A Fast Simulation Model of Pantograph–Stitched-Catenary Interaction in Long-Distance Travel
Abstract
1. Introduction
2. Reduced Pantograph–Stitched-Catenary Interaction Model
2.1. Reduced Stitched Catenary Model
2.2. Modeling of the Pantograph
2.3. The Reduced Pantograph–Stitched-Catenary Interaction Model
3. Validation and Discussion
3.1. Validation
3.1.1. Validation Based on the Measurement Data
3.1.2. Validation Based on the EN50318-2018 Standard and FEM
3.1.3. Validation of the Calculation Efficiency with a Long Vehicle Travel Distance
3.2. Discussion
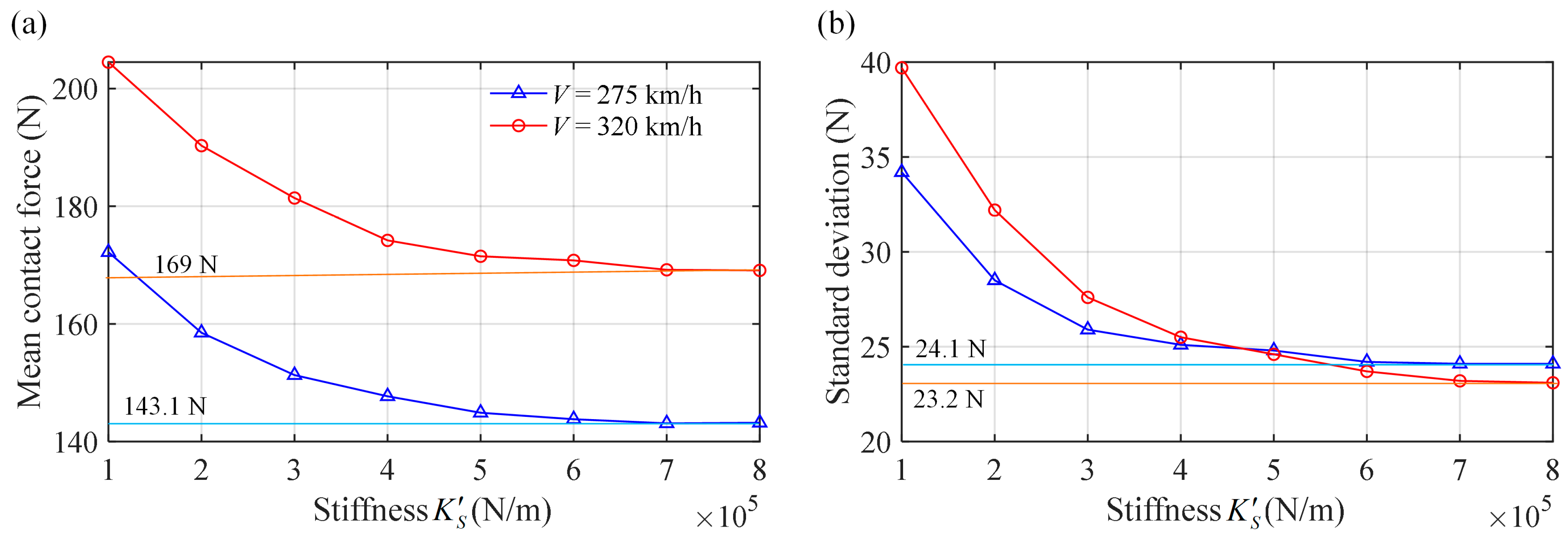
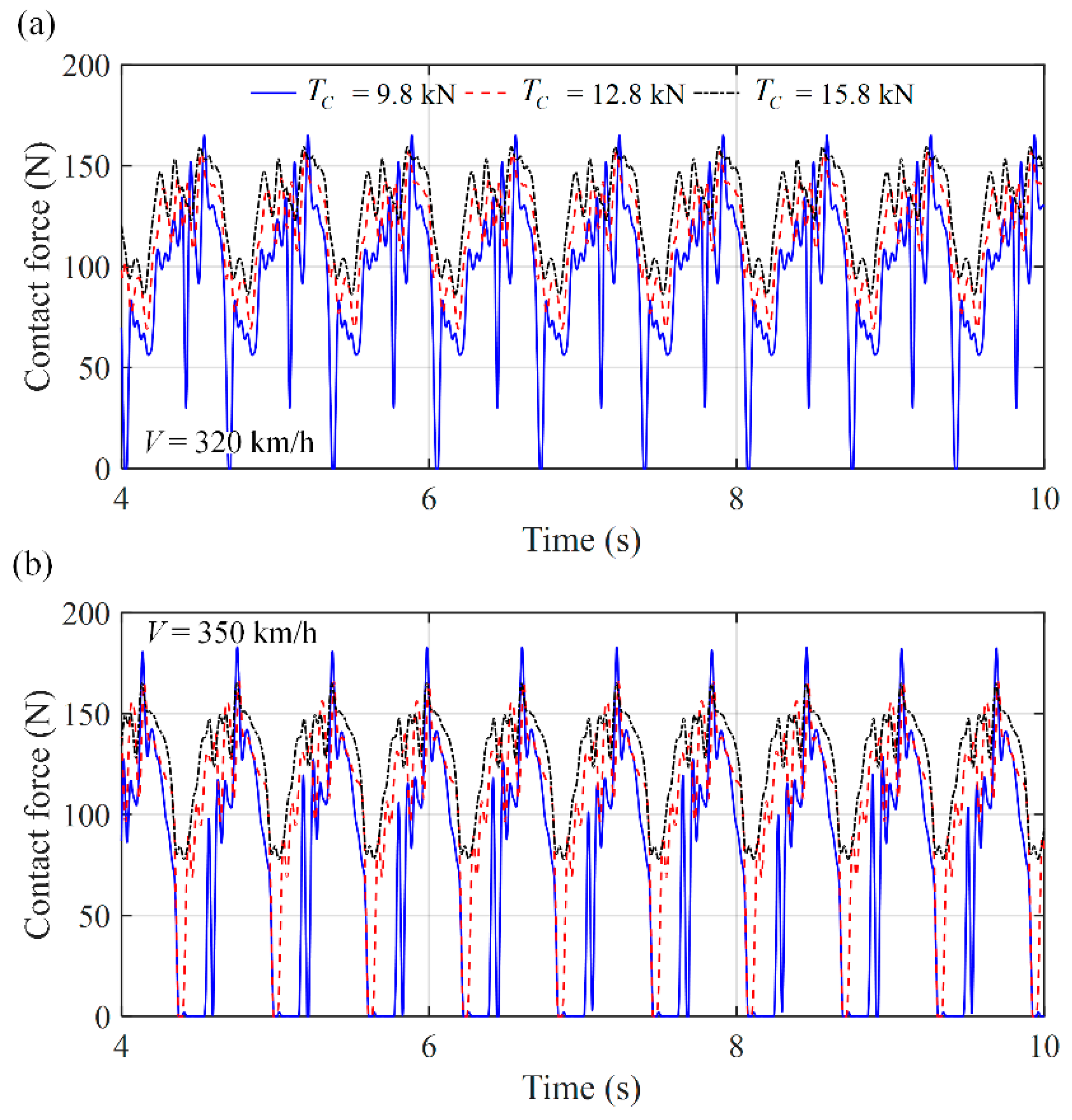
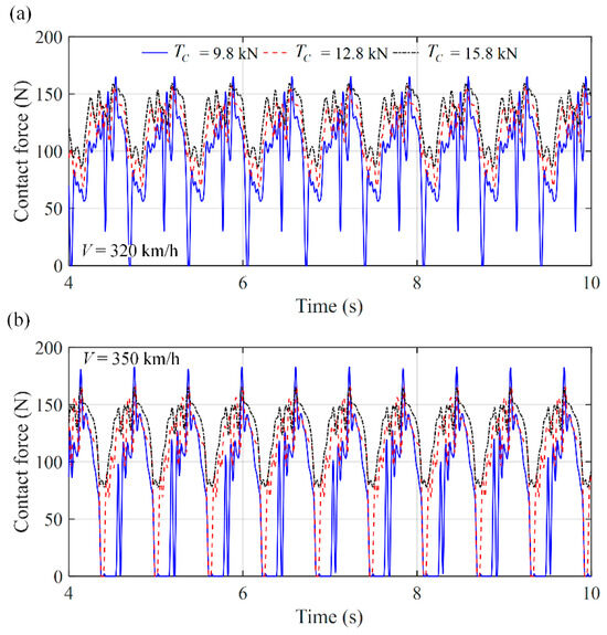
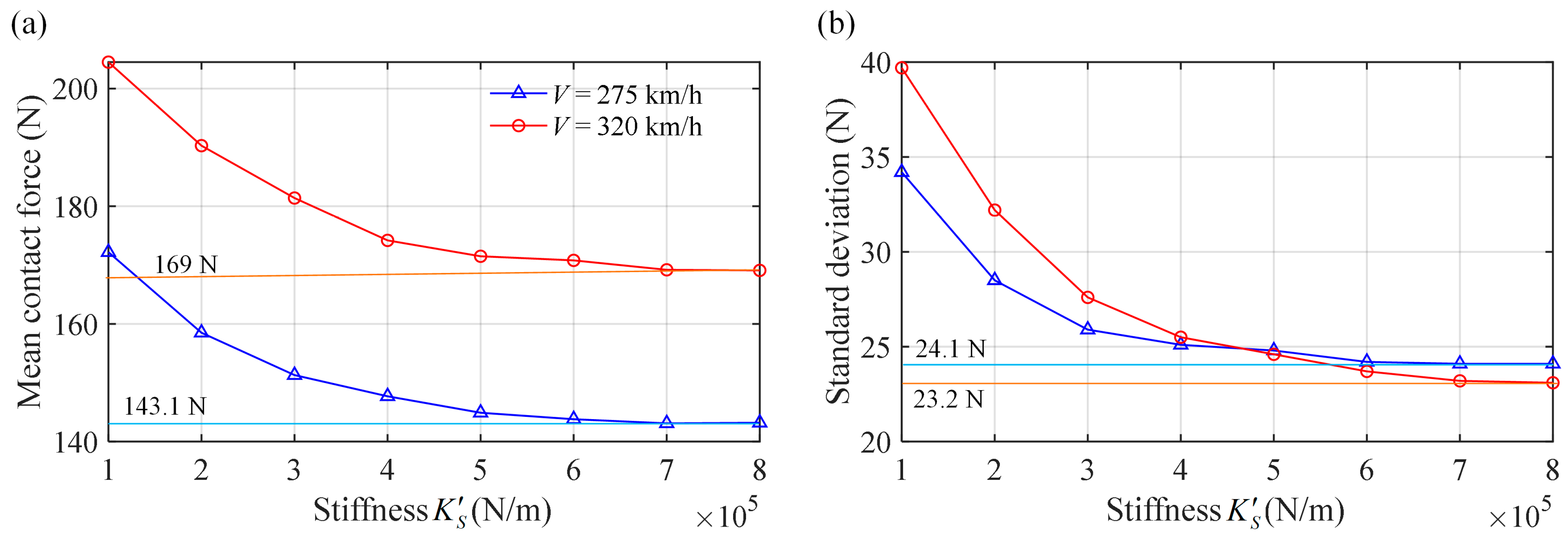
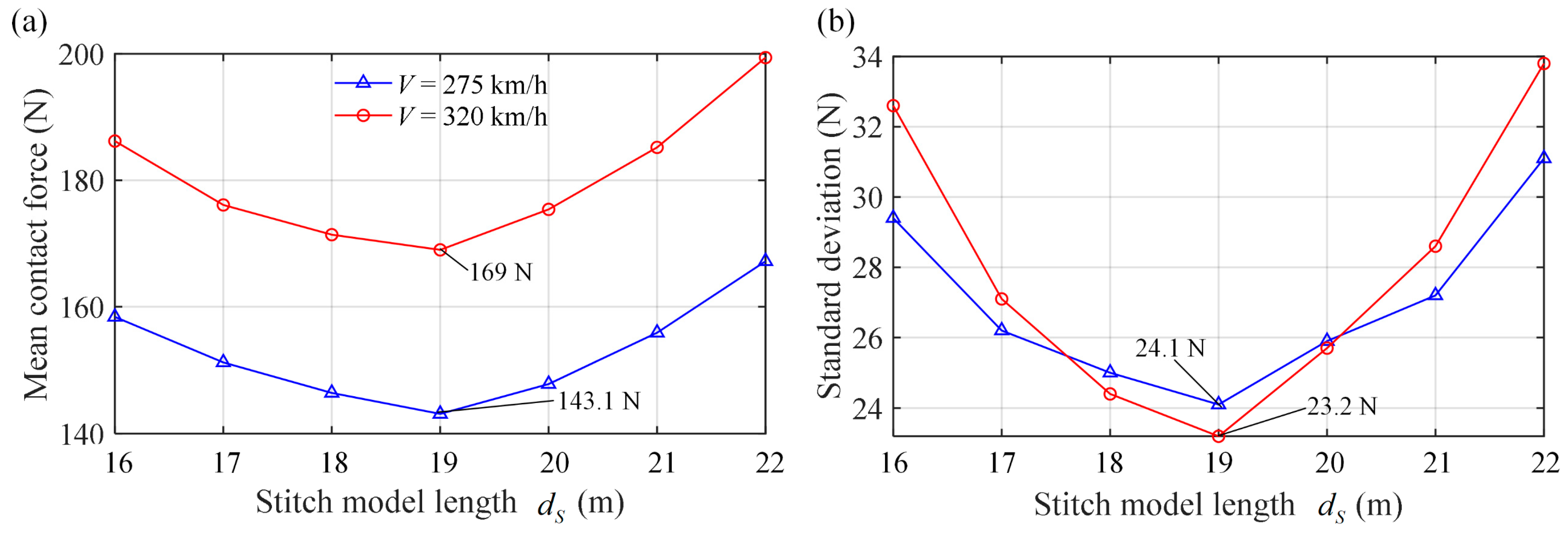
4. Influence of Train Overdesigned-Speed Operation on Pantograph–Catenary Interaction Dynamics
5. Conclusions
- (1)
- The proposed reduced pantograph–stitched-catenary model can efficiently and accurately investigate the dynamic behavior of pantograph–stitched-catenary interactions. When calculating the pantograph–catenary-interaction dynamic responses, the calculation time of the present model is only 1/7 of that of the MSM with a train operation distance of 1200 m. This greatly benefits the investigation of the long-term service evolution of the pantograph–stitched-catenary system, such as the wear rate calculation in pantograph contact strip wear investigations.
- (2)
- When the train operation speed is higher than the designed top speed of the SYT7.0/9.8 catenary system and up to 300 km/h, the pantograph–catenary interaction dynamic performance of the present pantograph–catenary system is still acceptable, and the risk of contact loss is small. However, when V = 300 km/h, the present pantograph–catenary system is not stable and is close to its critical state, which means that it can result in contact loss with a small change in the pantograph–catenary system parameters. Thus, it cannot operate at V = 300 km/h in the long term. To increase the maximum operation speed of the existing SYT7.0/9.8 catenary system to 300 km/h, the contact wire tension should be increased to 15.8 kN.
Author Contributions
Funding
Institutional Review Board Statement
Informed Consent Statement
Data Availability Statement
Acknowledgments
Conflicts of Interest
References
- Facchinetti, A.; Bruni, S. Hardware-in-the-loop hybrid simulation of pantographcatenary interaction. J. Sound Vib. 2012, 331, 2783–2797. [Google Scholar] [CrossRef]
- Bucca, G.; Collina, A. A procedure for the wear prediction of collector strip and contact wire in pantograph-catenary system. Wear 2009, 266, 46–59. [Google Scholar] [CrossRef]
- Yang, H.; Hu, B.; Liu, Y.; Cui, X.; Jiang, G. Influence of reciprocating distance on the delamination wear of the carbon strip in pantograph–catenary system at high sliding-speed with strong electrical current. Eng. Fail Anal. 2019, 104, 887–897. [Google Scholar] [CrossRef]
- Ding, T.; Chen, G.X.; Bu, J.; Zhang, W.H. Effect of temperature and arc discharge on friction and wear behaviours of carbon strip/copper contact wire in pantograph-catenary systems. Wear 2011, 271, 1629–1636. [Google Scholar] [CrossRef]
- Yang, H.J.; Chen, G.X.; Gao, G.Q.; Wu, G.N.; Zhang, W.H. Experimental research on the friction and wear properties of a contact strip of a pantograph-catenary system at the sliding speed of 350km/h with electric current. Wear 2015, 332–333, 949–955. [Google Scholar] [CrossRef]
- Park, T.J.; Han, C.S.; Jang, J.H. Dynamic sensitivity analysis for the pantograph of a high-speed rail vehicle. J. Sound Vib. 2003, 266, 235–260. [Google Scholar] [CrossRef]
- Wu, T.X.; Brennan, M.J. Basic analytical study of pantograph-catenary system dynamics. Veh. Syst. Dyn. 1998, 30, 443–456. [Google Scholar] [CrossRef]
- Poetsch, G.; Evans, J.; Meisinger, R.; Kortüm, W.; Baldauf, W.; Veitl, A.; Wallaschek, J. Pantograph/catenary dynamics and control. Veh. Syst. Dyn. 1997, 28, 159–195. [Google Scholar] [CrossRef]
- Arnold, M.; Simeon, B. Pantograph and catenary dynamics: A benchmark problem and its numerical solution. Appl. Numer. Math. 2000, 34, 345–362. [Google Scholar] [CrossRef]
- Liu, Z.; Jönsson, P.A.; Stichel, S.; Rønnquist, A. Implications of the operation of multiple pantographs on the soft catenary systems in Sweden. Proc. Inst. Mech. Eng. Part F J. Rail Rapid Transit 2016, 230, 971–983. [Google Scholar] [CrossRef]
- El-Ajou, A.; Moa’ath, N.O.; Al-Zhour, Z.; Momani, S. Analytical numerical solutions of the fractional multi-pantograph system: Two attractive methods and comparisons. Results Phys. 2019, 14, 102500. [Google Scholar] [CrossRef]
- Sezer, M.; yalçinbaş, S.; Şahin, N. Approximate solution of multi-pantograph equation with variable coefficients. J. Comput. Appl. Math. 2008, 214, 406–416. [Google Scholar] [CrossRef]
- Tohidi, E.; Bhrawy, A.H.; Erfani, K. A collocation method based on Bernoulli operational matrix for numerical solution of generalized pantograph equation. Appl. Math Model. 2013, 37, 4283–4294. [Google Scholar] [CrossRef]
- Peng, J.F.; Tang, Y.J.; Li, B.; Liu, J.H.; Xu, Z.B.; Liu, X.Y.; Zhu, M.H. Role of current intensity in bending fretting fatigue behaviours of integral droppers. Tribol. Int. 2022, 175, 107857. [Google Scholar] [CrossRef]
- Wu, W.; Wang, Z.; Fu, H.; Zheng, M.; Gao, Z. Fracture Behavior of Droppers under Low Current Pulses and Stress Coupling Cyclic Fields. J. Mater. Eng. Perform. 2023, 32, 8346–8357. [Google Scholar] [CrossRef]
- Liu, X.Y.; Peng, J.F.; Tan, D.Q.; Xu, Z.B.; Liu, J.H.; Mo, J.L.; Zhu, M.H. Failure analysis and optimization of integral droppers used in high speed railway catenary system. Eng. Fail Anal. 2018, 91, 496–506. [Google Scholar] [CrossRef]
- Pombo, J.; Ambrósio, J.; Pereira, M.; Rauter, F.; Collina, A.; Facchinetti, A. Influence of the aerodynamic forces on the pantograph—Catenary system for high-speed trains. Veh. Syst. Dyn. 2009, 47, 1327–1347. [Google Scholar] [CrossRef]
- Zhang, W.; Liu, Y.; Mei, G. Evaluation of the coupled dynamical response of a pantograph—Catenary system: Contact force and stresses. Veh. Syst. Dyn. 2007, 44, 645–658. [Google Scholar] [CrossRef]
- Song, Y.; Zhang, M.; Øiseth, O.; Rønnquist, A. Wind deflection analysis of railway catenary under crosswind based on nonlinear finite element model and wind tunnel test. Mech. Mach. Theory 2022, 168, 104608. [Google Scholar] [CrossRef]
- Massat, J.P.; Laurent, C.; Bianchi, J.P.; Balmès, E. Pantograph catenary dynamic optimisation based on advanced multibody and finite element co-simulation tools. Veh. Syst. Dyn. 2014, 52, 338–354. [Google Scholar] [CrossRef][Green Version]
- Tur, M.; García, E.; Baeza, L.; Fuenmayor, F.J. A 3D absolute nodal coordinate finite element model to compute the initial configuration of a railway catenary. Eng. Struct. 2014, 71, 234–243. [Google Scholar] [CrossRef]
- Gregori, S.; Tur, M.; Nadal, E.; Aguado, J.V.; Fuenmayor, F.J.; Chinesta, F. Fast simulation of the pantograph–catenary dynamic interaction. Finite Elem. Anal. Des. 2017, 129, 1–13. [Google Scholar] [CrossRef]
- Gregori, S.; Tur, M.; Pedrosa, A.; Tarancón, J.E.; Fuenmayor, F.J. A modal coordinate catenary model for the real-time simulation of the pantograph-catenary dynamic interaction. Finite Elem. Anal. Des. 2019, 162, 1–12. [Google Scholar] [CrossRef]
- Nåvik, P.; Rønnquist, A.; Stichel, S. Identification of system damping in railway catenary wire systems from full-scale measurements. Eng. Struct. 2016, 113, 71–78. [Google Scholar] [CrossRef]
- Rønnquist, A.; Nåvik, P. Dynamic assessment of existing soft catenary systems using modal analysis to explore higher train velocities: A case study of a Norwegian contact line system. Veh. Syst. Dyn. 2015, 53, 756–774. [Google Scholar] [CrossRef]
- Facchinetti, A.; Gasparetto, L.; Bruni, S. Real-time catenary models for the hardware-in-The-loop simulation of the pantograph-catenary interaction. Veh. Syst. Dyn. 2013, 51, 499–516. [Google Scholar] [CrossRef]
- Bruni, S.; Bucca, G.; Collina, A.; Facchinetti, A. Numerical and hardware-in-the-loop tools for the design of very high speed pantograph-catenary systems. J. Comput. Nonlinear Dyn. 2012, 7, 041013. [Google Scholar] [CrossRef]
- Xu, Y.; Liu, Z.D.; Stichel, S.; Zhu, W.D.; Lei, J.L.; Yao, Y. A comparative study on the influence of typical track failures on high-speed pantograph-catenary interaction dynamics. Veh. Syst. Dyn. 2024, 62, 2883–2911. [Google Scholar] [CrossRef]
- Jimenez-Octavio, J.R.; Carnicero, A.; Sanchez-Rebollo, C.; Such, M. A moving mesh method to deal with cable structures subjected to moving loads and its application to the catenary-pantograph dynamic interaction. J. Sound Vib. 2015, 349, 216–229. [Google Scholar] [CrossRef]
- Chen, L.; Pan, L.; Xu, Y.; Huang, C. Study on the Length of the Effective Vibration Area of the Catenary in a Pantograph–Catenary Interaction System. Appl. Sci. 2024, 14, 6822. [Google Scholar] [CrossRef]
- Song, Y.; Rønnquist, A.; Jiang, T.; Nåvik, P. Railway pantograph-catenary interaction performance in an overlap section: Modelling, validation and analysis. J. Sound Vib. 2023, 548, 117506. [Google Scholar] [CrossRef]
- Yao, Y.; Zou, D.; Zhou, N.; Mei, G.; Wang, J.; Zhang, W. A study on the mechanism of vehicle body vibration affecting the dynamic interaction in the pantograph–catenary system. Veh. Syst. Dyn. 2021, 59, 1335–1354. [Google Scholar] [CrossRef]
- EN 50318:2018; Railway Applications—Current Collection Systems—Validation of Simulation of the Dynamic Interaction between Pantograph and Overhead Contact Line. CENELEC: Brussels, Belgium, 2018.














| Frequency Span | 0–2 Hz | 0–5 Hz | 5–20 Hz | ||||
|---|---|---|---|---|---|---|---|
| Train Operation Speed | Present Model | Test Results | Present Model | Test Results | Present Model | Test Results | |
| Contact force (N) | 222 km/h | 91.24 | 90.85 | 97.22 | 97.85 | 7.32 | 6.81 |
| Standard deviation | 222 km/h | 11.43 | 11.98 | 16.19 | 16.76 | 23.62 | 24.21 |
| Speed [km/h] | 275 | 320 | ||
|---|---|---|---|---|
| Pantograph | Leading | Trailing | Leading | Trailing |
| Fm [N] | 143.1(143–144) | 143.7(142–144) | 169(169) | 169(169) |
| σ [N] | 24.1(20.2–24.7) | 28.9(24.4–36.2) | 23.2(20.5–24.7) | 36.9(30.4–38.3) |
| σ (0–5 Hz) [N] | 14.8(11.7–15.2) | 17.9(17.0–18.2) | 13.0(11.8–13.3) | 22.9(20.4–24.2) |
| σ (5–20 Hz) [N] | 18.5(16.5–19) | 25.5(16.4–27.4) | 19.1(15.2–20.9) | 28.8(21.5–29.8) |
| Actual maximum of contact force [N] | 198.5(185–199) | 225.2(203–252) | 229.2(210–232) | 242.3(239–255) |
| Actual minimum of contact force [N] | 95.6(92–102) | 86.2(56–88) | 121.4(105–128) | 74.4(43–78) |
| Range of vertical position of the point of contact [mm] | 22.4(18–25) | 32.5(26–36) | 21.6(13–23) | 59.8(38–63) |
| Maximum uplift at support [mm] | 68.2(55–79) | 71.3(51–79) | 88.6(74–95) | 91.1(69–95) |
| Percentage of loss of contact [%] | 0(0) | 0(0) | 0(0) | 0(0) |
| Models | Reduced Pantograph–Stitched- Catenary Model | FEM Model (Liu et al. [10]) | MSM Model (Zhang et al. [18]) |
|---|---|---|---|
| Characteristics | The long stitched catenary is reduced to a small region around the moving pantograph and modeled using the modal superposition method and ALE method, and only the reduced area of the catenary can be modeled. | The whole long catenary structure is considered and modeled using the finite element method, and most of the components are detail modeled. | The whole long catenary structure is considered and modeled using the modal superposition method, only the main parts of the catenary can be modeled. |
| Accuracy | Accurate in main pantograph–catenary interaction dynamics but can not simulate component’s dynamic responses | Accurate in both the main pantograph–catenary interaction dynamics and component’s dynamic responses | Accurate in main pantograph–catenary interaction dynamics but can not simulate component’s dynamic responses |
| Efficiency | Fastest | Slowest | Middle |
| Speed | 200 km/h | 302 km/h |
|---|---|---|
| Mean value | 84.2 N | 104.9 N |
| Standard deviation (0–20 Hz) | 15.7 | 23.2 |
| Maximum value | 109.7 N | 152.6 N |
| Minimum value | 46.7 N | 65.4 N |
Disclaimer/Publisher’s Note: The statements, opinions and data contained in all publications are solely those of the individual author(s) and contributor(s) and not of MDPI and/or the editor(s). MDPI and/or the editor(s) disclaim responsibility for any injury to people or property resulting from any ideas, methods, instructions or products referred to in the content. |
© 2024 by the authors. Licensee MDPI, Basel, Switzerland. This article is an open access article distributed under the terms and conditions of the Creative Commons Attribution (CC BY) license (https://creativecommons.org/licenses/by/4.0/).
Share and Cite
Pan, L.; Xu, Y.; Liu, Z.; Xiao, C.; Lei, J. A Fast Simulation Model of Pantograph–Stitched-Catenary Interaction in Long-Distance Travel. Appl. Sci. 2024, 14, 10160. https://doi.org/10.3390/app142210160
Pan L, Xu Y, Liu Z, Xiao C, Lei J. A Fast Simulation Model of Pantograph–Stitched-Catenary Interaction in Long-Distance Travel. Applied Sciences. 2024; 14(22):10160. https://doi.org/10.3390/app142210160
Chicago/Turabian StylePan, Like, Yan Xu, Zhendong Liu, Chonhui Xiao, and Jilin Lei. 2024. "A Fast Simulation Model of Pantograph–Stitched-Catenary Interaction in Long-Distance Travel" Applied Sciences 14, no. 22: 10160. https://doi.org/10.3390/app142210160
APA StylePan, L., Xu, Y., Liu, Z., Xiao, C., & Lei, J. (2024). A Fast Simulation Model of Pantograph–Stitched-Catenary Interaction in Long-Distance Travel. Applied Sciences, 14(22), 10160. https://doi.org/10.3390/app142210160

