Next Article in Journal
Bridge Damage Localization Through Response Reconstruction with Multiple BP-ANNs Under Vehicular Loading
Previous Article in Journal
Acute Effects of Photobiomodulation Therapy Combined with Static Magnetic Field in C2C12 Muscle Cells Exposed and Not Exposed to H2O2
 
 
Font Type:
Arial Georgia Verdana
Font Size:
Aa Aa Aa
Line Spacing:
Column Width:
Background:
Article

Enhancing Pose Estimation Using Multiple Graphical Markers with Spatial and Temporal Outlier Detection

Department of Human Intelligence and Robot Engineering, Sangmyung University, Cheonan-si 31066, Republic of Korea
*
Authors to whom correspondence should be addressed.
Appl. Sci. 2024, 14(22), 10225; https://doi.org/10.3390/app142210225
Submission received: 6 October 2024 / Revised: 24 October 2024 / Accepted: 29 October 2024 / Published: 7 November 2024

Abstract

This paper presents a novel approach to enhance pose estimation accuracy and precision in mobile robotics using multiple graphical markers. While traditional single-marker methods using graphical markers such as ArUco offer simple implementation, their performance is susceptible to environmental variations and measurement errors. To address these limitations, we propose a robust pose estimation algorithm that leverages multiple markers simultaneously. Our approach incorporates two key mechanisms: spatial consistency verification to detect invalid markers within the marker array, and temporal stability analysis to identify and exclude outlier measurements. The algorithm enhances pose estimation accuracy by averaging measurements from valid markers while preventing any single marker from dominating the estimation process. The effectiveness of our approach was validated through experiments using both fixed and drone-mounted camera configurations. The results demonstrated that the pose estimation using multiple markers significantly improved both accuracy and precision compared with single-marker approaches. In fixed-camera experiments, the proposed method showed reduced mean errors and standard deviations in both position and orientation measurements across various camera poses. Similarly, in drone-mounted camera experiments, our approach exhibited superior stability with significantly lower measurement variations during hovering maneuvers. These improvements were particularly pronounced in challenging scenarios, such as when the camera was tilted at large angles relative to the marker plane. This research contributes to the advancement of reliable pose estimation methodologies in mobile robotics and autonomous systems, with potential applications across diverse environments where precise position and orientation measurements are crucial.

1. Introduction

Recent advancements in mobile robotics and autonomous driving technologies have established position and orientation (pose) estimation as a fundamental technology in contemporary robotic systems [1,2]. The development of accurate and precise pose estimation algorithms is crucial for the effective operation of mobile robots [3,4]. These technologies have found widespread applications across diverse environments, including public spaces, industrial facilities, and commercial settings [5,6,7,8]. To accommodate the varying characteristics of environments where mobile robots and autonomous systems operate, researchers have developed multiple approaches to pose estimation, including the use of graphical markers, Wi-Fi positioning, Bluetooth technology, ultrasonic sensors, and light detection and ranging (LiDAR) systems. Additionally, simultaneous localization and mapping (SLAM) technology has emerged as a significant advancement in this field [9,10,11,12,13].
Pose estimation algorithms using graphical markers as fiducial markers have gained considerable attention in mobile robot systems due to their straightforward implementation and cost-effectiveness [14,15]. Prominent examples of graphical markers employed in mobile robot systems include ArUco, AprilTag, and ARTag [16,17,18]. In these systems, pose estimation is achieved by using cameras mounted on mobile robots to recognize graphical markers as fiducial markers and subsequently calculate the relative pose between the camera and the markers [19].
While image-based pose estimation using graphical markers offers simplicity in implementation, its performance is significantly influenced by environmental factors. The environmental factors include ambient lighting conditions, spatial arrangement of objects in the environment, capture angles relative to the graphical markers, and the presence of physical obstacles. The environmental factors can substantially affect image quality and, consequently, the accuracy of pose estimation results.
Several research studies have been conducted to enhance pose estimation performance using single graphical markers, including the implementation of Kalman filters for smoothing [20], the usage of adaptive filtering algorithms and quaternions [21], the utilization of multi-camera systems for enhanced precision [22,23], the incorporation of additional features into graphical markers for improved accuracy [24], and the application of artificial intelligence techniques for image correction and pose estimation optimization [25,26].
Furthermore, researchers have investigated the use of multiple graphical markers to enhance pose estimation performance [27,28]. These studies have demonstrated improvements through strategic placement of graphical markers in three-dimensional space and multi-angle recognition. However, these systems are still susceptible to performance degradation when measurement errors arise in specific graphical markers.
This paper presents a novel algorithm designed to enhance the performance of pose estimation through the simultaneous capture and processing of multiple graphical markers using a single camera. The proposed algorithm needs to determine which graphical marker will serve as the coordinate system origin. The proposed algorithm incorporates an outlier detection mechanism to identify and exclude graphical markers that produce irregular and different pose estimates. The algorithm enhances the performance of pose estimation by averaging estimates from multiple graphical markers. The algorithm has been developed with low computational complexity, allowing it to conduct pose estimation efficiently even in small mobile robots with limited computational resources.
Our approach employs estimation from multiple graphical markers while preventing any single marker from dominating the estimation process. The algorithm demonstrates robust performance even when certain markers produce substantial estimation errors and become difficult to identify.

2. Pose Estimation Using Single Graphical Marker

The fundamental approach to pose estimation using a single graphical marker involves capturing the marker with a camera and subsequently determining the relative pose between the camera and marker coordinate systems. Using the estimates, mobile robots mounted with cameras can determine their own relative pose in relation to the graphical marker. In our investigation, we employed ArUco markers as the primary graphical markers due to their widespread adoption in robotics applications.
The mathematical framework for pose estimation begins with the processing of acquired ArUco marker images, which yields two essential components: the position vector ( t c m ) and the rotation vector ( r c m ) of the ArUco marker coordinate system relative to the camera coordinate system. These vectors are formally expressed as follows [29]:
t c m = t c m , x t c m , y t c m , z
r c m = r c m , x r c m , y   r c m , z
The position vector in Equation (1) represents the three-dimensional spatial displacement of the ArUco marker coordinate system origin with respect to the camera coordinate system. The rotation vector in Equation (2) encapsulates both the axis of rotation and the magnitude of rotation required to align the two coordinate systems.
To facilitate practical implementation, the rotation angle ( α c m ) and the unit vector of the rotation axis ( u c m ) are derived from the rotation vector through the following transformations:
α c m = r c m
u c m = u c m , x u c m , y   u c m , z = r c m / r c m
The rotational transformation between coordinate systems is expressed through the rotation matrix ( R c m ), computed using Rodrigues’ rotation formula:
R c m = c o s α c m I 3 × 3 + 1 c o s α c m u c m u c m T   + s i n α c m u c m ×
In Equation (3), I 3 × 3 and u c m × denote the three-dimensional identity matrix and the skew-symmetric matrix derived from the unit vector of the rotation axis.

3. Pose Estimation for Multi-Marker Systems

Our proposed methodology extends the single-marker approach by incorporating multiple ArUco markers to enhance pose estimation robustness and accuracy. The framework establishes a representative marker coordinate system, one of the ArUco markers within the marker array. Based on the assumption that the closer a detected marker is to the center of the camera image, the more stable the pose estimation result, we selected the marker closest to the image center as the representative marker among the detected markers. The pose estimation process follows a structured pipeline that systematically processes the pose information from all detected markers to compute the final pose estimate relative to the camera coordinate system.
The structured pipeline for pose estimates is described in Figure 1. Figure 1a shows an initial stage in which pose was computed relative to the camera coordinate system for all identified markers. Figure 1b,c shows a two-stage fault detection process to identify and exclude unreliable measurements. Figure 1b shows spatial consistency verification to detect invalid markers. The algorithm analyzed the spatial relationships between identified markers by comparing their relative orientations. Markers with significant differences in orientation measurements relative to the consensus of the marker array were identified as invalid markers. Figure 1c shows temporal stability analysis to detect outliers in estimates. The algorithm monitored the temporal evolution of each marker’s pose measurements. Markers displaying abrupt changes in their orientation measurements beyond established thresholds were identified as temporal outliers and excluded from subsequent processing. After removing estimates from markers with unreliable measurements, pose relative to the camera coordinate system was calculated by averaging estimates from multiple markers as shown in Figure 1d.

3.1. Initial Pose Acquisition and Transformation

The initial stage involved acquiring pose measurements from all visible markers within the camera’s field of view. For each i-th marker, a homogeneous transformation matrix encapsulating both position and orientation information was generated as follows:
T c m , i = R c m , i t c m , i 0 0 0 1
In Equation (6), t c m , i and R c m , i represent the position vector and the rotation matrix for the i-th marker with respect to the camera coordinate system.

3.2. Invalid Marker Detection

Invalid markers within the marker array were detected based on the spatial consistency verification process. The spatial consistency verification process evaluates the geometric relationships between detected markers to identify inconsistent measurements.
Figure 2 shows the special relationship between the camera, the i-th marker, and the representative marker. In Figure 2a,b, T c m , i and T i R are the measured pose of the i-th marker relative to the camera and the known geometric relationship between the i-th marker and the representative marker. In Figure 2c, T c R , i denotes the homogeneous transformation matrix representing the pose of the representative marker as calculated through the i-th marker.
The homogeneous transformation matrix for each i-th marker was transformed so that it could be represented relative to the coordinate system of the representative marker using the relationship shown in Figure 2.
T c R , i = T c m , i T i R
The rotation matrix in the transformed results from Equation (7) was converted to the rotation vector of three columns. Then, the rotation vector differences between pairs of markers were computed:
d i f f i , j = r c R , i r c R , j
In Equation (8), d i f f i , j denotes the magnitude of the rotation vector difference. r c R , i and r c R , j are rotation vectors extracted from T c R , i and T c R , j , respectively. Indexes i and j represent different markers within the marker array.
A marker was identified as invalid if its rotation measurements consistently deviated from other markers beyond a predetermined threshold. For each marker pair of i and j, the developed algorithm recorded cases where d i f f i , j exceeded the threshold. The marker with the highest frequency recorded was flagged as invalid. The measurements of the invalid marker were excluded from subsequent pose estimation calculations.

3.3. Outlier Detection

The temporal stability analysis algorithm monitored the consistency of measurements over time to identify sudden anomalies. For each i-th marker, a moving average of rotation vectors was calculated:
M A i t = 1 k j = 0 k 1 r c m , i t j
In Equation (9), M A i t is the moving average at time t. k and r c m , i t denote the rotation vector of the i-th marker at time t. The temporal stability was determined by calculating the difference between the current measurement and the moving average:
d i f f i = r c m , i t M A i t
A measurement was classified as an outlier if d i f f i exceeded a predetermined threshold, indicating an abrupt change in the measured orientation that was likely due to environmental factors or measurement errors. Measurements designated as outliers were omitted from subsequent pose estimation calculations at time t.

3.4. Correction of Pose Estimation

After excluding invalid markers and temporal outliers, the developed algorithm refined the final pose estimate using the remaining valid measurements. The correction process involves two primary components: orientation correction and position correction.
The corrected orientation was computed by averaging the rotation information from valid markers. Using the pose information from each valid marker, the rotation angle and unit vector of the rotation axis for the representative marker were averaged as follows:
α c o r r e c t i o n = i = 1 N r c R , i N
u c o r r e c t i o n = i = 1 N r c R , i r c R , i N
In Equations (11) and (12), r c R , i denotes the rotation vector of the representative marker relative to the camera coordinate system, calculated using the pose measurements from the i-th marker. N is the number of valid markers.
The rotation vector of the representative marker relative to the camera coordinate system was then calculated using Equation (13).
r c o r r e c t i o n = α c o r r e c t i o n u c o r r e c t i o n
The resulting rotation vector was converted to a rotation matrix using Equation (5). From the rotation matrix, the roll( φ c o r r e c t i o n ), pitch( θ c o r r e c t i o n ), and yaw( ψ c o r r e c t i o n ) angles were extracted as follows:
φ c o r r e c t i o n = tan 1 R c o r r e c t i o n , 32 R c o r r e c t i o n , 33
θ c o r r e c t i o n = s i n 1 R c o r r e c t i o n , 31
ψ c o r r e c t i o n = tan 1 R c o r r e c t i o n , 21 R c o r r e c t i o n , 11
In Equation (14), R c o r r e c t i o n , i j represents the element in the i-th row and j-th column of the calculated rotation matrix.
For position correction, the position vector of the representative marker relative to the camera coordinate system was computed by averaging the position vectors calculated from each valid marker.
t c o r r e c t i o n = i = 1 N t c m , i N
In Equation (15), t c m , i represents the position vector of the representative marker relative to the camera coordinate system, calculated using the pose measurements from the i-th marker.
The pose information from multiple valid markers was efficiently merged while mitigating the impact of measurement errors and environmental factors on the final pose estimation using the correction algorithm described in this section.

4. Experimental Methods and Results

4.1. Experimental Setup

The performance of two pose estimation approaches using single and multiple graphical markers was compared. The experiments all used wall-mounted ArUco markers and two different camera setups: a fixed-camera setup and a drone-mounted camera setup. When there are insufficient types of ArUco markers available for constructing multiple-marker groups for pose estimation, alternative approaches can be employed, such as combining different types of graphical markers, such as AprilTags with ArUco markers, or treating multiple ArUco marker combinations as a single unified marker.
In the experiments with the fixed-camera setup, a threshold value of 1 was used for both invalid marker detection and outlier detection. In the experiments using the drone-mounted camera setup, a threshold value of 5 was applied.
Figure 3 depicts the configuration of a wall-mounted marker. Each marker had a width and height of 100 mm. Figure 3a,b shows the configurations of the single marker and the multiple markers. In Figure 3b, four markers were installed on the same plane with 125 mm intervals between adjacent markers. One marker was designated as the representative marker, as indicated in the figure.
Figure 4 illustrates the experimental environments for a fixed-camera setup and a drone-mounted camera setup. In the fixed-camera setup shown in Figure 4a, a camera (Logitech C920, Switzerland) was positioned perpendicular to the wall where the ArUco markers were mounted. The initial camera position was set so that the representative marker’s origin was 100 cm along the positive z-axis of the camera coordinate system, with zero offset in both x and y directions. The representative marker’s pose was estimated by rearranging the camera from its initial position. First, the camera was moved 0 cm, 5 cm, and 10 cm away from its initial position along the negative y-axis. The camera was then tilted 30°, 45°, and 60° about the x-axis from its initial position.
For the fixed-camera setup, the relative pose estimates between the camera and the representative marker were compared with mechanical measurements as ground truth to calculate 3D position errors as well as roll, pitch, and yaw errors.
In the drone-mounted camera setup shown in Figure 4b, a DJI Tello drone equipped with a camera was used to hover perpendicular to the wall where the ArUco markers were mounted. The drone’s target hovering poses matched the six poses used in the fixed-camera setup. However, due to inherent hovering instabilities, the actual drone positions deviated from the target poses. Therefore, instead of absolute errors between estimation and target values, the standard deviation of estimated 3D positions and roll, pitch, and yaw angles over a 60 s hovering period were assessed.

4.2. Experimental Results

Pose Estimation Performance Using Fixed Camera

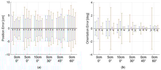
The performance comparison between single- and multiple-marker approaches was conducted by analyzing the mean and standard deviation of pose estimation errors. The image processing of the graphical markers was executed using an Intel Core i3-8145U CPU with integrated UHD Graphics 620 and 12 GB of RAM. Pose estimation with a single marker achieved a processing speed of 30 frames per second (FPS), while using multiple markers resulted in a speed of 25 FPS. Both cases demonstrated processing speeds suitable for real-time application on mobile robots. Figure 5 presents error bar graphs showing these statistics across all six relative poses between the fixed camera and the representative marker. The bars represent mean errors, while the lines indicate standard deviations.
Figure 5a shows position errors along the x-, y-, and z-axes, as well as Euclidean distance errors. Table 1 provides detailed numerical values for the mean and standard deviation of position errors. The t-test analysis demonstrated statistically significant differences (p < 0.05) between single-marker and multiple-marker estimation methods for all relative camera–marker configurations in Table 1, except for the x-direction error where the camera center was 10 cm away from the marker origin and tilted by 0 degrees. The results demonstrate that the pose estimation using multiple markers achieved lower mean errors across all directional components and Euclidean distances compared with the single-marker method. Additionally, the standard deviations were consistently smaller when using multiple markers, indicating improved precision.
Figure 5b presents orientation errors in roll, pitch, and yaw angles, where φ, θ, and ψ represent errors in roll, pitch, and yaw angles, respectively. The detailed values are provided in Table 2. Statistical analysis using t-tests revealed significant differences (p < 0.05) between single-marker and multiple-marker estimation approaches for all configurations listed in Table 2, except for the θ where the camera center was only displaced along the z-axis with a 45-degree tilt from the marker. The pose estimation using multiple markers showed superior performance in both accuracy (mean error) and precision (standard deviation) compared with the single-marker method. This improvement was particularly pronounced when the camera was tilted at 60° relative to the marker plane, where the pose estimation using a single marker showed significantly larger errors and variations in φ direction.
The most significant performance difference between single- and multiple-marker approaches was observed when the camera was located at its initial position and tilted 60° around the x-axis. Figure 6 illustrates the temporal evolution of pose errors under this fixed-camera setup. In Figure 6, red lines represent pose estimation results using a single marker, and blue lines show pose estimation results using multiple markers. Three graphs in the first row, from Figure 6a–c, show position errors along the x-, y-, and z-axes, respectively. Other graphs in the second row, from Figure 6d–f, present roll, pitch, and yaw errors, respectively. The pose estimation results using a single marker exhibited notable error spikes, highlighted by the red boxes, and temporal fluctuations. The pose estimation results using multiple markers demonstrated more stable and accurate measurements.
Figure 7 presents the standard deviations of pose estimation taken over 60 s hovering periods using the drone-mounted camera. Red lines indicate the estimation results using a single marker, while blue lines represent the estimation results using multiple markers. Figure 7a shows standard deviations in position estimates along each axis and Euclidean distances, while Figure 7b presents standard deviations in roll, pitch, and yaw angles.
The pose estimation using multiple markers demonstrated superior precision across most drone poses, with consistently lower standard deviations in both position and orientation estimates. Table 3 provides detailed numerical values of standard deviations.
Figure 8 illustrates pose estimation results in which the drone hovered at a target position 0 cm, 5 cm, and 100 cm from the representative marker along the x-, y-, and z-axes. In Figure 8, red lines and blue lines show the pose estimation results using a single marker and multiple markers, respectively. The temporal evolution demonstrates that pose estimation with a single marker had considerable oscillations when compared with pose estimation with multiple markers. The significant fluctuations in the graph are highlighted by the red boxes. The pose estimation results using multiple markers show lower standard deviations and higher precision.
These results consistently demonstrate that the pose estimation using multiple markers provides more reliable and precise estimation results compared with the pose estimation using a single marker in experiments with both a fixed camera and a drone-mounted camera.

5. Conclusions

This paper presents a novel methodology for enhancing pose estimation accuracy and precision using multiple graphical markers. The developed algorithm improves measurement performance by averaging pose estimates from multiple markers while incorporating two-stage fault detection mechanisms: removal of invalid markers from the marker array and elimination of outlier measurements showing abrupt temporal variations.
The performance of the developed algorithm was validated through experiments that used both fixed and drone-mounted cameras and compared single-marker and multiple- marker configurations. In the experiments using a fixed camera, the multiple-marker approach demonstrated superior performance, with reduced mean errors and standard deviations in both position and orientation measurements, indicating improvements in both accuracy and precision. The drone-mounted camera experiments further confirmed these findings, with the multiple-marker method showing significantly lower standard deviations in pose measurements compared with the single-marker approach, demonstrating enhanced measurement precision in actual drone applications.
While our research has successfully demonstrated improvements in measurement accuracy and precision through the use of multiple markers, several aspects warrant further investigation to enhance the system’s overall performance and applicability. First, regarding the current implementation’s robustness under diverse environmental conditions, we used fixed threshold values for invalid marker detection and outlier detection, along with a simple averaging method to aggregate information from multiple markers. Further research is needed to develop an adaptive thresholding mechanism that adjusts according to environmental changes, and to explore the application of various filters, such as weighted moving averages or Kalman filters, instead of simple averaging. Additionally, considering the potential benefits of broader field-of-view imaging systems, future studies should investigate pose estimation using 360-degree cameras, which can detect markers over a wider range compared with monocular cameras. This research direction would require developing specialized image-preprocessing techniques and calibration methods to effectively utilize the comprehensive visual information provided by 360-degree cameras.
The developed algorithm contributes to the advancement of robust pose estimation methodologies in mobile robotics and autonomous systems, with potential applications across various domains where precise position and orientation measurements are crucial.

Author Contributions

Conceptualization, J.H.B. and S.J.; methodology, D.K., J.H.B. and S.J.; software, D.K.; validation, D.K.; formal analysis, J.H.B. and S.J.; writing—original draft preparation, D.K.; writing—review and editing, J.H.B. and S.J.; visualization, J.H.B.; supervision, J.H.B. and S.J.; funding acquisition, S.J. All authors have read and agreed to the published version of the manuscript.

Funding

This research was funded by a 2022 research grant from Sangmyung University.

Institutional Review Board Statement

Not applicable.

Informed Consent Statement

Not applicable.

Data Availability Statement

The raw data supporting the conclusions of this article will be made available by the authors on request.

Conflicts of Interest

The authors declare no conflicts of interest.

References

  1. El-Sheimy, N.; Li, Y. Indoor navigation: State of the art and future trends. Satell. Navig. 2021, 2, 7. [Google Scholar] [CrossRef]
  2. Yassin, A.; Nasser, Y.; Awad, M.; Al-Dubai, A.; Liu, R.; Yuen, C.; Raulefs, R.; Aboutanios, E. Recent Advances in Indoor Localization: A Survey on Theoretical Approaches and Applications. IEEE Commun. Surv. Tutor. 2017, 19, 1327–1346. [Google Scholar] [CrossRef]
  3. Liu, H.; Darabi, H.; Banerjee, P.; Liu, J. Survey of wireless indoor positioning techniques and systems. IEEE Trans. Syst. Man Cybern. Part C Appl. Rev. 2007, 37, 1067–1080. [Google Scholar] [CrossRef]
  4. Huang, J.; Junginger, S.; Liu, H.; Thurow, K. Indoor Positioning Systems of Mobile Robots: A Review. Robotics 2023, 12, 47. [Google Scholar] [CrossRef]
  5. Molina, B.; Olivares, E.; Palau, C.E.; Esteve, M. A Multimodal Fingerprint-Based Indoor Positioning System for Airports. IEEE Access 2018, 6, 10092–10106. [Google Scholar] [CrossRef]
  6. Hayward, S.J.; van Lopik, K.; Hinde, C.; West, A.A. A Survey of Indoor Location Technologies, Techniques and Applications in Industry. Internet Things 2022, 20, 100608. [Google Scholar] [CrossRef]
  7. Silva, B.; Pang, Z.; Akerberg, J.; Neander, J.; Hancke, G. Experimental Study of UWB-Based High Precision Localization for Industrial Applications. In Proceedings of the 2014 IEEE International Conference on Ultra-WideBand (ICUWB), Paris, France, 1–3 September 2014; pp. 280–285. [Google Scholar]
  8. Farahsari, P.S.; Farahzadi, A.; Rezazadeh, J.; Bagheri, A. A Survey on Indoor Positioning Systems for IoT-Based Applications. IEEE Internet Things J. 2022, 9, 7680–7699. [Google Scholar] [CrossRef]
  9. Zou, Q.; Sun, Q.; Chen, L.; Nie, B.; Li, Q. A comparative analysis of LiDAR SLAM-based indoor navigation for autonomous vehicles. IEEE Trans. Intell. Transp. Syst. 2021, 23, 6907–6921. [Google Scholar] [CrossRef]
  10. Fiala, M. Designing Highly Reliable Fiducial Markers. IEEE Trans. Pattern Anal. Mach. Intell. 2010, 32, 1317–1324. [Google Scholar] [CrossRef] [PubMed]
  11. Fiala, M. ARTag, a fiducial marker system using digital techniques. In Proceedings of the 2005 IEEE Computer Society Conference on Computer Vision and Pattern Recognition (CVPR’05), San Diego, CA, USA, 20–25 June 2005; Volume 2, pp. 590–596. [Google Scholar]
  12. Garrido-Jurado, S.; Muñoz-Salinas, R.; Madrid-Cuevas, F.J.; Marín-Jiménez, M.J. Automatic generation and detection of highly reliable fiducial markers under occlusion. Pattern Recognit. 2014, 47, 2280–2292. [Google Scholar] [CrossRef]
  13. Mautz, R. Indoor Positioning Technologies. Ph.D. Thesis, ETH Zürich, Zürich, Switzerland, 2012. [Google Scholar]
  14. Muoz-Salinas, R.; Medina-Carnicer, R.; Marín-Jimenez, M.J.; Yeguas-Bolivar, E. Mapping and Localization from Planar Markers. Pattern Recognit. 2017, 73, 158–171. [Google Scholar] [CrossRef]
  15. Khazetdinov, A.; Zakiev, A.; Tsoy, T.; Svinin, M.; Magid, E. Embedded ArUco: A novel approach for high precision UAV landing. In Proceedings of the 2021 International Siberian Conference on Control and Communications (SIBCON), Kazan, Russia, 13–15 May 2021. [Google Scholar]
  16. Araar, O.; Aouf, N.; Vitanov, I. Vision based autonomous landing of multirotor UAV on moving platform. J. Intell. Robot. Syst. 2017, 85, 369–384. [Google Scholar] [CrossRef]
  17. Magnago, V.; Palopoli, L.; Passerone, R.; Fontanelli, D.; Macii, D. Effective Landmark Placement for Robot Indoor Localization with Position Uncertainty Constraints. IEEE Trans. Instrum. Meas. 2019, 68, 4443–4455. [Google Scholar] [CrossRef]
  18. Celozzi, C.; Paravati, G.; Sanna, A.; Lamberti, F. A 6-DOF ARTag-based tracking system. IEEE Trans. Consum. Electron. 2010, 56, 203–210. [Google Scholar] [CrossRef]
  19. Kalaitzakis, M.; Cain, B.; Carroll, S.; Ambrosi, A.; Whitehead, C.; Vitzilaios, N. Fiducial markers for pose estimation. J. Intell. Robot. Syst. 2021, 101, 71. [Google Scholar] [CrossRef]
  20. Kam, H.; Yu, Y.; Wong, K. An Improvement on ArUco Marker for Pose Tracking Using Kalman Filter. In Proceedings of the 2018 19th IEEE/ACIS International Conference on Software Engineering, Artificial Intelligence, Networking and Parallel/Distributed Computing (SNPD), Busan, Republic of Korea, 27–29 June 2018; pp. 65–69. [Google Scholar]
  21. Talebi, S. Adaptive Filtering Algorithms for Quaternion-Valued Signals. Ph.D. Thesis, Imperial College London, London, UK, 2017. [Google Scholar]
  22. Korthals, T.; Wolf, D.; Rudolph, D.; Hesse, M.; Rückert, U. Fiducial Marker based Extrinsic Camera Calibration for a Robot Benchmarking Platform. In Proceedings of the 2019 European Conference on Mobile Robots (ECMR), Prague, Czech Republic, 4–6 September 2019; pp. 1–6. [Google Scholar]
  23. Popescu, D.; Dumitrache, I.; Caramihai, S.; Cernaianu, M. High Precision Positioning with Multi-Camera Setups: Adaptive Kalman Fusion Algorithm for Fiducial Markers. Sensors 2020, 20, 2746. [Google Scholar] [CrossRef] [PubMed]
  24. Wang, Y.; Zheng, Z.; Su, Z.; Yang, G.; Wang, Z.; Luo, Y. An Improved ArUco Marker for Monocular Vision Ranging. In Proceedings of the 2020 Chinese Control And Decision Conference (CCDC), Hefei, China, 22–24 August 2020; pp. 2915–2919. [Google Scholar]
  25. Li, B.; Wu, J.; Tan, X.; Wang, B. ArUco Marker Detection under Occlusion Using Convolutional Neural Network. In Proceedings of the 2020 5th International Conference on Automation, Control and Robotics Engineering (CACRE), Dalian, China, 19–20 September 2020; Volume 8, pp. 706–711. [Google Scholar]
  26. Li, B.; Wang, B.; Tan, X.; Wu, J.; Wei, L. Corner location and recognition of single ArUco marker under occlusion based on YOLO algorithm. J. Electron. Imaging 2021, 30, 033012. [Google Scholar] [CrossRef]
  27. Popescu, D.C.; Cernaianu, M.O.; Ghenuche, P.; Dumitrache, I. An assessment on the accuracy of high precision 3D positioning using planar fiducial markers. In Proceedings of the 21st International Conference on System Theory, Control and Computing, ICSTCC 2017, Sinaia, Romania, 19–23 October 2017; pp. 471–476. [Google Scholar]
  28. Oščádal, P.; Heczko, D.; Vysocký, A.; Mlotek, J.; Novák, P.; Virgala, I.; Sukop, M.; Bobovský, Z. Improved Pose Estimation of Aruco Tags Using a Novel 3D Placement Strategy. Sensors 2020, 20, 4825. [Google Scholar] [CrossRef] [PubMed]
  29. Detection of ArUco Markers. Available online: https://docs.opencv.org/4.x/d5/dae/tutorial_aruco_detection.html (accessed on 2 April 2023).
Figure 1. Overview of pose estimation using multiple ArUco markers.
Figure 1. Overview of pose estimation using multiple ArUco markers.
Applsci 14 10225 g001
Figure 2. Spatial relationship between coordinate systems of camera, i-th marker, and representative marker.
Figure 2. Spatial relationship between coordinate systems of camera, i-th marker, and representative marker.
Applsci 14 10225 g002
Figure 3. ArUco marker setup. (a) Single marker, (b) Multiple markers.
Figure 3. ArUco marker setup. (a) Single marker, (b) Multiple markers.
Applsci 14 10225 g003
Figure 4. Experimental setup for pose estimation. (a) Experiment using fixed camera, (b) Experiment using drone mounted camera.
Figure 4. Experimental setup for pose estimation. (a) Experiment using fixed camera, (b) Experiment using drone mounted camera.
Applsci 14 10225 g004
Figure 5. Mean and standard deviation of pose error measured with fixed camera. Red and blue represent experimental results using single marker and multiple markers. (a) Position error, (b) Orientation error.
Figure 5. Mean and standard deviation of pose error measured with fixed camera. Red and blue represent experimental results using single marker and multiple markers. (a) Position error, (b) Orientation error.
Applsci 14 10225 g005
Figure 6. Pose error measured with fixed camera tilted 60 degrees relative to marker plane. Red and blue represent experimental results using single marker and multiple markers. (a) Position error along x-axis, (b) Position error along y-axis, (c) Position error along z-axis, (d) Roll error, (e) Pitch error, (f) Yaw error.
Figure 6. Pose error measured with fixed camera tilted 60 degrees relative to marker plane. Red and blue represent experimental results using single marker and multiple markers. (a) Position error along x-axis, (b) Position error along y-axis, (c) Position error along z-axis, (d) Roll error, (e) Pitch error, (f) Yaw error.
Applsci 14 10225 g006
Figure 7. Standard deviation of representative marker pose measured with drone-mounted camera. Red and blue represent experimental results using single marker and multiple marker. (a) Position error, (b) Orientation error.
Figure 7. Standard deviation of representative marker pose measured with drone-mounted camera. Red and blue represent experimental results using single marker and multiple marker. (a) Position error, (b) Orientation error.
Applsci 14 10225 g007
Figure 8. Estimation of representative marker pose with drone-mounted camera. Red and blue represent experimental results using single marker and multiple marker. (a) Position along x-axis, (b) Position along y-axis, (c) Position along z-axis, (d) Roll, (e) Pitch, (f) Yaw.
Figure 8. Estimation of representative marker pose with drone-mounted camera. Red and blue represent experimental results using single marker and multiple marker. (a) Position along x-axis, (b) Position along y-axis, (c) Position along z-axis, (d) Roll, (e) Pitch, (f) Yaw.
Applsci 14 10225 g008
Table 1. Mean and standard deviation of position error measured with fixed camera.
Table 1. Mean and standard deviation of position error measured with fixed camera.
0 cm5 cm10 cm
0 deg0 deg0 deg
SingleMultipleSingleMultipleSingleMultiple
MeanStdMeanStdMeanStdMeanStdMeanStdMeanStd
X0.3320.1520.1270.0810.4130.2940.1350.1050.2260.2320.2170.163
Y0.130.1050.0320.0250.4020.2640.1790.1260.5270.2960.2330.179
Z0.1630.1220.0950.0740.3610.2450.190.1230.4750.2690.2470.18
d0.4130.180.1780.0840.7550.3310.320.1620.7850.3890.3140.207
0 cm0 cm0 cm
30 deg45 deg60 deg
SingleMultipleSingleMultipleSingleMultiple
MeanStdMeanStdMeanStdMeanStdMeanStdMeanStd
X0.2580.1280.110.0080.1690.1760.1260.1040.4350.3380.3310.167
Y0.3250.4230.1980.1690.2070.170.1120.0960.1970.1750.090.071
Z0.3990.4140.1810.1480.4830.2880.2990.1980.9570.670.3750.275
d0.7670.3820.4470.2310.5730.3450.3850.1711.1190.6980.5320.29
Table 2. Mean and standard deviation of orientation error measured with fixed camera.
Table 2. Mean and standard deviation of orientation error measured with fixed camera.
0 cm5 cm10 cm
0 deg0 deg0 deg
SingleMultipleSingleMultipleSingleMultiple
MeanStdMeanStdMeanStdMeanStdMeanStdMeanStd
φ 0.1070.0860.050.040.3720.2250.1420.0950.4010.2260.1530.125
θ 0.1550.0760.0560.0490.1630.1370.0650.0490.2370.2050.1150.092
ψ 0.1240.060.1010.0580.220.1380.0550.040.2220.1630.0590.04
0 cm0 cm0 cm
30 deg45 deg60 deg
SingleMultipleSingleMultipleSingleMultiple
MeanStdMeanStdMeanStdMeanStdMeanStdMeanStd
φ 0.2770.3320.150.1280.290.1850.1610.120.7622.1620.1880.137
θ 0.130.0760.0680.0480.0990.1070.0940.0640.1880.1390.0910.085
ψ 0.1110.0880.0470.0340.1130.0730.0930.070.2950.2010.2360.136
Table 3. Standard deviation value of representative marker pose measured with drone-mounted camera.
Table 3. Standard deviation value of representative marker pose measured with drone-mounted camera.
0 cm5 cm10 cm0 cm0 cm0 cm
0 deg0 deg0 deg30 deg45 deg60 deg
SingleMultipleSingleMultipleSingleMultipleSingleMultipleSingleMultipleSingleMultiple
StdStdStdStdStdStdStdStdStdStdStdStd
X6.2274.5928.1225.6958.1224.5793.4465.0186.8233.8046.9084.739
Y3.292.6347.3045.9687.3043.1126.8194.827.8834.2498.7374.846
Z4.3143.7086.5524.3626.5522.8026.3024.5748.215.3917.3594.843
d4.2822.9234.8443.5063.7362.9645.7873.2484.443.665.974.345
φ 1.1551.0131.5041.0941.5040.6472.0860.4792.4670.2783.1860.548
θ 3.2491.5853.2142.0063.2141.0830.9180.2460.4890.2760.4450.368
ψ 0.8550.3290.8160.4910.8160.2540.4870.3430.2960.1190.4660.399
Disclaimer/Publisher’s Note: The statements, opinions and data contained in all publications are solely those of the individual author(s) and contributor(s) and not of MDPI and/or the editor(s). MDPI and/or the editor(s) disclaim responsibility for any injury to people or property resulting from any ideas, methods, instructions or products referred to in the content.

Share and Cite

MDPI and ACS Style

Kim, D.; Bong, J.H.; Jeong, S. Enhancing Pose Estimation Using Multiple Graphical Markers with Spatial and Temporal Outlier Detection. Appl. Sci. 2024, 14, 10225. https://doi.org/10.3390/app142210225

AMA Style

Kim D, Bong JH, Jeong S. Enhancing Pose Estimation Using Multiple Graphical Markers with Spatial and Temporal Outlier Detection. Applied Sciences. 2024; 14(22):10225. https://doi.org/10.3390/app142210225

Chicago/Turabian Style

Kim, Doyoung, Jae Hwan Bong, and Seongkyun Jeong. 2024. "Enhancing Pose Estimation Using Multiple Graphical Markers with Spatial and Temporal Outlier Detection" Applied Sciences 14, no. 22: 10225. https://doi.org/10.3390/app142210225

APA Style

Kim, D., Bong, J. H., & Jeong, S. (2024). Enhancing Pose Estimation Using Multiple Graphical Markers with Spatial and Temporal Outlier Detection. Applied Sciences, 14(22), 10225. https://doi.org/10.3390/app142210225

Note that from the first issue of 2016, this journal uses article numbers instead of page numbers. See further details here.

Article Metrics

Back to TopTop