversion method, become slower.
In this section, several simulated examples will be examined to test the differences between the HCMS and EGMS models for interpreting a BRL. Additionally, a real case will be studied with the same objective.
3.1. Direct Method
Figure 1 schematically shows the simplest Electrical Resistivity Tool (ERT) for collecting BRL data. It is the so-called Single-Point Resistance (SPR) Tool or Single-Point Log (SPL). Through contact A, a current I is injected into the ground, while contact B records the electric potential. The assembly is moved vertically along the well, probing the soil at different depths. For this device, the measured quantity is the potential at B at various depths, , as described by Equation (4). The points M and N are considered sufficiently distant so as not to disturb the current and potential fields, ensuring that what is measured at B is the absolute electric potential generated by a current point source at A. It is also assumed that the borehole does not significantly disturb the current field associated with point A, meaning that the measurement results are not different from those associated with a point current source [19].
A typical pattern of a BRL using the device shown in an ideal multilayered soil can be seen in the right panel of Figure 1. This image was generated by simulating the survey using a conventional 5-layer HCMS model with the resistivities indicated in the figure. The horizontal distance between electrodes A and B is fixed at 5 cm, while the vertical distance is 10 cm.
It is worth noting that the SPL data acquisition device shown in Figure 1 is not the only possible configuration. Figure 2 shows a simplified schematic of another possible ERT used for BRL surveys. It is called the Normal Resistivity Log (NRL). In this case, the quantity considered as the survey result is the potential difference . The same figure also displays the simulated survey result for the same soil used in Figure 1. In this ERT device, the potential probe N is located 10 cm above B.
Figure 2.
The NRL device for data acquisition and the simulated result image for the same 5-layer HCMS soil used in Figure 1.
Focusing on three-layer models for the reasons stated at the beginning of this section, Figure 3 shows the appearance of a BRL for two different soils using the same SPR measuring device shown in Figure 1. The left panel shows the simulated BRL in three-layer HCMS soil, with the resistivity parameters labeled on the figure itself and the widths marked with horizontal dashed lines. The right panel shows the BRL result for an EGMS model in the main plot, while the functional form of the resistivity in each layer can be seen in the inscribed plot. Table 1 lists the values of the model parameters. The horizontal dashed lines in the main plot indicate the layer boundaries, as do the vertical dashed lines in the inscribed plot.
Figure 3.
BRL simulations on three-layered soil models, HCMS (left panel), and EGMS (right panel). The colored lines in the subfigure of the right panel correspond to the variable resistivities in the considered layers.
Table 1.
Non-continuous EGMS model parameters for the soil depicted in the graph shown in the right panel of Figure 2.
In the following example, some results from the paper [18] will be used, where the objective function is the apparent resistivity obtained from Wenner soundings. For this, we start with a three-layer stratified soil with parameters ρ1 = 100 Ωm, ρ2 = 50 Ωm, ρ3 = 200 Ωm, h1 = 3 m, and h2 = 2 m. A Wenner sounding is simulated over this soil, providing a defined pattern of apparent resistivity that will be considered as the result of the sounding as a function of the electrode spacing a in the array. This sounding is then subjected to an inversion, with the objective function being the apparent resistivity expression in a three-layer EGMS model [18], resulting in the parameter set shown in Table 2.
Table 2.
Non-continuous EGMS model parameters for the soil depicted in the inset of Figure 4.
The graphs obtained from performing a BRL with these two models for the same soil are shown in Figure 4. The inset presents an image of the resistivity in each layer of the EGMS model. As can be seen, the BRL survey is very similar for both soil models, with the exception of the central region, where the models show a discrepancy. This discrepancy arises because the central layer in the EGMS model is far from being constant, unlike in the HCMS model. It is important to note that a simulation of the sounding with the chosen objective function should closely match the sounding data obtained with the measurement device, provided that the parameters of the objective function have been well determined and that the soil resistivity aligns well with the chosen model. In the described case, the objective function is the apparent resistivity, for which the parameters of the EGMS model shown in Table 2 are optimal.
Figure 4.
Result of the BRL surveys with the two models for the same soil. The colored lines in the subfigure correspond to the variable resistivities in the considered layers.
3.2. Inversion Method
As mentioned in the second item of the previous section, the task now is to determine the parameters of a specific EGMS model using the results from a BRL. For the simple SPR device shown in Figure 1, these initial data correspond to for a given set of depths z from the ground surface. The goal is to minimize expressions (6) or (7), where represents the potential value at depth z for the three-layer EGMS model, i.e., the objective function. For the conventional HCMS model, the objective function is represented by .
It is important to note that if the resistivity of a terrain fits well with a model, the simulation of the BRL with that model will closely resemble the BRL obtained with a direct measurement device, and expressions (6) or (7) will have very small values. However, the inverse method does not guarantee that an experimental BRL will yield a model that fits well with the data. At best, approximations may be obtained depending on the initial data. This is illustrated by Figure 3, where a stepped BRL shape suggests an HCMS soil model, while the presence of curves or slopes in the graph suggests another type of model, such as EGMS. This can also be observed in Figure 4, where two types of models are tested for the same soil. In this case, both soil models result in very similar BRL curves.
Several application examples will be analyzed next. Some of these involve simulations with synthetic soils illustrating the validity of the presented model. However, due to the high cost of BRL surveys, available data of this type are very scarce. Therefore, we are forced to use more abundant Wenner-type VES surveys. By using inversion procedures with the apparent resistivity profile as the objective function, we can obtain model parameters. This approach was previously used to develop the case shown in Figure 4.
Here, a new example is presented in which, starting from the apparent resistivity of a Wenner sounding applied to a synthetic soil, inversion is performed with apparent resistivity as the objective function in an EGMS model, also imposing continuity of resistivity at the interfaces. Table 3 shows the parameter values of the model, which exhibits continuity at the interfaces, as illustrated in the upper inset of Figure 5.
Table 3.
Continuous EGMS model parameters for the soil depicted in the graph shown in the inset of Figure 5.
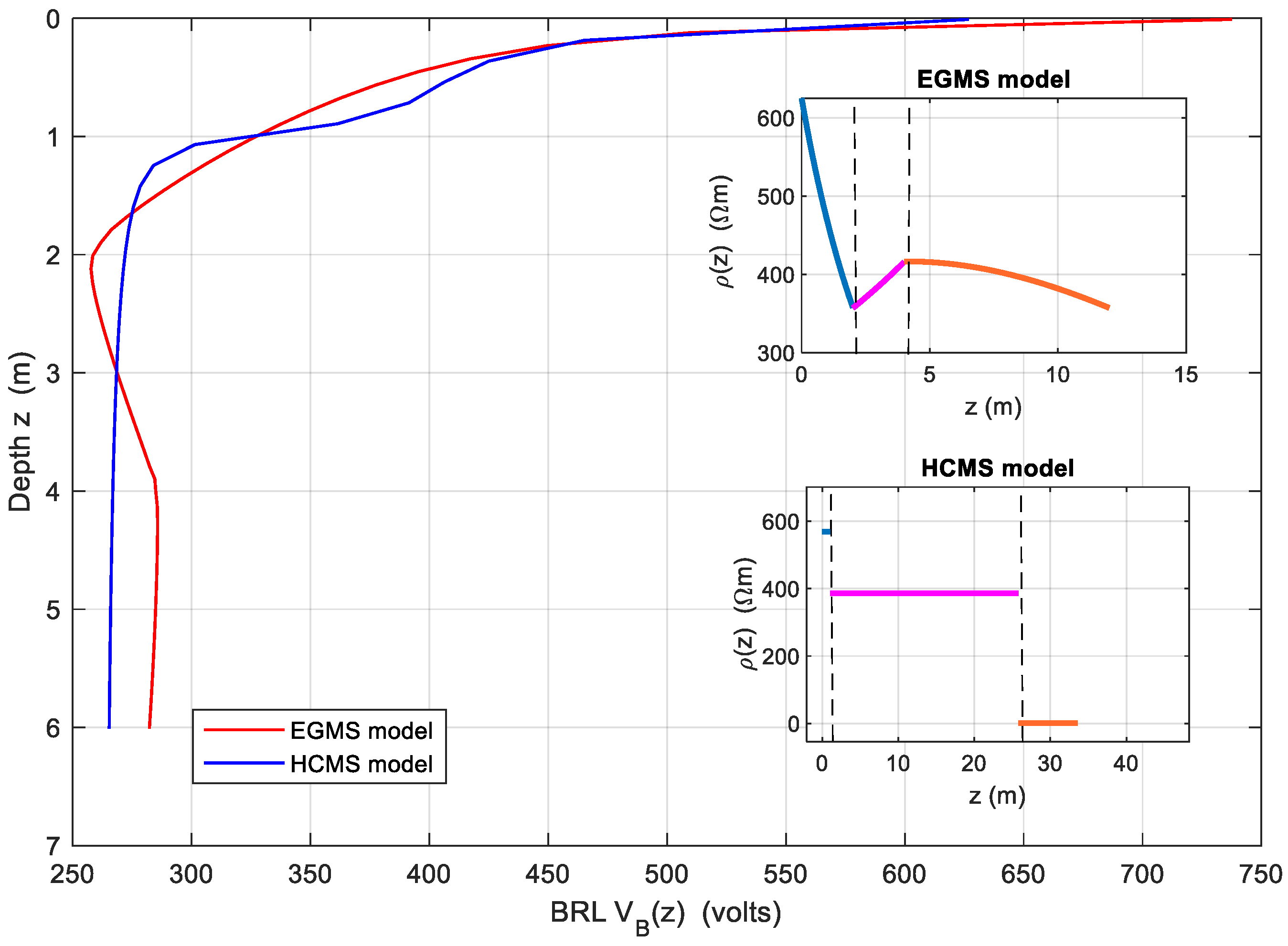
Figure 5.
Result of BRL surveys with two models for the same soil. The colored lines in the subfigures correspond to the variable (upper subfigure) and constant (lower subfigure) resistivities in the considered layers.
The equivalent HCMS model obtained through inversion is shown in the lower inset of Figure 5 and has the parameters ρ1 = 569.16 Ωm, ρ2 = 386.61 Ωm, ρ3 = 0.71 Ωm, h1 = 1.03 m, and h2 = 24.79 m. The main body of Figure 5 displays the BRL results using these two soil models.
As can be seen, this soil also exhibits a close equivalence between its HCMS and EGMS models for BRL surveys. However, this case, similarly to the one represented in Figure 4, is quite rare. Typically, there is often incompatibility between the models considered.
Next, we will analyze the only example with measured data that we have available, demonstrating the utility of the proposed model in this work. Table 4 presents the results of a BRL survey using a device similar to the one shown in Figure 1 at a site located in Yepes, Toledo (Spain). Since the device used for data collection was not certified and the personnel involved in the experiment were not qualified, the data in the table are not of high quality and should be considered a rough estimate of the subsurface electrical properties, though sufficiently valid to illustrate the differences between the HCMS and EGMS models.
Table 4.
Measured BRL data from the soil located at Yepes, Toledo (Spain), with an SPR tool.
The inversion by minimizing expression (7), enforcing the continuity of the objective function and using the data from Table 4, results in the EGMS model with the parameters listed in Table 5.
Table 5.
Continuous EGMS model parameters for the soil from Table 4 data.
The inversion using the HCMS model objective function results in a model with parameters ρ1 = 99.48 Ωm, ρ2 = 138.94 Ωm, ρ3 = 100.78 Ωm, h1 = 1.46 m, and h2 = 1.06 m. Figure 6 displays the BRL data from the measurements marked with green diamond symbols. It also shows the BRL simulations for the two models obtained through inversion.
Figure 6.
Measured BRL from the soil at Yepes and the simulated BRL from the two fitted models. The colored lines in the subfigures correspond to the variable (upper subfigure) and constant (lower subfigure) resistivities in the considered layers.
The BRL simulation for the EGMS model, using the parameters from Table 5, is shown with a red solid line, while the simulation for the HCMS model, with the previously mentioned parameters, is shown with a blue solid line. The upper right inset represents the resistivity assigned according to the EGMS model, which is nearly continuous. As seen in the main figure, this model closely reproduces the measured BRL data. The lower right inset shows the resistivity according to the HCMS model, and the main figure also displays the BRL simulation for this model with the blue solid line. It is evident that this simulation reproduces the measured BRL less accurately, highlighting the need for alternative models to HCMS for the proper interpretation of BRL soundings.
As a final comment, it is important to note that the proposed model is a layered model in which the resistivity has a defined functional form in each layer. From a technical standpoint, it represents an advancement over models with constant resistivity layers. However, real soil can be much more complex and may not fit into any of these models. Nevertheless, introducing variability with depth will always provide a better fit of the model to the actual resistivity profile.
4. Conclusions
In this work, the application of the EGMS model to the interpretation of BRL soundings has been addressed as an alternative to the more widely used HCMS models in the field of soil electrical structure research. The applicability and relevance of the EGMS model have been demonstrated, particularly in situations where conventional models do not provide an adequate result. Synthetic examples have been considered to illustrate the application of the proposed model, as well as an example from an actual BRL survey, which clearly shows the need for alternatives to conventional soil models. Although the number of parameters involved in the EGMS model is significantly higher compared with the HCMS model, which could pose a computational disadvantage, it represents a significant advancement, offering a robust alternative for interpreting BRL survey when conventional models do not satisfactorily explain the soil resistivity profile based on the recorded data.
Author Contributions
R.P., E.F., G.A. and J.M. Conceptualization, R.P., E.F. and G.A.; methodology, R.P., E.F. and G.A.; software, R.P. and G.A.; validation, J.M. and G.A.; formal analysis, R.P., E.F., G.A. and J.M.; investigation, R.P., E.F. and G.A.; resources, G.A. and J.M.; data curation, J.M. and G.A.; writing—original draft preparation, R.P., E.F., G.A. and J.M.; writing—review and editing, R.P. and E.F.; visualization, J.M.; supervision, R.P. and E.F.; project administration, G.A. and J.M. All authors have read and agreed to the published version of the manuscript.
Funding
This research received no external funding.
Institutional Review Board Statement
Not applicable.
Informed Consent Statement
Not applicable.
Data Availability Statement
The original contributions presented in the study are included in the article, further inquiries can be directed to the corresponding author.
Acknowledgments
The authors would like to thank both the Department of Applied Mathematics and the IEEF Department of the Escuela Técnica Superior de Ingeniería y Diseño Industrial (ETSIDI) at the Universidad Politecnica de Madrid (UPM) for their support to the undertaking of the research summarized here. Furthermore, the authors appreciate the collaboration with the firm QUIBAC at Terrassa, Barcelona (Spain), for the technical support and useful advice received from the staff.
Conflicts of Interest
The authors declare no conflicts of interest.
References
- van Overmeeren, R.; Ritsema, I. Continuous vertical electrical sounding. First Break. 1988, 6, 313–324. [Google Scholar] [CrossRef]
- Reynolds, J.M. An Introduction to Applied and Environmental Geophysics; John Wiley & Sons: Hoboken, NJ, USA, 2011. [Google Scholar]
- Kearey, P.; Brooks, M.; Hill, I. An Introduction to Geophysical Exploration; John Wiley & Sons: Hoboken, NJ, USA, 2002; Volume 4. [Google Scholar]
- Loke, M.H.; Barker, R.D. Practical techniques for 3D resistivity surveys and data inversion. Geophys. Prospect. 1996, 44, 499–523. [Google Scholar] [CrossRef]
- Calamita, G.; Perrone, A.; Brocca, L.; Straface, S. Soil Electrical Resistivity for Spatial Sampling Design, Prediction, and Uncertainty Modeling of Soil Moisture. Vadose Zone J. 2017, 16, 1–14. [Google Scholar] [CrossRef]
- Shihang, Z.; Hutchinson, P.; Toland, M.; Floyd, J.; Meehan, T.; Lee, R.; Ramos, M.; Mikesell, D.; de Smet, T. Archaeological Geophysics. In Symposium on the Application of Geophysics to Engineering and Environmental Problems 2015; Society of Exploration Geophysicists and Environment and Engineering Geophysical Society: Denver, CO, USA, 2016; pp. 30–32. [Google Scholar]
- Hossain, S.; Kibria, G.; Khan, S. Site Investigation Using Resistivity Imaging; CRC Press: Boca Raton, FL, USA, 2018. [Google Scholar] [CrossRef]
- Cardarelli, E.; De Donno, G. Advances in electric resistivity tomography: Theory and case studies. In En Innovation in Near-Surface Geophysics; Elsevier: Amsterdam, The Netherlands, 2019; pp. 23–57. [Google Scholar] [CrossRef]
- Ruan, W.; Southey, R.; Fortin, S.; Dawalibi, F. Effective Sounding Depths for HVDC Grounding Electrode Design: Wenner versus Schlumberger Methods. In Proceedings of the 2005 IEEE/PES Transmission & Distribution Conference & Exposition: Asia and Pacific, Dalian, China, 18 August 2005; pp. 1–7. [Google Scholar] [CrossRef]
- Nahman, J.; Salamon, D. A practical method for the interpretation of earth resistivity data obtained from driven rod tests. IEEE Trans. Power Deliv. 1988, 3, 1375–1379. [Google Scholar] [CrossRef]
- Denche, G.; Faleiro, E.; Asensio, G.; Moreno, J. Grounding Electrodes with Internal Resistance: Application to Feasibility Study of the Driven-Rod Method for Modeling the Soil Electrical Resistivity Profile. Appl. Sci. 2021, 11, 5032. [Google Scholar] [CrossRef]
- Yang, F.; Ward, S.H. Inversion of borehole normal resistivity logs. Geophysics 1984, 49, 1541–1548. [Google Scholar] [CrossRef]
- Kobr, M. Geophysical well logging. In Encyclopedia of Solid Earth Geophysics; Springer International Publishing: Cham, Switzerland, 2021; pp. 527–537. [Google Scholar]
- Seedher, H.; Arora, J. Estimation of two layer soil parameters using finite Wenner resistivity expressions. IEEE Trans. Power Deliv. 1992, 7, 1213–1217. [Google Scholar] [CrossRef]
- Takahashi, T.; Kawase, T. Calculation of earth resistance for a deep-driven rod in a multi-layer earth structure. IEEE Trans. Power Deliv. 1991, 6, 608–614. [Google Scholar] [CrossRef]
- Inman, J.R.; Ryu, J.; Ward, S.H. Resistivity Inversion. Geophysics 1973, 38, 1088–1108. [Google Scholar] [CrossRef]
- Mooney, H.M.; Orellana, E.; Pickett, H.; Tornheim, L. A resistivity computation method for layered earth models. Geophysics 1966, 31, 192–203. [Google Scholar] [CrossRef]
- Paramo, R.; Faleiro, E.; Asensio, G.; Moreno, J. Functionally Graded Multilayered Soil Models, an Alternative to Modeling the Soil Electrical Resistivity for Computing the Grounding Resistance. IEEE Access 2021, 9, 55364–55372. [Google Scholar] [CrossRef]
- Aweto, K.E. Resistivity Methods in Hydro-Geophysical Investigation for Groundwater in Aghalokpe, Western Niger Delta. Glob. J. Geol. Sci. 2013, 11, 47–55. [Google Scholar] [CrossRef]
Disclaimer/Publisher’s Note: The statements, opinions and data contained in all publications are solely those of the individual author(s) and contributor(s) and not of MDPI and/or the editor(s). MDPI and/or the editor(s) disclaim responsibility for any injury to people or property resulting from any ideas, methods, instructions or products referred to in the content. |
© 2024 by the authors. Licensee MDPI, Basel, Switzerland. This article is an open access article distributed under the terms and conditions of the Creative Commons Attribution (CC BY) license (https://creativecommons.org/licenses/by/4.0/).





