Featured Application
This research proposed a novel response reconstruction method to localize potential damage with multiple inclinometers. This is a data-driven method and can be easily applied to bridge online monitoring.
Abstract
Damage detection is a critical aspect of bridge health monitoring. While data reconstruction has been posited as a promising method for damage detection, its effectiveness in this context has rarely been empirically validated. In this study, we introduce a novel approach to pinpoint potential bridge damage by reconstructing bridge inclination data. For an intact bridge, we selected reference cross-sections and trained multiple Backpropagation Artificial Neural Networks (BP-ANNs) to simulate transfer matrices for inclination between these base sections and other sections of the bridge. These BP-ANNs were then employed to reconstruct inclination data at the same cross-sections on a bridge with artificial damage. We demonstrated that damage localization is feasible through a comparison of the reconstructed and actual measured responses. The theoretical underpinnings of the transfer matrix and the damage localization method were initially elucidated through an analysis of the dynamics of a simplified vehicle–bridge interaction (VBI) system. A series of finite element models were constructed to substantiate the theoretical basis of the damage localization method. Additionally, a large-scale laboratory experiment was carried out to assess the practical effectiveness of the proposed method. The proposed method has been demonstrated to effectively pinpoint the location of potential structural damage. It successfully differentiates between areas in close proximity to the damage and those that are more distant. Compared to existing research, our method does not necessitate prior knowledge of factors such as mode shape functions, traffic conditions, or the constraint of inspecting with a single vehicle. This approach is anticipated to be more convenient for engineering applications, particularly in the development of online monitoring systems, due to its streamlined requirements and robust performance in identifying damage localization.
1. Introduction
Bridge health monitoring [1] is a critical aspect of civil engineering. Many bridges have been equipped with health monitoring systems to facilitate the timely assessment of their service conditions. A primary objective of these systems is to detect potential damage [2] by analyzing the bridge’s response signals under external loading. However, accurately localizing the damage remains a challenge that needs to be addressed.
For bridge structures, damage typically manifests as stiffness reduction in certain parts or components [3]. As a typical inverse problem [4,5] in engineering applications, bridge damage localization aims at detecting damaged regions from measured bridge responses with a specific damage index. Through the inverse analysis of system outputs, system characteristics (frequency, mode shape, damping ratio, etc.) would be estimated, and then the potential damage can be localized by detecting abnormalities in these characteristics or damage index.
General damage localization methods fall into two categories: finite element model-based methods [6] and data-driven methods [7]. Finite element model-based methods are commonly applied to medium-span and short-span bridges. A direct model-based approach for damage localization is model updating [8]. For a specific bridge, numerous finite element models would be constructed. Utilizing corresponding algorithms, model updating processes are carried out to adjust bridge parameters in order to align simulation results with measured bridge responses. Potential damage can then be localized using the updated finite element models. However, this method is quite time-consuming due to the multitude of variables involved in bridge parameters. Additionally, it requires comprehensive design information for the given bridge, which may not always be readily available.
Instead of model-based methods, some researchers have proposed data-driven approaches [9]. The underlying principle is to first establish a baseline of the responses for an intact bridge. Subsequently, monitoring data are analyzed to determine if the bridge’s responses exceed established thresholds. For simply supported beams, researchers often use influence line functions as the baseline [10], which can be easily obtained through theoretical analysis. Additionally, theoretical models such as the rotational spring model [11] and the local stiffness reduction model [12] have been introduced to explain the behavior of a bridge with damage. According to these models, damage localization can be achieved by identifying abnormal local peaks on the measured influence line functions [13]. However, this method faces two main challenges. Firstly, aside from simply supported beams, the influence line functions for other, more complex bridge types can be challenging to calculate theoretically, often requiring finite element analysis to develop the necessary numerical models, which is time-consuming. Secondly, the influence line function-based method is limited to scenarios where only one vehicle is on the bridge, making it more appropriate for inspection rather than for online monitoring with multiple vehicles in operation.
In contrast to the influence line-based method, another category of data-driven methods seeks to localize damage by identifying data features [14]. Unlike methods grounded in theoretical physics, this new class of approaches depends on implicit data training using cutting-edge machine learning techniques [15]. Typically, a database containing responses from both intact and damaged bridges is first established. With this database, machine learning algorithms are employed to create a mapping between the monitored bridge responses and the damage conditions. Ultimately, the responses from a target bridge are used as inputs for this mapping, with the outputs indicating the damage state [16]. However, there are two notable drawbacks to data-driven algorithms. First, the bridge in the database should match the target bridge to ensure that the features selected from the database are also applicable to the target bridge. Otherwise, due to variations in physical parameters such as support conditions, frequencies, and mode shapes across different bridges, the efficacy of these algorithms may be questionable. Second, it is challenging to obtain responses from damaged bridges, let alone those with varying degrees of damage. Consequently, much of this research relies on numerical simulations, which can limit their practical application in real-world engineering scenarios.
Another widely employed data-driven method for damage localization is the mode shape identification technique [17]. The premise is that local damage will cause local alterations in the bridge’s mode shape functions. Consequently, by identifying abnormalities in the mode shapes, it becomes feasible to pinpoint the location of damage. While several mode shape identification methods have been developed [18,19], these approaches typically necessitate a substantial number of sensors, which can sometimes be challenging to deploy adequately.
As an alternative to the aforementioned data-driven methods, response reconstruction has emerged in recent years as a potential method for damage localization [20,21,22,23,24,25]. This approach leverages historical monitoring data from multiple cross-sections to simulate a mapping relationship between the responses at these sections using machine learning techniques such as time-series prediction or time-invariant regression methods. This relationship is then used to reconstruct responses at a specific cross-section based on measured responses from other sections. If damage occurs around the specific cross-section, a significant divergence is expected between the reconstructed and measured responses.
Given the limitations of current research [3,6,7,8,9,10,11,12,13,14,15,16,17,18,19], data reconstruction methods are posited as a promising solution for damage localization. Firstly, unlike model updating methods that rely on finite element models, this data-driven approach can achieve high efficiency in practical engineering applications without the need to construct any finite element models. Moreover, compared to the influence line-based method, data reconstruction has demonstrated effectiveness under real-world complex traffic scenarios with unknown numbers of moving vehicles. This suggests that online monitoring could become feasible. Furthermore, the response reconstruction method does not require measured data from damaged bridges. Also, previous studies [26,27] have shown that this method is based on the natural physical properties of bridges and is likely applicable to various types of beam bridges. These advantages significantly reduce the challenges associated with applying general data-driven methods, making it more convenient for damage detection in actual engineering scenarios. Additionally, response reconstruction methods do not require explicit mode shape functions, thereby avoiding the issue of insufficient sensor coverage. However, most existing research has focused solely on the response reconstruction of intact bridges. To the best of our knowledge, the effectiveness of the reconstruction method for damage localization has not been comprehensively validated. Therefore, further research is needed to explore the potential of this method in accurately identifying and localizing bridge damage under various conditions.
To address the aforementioned challenges and to validate the potential effectiveness of the response reconstruction method for damage localization, this study introduces a novel data-driven approach tailored for beam bridges. Initially, we provide a concise exposition of the explicit mapping relationship by analyzing the dynamics within a simple VBI system [28]. Subsequently, we outline the mechanism by which damage localization is achieved through response reconstruction. Building on this theoretical groundwork, we propose a damage localization technique employing multiple BP-ANNs. For an intact bridge, the method reconstructs the inclinations at various cross-sections from data at two “base” cross-sections using the corresponding BP-ANNs. These same BP-ANNs are then applied to reconstruct responses at multiple cross-sections under damaged conditions. We conducted finite element analyses and laboratory experiments to validate our approach. The results demonstrated that by comparing the reconstructed and measured responses, the proposed method can accurately discriminate between damaged and undamaged areas of the bridge. This validation underscores the method’s potential for practical application in the field of structural health monitoring for beam bridges.
In Section 2, we provided a theoretical explanation of the mapping relationship and detailed the damage localization algorithm. In Section 3, a series of finite element models were constructed to verify the physical mechanism underlying the proposed damage localization method. In Section 4, a large-scale laboratory experiment was conducted to validate the effectiveness of the proposed method.
2. Theoretical Analysis
2.1. Transfer Matrix of Bridge Responses in a VBI System
When a vehicle traverses a bridge, it engages in an interaction with the bridge structure, collectively known as the VBI system [28]. For the purposes of simplification, the vehicle can be modeled as a moving sprung mass. The typical VBI system, comprising the vehicle and a simply supported beam, is depicted in Figure 1 [27].
Figure 1.
A simple VBI system [27].
In this system, the bridge dynamics can be calculated with the following equations (Equations (1) and (2)) [29]:
where denotes the unit mass of the bridge per meter. E and I are the stiffness and moment of inertia of the beam cross-section, respectively. L is the span of the beam. is the interaction force applied on the bridge through the contact between the tire and bridge. is the second derivative of displacement with respect to time, and denotes the fourth derivative of displacement with respect to x. is the gravitational acceleration, and is the Dirac delta function evaluated at the contact point [29].
By assuming that the vehicle mass is much smaller than the bridge mass, the bridge dynamics can be solved as follows [29]:
where is the n-th bridge natural vibration frequency, and [29]
In this study, we focus on the low-frequency responses, i.e., the responses corresponding to the driving force, which contribute most to the bridge displacement and inclination [29]. According to previous research, the low-frequency bridge responses should be [29]
and the transfer function, i.e., the mapping relationship for responses between three cross-sections , , and can be derived from Equation (5) as [26]
It is important to note that, given that the first few vibration modes account for the majority of the total bridge responses, only the first two modes were incorporated into the transfer matrix. This approach has been validated in existing research and proven effective in practical engineering applications [26].
Equation (6) can be further transformed with modal parameter expression
where is the corresponding modal amplitude of the n-th bridge mode shape at the location . It should be noted that the transfer matrix corresponding to bridge inclination can also be derived as
where the subscript incl represents the mode shape functions and transfer matrix corresponding to bridge inclination. It should be noted that and are determined by bridge mode shapes and independent of varying external vehicular loading. In existing studies, particularly those employing machine learning techniques, scholars often endeavor to model the relationship between time-varying external loading and structural responses, typically framing it as a complex nonlinear time-series forecasting challenge. However, as demonstrated in Equations (7) and (8), our approach reframes response reconstruction as a multiple linear regression problem, focusing on simulating the transfer matrix among responses at various cross-sections. A significant advantage of our proposed method is the elimination of the need to acquire data on time-varying external loading conditions, which simplifies the process and enhances its applicability in real-world scenarios. In this study, our focus is specifically on medium-span and short-span linear bridge structures. For long-span bridges or structures that exhibit significant nonlinear characteristics, the transfer matrix may no longer maintain time-invariance, and consequently, the proposed method may not be applicable for response reconstruction in these cases. Moreover, the mode shape function for the whole bridge is not necessary to calculate and . These two features are the two advantages of using the transfer matrix for response reconstruction as follows.
2.2. Transfer Matrix of a Damaged Bridge
In the context of concrete bridge structures, a common form of damage is cracking within the concrete layers. For steel bridges, fatigue failure is a typical issue. Both cracking in concrete and fatigue in steel lead to a reduction in the stiffness of the affected cross-sections. Therefore, in this study, we consider bridge damage to be represented by a decrease in stiffness at certain locations, as referenced in [30]. Moreover, the model of local stiffness reduction has been extensively employed in previous research to simulate bridge damage scenarios, as documented in studies [10,12].
As existing research [31] has shown, the curvature of the bridge’s mode shapes exhibits local peaks around the damaged area. Considering that the curvature of bridge displacement is linearly proportional to bridge strain, and that the inclination mode shape can be derived by integrating the strain mode shape, it follows that there would be a significant divergence in the inclination mode shape between an intact beam and a damaged one. Furthermore, existing research [32] also points out that for regions of the bridge that are far from the damaged area and remain intact, the divergence in mode shape functions between the intact and damaged beams is minimal. Consequently, it can be inferred that in undamaged regions, the inclination mode shapes of both damaged and intact bridges would be nearly identical.
The basic damage localization method in this study is to detect the difference between the reconstructed bridge responses and the measured responses. For an intact bridge, the responses at three observation points, specifically, , , and , would be measured. Then, the transfer matrix from , and to would be estimated. It is assumed that, during the service period, no damage occurs at , and . Therefore, the mode shape coordinates at , and would remain constant, i.e., the in Equation (8) would be a constant matrix. If no damage occurs at and existing damage is far away from , then the mode coordinates at , specifically, and would also be invariable. Consequently, the transfer matrix , as indicated in Equation (8), would remain constant. Specifically, for the transfer matrix, it can be inferred from Equation (7) that
where the subscript damage indicates the corresponding mode shape functions of the damaged beam. When the observation points , , and are far away from the damaged region, it can be inferred that
Therefore, even though potential damage might have occurred at the other locations on the bridge, the reconstructed responses should almost be identical with the measured responses, and the corresponding time history curves should totally overlap. However, if damage occurs near , and , as well as the transfer matrix from and to , of the damaged bridge, would be different for those of the intact bridge. Consequently, the reconstructed responses at would be different from the measured responses. Assume that there are multiple observation locations on the bridge; by checking whether or not difference can be found in the comparison between measured and reconstructed response at all these locations, one can determine the location of the potential damage. It is also important to note that for structures exhibiting nonlinear characteristics, the accuracy of the reconstructed responses may not be guaranteed. Differentiating between reconstruction errors and divergences caused by damage becomes a challenging task in such scenarios.
Moreover, the severity of the damage response can be evaluated through the derivation of Equation (7). Since we have assumed that would remain constant, the explicit form, for which and the values of elements are not necessary in this study, can be represented as
where a, b, c, d are corresponding elements with constant values. Further, the reconstructed responses at should be
where denotes the responses (displacement, inclination, etc.) at a specific location. For a damaged bridge, the modal coordinates at for the first two modes were assumed to be and . Then, the difference between the measured and reconstructed responses can be represented as
where
It is important to note that and in Equation (13) represent the measured responses of the damaged bridge. The severity of the damage is directly proportional to the magnitudes of and , implying that would increase with more extensive damage. Specifically, one can assess the severity of damage by examining the maximum difference in the time history between the measured and reconstructed responses. A larger discrepancy is indicative of more severe damage. Furthermore, as previously established in studies, the modal coordinates’ difference between the damaged and intact bridges at an observation point decreases as the distance from the observation point to the local damage increases. Consequently, it is anticipated that the observed difference between the reconstructed and measured responses will diminish as the observation location moves from the damaged region to the undamaged region.
Additionally, the sensitivity of the proposed method should align with the measured physical index. As Equation (13) demonstrates, the target difference is a linear combination of and . Consequently, the sensitivity of the method should mirror that of the measured physical index. For instance, if the measured response is displacement, the sensitivity should correspond to that of the displacement mode shape. Similarly, if inclination or strain is measured, the sensitivity should match that of the inclination and strain mode shapes, respectively.
2.3. Responstruction with BP-ANN
To model the transfer matrix described in Equation (7), which specifically maps the responses from and to , we have employed a BP-ANN algorithm for training. The BP-ANN is configured with a time-invariant architecture, which is consistent with the time-independent relationship detailed in Equation (7). It is important to note that the BP-ANN serves as a pure simulation of the aforementioned transfer matrix, rendering an explicit transfer matrix unnecessary. The primary purpose of using BP-ANN is to mitigate the potential interference from measurement noise, rather than to enhance the sensitivity of the proposed method. As introduced in Section 2.2, the sensitivities of the proposed method and the utilized damage index are inherently aligned with the measured physical index.
During the network training phase, data from multiple cross-sections are configured as input features [33], with the response at a specific cross-section designated as the output. The network is then trained to establish a mapping that reflects the inter-sectional dynamics. This well-trained network is engineered to grasp the inter-sectional relationship amidst varying traffic conditions. Remarkably, it can adeptly utilize these dynamics without needing explicit traffic data, harnessing the intrinsic structural relationships within the bridge, which is pivotal for online monitoring.
The BP-ANN is a widely utilized machine learning technique. Details regarding the construction of the network’s basic units can be found in existing research [34]. The network architecture employed in this study is illustrated in Figure 2 [27]. For example, consider a scenario where responses at i cross-sections are measured. The time-series responses at the first m cross-sections are used as m inputs, while the response at the i-th cross-section is set as the output. Specifically, for each set of inputs and output, each neuron contains a single time-point value. The network excludes time-dependent information related to traffic conditions.
Figure 2.
BP-ANN structure to model transfer matrix [27] (C-S: cross-sections).
Moreover, the training process of our BP-ANN does not necessitate conventional feature selection. As delineated in Section 2.1, our study is confined to the first two vibration modes. Consequently, we employed responses from two cross-sections, effectively using two features as inputs. Rather than the typical approach in existing studies that seeks to identify the most correlated input feature among numerous options, we utilized the measured responses from both cross-sections. This approach underscores the advantage of our proposed data-driven method. In contrast to finite element model-based methods, the criterion for feature selection in this study is that the mode shapes represented in all inputs must include the mode shape component present in the output. If there is a unique mode in the output that is orthogonal to all modes in the input, as referenced in [27], the model may fail to yield satisfactory results. This consideration is pivotal for ensuring the network’s proficiency in capturing the dynamics across sections and accurately reconstructing responses for damage localization. However, such a coincidence is unlikely to occur frequently, which facilitates the practical application of using a minimal number of sensors—specifically, two sensors at two distinct cross-sections—to achieve data reconstruction.
Furthermore, instead of selecting the most correlated features as referenced in [35], a critical consideration in practical applications is the selection of regions that are less susceptible to damage. When a bridge sustains damage, stress concentration or fatigue failure might manifest in certain areas, leading to nonlinear phenomena. Installing a sensor in such regions could result in a nonlinear relationship between the responses measured at this sensor and those at other sensors where no damage is present, which would not meet the application requirements of our proposed method. As a result, the reconstruction accuracy may be compromised, making it challenging to differentiate between inaccurate reconstructions and divergences caused by potential damage. Therefore, for practical implementation, it is advisable to choose cross-sections that are less likely to experience damage, particularly stress concentration or fatigue failure, as the primary observation points for our input features. This strategic selection helps ensure the reliability and accuracy of the damage localization process by minimizing the interference from nonlinear effects associated with damaged areas.
The network configuration follows the design of BP-ANN structure which has been validated in the previous study [26] of a field test. In the context of linear regression problems, our preliminary investigations have shown that other machine learning methods can also yield satisfactory results in reconstructing responses. However, given that the effectiveness of these alternative methods has not been field-tested, and considering that method selection is not the primary focus of this study, a potential comparison among these machine learning techniques is not explored here. The network comprises two hidden layers. The output layer is designed with a single neuron, which corresponds to the monitoring data at the target cross-section. The active function is ReLU (as illustrated in Table 1). Traffic conditions are excluded from the training process, as demonstrated in Section 2.1 and corroborated by previous research [26], which established that the time-varying traffic conditions do not impact the transfer matrix of the linear bridge structure. This fundamental physical characteristic suggests that it is feasible to train a general ANN using a small-scale database to simulate the transfer matrix. In this study, we have found that with the current configuration, it takes less than 2 min to train the target ANN, which is supposed to be acceptable.
Table 1.
Configurations of the BP-ANN.
2.4. Algorithm for Damage Localization
In this study, a novel algorithm with multiple BP-ANNs is proposed to discern between damaged and undamaged regions of a bridge. The comprehensive workflow of the damage localization algorithm is depicted in Figure 3, with each step elaborated as follows:
Figure 3.
Flowchart of the proposed algorithm (CS is short for “responses measured at a cross-section”).
- Step 1: Dataset AcquisitionFor a newly constructed or recently maintained bridge, sensors are strategically placed on several key cross-sections. These sensors are capable of measuring vital parameters such as displacement, inclination, strain, or acceleration. However, in this particular study, we have elected to utilize only inclinometers for our analysis.
- Step 2: Data Reconstruction for Multiple Intact Bridge Cross-SectionsWe focus on two critical cross-sections, particularly those near the bridge columns, as their health condition can be more readily monitored compared to other sections. Multiple BP-ANNs are established using the method described in Section 2.3. The transfer matrices for these two base sections are simulated using these BP-ANNs.
- Step 3: Data Reconstruction for the Damaged BridgeEquipped with the simulated transfer matrices from Step 2, an online damage detection and localization system can be effectively constructed. The responses at the same cross-sections are continuously reconstructed by multiplying the simulated transfer matrices with the measured responses from the two base cross-sections on the damaged bridge.
- Step 4: Damage Localization through Comparative AnalysisThe reconstructed responses at multiple cross-sections are then compared against the actual measured responses. As detailed in Section 2.2, significant divergences between the reconstructed and measured responses may indicate the presence of damage at a particular cross-section.
In contrast to existing studies that rely on influence line functions, our proposed algorithm utilizes traffic loading-independent mode shape functions. This innovation allows for online monitoring under real traffic conditions with multiple vehicles, thereby eliminating the need for the restrictive single-vehicle inspection approach. Furthermore, our method surpasses existing research that depends on mode shape identification by reducing the need for a large number of sensors and a high signal-to-noise ratio (SNR). Additionally, our approach is founded on general physical properties of bridges, making it more accessible and broadly applicable to practical engineering scenarios. It is anticipated that the proposed method will offer greater convenience and versatility for real-world online bridge monitoring systems.
3. Numerical Validation
3.1. Finite Element Model
In this study, a typical VBI system [29] was simulated to validate the proposed damage localization method. The VBI system consists of a simply supported beam and a moving sprung mass, which is a simplification of a vehicle. Physical properties of the bridge and the vehicle are listed in Table 2 and Table 3, respectively.
Table 2.
Physical parameters of the simply supported beam [29].
Table 3.
Parameters of the vehicle model [27].
To simulate the VBI system, we employed the commercial software ABAQUS 2020 [36]. The beam was modeled using solid C3D8R elements. The dimensions of the solid elements used are 0.1 m × 0.1 m × 0.1 m, and the entire bridge structure is discretized into 160,000 such elements. The vehicle model includes a sprung mass, a wheel in contact with the top surface of the beam, and a linear spring element that connects the sprung mass to the wheel. Both the sprung mass and the wheel are modeled using solid C3D8R elements of the same size as those used for the beam structure. The interaction between the wheel and the beam is simulated using the penalty method, with “Hard” contact properties. For the contact simulation, no friction is specified between the wheel and the top surface of the bridge.
The numerical calculation of the system’s dynamic responses involves both a static analysis and a dynamic step. An implicit algorithm with the Hilber–Hughes–Taylor (HHT) method was employed in these steps. Initially, the vehicle was positioned at one end of the beam, and gravity was applied to the entire system. Subsequently, in the dynamic phase, the vehicle moved along the bridge at a constant speed. The time step for the simulation was set to 0.01 s. Given that the VBI system contains a manageable number of elements and the bridge structure is linear, even with the introduction of artificial local damage, the computation time on a standard personal computer is kept within 30 min. For more detailed information on the simulation parameters and methodology, one can refer to the existing study [37], where the results obtained using solid elements have been validated against theoretical analysis and field tests. It is acknowledged that computational efficiency could potentially be enhanced by employing simpler elements, such as 2D beam elements, and reducing the total number of elements, once these finite element models have been validated. However, this topic is beyond the scope of the current study and is not discussed further herein.
To simulate local damage, the material stiffness of a section of the beam is designed as half of the intact state. The damage location is from 8 m to 9 m (marked in Figure 4), while the material stiffness of the other sections is identical to the intact state. To validate the proposed method, we select five observation points (shown in Figure 4) whose displacements were measured.
Figure 4.
Finite element model of the simple VBI system. (OP: observation points marked with dots. The stiffness reduction region is marked with a rectangle.)
3.2. Numerical Analysis
We first analyzed the dynamic response of the intact bridge. Figure 5 illustrates the displacement time histories captured at five distinct observation points (OP-1 through OP-5). Notably, the low-frequency vibration components dominate the bridge’s displacement, while the high-frequency components, which manifest as local peaks along the time history curve (encircled in Figure 5), exhibit significantly lower amplitudes compared to their low-frequency counterparts. This observation aligns with previous theoretical studies [29]. Furthermore, earlier research [29] suggests that the first two low-frequency vibration modes are the principal contributors to the bridge’s displacement. Consequently, there is an expected phase difference in the time points corresponding to maximum displacement across different observation points [26]. This phase difference (indicated by the dots in Figure 5) is also evident in the numerical simulation results. If the displacement was governed by a single mode component, the time points of maximum displacement would be identical for all observation points. The presence of multiple modes, therefore, is confirmed by the observed phase differences.
Figure 5.
Time histories of displacement at five observation points for the intact bridge. (The dots denote the maximum displacement at each time history curve. The rectangle marks the high–frequency components with relatively lower amplitudes).
While leveraging the transfer matrix derived in Section 2.1, a response reconstruction approach for this simple VBI system was proposed using a multiple regression algorithm [38]. The displacements at the two outer observation points (OP-1 and OP-5) were measured, and these values were subsequently employed to reconstruct the responses at the remaining three cross-sections (OP-2, 3, and 4). To estimate the displacement at each of the three middle observation points (OP-2, 3, and 4), as indicated in Equation (7), two regression coefficients were determined. These coefficients correspond to the responses measured at OP-1 and OP-5, respectively. In previous research [26], it has been validated that the low-frequency bridge displacement for the simple VBI system is mainly contributed by the first two low-frequency modes. Therefore, the multiple linear regression for two mode-related coefficients should be appropriate for the response reconstruction.
To ascertain the efficacy of our proposed methodology, Figure 6a–c depict comparative analyses of bridge displacement at the three central observation points. These comparisons are made between the reconstructed responses and the simulation outcomes. The simulation results were directly extracted from finite element models, offering a benchmark. Conversely, the reconstructed results were derived from the product of the regression coefficients and the displacement measurements at the two side observation points, OP-1 and OP-5. It is crucial to highlight that while the coefficients were determined based on the intact bridge’s characteristics, the displacement time histories at the side points were recorded under conditions simulating a damaged beam.

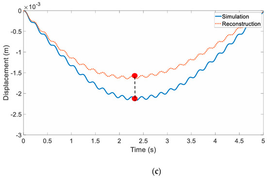
Figure 6.
Comparison of displacement time history for the damaged bridge between reconstructed (legend as “Reconstruction”) and simulated (legend as “Simulation”) results (the dots denote the largest displacement on each time history curve). (a) Comparison at OP-2 (the divergence (0.7 s) in time points corresponding to the maximum displacement between simulation and reconstruction results is marked with a dashed line and double arrow. Maximum displacement is marked with dots). (b) Comparison at OP-3 (the divergence in time points is about 0.1 s). (c) Comparison at OP-4 (the divergence in time points is not obvious).
As delineated in the theoretical derivations of Section 2.2, if the bridge is intact, the reconstructed bridge displacements should closely correspond with the direct simulation outcomes throughout the observation period, with the time history curves of simulation and reconstruction ideally aligning perfectly. However, in the presence of local damage, a divergence between the simulation and reconstruction results is anticipated. Upon scrutinizing Figure 6a–c, discernible discrepancies between the reconstructed and simulated bridge displacements are evident. Notably, the most pronounced deviation is observed at the OP-2 observation point, which is positioned directly above the damaged area. In contrast, as the observation points are further removed from the site of damage, the discrepancies between the two datasets gradually decrease, aligning with the theoretical assumption outlined in Section 2.2.
For a more detailed analysis, Table 4 presents a comparison of the maximum displacement values obtained from the reconstructed and simulated results. It is evident that the trend of decreasing discrepancy is consistent across various observation points. This pattern underscores the effectiveness of the proposed method, as it demonstrates its capability to accurately capture the impact of damage on bridge responses.
Table 4.
Comparison between reconstructed and simulated displacement for the damaged bridge.
Furthermore, at OP-2, depicted in Figure 6a, a marked discrepancy between the reconstructed and simulated results is evident at the time point of maximum displacement, as indicated by the dashed lines. For an undamaged bridge, such a divergence is not expected. In contrast, at OP-4, depicted in Figure 6c, where the divergence between simulation and reconstruction results is the least among the three observation points, this discrepancy becomes negligible. It is hypothesized that these variations may originate from differences in the mode shape functions, which in turn affect the transfer matrix. However, the primary focus of this study is to develop an online monitoring system that can operate effectively amidst the complexities introduced by multiple moving vehicles. In such scenarios, accurately determining the exact time point of maximum amplitude and identifying structural damage presents inherent challenges. As a result, this particular issue is not explored in further depth within the scope of this research.
After assessing the sensitivity of the proposed method with respect to the distance between the damage location and the observation point, we proceeded to evaluate its sensitivity to the extent of damage. A series of new finite element models were constructed to simulate the bridge dynamics under varying degrees of damage. The reductions in stiffness were set at 10%, 20%, 30%, 40%, and 50%. The damage index was defined as the difference in maximum displacement between the reconstructed and simulated results at observation point 2 (OP-2). The detailed values for all these damage scenarios are presented in Table 5.
Table 5.
Comparison in difference between scenarios with different damage extents.
It is observable that, initially, as the extent of damage increases, the difference in maximum displacement also increases, which corroborates the theoretical derivation in Section 2.2 that the disparity becomes more pronounced with more severe damage. Furthermore, comparing Table 4 with Table 5, the difference at a fixed observation point (i.e., OP-2) due to changes in damage extent is less significant than that caused by changes in the distance between the damaged region and the observation point. This suggests that, for a given observation point, the initial few vibration modes are not highly sensitive to variations in damage extent. Hence, it is inferred that the proposed method is more adept at pinpointing the location of damage rather than assessing the extent of damage.
4. Lab Experiment
4.1. Experiment Set-Up
In this section, we conducted a laboratory experiment on a full-scale steel continuous beam bridge to substantiate the efficacy of our proposed damage localization algorithm. The bridge boasts a total span of 22 m, segmented into lengths of 6 m, 10 m, and another 6 m, as shown in Figure 7. The southwestern end of the bridge is anchored with a fixed bearing, while the other supports feature sliding bearings. Steel platforms, as depicted in Figure 8, have been mounted at both extremities of the bridge to act as the vehicle’s starting and ending points. The cross-sectional specifications of the bridge are detailed in Figure 9.
Figure 7.
Three-span steel continuous beam model (Unit: m).
Figure 8.
Steel platform and steel bridge [39].
Figure 9.
Cross-section of the steel bridge (unit: mm) [40].
For the purpose of this experiment, an electric vehicle, as shown in Figure 10a, was utilized to impose a dynamic load on the bridge. The vehicle’s geometric specifications are outlined in Figure 10b. Weighted mass blocks, depicted in Figure 10c, were secured to the vehicle to simulate the varying traffic loading conditions. The front axle load varied between 93 kg and 187 kg, while the rear axle load ranged from 92 kg to 395 kg. The vehicle was programmed to travel across the bridge at a steady velocity of 0.51 m/s. Over the course of several runs, the vehicle’s traversal path was diversified, adopting stochastic patterns that included traversing the right lane, the central lane, and the left lane, as well as executing an “S” shaped route across the bridge. This approach was also designed to simulate various traffic scenarios and to assess the algorithm’s performance under different loading conditions.
Figure 10.
Electric vehicle [40]. ((a) Vehicle; (b) Geometric specifications; (c) Weighted mass blocks).
Artificial damage was introduced to the middle span of the bridge, as illustrated in Figure 11. A section of the bottom flange was removed to emulate a reduction in structural stiffness. The damaged section measures 10 cm in length, with its central point located at a coordinate of −2.1 m. As indicated in Figure 12a, the inflicted damage is positioned near the quarter-point of the middle span, providing a controlled scenario to test the damage localization algorithm’s accuracy and responsiveness.
Figure 11.
Artificial damage (marked with rectangle).
Figure 12.
Layout of inclinometers on the middle span [40]. (a) Four cross-ections installed with inclinometers. (b) Location of inclinometer at each cross-section.
As for monitoring system, five mid-span cross-sections of the bridge have been equipped with inclinometers at the coordinates of ±2.4 m and ±4.4 m. The layout of these sensors is presented in Figure 12a, marked by triangular indicators. These sensors function at a sampling frequency of 20 Hz to ensure accurate data capture. Figure 12b offers a close-up view of the sensor placements on each cross-section. The inclinometers, signified by the triangular markers in Figure 12b, are installed on the inner side of the bridge’s left floor plate.
4.2. Validation of the Response Reconstruction Method for the Intact Bridge
We initially assessed the efficacy of the proposed data reconstruction technique for the intact bridge. The cross-sections at −4.4 m and 4.4 m were designated as the base cross-sections. The measured inclinations at these two cross-sections were employed to reconstruct the inclinations at −2.4 m and 2.4 m using the proposed BP-ANN algorithm, which was used to simulate the mapping from responses at −4.4 m and 4.4 m to responses at −2.4 m and 2.4 m, as a model of the transfer matrix. The duration of the entire experiment was approximately 1 h and 10 min, during which the vehicle traversed the bridge along random routes for several trips. Notably, during some of these trips, the vehicle paused on the bridge for brief intervals, as indicated in Figure 13. Given the moderate speed of the vehicle, the transfer matrix remains applicable for reconstructing the inclinations even during the periods when the vehicle is stationary [29]. This flexibility further underscores the robustness of our data reconstruction method in accurately estimate the bridge’s dynamic responses under varying traffic conditions.

Figure 13.
Inclination time history at −4.4 m. (a) Full time history (rectangles mark the periods when the vehicle stops on the bridge). (b) One trip during which the vehicle runs across the bridge. (c) One trip during which the vehicle stops on the bridge (the rectangle, which is the section zoomed in from (a), marks the period during which the vehicle stops on the bridge).
During the data-training phase, the experimental data were allocated as follows: 70% for training the BP-ANNs, 20% for testing, and 10% for validation. The performance and precision of the proposed response reconstruction method were assessed by comparing the reconstructed and actual inclination time histories. As depicted in Figure 14a,b, the reconstructed and measured inclination time histories align closely at both −2.4 m and 2.4 m, thereby confirming the effectiveness and accuracy of the proposed method. This close correspondence between the reconstructed and measured data, even for the periods when the vehicle is stationary, attests to the robustness and reliability of our approach in accurately reconstructing bridge responses.

Figure 14.
Comparison between reconstructed and measured inclination time histories at −2.4 m and 2.4 m of the intact bridge (ellipses denote where the peak and valley amplitudes were selected). (a) Reconstruction result at −2.4 m. (b) Reconstruction result at 2.4 m.
4.3. Validation of the Damage Localization Method
The BP-ANNs, which had been trained on the monitoring data from the intact bridge, were subsequently applied to reconstruct the responses of the damaged bridge at the −2.4 m and 2.4 m cross-sections. For this reconstruction, the measured inclination data from the damaged bridge at −4.4 m and 4.4 m were utilized as inputs. It is important to note that no new BP-ANNs were trained using the measured responses from the damaged bridge. Additionally, other details, such as the bridge’s physical parameters (span, frequency, mode shape, etc.) and the vehicle’s physical parameters (vehicle mass, speed, and direction), were not factored into the reconstruction process. The comparisons between the reconstructed and measured inclination time histories at −2.4 m and 2.4 m are presented in Figure 15a, b, respectively.

Figure 15.
Comparison of inclination time histories between reconstructed and measured results of the damaged bridge (ellipses denote where the peak and valley amplitudes were selected). (a) Reconstruction result at −2.4 m (the arrow marks the time point around 230 s, which corresponds to the highest amplitude). (b) Reconstruction result at 2.4 m.
As outlined in the theoretical derivations in Section 2.2, the presence of potential damage can be pinpointed by comparing the reconstructed and measured bridge responses across various locations. When damage is proximate to an observation point, a significant divergence between the measured and reconstructed responses, particularly in terms of the maximum values, is expected at that location. In contrast, if the damage is distant from the observation point, the reconstructed and measured responses should align closely, with minimal divergence in their maximum values. Figure 15a illustrates a pronounced divergence between the reconstructed and actual measurement data at the −2.4 m location, especially concerning the amplitude of the peak value around 230 s. This discrepancy is likely due to changes in the mode shape function. Since the damaged area is near the −2.4 m point, it is anticipated that the mode shape coordinates would be significantly altered in this region, leading to a corresponding shift in the transfer matrix and the observed divergence. Specifically, in the damaged region, the amplitudes of the mode shape functions at −2.4 m are expected to be considerably higher than those of the intact bridge, resulting in measured responses of the damaged bridge being larger than the reconstructed responses.
Complementing the comparison shown in Figure 15a, further validation of the proposed method is provided by the comparison between reconstructed and measured responses at the 2.4 m location, where no damage is present. Figure 15b demonstrates that the reconstructed results at the 2.4 m location closely match and nearly overlap with the measured data for the damaged bridge. This congruence can be attributed to the fact that the damaged region, which is only 0.1 m in length, is approximately 5 m away from the 2.4 m point. Thus, the local stiffness change at the damaged region has a negligible effect on the modal coordinates at the 2.4 m location. Additionally, as deduced from Section 2.2, the divergence would gradually decrease from the damaged region to the non-damaged region. The significant divergence at −2.4 m and the good agreement at 2.4 m clearly indicate that potential damage is likely at −2.4 m, while no damage has occurred at 2.4 m.
Furthermore, to mitigate the potential impact of vehicle stops and to enhance the visibility of divergences, we calculated the amplitudes at the −2.4 m and 2.4 m locations for both the intact and damaged bridge scenarios. These amplitudes are defined as the differences between the amplitudes of adjacent “peak” and “valley” points, as depicted in Figure 14a,b and Figure 15a,b. Figure 16 displays the ratio of amplitude differences between the reconstructed and measured bridge responses. Our analysis reveals two key findings: First, at the −2.4 m location, which is in close proximity to the damaged area, a significant divergence in the amplitude difference ratio is observed between the intact and damaged scenarios. This suggests that the transfer matrix undergoes a relatively substantial change after the introduction of artificial damage to the bridge. Second, the amplitude ratio exhibits minimal variation at 2.4 m locations between the intact and damaged scenarios. This observation further supports the hypothesis that the influence of bridge damage on the transfer matrix diminishes with increasing distance between the observation point and the damaged region.
Figure 16.
Ratio between measured responses and reconstructed responses at −2.4 m and 2.4 m in the intact and damaged scenarios.
It is important to highlight that the distances between the damaged region and the two base cross-sections located at −4.4 m and 4.4 m are sufficiently large. This ensures that the modal coordinates at these sections are not influenced by the localized damage. Consequently, the transfer matrix, which relates the inclination between these three cross-sections—specifically, the base cross-sections at −4.4 m and 4.4 m, and the target cross-section at 2.4 m—remains substantially unchanged before and after the introduction of artificial damage to the middle span. In practical applications, it is also crucial to select base locations that are less likely to experience damage. This strategy is essential for maintaining the accuracy and reliability of the proposed method.
5. Conclusions
In this research, we introduce an innovative approach for developing an online damage localization technique. Utilizing the BP-ANN algorithm, we established multiple neural networks to emulate the transfer matrices among various bridge cross-sections. Based on these networks, a mapping network was developed to link data from two reference cross-sections to the other sections of interest. Subsequently, real-time monitoring data from these reference cross-sections were employed as inputs to reconstruct the dynamic responses at other locations. By comparing these reconstructed responses with actual monitored data, potential structural damage could be effectively identified.
We conducted a comprehensive series of finite element simulations and laboratory experiments to validate the efficacy of our proposed method. The key findings from this study are summarized as follows:
- (1)
- In the theoretical section, we introduced the concept of a transfer matrix for responses between different bridge cross-sections, which is independent of traffic loading. This key physical characteristic establishes the basis for the proposed damage localization algorithm’s applicability under multiple vehicle conditions without requiring any traffic condition information. Furthermore, we provided a physical explanation for damage localization using the transfer matrix and the application of BP-ANNs.
- (2)
- In the numerical simulation section, we constructed comparative models for simple VBI systems with both an intact beam and a damaged beam. For these systems, the transfer matrix for displacement corresponding to the intact beam between two reference points and three other observation points was simulated using multiple regression analysis. It was confirmed that the transfer matrix undergoes significant changes following the occurrence of damage, and the reconstructed displacement for the damaged beam exhibited clear divergence from the measured displacement. Moreover, this divergence decreases with increasing distance between the damaged region and the observation point, thereby validating the physical foundation of the proposed method.
- (3)
- In our laboratory experiment, we constructed and tested a large-scale, three-span bridge with artificial damage to evaluate the efficacy of the proposed method. For the intact scenario, the accurately reconstructed inclination time histories validated the precision of the proposed reconstruction method that utilizes BP-ANN. Additionally, a series of comparisons were performed to assess potential divergences between the reconstructed and measured inclination time histories. The observed divergence in the comparison results distinctly pinpointed the location of the damaged area. Moreover, in the undamaged regions where the impact of the damage was minimal, the reconstructed responses closely aligned with the measured data, with negligible divergence. These results further corroborate the reliability of our proposed damage localization technique.
Compared to existing studies, the proposed method stands out as a purely data-driven approach, offering high efficiency suitable for engineering applications. It is based on bridge mode shapes, which are independent of fluctuating traffic conditions, making it adaptable even under unknown and complex traffic scenarios. Unlike existing methods that rely on influence line functions and are limited to single-vehicle inspections, our method is designed to facilitate online monitoring in the presence of multiple moving vehicles. Furthermore, while the method is grounded in mode shapes, it does not require explicit mode shape functions during application. This eliminates the challenges associated with mode shape identification, especially when sensor coverage is not comprehensive. Additionally, the use of inclination measurements tends to be less susceptible to the impact of measurement noise, enhancing the reliability of the data. As a preliminary study, the validation findings indicate that the transfer matrix-based damage localization method shows promise for practical application in real-world engineering settings. This innovative approach holds potential for being integrated into advanced online structural health monitoring systems, offering a robust solution for detecting and localizing damage in bridges under various operational conditions.
It is important to acknowledge that while the proposed method offers the aforementioned benefits, its applicability is predicated on the assumption that the bridge system behaves linearly, even with local structural damage, and the reconstruction process is essentially framed as a multiple linear regression problem. For large-span bridges characterized by significant nonlinear behavior, the proposed method may not be appropriate. Instead, more sophisticated time-related models that leverage extensive databases with detailed time-varying traffic loading information may be required to accurately simulate the time-varying nonlinear transfer matrix. Furthermore, when selecting base cross-sections for analysis, it is crucial to choose locations that are less likely to be affected by damage or are situated far from regions prone to damage. This strategy helps to mitigate the risk of encountering nonlinear mechanical situations that could render the proposed method ineffective. In addition, the accuracy of the proposed method is inevitably affected by noise conditions, which is the primary reason this study opted for inclination measurements for damage localization. The other machine learning methods need to be tested and compared to achieve better reconstruction results. Additionally, since mode shape functions may remain almost constant even with overall material degradation, the proposed method might also be ineffective in detecting long-term bridge degradation. Also, this study indicates the influence of distance between sensors and the damage location, which is another important issue involving optimal sensor placement. These limitations are recognized, and these issues will be the focus of further investigation in future studies to enhance the method’s robustness and applicability to a broader range of bridge monitoring scenarios.
Author Contributions
Conceptualization, methodology, software, validation, and writing—original draft preparation, X.L.; investigation, writing—original draft preparation, C.W.; writing—review and editing, supervision, and funding acquisition, L.S.; resources, data curation, W.Z. All authors have read and agreed to the published version of the manuscript.
Funding
Technology Cooperation Project of Shanghai Qi Zhi Institute (NO. SQZ202310); Fujian Provincial Department of Science and Technology, China (Optimization design and key technology research of urban bridge cluster monitoring; Grant NO. 2023Y0040).
Institutional Review Board Statement
Not applicable.
Informed Consent Statement
Not applicable.
Data Availability Statement
The data presented in this study are available on request from the corresponding author. The data are not publicly available due to privacy.
Conflicts of Interest
Author Wei Zhang was employed by the company Fujian Provincial Construction Engineering Quality Testing Center Co., LTD, Fujian Academy of Building Research Co., LTD. The remaining authors declare that the research was conducted in the absence of any commercial or financial relationships that could be construed as a potential conflict of interest.
References
- Azhar, A.S.; Kudus, S.A.; Jamadin, A.; Mustaffa, N.K.; Sugiura, K. Recent Vibration-Based Structural Health Monitoring on Steel Bridges: Systematic Literature Review. Ain Shams Eng. J. 2024, 15, 102501. [Google Scholar] [CrossRef]
- Wickramasinghe, W.R.; Thambiratnam, D.P.; Chan, T.H.T. Damage Detection in a Suspension Bridge Using Modal Flexibility Method. Eng. Fail. Anal. 2020, 107, 104194. [Google Scholar] [CrossRef]
- Sun, H.; Song, L.; Yu, Z. A Deep Learning-Based Bridge Damage Detection and Localization Method. Mech. Syst. Signal Process. 2023, 193, 110277. [Google Scholar] [CrossRef]
- Garbowski, T.; Cornaggia, A.; Zaborowicz, M.; Sowa, S. Computer-Aided Structural Diagnosis of Bridges Using Combinations of Static and Dynamic Tests: A Preliminary Investigation. Materials 2023, 16, 7512. [Google Scholar] [CrossRef] [PubMed]
- Buljak, V.; Cocchetti, G.; Cornaggia, A.; Garbowski, T.; Maier, G.; Novati, G. Materials Mechanical Characterizations and Structural Diagnoses by Inverse Analyses. In Handbook of Damage Mechanics: Nano to Macro Scale for Materials and Structures; Voyiadjis, G.Z., Ed.; Springer: New York, NY, USA, 2015; pp. 619–642. ISBN 978-1-4614-5589-9. [Google Scholar]
- Abedin, M.; De Caso y Basalo, F.J.; Kiani, N.; Mehrabi, A.B.; Nanni, A. Bridge Load Testing and Damage Evaluation Using Model Updating Method. Eng. Struct. 2022, 252, 113648. [Google Scholar] [CrossRef]
- Teng, S.; Chen, X.; Chen, G.; Cheng, L.; Bassir, D. Structural Damage Detection Based on Convolutional Neural Networks and Population of Bridges. Measurement 2022, 202, 111747. [Google Scholar] [CrossRef]
- Saidou Sanda, M.; Gauron, O.; Turcotte, N.; Lamarche, C.-P.; Paultre, P.; Talbot, M.; Laflamme, J.-F. Efficient Finite Elements Model Updating for Damage Detection in Bridges. In Proceedings of the Experimental Vibration Analysis for Civil Structures; Conte, J.P., Astroza, R., Benzoni, G., Feltrin, G., Loh, K.J., Moaveni, B., Eds.; Springer International Publishing: Cham, Switzerland, 2018; pp. 293–305. [Google Scholar]
- Yu, L.; He, S.; Liu, X.; Ma, M.; Xiang, S. Engineering-Oriented Bridge Multiple-Damage Detection with Damage Integrity Using Modified Faster Region-Based Convolutional Neural Network. Multimed. Tools Appl. 2022, 81, 18279–18304. [Google Scholar] [CrossRef]
- Chen, Z.-W.; Zhao, L.; Zhang, J.; Cai, Q.-L.; Li, J.; Zhu, S. Damage Quantification of Beam Structures Using Deflection Influence Line Changes and Sparse Regularization. Adv. Struct. Eng. 2021, 24, 1997–2010. [Google Scholar] [CrossRef]
- Zhu, X.Q.; Law, S.S. Wavelet-Based Crack Identification of Bridge Beam from Operational Deflection Time History. Int. J. Solids Struct. 2006, 43, 2299–2317. [Google Scholar] [CrossRef]
- He, W.-Y.; Zhu, S. Moving Load-Induced Response of Damaged Beam and Its Application in Damage Localization. J. Vib. Control 2016, 22, 3601–3617. [Google Scholar] [CrossRef]
- Nie, Z.; Lin, J.; Li, J.; Hao, H.; Ma, H. Bridge Condition Monitoring under Moving Loads Using Two Sensor Measurements. Struct. Health Monit. 2020, 19, 917–937. [Google Scholar] [CrossRef]
- Bui-Tien, T.; Nguyen-Chi, T.; Le-Xuan, T.; Tran-Ngoc, H. Enhancing Bridge Damage Assessment: Adaptive Cell and Deep Learning Approaches in Time-Series Analysis. Constr. Build. Mater. 2024, 439, 137240. [Google Scholar] [CrossRef]
- Akintunde, E.; Eftekhar Azam, S.; Rageh, A.; Linzell, D.G. Unsupervised Machine Learning for Robust Bridge Damage Detection: Full-Scale Experimental Validation. Eng. Struct. 2021, 249, 113250. [Google Scholar] [CrossRef]
- Huang, Z.; Yin, X.; Liu, Y.; Liu, Y. Damage Identification of Truss Bridges Based on Feature Transferable Digital Twins. Measurement 2024, 233, 114735. [Google Scholar] [CrossRef]
- Nie, Z.; Shen, Z.; Li, J.; Hao, H.; Lin, Y.; Ma, H. Output-Only Complete Mode Shape Identification of Bridges Using a Limited Number of Sensors. Mech. Syst. Signal Process. 2022, 178, 109246. [Google Scholar] [CrossRef]
- Van Overschee, P.; De Moor, B. Subspace Identification for Linear Systems: Theory—Implementation—Applications; Springer Science & Business Media: Berlin/Heidelberg, Germany, 2012. [Google Scholar]
- Zhang, G.; Ma, J.; Chen, Z.; Wang, R. Automated Eigensystem Realisation Algorithm for Operational Modal Analysis. J. Sound Vib. 2014, 333, 3550–3563. [Google Scholar] [CrossRef]
- Jiang, K.; Han, Q.; Du, X. Lost Data Neural Semantic Recovery Framework for Structural Health Monitoring Based on Deep Learning. Comput.-Aided Civ. Infrastruct. Eng. 2022, 37, 1160–1187. [Google Scholar] [CrossRef]
- Zhang, J.; Huang, M.; Wan, N.; Deng, Z.; He, Z.; Luo, J. Missing Measurement Data Recovery Methods in Structural Health Monitoring: The State, Challenges and Case Study. Measurement 2024, 231, 114528. [Google Scholar] [CrossRef]
- Wang, Z.; Li, A.; Zhang, W.; Zhang, Y. Long-Term Missing Wind Data Recovery Using Free Access Databases and Deep Learning for Bridge Health Monitoring. J. Wind. Eng. Ind. Aerodyn. 2022, 230, 105201. [Google Scholar] [CrossRef]
- Chen, C.; Tang, L.; Lu, Y.; Wang, Y.; Liu, Z.; Liu, Y.; Zhou, L.; Jiang, Z.; Yang, B. Reconstruction of Long-Term Strain Data for Structural Health Monitoring with a Hybrid Deep-Learning and Autoregressive Model Considering Thermal Effects. Eng. Struct. 2023, 285, 116063. [Google Scholar] [CrossRef]
- Lu, Y.; Tang, L.; Chen, C.; Zhou, L.; Liu, Z.; Liu, Y.; Jiang, Z.; Yang, B. Reconstruction of Structural Long-Term Acceleration Response Based on BiLSTM Networks. Eng. Struct. 2023, 285, 116000. [Google Scholar] [CrossRef]
- Qu, G.; Xia, Y.; Sun, L.; Xin, G. Behavior Expectation-Based Anomaly Detection in Bridge Deflection Using AOA-BiLSTM-TPA: Considering Temperature and Traffic-Induced Temporal Patterns. Struct. Control. Health Monit. 2024, 2024, 2337057. [Google Scholar] [CrossRef]
- Lu, X.; Qu, G.; Sun, L.; Xia, Y.; Sun, H.; Zhang, W. Physically Guided Estimation of Vehicle Loading-Induced Low-Frequency Bridge Responses with BP-ANN. Buildings 2024, 14, 2995. [Google Scholar] [CrossRef]
- Lu, X.; Sun, L.; Xia, Y. Reconstruction of High-Frequency Bridge Responses Based on Physical Characteristics of VBI System with BP-ANN. Appl. Sci. 2024, 14, 6757. [Google Scholar] [CrossRef]
- Yang, Y.-B.; Yau, J.-D. Vehicle-Bridge Interaction Element for Dynamic Analysis. J. Struct. Eng. 1997, 123, 1512–1518. [Google Scholar] [CrossRef]
- Yang, Y.B.; Lin, C.W. Vehicle–Bridge Interaction Dynamics and Potential Applications. J. Sound Vib. 2005, 284, 205–226. [Google Scholar] [CrossRef]
- Yang, Y.; Lu, H.; Tan, X.; Wang, R.; Zhang, Y. Mode Shape Identification and Damage Detection of Bridge by Movable Sensory System. IEEE Trans. Intell. Transp. Syst. 2023, 24, 1299–1313. [Google Scholar] [CrossRef]
- Pandey, A.K.; Biswas, M.; Samman, M.M. Damage Detection from Changes in Curvature Mode Shapes. J. Sound Vib. 1991, 145, 321–332. [Google Scholar] [CrossRef]
- Gorgin, R. Damage Identification Technique Based on Mode Shape Analysis of Beam Structures. Structures 2020, 27, 2300–2308. [Google Scholar] [CrossRef]
- Kazemi, F.; Asgarkhani, N.; Jankowski, R. Optimization-Based Stacked Machine-Learning Method for Seismic Probability and Risk Assessment of Reinforced Concrete Shear Walls. Expert Syst. Appl. 2024, 255, 124897. [Google Scholar] [CrossRef]
- Huang, L.; Chen, J.; Tan, X. BP-ANN Based Bond Strength Prediction for FRP Reinforced Concrete at High Temperature. Eng. Struct. 2022, 257, 114026. [Google Scholar] [CrossRef]
- Asgarkhani, N.; Kazemi, F.; Jakubczyk-Gałczyńska, A.; Mohebi, B.; Jankowski, R. Seismic Response and Performance Prediction of Steel Buckling-Restrained Braced Frames Using Machine-Learning Methods. Eng. Appl. Artif. Intell. 2024, 128, 107388. [Google Scholar] [CrossRef]
- Dassault Systèmes. Abaqus 6.11 Analysis User’s Manual; Dassault Systemes Simulia Corporation: Providence, RI, USA, 2011. [Google Scholar]
- Lu, X.; Kim, C.-W.; Chang, K.-C. Finite Element Analysis Framework for Dynamic Vehicle-Bridge Interaction System Based on ABAQUS. Int. J. Struct. Stab. Dyn. 2020, 20, 2050034. [Google Scholar] [CrossRef]
- ATLAB. Signal Processing Toolbox (Version R2022a). MathWorks. Available online: https://ww2.mathworks.cn/help/stats/regress.html?requestedDomain=cn (accessed on 2 November 2024).
- Li, Y.; Sun, L. Structural Deformation Reconstruction by the Penrose–Moore Pseudo-Inverse and Singular Value Decomposition–Estimated Equivalent Force. Struct. Health Monit. 2021, 20, 2412–2429. [Google Scholar] [CrossRef]
- Lu, X.; Wei, C.; Sun, L.; Xia, Y.; Zhang, W. A Novel Data Fusion Method to Estimate Bridge Acceleration with Surrogate Inclination Mode Shapes through Independent Component Analysis. Appl. Sci. 2024, 14, 8556. [Google Scholar] [CrossRef]
Disclaimer/Publisher’s Note: The statements, opinions and data contained in all publications are solely those of the individual author(s) and contributor(s) and not of MDPI and/or the editor(s). MDPI and/or the editor(s) disclaim responsibility for any injury to people or property resulting from any ideas, methods, instructions or products referred to in the content. |
© 2024 by the authors. Licensee MDPI, Basel, Switzerland. This article is an open access article distributed under the terms and conditions of the Creative Commons Attribution (CC BY) license (https://creativecommons.org/licenses/by/4.0/).