Next Article in Journal
Impact of Alternating Exercise Intensity Interventions on the Physical and Mental Health of Middle-Aged and Young Men
Next Article in Special Issue
Influence of the Sound Source’s Position on the Stage on the Speech Perception in the Auditorium
Previous Article in Journal
A Quantum-Secure Cryptographic Algorithm Integrating Fractals and Prime Numbers
Previous Article in Special Issue
3D Acoustic Map Analysis of the National Theatre of Zagreb
 
 
Font Type:
Arial Georgia Verdana
Font Size:
Aa Aa Aa
Line Spacing:
Column Width:
Background:
Article

Air Attenuation in Octave Bands and How to Normalize Room Acoustic Measurements to a Standard Atmosphere

by
Jens Holger Rindel
Odeon A/S, DTU Science Park, 2800 Kgs. Lyngby, Denmark
Appl. Sci. 2024, 14(22), 10139; https://doi.org/10.3390/app142210139
Submission received: 12 September 2024 / Revised: 27 October 2024 / Accepted: 29 October 2024 / Published: 6 November 2024
(This article belongs to the Special Issue Architectural Acoustics: From Theory to Application)

Abstract

Featured Application

The results can be applied in software for room acoustic measurements and simulation.

Abstract

The air attenuation of pure tones as a function of temperature and humidity is well known and described in ISO and ANSI standards. However, room acoustic measurements are performed in octave bands, which is the reason for the complicated, non-linear behavior of the air attenuation. It is known that room acoustic measurement results depend on air temperature and humidity, and these atmospheric data should always be reported in connection with room acoustic measurements. A calculation model for the air attenuation can make it possible to normalize the room acoustic results. For accurate results, it is possible to apply a summation method on each time sample in the impulse response. An approximation to the air attenuation at and above 1 kHz is possible by linearization using the pure-tone attenuation of two different frequencies, one frequency valid for the early part of the impulse response and another frequency valid for the later part of the impulse response. The purpose of the suggested methods is to make it possible to normalize room acoustic measurements to a standard atmosphere.

1. Introduction

Sound propagation through the air is attenuated by atmospheric absorption, mainly due to relaxation vibrations of the oxygen and nitrogen molecules. The air attenuation is negligible at low frequencies but increases rapidly with frequencies above 1 kHz. The molar concentration of water vapor influences the atmospheric absorption, acting as a catalyst for the relaxation of oxygen and nitrogen (Annex A) [1]. Thus, the absorption is lower in humid air than in dry air. In practice, the atmospheric conditions are characterized by the temperature and the relative humidity (RH) as a percentage. If the absolute humidity is kept constant, an increase in the temperature leads to decreasing RH, and vice versa. For example, the atmospheric absorption is approximately the same at (18 °C, 55% RH), (20 °C, 50% RH), or (22 °C, 45% RH).
The measurement of reverberation time and other room acoustic parameters is described in the International Standard ISO 3382-1 [2]. All room acoustic measurements according to this standard are made in octave bands. The measurement results can vary with the air temperature and the relative humidity, and, consequently, the standard requires that these atmospheric data should be measured and included in the measurement report. It is realized that in cases with very different atmospheric conditions, the measured acoustic results may not be comparable. This is not a satisfactory situation, and Harris suggested the following in 1966 [3]:
“In presenting reverberation-time data for large auditoriums, irrespective of the humidity and temperature at which measurements are made, correct the reverberation time so that it represents the reverberation time that would have been obtained if the measurements had been made at a relative humidity of 50% and a temperature of 20 °C, i.e., standard conditions”.
The correction method presented by Harris is relatively simple and uses the air attenuation coefficients at the center frequency of the octave bands below 2000 Hz and those of the one-third octave bands from 2000 Hz to 12,500 Hz. The reverberation time is converted to the decay rate in dB per second, and the correction for air absorption is made with the assumption of ideal exponential decays. The attenuation coefficients are those valid for pure tones at the center frequency of the applied frequency band, either octave or one-third octave. The method works well for measurements in one-third octave bands, but for field measurements in octave bands, the method is not accurate for long reverberation times and high frequencies, as will be explained later. There is no evidence of a general application of the method in practice.
Since the bandwidth used for the measurements is important for the problem of air attenuation, it should be noted that octave bands have not always been preferred for room acoustic measurements. The first edition of ISO 3382 [4] from 1975 prescribes one-third octave bands from 125 Hz to 4000 Hz, i.e., the same as used for the measurement of the sound-absorbing properties of materials in a reverberation chamber. However, at least since the 1960s, it has been common practice to perform reverberation time measurements in concert halls in octave bands. Thus, in 1997, the second edition of ISO 3382 [5] was established, stating that reverberation time in concert halls should be measured in octave bands, while one-third octave bands can be used in other kinds of rooms.
In a book by Cremer and Müller, there is a reference to a simple approximate formula to estimate the attenuation coefficient directly from the frequency and the relative humidity [6] (Equation (1,45 a)). The formula can be expressed in terms of the energy attenuation coefficient m in reciprocal meters:
m = 2 · 85   f kHz 2   φ % 1   ·   10 4   ( m 1 )
where f is the frequency in kHz and φ is the relative humidity in %. The approximation is based on experimental data between 30% and 80% relative humidity and limited to a fixed air temperature of 20 °C. Nothing is said about the bandwidth of the measurements. Obviously, the attenuation is assumed to be a simple linear function of the frequency, which is not true for measurements in octave bands but can be an acceptable approximation for one-third octave bands. Again, there is no evidence of a general application of the method in practice.
A very precise analysis of the problem with air absorption and octave bands was presented by Sutherland and Bass [7]. They describe how the air absorption shapes the spectrum such that, after some time of propagation, most of the energy is in the lower part of the band. A numerical calculation method is presented, where the octave band is divided into a number of constant percentage filter elements. It is suggested that the number of filter elements must be at least 12 for an integration error less than 0.1 dB.
Sisler and Bass [8] simulated the effect of one-third octave band filters used for reverberation time measurements. They found that the results will differ significantly from those of a pure tone with a frequency at the geometric center of the band. They mention that octave band filters would lead to even greater differences.
ISO 9613-1 [1] is the reference for calculating the absorption of sound by the atmosphere. The energy attenuation coefficients calculated in accordance with the standard are provided in tables with the pure-tone attenuation coefficients at the exact center frequencies of one-third octaves from 50 Hz to 10 kHz, temperatures from −20 °C to +50 °C in 5 °C intervals, and relative humidity from 10% to 100% in 10% intervals. In addition, the exact formulas behind the calculations are provided. In the standard, it is stated that the exact midband frequency of an octave band can be used for an approximate calculation of the air attenuation of broadband sound in an octave band. This is applicable when the attenuation due to air absorption is not more than approximately 15 dB. The error is ≤±0.5 dB for r∙(fc)2 ≤ 3 km (kHz)2, where r is the distance of sound propagation and fc is the center frequency. The standard is intended for outdoor sound propagation, but there should be no problem in applications for sound propagation in rooms. In rooms with hard surfaces, the reverberation time may exceed 8 s at some frequencies. This means that, for room acoustical applications, the simple approximation using the center frequency may be valid below 1 kHz but not in octave bands above 1 kHz.
The American National Standard ANSI S1.26 [9] has contents almost identical to ISO 9613-1 [1]. However, an approximate method for fractional-octave bands is described in [9] (Annex E). It is a non-linear function of the pure-tone attenuation at the midband frequency over the total distance of sound propagation. The approximate attenuation is calculated as the product of the pure-tone attenuation of the exact center frequency and a non-linear function or this pure-tone attenuation and the normalized filter bandwidth.
ISO 9613-2 [10] is a standard describing calculation methods for outdoor sound propagation. In [10] (Chapter 7.2), typical examples of attenuation coefficients for octave bands of noise in dB/km are presented. Ref. [10] (Table 2) provides data for octave bands from 63 Hz to 8000 Hz. The data are the pure-tone attenuation coefficients of the octave band center frequencies. This implies, according to [8] (8.1.3), that the data are not accurate for attenuations above 15 dB. In the 8 kHz band, the maximum distance of valid application is found to be between 74 m and 253 m in the examples in [10] (Table 2). It is noted that these limitations of application are not mentioned in the standard.
The European Norm EN 12354-6 [11] provides formulas for calculation of the reverberation time in a room from the total equivalent absorption area including the air absorption. A table is provided with energy attenuation coefficients in air in octave bands for selected examples of temperature and humidity. Below 1 kHz, these coefficients are the pure-tone attenuation coefficients of the center frequency of the octave band. For the 1 kHz to the 8 kHz octave bands, the coefficients are the pure-tone attenuation coefficients of the center frequency of the lower one-third octave within the octave band. This is assumed to handle the spectral change within the octave band during the sound propagation.
Extensive experiments in a 175 m3 room with changeable temperature and relative humidity (RH) were reported by Wenmaekers et al. [12]. The temperature varied in the range of 12 °C to 38 °C and the RH in the range of 15% to 80%. The average reverberation time of the room was 1.7 s. The octave band reverberation time T20 was derived in ten octave bands with center frequencies from 31.5 Hz to 16 kHz. The statistical correlation between the measured reverberation time and the RH was analyzed. Good correlation was found for frequencies 1 kHz and 2 kHz when fitting to the pure-tone attenuation of the center frequency of the octave band. For frequencies of 4 kHz and higher, a good correlation was found when fitting to the pure-tone attenuation of the lower limiting frequency of the octave band. It is noted that the limiting frequency is called the edge frequency in [12]. Using the attenuation of the lower edge frequency is called the edge frequency method, and it is suggested by the authors to overcome the problem of non-linear attenuation in octave bands.
A later study by Wenmaekers et al. [13] deals with calculations of reverberation time in octave bands and the investigation of different methods, including the edge frequency method, to estimate the effect of air absorption. As a reference, calculations of decay curves with the summation of 96 frequencies within each octave band are utilized. This summation method is similar to that used by Sutherland and Bass [6]. For high frequencies and reverberant spaces, it is recommended that air absorption in octave bands is calculated using the summation method, whereas for one-third octave bands, it is sufficiently accurate to use the pure-tone attenuation at the center frequency. It is also found that the reverberation time averaged over three one-third octave bands is not equal to the reverberation time derived from the full octave band containing those one-third octave bands. Finally, the study investigates the problem of measurement in acoustic scale models and how to adjust for excessive air absorption at very high frequencies.
Experimental data of room acoustical parameters measured under different thermo-hygrometric conditions were analyzed statistically by Tronchin [14] and Granzotto et al. [15]. The temperature varied between 27 and 32 °C and the relative humidity between 38 and 55% RH. The air velocity varied between 0 and 0.56 m/s due to fans in operation. It should be noted that the absolute humidity of the air was almost constant, and, thus, the relative humidity was directly linked to the temperature. This implies that the actual variation in air attenuation was very limited. The experimental results led the authors to claim that sound absorption due to air attenuation is not sensitive to variations in humidity. It was found that the room acoustic parameters most influenced by changes in temperature and humidity were C80 and T30, while the least influenced were D50 and EDT. However, these findings are most likely due to variations in the speed of sound and not to variations in the air attenuation.
In room acoustic scale measurements, the problem of air attenuation is very significant, and different solutions have been applied to compensate for the very pronounced air attenuation at the measurement frequencies, which are ten-times higher than normal in a 1:10 scale model. It has been suggested to make corrections using the pure-tone attenuation at the octave band center frequency [16] or using the pure-tone attenuation at the lower limiting frequency of the octave band [12]. Both methods neglect the non-linear behavior of the air attenuation in octave bands. Another method is to perform the corrections in the frequency domain instead of the time domain [17]. This requires Fourier transforms of time samples of the impulse response, and inverse Fourier transforms back to the time domain after the correction for air attenuation.
In the present article, the summation method for calculating the octave-band energy attenuation coefficient as a function of the time of propagation is presented in Section 2. It is demonstrated that the attenuation is a non-linear function of time of propagation, and an approximation using a linearization is suggested in Section 3. To overcome the problem of the temperature-dependent speed of sound, the method uses a transformation from the time domain to the distance domain. Section 4 explains how a measured impulse response can be normalized to a standard atmosphere. As an alternative, a simple method for normalizing reverberation time measurements is also suggested. During the present work, the summation method was implemented in the ODEON room acoustics software version 18.11, which was used for postprocessing the measurements in Section 5.
The purpose of the present article is to fill the gap between the well-established theoretical calculation model for pure-tone air attenuation and a practical approach to estimate the octave-band air attenuation in measured impulse responses.

2. The Summation Method

The energy attenuation coefficient is calculated in accordance with ISO 9613-1. The calculation method in the standard is valid for pure tones, and it is assumed to be the most accurate basis that is available. The air attenuation can be expressed either as the sound attenuation coefficient, α in decibels per meter or as the energy attenuation coefficient, m in reciprocal meters. In the following, the time t is relative to the arrival time of the direct sound at the receiver.
The attenuation due to air absorption of the sound pressure level of a pure tone with frequency f after propagating the distance r(t) is given by:
δ L f , t = α f r t = K m f r t , ( dB )
where
  • δL(f, t) is the attenuation of the sound pressure level due to air absorption, in decibels
  • α(f) is the pure-tone sound attenuation coefficient, in decibels per meter
  • m(f) is the energy attenuation coefficient, in reciprocal meters
  • K = 10 lg(e) ≈ 4.343 dB is a constant
r(t) is the distance that the sound wave has travelled at the time t, in meters, calculated as
r t = c t + d , ( m )
where
  • c is the speed of sound at the relevant temperature, meters per second
  • t is the time relative to the start of the arrival of the direct sound, in seconds
  • d is the distance from the sound source to the microphone, in meters.
The speed of sound in air c is mainly a function of the atmospheric temperature. Although the speed of sound also changes a little with the humidity, up to 0.3% compared to dry air (Harris, 1971) [18], this effect is here considered to be negligible ([1] Paragraph A.6 and [18] Figure 2). Thus, the speed of sound is calculated from [1] Equation (A.5):
c = c   0 273.15 + T 293.15 , ( m / s )
where
  • c0 = 343.2 m/s is the speed of sound at the reference temperature (20 °C)
  • T is the ambient atmospheric temperature, in °C
In room acoustic measurements, the impulse response is a function of the time t starting at the arrival of the direct sound. The distance d is not inherent in the measured impulse response, and this information must be provided by the user. Especially at frequencies well above 1 kHz, the air attenuation from source to receiver can be significant, and errors of several dBs may occur if the distance is not included. If this distance is not known, a default value of d = 10 m may apply.
The octave-band average energy attenuation coefficient changes according to how long the sound wave has travelled. The attenuation increases with frequency, and, thus, it varies within the bandwidth of an octave. This means that the higher frequencies within the octave are attenuated more than the lower frequencies, and during the sound propagation, the energy balance is shifted towards lower frequencies in the octave band. For this reason, the attenuation of sound in an octave band is not linear.
In the following, it is assumed that the frequency spectrum of the sound emitted from the source is flat (like pink noise) within the octave band. The octave-band average energy attenuation coefficient can be calculated from several frequencies equally distributed in a logarithmic scale within the octave band using Equation (5).
m B t = 1 r t l n 1 N i = 1 N exp r t m f i , ( m 1 )
where
  • mB(t) is the energy attenuation coefficient of the octave band, in reciprocal meters
  • n is the number of frequencies used for the averaging within the octave band
  • m(fi) is the energy attenuation coefficient at the frequency fi, calculated in accordance with ISO 9613-1, in reciprocal meters
The calculation with Equation (5) can be made by dividing the octave band into several frequencies, each carrying the same energy at the time t = 0. This summation method is like that used by Sutherland and Bass [6], and it was used as a reference method by Wenmaekers et al. [13]. Using N = 9 is found to be sufficient for an accurate calculation. Tests were conducted with N = 15 without any noticeable change in the results. The actual frequencies for N = 9 are calculated by Equation (6).
f i = 10 ( n + i 5 3 ) / 10 , ( H z )
where
  • n is the number of the octave band center frequency according to ANSI S1.6 [19], (e.g., n = 30 for the 1000 Hz octave band),
  • i is a number {1; 9}.
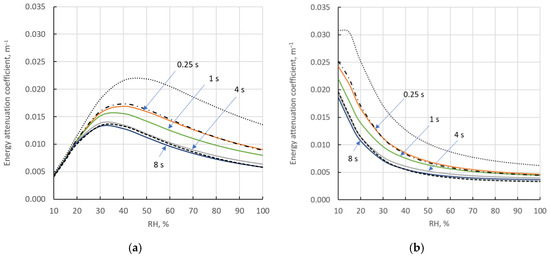
The octave-band energy attenuation coefficient mB is a function of temperature, relative humidity, and time of sound propagation. Two examples for the 4 kHz octave band are shown in Figure 1 for temperatures of 0 °C and 20 °C, respectively. The attenuation is calculated for different times of sound propagation, 0.25 s, 1 s, 4 s and 8 s. The initial octave-band energy attenuation coefficient is seen to be close to the pure-tone energy attenuation coefficient of the center frequency of the octave band. However, for longer propagation times, the octave-band energy attenuation coefficient approaches asymptotically the pure-tone energy attenuation coefficient one-third octave below the center frequency of the octave band, i.e., the nominal frequency 3150 Hz in this case.
The behavior at 4 kHz seen in Figure 1 is similar in other octave bands and at other air temperatures at least from −10 °C to 40 °C.
The time dependency of the octave-band energy attenuation coefficient mB is more clearly seen when displayed as an attenuation of the sound pressure level in decibels as a function of time. Like Equation (2) for pure tones, the time-dependent octave-band attenuation of the sound pressure level (SPL) due to air absorption is given by Equation (7).
δ L B t = K m B r t ,   ( dB )
Examples of this relationship are calculated using Equation (5) and displayed in Figure 2 for the four octave bands from 1 kHz to 8 kHz for the reference case of 20 °C and 50% RH. It is seen that the octave-band attenuation is not linear. For comparison, the linear pure-tone attenuation functions of the center frequency of the octave band and at the frequency one-third octave below the octave band center frequency are also shown. In the 8 kHz octave band, the energy attenuation coefficient reaches and goes below the pure-tone energy attenuation coefficient at 6.3 kHz nominal frequency after more than 2 s of propagation. However, the air attenuation at 8 kHz is more than 60 dB after 2 s of propagation, so the air attenuation at 6.3 kHz can be considered the asymptotic approximation in practice.
The results shown in Figure 2 show that the pure-tone attenuation of the octave center frequency is a valid approximation for short times of propagation or, more precisely, up to attenuations around 15 dB. This confirms the information on the upper limit for the approximation given in ISO 9613-1 [1]. It is also seen that the pure-tone attenuation at a frequency one-third octave below the octave center frequency is not a good approximation. However, this is the approximation used in the European norm for calculation of sound absorption in closed spaces, EN 12354-6 [11]. It must be concluded that this method is not accurate.
Another suggested approximation for the octave-band attenuation is given as a non-linear formula in Annex E of ANSI S1.26 [9]. This approximation has been implemented and compared to the octave band SPL attenuation calculated as a function of time of propagation with Equation (5) and N = 9, see Figure 3. The approximation yields attenuation that is systematically too low for longer times of propagation, and for the octave bands 2 kHz and 4 kHz, the attenuation decreases after reaching a maximum of around 18 dB. It must be concluded that this approximation cannot be used. Wenmaekers et al. [13] also found that this approximation fails to estimate accurate decay curves for octave bands.
It appears that the problem of air absorption in octave bands is complicated, and none of the approximations found in the literature can offer a valid solution to this problem. The best solution is the summation method, but it is quite heavy in terms of calculations when applied to every single time step in the impulse response.

3. Approximation Using Linearization

It is necessary to realize that the air attenuation in octave bands is not a linear function of distance/time of propagation. Therefore, a linearization method is searched for. It is suggested to approximate the octave-band air attenuation by using the pure-tone attenuation of two different frequencies, one frequency f1 valid below a certain distance rk and another frequency f2 valid at longer distances.
The approximation has been tested for a wide range of temperatures and humidities, and the best results are obtained if f1 is the exact center frequency of the octave band and f2 is the center frequency of the lower one-third octave within the octave band, see Table 1 and Figure 4. The two pure-tone attenuation lines cross in a knee point, and the distance rk to the knee point is as in Equation (3) with t = tk. From the information in ISO 9613-1 [1] (8.1.3), it could be expected that the knee point is where the air attenuation is approximately 15 dB. A closer study has led to the criterion δLk = 14 dB in the octave bands 1 kHz and above, and δLk = 6 dB in the 500 Hz octave band. Below 500 Hz, a knee point is not relevant because the air attenuation is very small and nearly linear.
The distance of sound propagation to the knee point rk is calculated by Equation (8a):
r k = L k 4.343   m ( f 1 ) ,   ( m )
The corresponding time tk of the knee point in the impulse response depends on the speed of sound c and the distance d from source to receiver. It is calculated by Equation (8b):
t k = L k 4.343   c   m ( f 1 ) d c ,   ( s )
The approximation for the attenuation of the sound pressure level in an octave band due to the absorption in the air is calculated in the distance domain by Equation (9):
δ L B r K m f 1 r t ,   ( dB ) for   r < r k K m f 1 r k + m f 2 ( r ( t ) r k ) ,   ( dB ) for   r r k
where
  • δLB(r) is the octave-band attenuation of the sound pressure level due to air absorption as function of the distance r, in decibels
  • m(f1) is the energy attenuation coefficient at the frequency f1, in reciprocal meters
  • m(f2) is the energy attenuation coefficient at the frequency f2, in reciprocal meters.
An example of the attenuation of the sound pressure level due to the absorption in the air is shown in Figure 4 for the reference condition of 20 °C and 50% RH. The change of slope is seen when the attenuation exceeds 14 dB. The example in Figure 4 could suggest a knee point lower than 14 dB to minimize the difference between the approximation and the summation method. However, after studying a wide range of temperature and humidity conditions, the choice of 14 dB is the best compromise.
A significant change of the air attenuation is seen when the results for different atmospheric conditions are compared in Figure 5. Two quite different examples are shown. In the first example, the temperature is 0 °C, RH 20%, and the air attenuation is pronounced at 500 Hz and 1 kHz. The knee point of the approximation is reached at or before 3 s (Figure 5a). The air attenuation at 500 Hz is high enough to show a non-linear behavior like that at higher frequencies, but the knee point for this frequency is at a lower value of attenuation, δLk = 6 dB.
When the temperature is 20 °C and RH 80% (Figure 5b), the non-linear attenuation is pronounced at 4 kHz and 8 kHz, but not so much at the lower frequencies.

4. Normalization of Measurement Results

4.1. Normalization of the Impulse Response

To facilitate the comparison of room acoustic measurements made under different atmospheric conditions, the results should be normalized to the same conditions of temperature and relative humidity. The ambient atmospheric pressure is assumed to be that of the International Standard Atmosphere at mean sea level, namely 101.325 kPa, the reference air temperature is 20 °C, and the reference relative humidity is 50% [20]. The accuracy of the measured temperature and relative humidity should be at least (±1 °C) and (±3% RH), respectively.
To illustrate the amount of correction needed for normalization of the impulse response, Figure 6 shows as an example the air attenuation as a function of time of propagation for dry air (20 °C, 30% RH) and for the standard air condition (20 °C, 50% RH). The correction that is needed for normalization at a given octave band is the difference between the pair of curves. At 4 kHz, the correction exceeds 10 dB after 2 s.
The approximation using linearization is not suited to normalizing the impulse response, because it will cause some visible jumps at the knee points. Therefore, the summation method is applied. The reverberation time and many other room acoustic parameters are derived from the integrated, squared impulse response (the decay curve). This is the relative sound pressure level as a function of time, where the time is relative to the arrival of the direct sound. However, every single contribution to the impulse response can be considered a function of the path length of a sound travelling from the source to the receiver along some reflection path. Then, the time axis can be replaced by a distance axis, and Equation (2) yields the relation between time t and distance r. The distances of the sound paths start at the sound source. The arrival times of each reflection can be replaced by the total length of the reflection path. Due to this transfer from the time domain to the distance domain, the influence of the temperature-dependent speed of sound is eliminated. This principle holds for squared impulse response and the integrated squared impulse response (decay curve).
The fact that the speed of sound changes with the air temperature means that the time scale of the impulse response is not the same at different temperatures. To overcome this problem, the measured squared impulse response (or the decay curve) is converted to the distance domain before performing the correction for air absorption. Thus, normalization is carried out in three steps.
STEP 1: In each octave band, the measured squared impulse response is converted to the distance domain, where the distance r(t) is calculated from Equation (3) using the speed of sound c at the temperature during the measurement, calculated from Equation (4).
STEP 2: Each sample of the impulse response is related to a distance r of sound propagation, and it is corrected by subtraction of the air attenuation during the measurements and addition of the air attenuation for the reference conditions, both in the distance r. The octave-band attenuations are calculated using the summation method (Equation (5)).
The correction that applies to the instantaneous octave-band sound pressure level of the squared impulse response in the distance r is calculated using Equation (10).
L B r = δ L B ,   0 r δ L B r
where
  • δLB(r) is the octave-band attenuation at the distance r, Equation (7), at the temperature and humidity during the measurement, in decibels,
  • δLB,0(r) is the octave-band attenuation at the distance r, Equation (7), at the reference temperature and humidity, in decibels.
STEP 3: In each octave band, the corrected squared impulse response is converted back from the distance domain to the time domain, where the time in the impulse response is t = (rd)/c0. The speed of sound at the reference temperature is c0 and d is the distance from source to receiver (or 10 m if not known).
The air pressure decreases with the altitude. However, the influence on the air attenuation is very small for altitudes up to a few km. The standard reference pressure of 101,325 kPa at sea level is assumed to be valid for practical applications of the normalization method.

4.2. Approximate Normalization of Reverberation Time Measurements

As an alternative to adjusting the entire impulse response, it is possible to perform relatively simple corrections of the reverberation time parameters EDT, T20 and T30 and normalize to standard conditions. This is a simplified method that assumes nearly linear decay curves and applies approximation for the air attenuation described in Section 3.
Figure 7 shows a generic decay curve. The time is t = 0 at the arrival of the direct sound, which is when decay starts. For the EDT, the time t2, when the decay is 10 dB down, is needed. For T20, the times t1 and t3, when the decay is 5 dB and 25 dB down, are needed, respectively. Similarly, for T30, t1 and t4, when the decay is 5 dB and 35 dB down, are needed, respectively. The most challenging part of the approximation method is to find the point where the decay curve is 5 dB down. This is achieved by assuming a straight line for the first part of the decay curve; then, t1 is simply t2 divided by two. It is shown in Table 2 how the various times can be derived from the measured reverberation time parameters.
Since the speed of sound depends on the temperature, and the measurements can be made at other temperatures than 20 °C, it is necessary to change from the time domain to the distance domain using Equation (2). Generic decay curves before and after the normalization are displayed in the distance domain in Figure 8. The decay drop Di is the same before and after the correction, but the distance ri is changed to ri,corr.
With the symbols in Figure 8, a geometrical analysis yields Equations (11) and (12).
X i + L i = D i + L 0
r i d X i = r i , c o r r d D i
The correction term ΔLi is the difference between the octave-band attenuation at measurement conditions and at standard conditions calculated with the approximation method, Equations (9) and (10). Similarly, ΔL0 is the correction term in the distance d. After the correction, the distance ri is changed to
r i , c o r r = c 0   t i , c o r r + d
where c0 is the speed of sound in standard conditions (343.2 m/s). Then, the corrected time ti,corr is calculated with Equation (14).
t i , c o r r = c c 0 t i D i D i + L 0 L i
This is applied for i = 1 through 4. Finally, the equations for calculating the normalized reverberation times are as follows:
E D T c o r r = 6   t 2 , c o r r
T 20 , c o r r = 3 ( t 3 , c o r r t 1 , c o r r )
T 30 , c o r r = 2 ( t 4 , c o r r t 1 , c o r r )
The method described in this section considers the change in the speed of sound due to different temperatures and the change of air attenuation due to temperature and relative humidity. It is noted that the distance d from source to receiver should be known for accurate results at high frequencies. However, in some cases, the distance can be neglected, namely when the distance to the knee point rk (8a) is longer than any of the distances ri.

5. Example Case

The reverberation time has been measured in the Oslo Opera auditorium several times during 2023. This opera house was completed in 2007, and the main auditorium has a maximum of 1364 seats. The width of the stage opening is 16 m. Particularly interesting in this context are the measurements made in February and in July, because the air humidity was quite different. In July, the conditions were very close to the standard atmosphere (20.0 °C, 52% RH), and normalization of the results would not change anything. But, in February, the relative humidity was much lower (20.6 °C, 31% RH), and the normalization led to a significant difference at high frequencies. A photo from the auditorium is seen in Figure 9. The omni-directional sound source was just behind the orchestra pit and in front of the closed iron curtain. Microphone positions were in several places, and the one selected for this context was at the side on the second balcony, see Figure 10. Source and microphone positions were the same on the two measurement days, and the distance from source to receiver was approximately 15 m. However, the conditions in the auditorium were not the same during the two measurements; the orchestra pit was open and furnished with chairs and music stands in February. In July, the floor of the orchestra pit was raised as an extension of the stage and not furnished. This can explain some minor differences in the results.
The results of the measured and normalized reverberation times T20 and T30 from 1 kHz to 8 kHz are presented in Figure 11. The full summation method was applied. At 4 kHz and 8 kHz, there is a significant difference between the measurement results at 52% RH and 31% RH. The measurements at 52% RH are shown without normalization, because this would make no difference. The measured reverberation times are shorter when the air is dry, but using the normalization of the impulse response brings the results from different atmospheric conditions very close. At 8 kHz, a tendency to over-compensate for the air attenuation is noted, especially for the T30 results. This will be discussed later in Section 6.
The approximate normalization method has also been applied to these measurements, see Table 3. The reverberation times measured at 31% RH were normalized to 50% RH, and the approximate method yields results that are nearly as good as the those obtained by normalization of the impulse response with the summation method. The relative deviation from the reference results obtained with 52% RH is given in Table 4.
Concerning the EDT results, the summation method applied for the normalization provides good agreement with the reference measurements (up to ±5% deviation). But the approximation method does not work so well; the results are over-compensated from −15% deviation without correction to +29% with correction.
Looking at the results for T20, both methods provide good results (up to ±5% deviation). For the T30 results, the approximation method works fine in all octave bands, whereas the summation method over-compensates at 8 kHz (+10% deviation with correction).
The distances of sound propagation related to the approximation method are presented in Table 5 for the octave bands 1 kHz to 8 kHz. It is noted that at 8 kHz, the distance to the knee point is shorter than r3 and r4, so T20 and T30 are both affected by the lower air attenuation beyond the knee point. At 4 kHz, this only yields T30. At frequencies below 4 kHz, the distance to the knee point is far longer than any of the distances related to the reverberation parameters.

6. Discussion

The results from the case with measurements in the opera house point at some interesting issues, especially related to the 8 kHz octave band. The adjustment for normalization of measurements made in dry air, i.e., with very high air attenuation, tends to be too big, and this is best seen in the T30 results. It seems that the actual air attenuation in the measurement is less than the calculated air attenuation. This may be explained by the spectrum of the sound emitted by the sound source.
The sound source applied for the measurements is the Odeon Omni [21], which covers a wide frequency range. However, within the 8 kHz octave band, the spectrum decreases towards the higher frequencies, approximately by 3 dB from lower to higher limiting frequency, see Figure 12. This means that the measurements have more weight on the lower frequencies within the octave band, and, thus, the actual air attenuation is lower than assumed with the summation method calculations. If the default distance of 10 m is applied instead of the actual distance from source to receiver, a similar effect can be expected if the distance is very long, so the air attenuation has already shifted the spectrum before the direct sound reaches the receiver. The problem is exaggerated by the fact that the air attenuation is high at 8 kHz, and the correction is the difference between two big numbers, see the example in Figure 6.
On this background, it is remarkable that the approximation method also yields good results at 8 kHz. Nevertheless, it seems like normalization of measurements in the 8 kHz octave band is not reliable. In principle, it might be possible to adapt the summation method to consider the actual spectrum generated by the sound source, but in practice, this is not realistic. The difficulties revealed for measurements in the 8 kHz are of particular relevance for measurements related to speech intelligibility [22].
In a big room with a high ceiling, the temperature is not the same over the entire volume. Normally, the temperature is lower near the floor and higher under the ceiling. However, the methods described in this paper assume homogeneous atmospheric conditions. This means that a perfectly correct method for the normalization of acoustic measurements is not possible.

7. Conclusions

Reverberation time and other room acoustic parameters are influenced by air absorption, especially at frequencies above 1 kHz. For pure tones, the air absorption is a complicated but known function of the ambient temperature and relative humidity. However, room acoustic measurements are normally made in octave bands, and the air absorption of sound in octave bands is not a linear function of the distance of sound propagation. The air attenuation increases rapidly with increasing frequency, and it is very high in the 8 kHz octave band.
The summation method is known from the literature, and it is found to be a realistic possibility for correction of the impulse response, thus normalizing the room acoustic parameters derived from that. It is quite laborious but can provide accurate results. It assumes that the sound source has a flat spectrum within each octave band.
For the reverberation time measurements, an alternative approximate method is proposed. The attenuation as a function of distance can be approximated by two linear attenuation curves, meeting in a knee point. The knee point is defined as the distance of sound propagation where the pure-tone attenuation at the center frequency of the octave band reaches 14 dB at 1 kHz and higher frequencies. At longer distances after the knee point, the course of the air attenuation follows the pure-tone attenuation at a frequency one-third octave below the center frequency of the octave band.
Both for the summation method and the simplified linearization method, it should be noted that, in principle, the distance between the sound source and microphone should be known. Currently, it is not a part of the usual practice to report this distance, so this yields a minor complication in practical measurements. In most practical cases, it may be sufficiently accurate to apply a default distance of 10 m.
It is shown that with the summation method, it is possible to normalize room acoustic measurements to the air attenuation of a standard atmosphere, at least in octave bands up to 4 kHz. At 8 kHz, the results become less reliable because of the influence of a non-flat spectrum of the sound source.

Funding

This research received no external funding.

Institutional Review Board Statement

Not applicable.

Informed Consent Statement

Not applicable.

Data Availability Statement

The original contributions presented in the study are included in the article, further inquiries can be directed to the corresponding author.

Acknowledgments

The measurements in the Oslo Opera House were made by Erik Arvidsson, in Multiconsult, Oslo, and he has contributed valuable information about the measurements. Claus Lynge Christensen of Odeon AS, has contributed fruitful discussions and implementation of the summation method for air attenuation in the ODEON room acoustic software.

Conflicts of Interest

Author Jens Holger Rindel was employed by the company Odeon A/S.

References

  1. ISO 9613-1; Acoustics—Attenuation of Sound During Propagation Outdoors—Part 1: Calculation of the Absorption of Sound by the Atmosphere. International Organization for Standardization: Geneva, Switzerland, 1993.
  2. ISO 3382-1; Acoustics—Measurement of Room Acoustic Parameters—Part 1: Performance Spaces. International Organization for Standardization: Geneva, Switzerland, 2009.
  3. Harris, C.M. Absorption of Sound in Air versus Humidity and Temperature. J. Acoust. Soc. Am. 1966, 40, 148–159. [Google Scholar] [CrossRef]
  4. ISO 3382; Acoustics—Measurement of Reverberation Time in Auditoria. International Organization for Standardization: Geneva, Switzerland, 1975.
  5. ISO 3382; Acoustics—Measurement of Reverberation Time in Auditoria with Reference to Other Acoustical Parameters. International 2nd ed. Organization for Standardization: Geneva, Switzerland, 1997.
  6. Cremer, L.; Müller, H.A. Die Wissenschaftlichen Grundlagen der Raumakustik, Band I, 2nd ed.; Hirzel: Stuttgart, Germany, 1978. [Google Scholar]
  7. Sutherland, L.C.; Bass, H.E. Influence of atmospheric absorption on the propagation of bands of noise. J. Acoust. Soc. Am. 1979, 66, 885–894. [Google Scholar] [CrossRef]
  8. Sisler, P.; Bass, H.E. Effect of finite bandwidth on measured reverberation times. J. Acoust. Soc. Am. 1982, 71, 751–752. [Google Scholar] [CrossRef]
  9. ANSI S1.26; American National Standard. Method for Calculation of the Absorption of Sound by the Atmosphere. Standards Secretariate, Acoustical Society of America: New York, NY, USA, 1995.
  10. ISO 9613-2; Acoustics—Attenuation of Sound During Propagation Outdoors—Part 2: General Method of Calculation. International Organization for Standardization: Geneva, Switzerland, 1996.
  11. EN 12354-6; Building Acoustics—Estimation of Acoustic Performance of Buildings from the Performance of Elements—Part 6: Sound Absorption in Enclosed Spaces. European Committee for Standardization: Brussels, Belgium, 2003.
  12. Wenmaekers, R.H.C.; Hak, C.C.J.M.; Martin, H.J.; van Luxemburg, L.C.J. Air absorption error in room acoustical modelling. In Proceedings of the Acoustics, Paris, France, 29 June–4 July 2008. [Google Scholar]
  13. Wenmaekers, R.H.C.; Hak, C.C.J.M.; Hornikx, M.C.J. The effective air absorption coefficient for predicting reverberation time in full octave bands. J. Acoust. Soc. Am. 2014, 136, 3063–3071. [Google Scholar] [CrossRef] [PubMed]
  14. Tronchin, L. Variability of room acoustic parameters with thermo-hygrometric conditions. Appl. Acoust. 2021, 177, 107933. [Google Scholar] [CrossRef]
  15. Granzotto, N.; Yan, R.; Tronchin, L. Measurements of Room Acoustic and Thermo-Hygrometric Parameters—A Case Study. Appl. Sci. 2023, 13, 2905. [Google Scholar] [CrossRef]
  16. Boone, M.M.; Braat-Eggen, E. Room Acoustics Parameters in a Physical Scale Model of the New Music Centre in Eindhoven: Measurement Method and Results. Appl. Acoust. 1994, 42, 13–28. [Google Scholar] [CrossRef]
  17. Ćirić, D.; Stevanović, Đ.; Pantić, A. Numerical Compensation of Sound Absorption in Air in Acoustical Measurements of Room Models. In Proceedings of the EuroRegio, Ljubljana, Slovenia, 15–18 September 2010. [Google Scholar]
  18. Harris, C.M. Effects of Humidity on the Velocity of Sound in Air. J. Acoust. Soc. Am. 1971, 49, 890–893. [Google Scholar] [CrossRef]
  19. ANSI S1.6; American National Standard. Preferred Frequencies, Frequency Levels, and Band Numbers for Acoustical Measurements. Standards Secretariate, Acoustical Society of America: New York, NY, USA, 1984.
  20. ISO 2533; Standard Atmosphere. International Organization for Standardization: Geneva, Switzerland, 1975.
  21. Available online: https://odeon.dk/pdf/OdeonOmniSpecifications.pdf (accessed on 4 September 2024).
  22. Gomez-Agustina, L.; Dance, S.; Shield, B. The effects of air temperature and humidity on the acoustic design of voice alarm systems on underground stations. Appl. Acoust. 2014, 76, 262–273. [Google Scholar] [CrossRef]
Figure 1. Air absorption in terms of energy absorption coefficient as function of the relative humidity. Full lines are for the 4 kHz octave band at various times of propagation up to 8 s. Dotted line is pure tone attenuation at 5 kHz, dash-dotted line is pure tone attenuation at 4 kHz, dashed line is pure-tone attenuation at 3150 Hz. (a) Temperature 0 °C. (b) Temperature 20 °C.
Figure 1. Air absorption in terms of energy absorption coefficient as function of the relative humidity. Full lines are for the 4 kHz octave band at various times of propagation up to 8 s. Dotted line is pure tone attenuation at 5 kHz, dash-dotted line is pure tone attenuation at 4 kHz, dashed line is pure-tone attenuation at 3150 Hz. (a) Temperature 0 °C. (b) Temperature 20 °C.
Applsci 14 10139 g001
Figure 2. Air attenuation at various frequencies as function of time of sound propagation (20 °C, 50% RH). Full lines: Calculated for octave band with the summation method. Dashed lines: Pure-tone attenuation at center frequency of octave band. Dot-dot-dashed lines: Pure-tone attenuation at center frequency of lower one-third octave band within the octave.
Figure 2. Air attenuation at various frequencies as function of time of sound propagation (20 °C, 50% RH). Full lines: Calculated for octave band with the summation method. Dashed lines: Pure-tone attenuation at center frequency of octave band. Dot-dot-dashed lines: Pure-tone attenuation at center frequency of lower one-third octave band within the octave.
Applsci 14 10139 g002
Figure 3. Octave band air attenuation as function of time of sound propagation (20 °C, 50% RH). Full lines: Calculated for octave band with the summation method. Dashed lines: The approximation method in ANSI S1.26 Annex E [9].
Figure 3. Octave band air attenuation as function of time of sound propagation (20 °C, 50% RH). Full lines: Calculated for octave band with the summation method. Dashed lines: The approximation method in ANSI S1.26 Annex E [9].
Applsci 14 10139 g003
Figure 4. Air attenuation in an octave band and approximation with the air attenuation of two specific frequencies. The 4 kHz octave and (20 °C, 50% RH) is used as example. Full line: Calculated for octave band with the summation method. Dashed lines: Pure-tone attenuation of octave center frequency. Dot-dashed line: Pure-tone attenuation at center frequency of lower one-third octave band within the octave, shifted to go through the knee point at tk.
Figure 4. Air attenuation in an octave band and approximation with the air attenuation of two specific frequencies. The 4 kHz octave and (20 °C, 50% RH) is used as example. Full line: Calculated for octave band with the summation method. Dashed lines: Pure-tone attenuation of octave center frequency. Dot-dashed line: Pure-tone attenuation at center frequency of lower one-third octave band within the octave, shifted to go through the knee point at tk.
Applsci 14 10139 g004
Figure 5. Air attenuation in octave bands and approximation with the air attenuation of two specific frequencies as in Figure 4. (a) Temperature 0 °C and 20% RH. (b) Temperature 20 °C and 80% RH.
Figure 5. Air attenuation in octave bands and approximation with the air attenuation of two specific frequencies as in Figure 4. (a) Temperature 0 °C and 20% RH. (b) Temperature 20 °C and 80% RH.
Applsci 14 10139 g005
Figure 6. Air attenuation in octave bands at 20 °C and two different relative humidities. Full lines: 30% RH. Dashed lines: 50% RH.
Figure 6. Air attenuation in octave bands at 20 °C and two different relative humidities. Full lines: 30% RH. Dashed lines: 50% RH.
Applsci 14 10139 g006
Figure 7. Generic decay curve with times related to reverberation time parameters. Below is an alternative axis for the distance of sound propagation.
Figure 7. Generic decay curve with times related to reverberation time parameters. Below is an alternative axis for the distance of sound propagation.
Applsci 14 10139 g007
Figure 8. Generic decay curve before the correction (full line) and after the correction (dotted line). The distance axis is used instead of the time axis.
Figure 8. Generic decay curve before the correction (full line) and after the correction (dotted line). The distance axis is used instead of the time axis.
Applsci 14 10139 g008
Figure 9. Photo from the opera house during one of the measurements. (Photo: Erik Arvidsson).
Figure 9. Photo from the opera house during one of the measurements. (Photo: Erik Arvidsson).
Applsci 14 10139 g009
Figure 10. Measurement positions for the results in Figure 11. Source H1 in front of the stage and microphone M1 in the second balcony.
Figure 10. Measurement positions for the results in Figure 11. Source H1 in front of the stage and microphone M1 in the second balcony.
Applsci 14 10139 g010
Figure 11. Measured and normalized reverberation times in a position on the second balcony in the opera house. The full summation method was applied for the normalization. (a) Reverberation time T20. (b) Reverberation time T30.
Figure 11. Measured and normalized reverberation times in a position on the second balcony in the opera house. The full summation method was applied for the normalization. (a) Reverberation time T20. (b) Reverberation time T30.
Applsci 14 10139 g011
Figure 12. Frequency response of the sound source between 500 Hz and 20,000 Hz measured in an anechoic chamber in the distance of 1.00 m. The lower and upper limiting frequencies of octave bands 1 kHz to 8 kHz are marked as dotted lines.
Figure 12. Frequency response of the sound source between 500 Hz and 20,000 Hz measured in an anechoic chamber in the distance of 1.00 m. The lower and upper limiting frequencies of octave bands 1 kHz to 8 kHz are marked as dotted lines.
Applsci 14 10139 g012
Table 1. Octave band numbers, equivalent frequencies f1 and f2, and the attenuation δLk at the knee point.
Table 1. Octave band numbers, equivalent frequencies f1 and f2, and the attenuation δLk at the knee point.
Nominal Center Frequency, fc, Hz631252505001000200040008000
Band number n1821242730333639
f1, Hz631262515011000199539817943
f2, HzNANANA398794158531626310
δLk, dBNANANA614141414
Table 2. Times and levels on the decay curve, and their relation to reverberation parameters.
Table 2. Times and levels on the decay curve, and their relation to reverberation parameters.
Time tiLevel, dBEquation for ti
t1−5½ t2
t2−10EDT/6
t3−25T20/3 + t1
t4−35T30/2 + t1
Table 3. Measured and normalized reverberation parameters in a position on the second balcony in the opera.
Table 3. Measured and normalized reverberation parameters in a position on the second balcony in the opera.
DescriptionRH (%)Frequency (Hz)
1000200040008000
EDT (s)Meas.522.112.201.861.30
T20 (s)Meas.522.142.051.951.27
T30 (s)Meas.522.122.131.951.29
EDT (s)Meas.312.082.031.671.10
T20 (s)Meas.312.051.951.671.08
T30 (s)Meas.312.041.981.721.08
EDT (s)Norm.502.102.081.891.29
T20 (s)Norm.502.052.051.921.33
T30 (s)Norm.502.082.051.921.42
EDT (s)Approx.502.092.121.981.67
T20 (s)Approx.502.062.031.981.31
T30 (s)Approx.502.052.061.981.34
Table 4. Relative deviation in percent of the reverberation time results in Table 3, using the measurements at 52% RH as a reference.
Table 4. Relative deviation in percent of the reverberation time results in Table 3, using the measurements at 52% RH as a reference.
DescriptionRH (%)Frequency (Hz)
1000200040008000
EDTMeas.31−1−8−10−15
T20Meas.31−4−5−14−15
T30Meas.31−4−7−12−16
EDTNorm.500−52−1
T20Norm.50−40−25
T30Norm.50−2−4−210
EDTApprox.50−1−4629
T20Approx.50−4−113
T30Approx.50−3−324
Table 5. Distances d, ri and rk for the octave bands 1 kHz to 8 kHz in the example case of 20.6 °C and 31% RH.
Table 5. Distances d, ri and rk for the octave bands 1 kHz to 8 kHz in the example case of 20.6 °C and 31% RH.
f, Hz1000200040008000
d, m15151515
r1, m75736346
r2, m13413111178
r3, m309296254170
r4, m425413358232
rk, m2832104830888
Disclaimer/Publisher’s Note: The statements, opinions and data contained in all publications are solely those of the individual author(s) and contributor(s) and not of MDPI and/or the editor(s). MDPI and/or the editor(s) disclaim responsibility for any injury to people or property resulting from any ideas, methods, instructions or products referred to in the content.

Share and Cite

MDPI and ACS Style

Rindel, J.H. Air Attenuation in Octave Bands and How to Normalize Room Acoustic Measurements to a Standard Atmosphere. Appl. Sci. 2024, 14, 10139. https://doi.org/10.3390/app142210139

AMA Style

Rindel JH. Air Attenuation in Octave Bands and How to Normalize Room Acoustic Measurements to a Standard Atmosphere. Applied Sciences. 2024; 14(22):10139. https://doi.org/10.3390/app142210139

Chicago/Turabian Style

Rindel, Jens Holger. 2024. "Air Attenuation in Octave Bands and How to Normalize Room Acoustic Measurements to a Standard Atmosphere" Applied Sciences 14, no. 22: 10139. https://doi.org/10.3390/app142210139

APA Style

Rindel, J. H. (2024). Air Attenuation in Octave Bands and How to Normalize Room Acoustic Measurements to a Standard Atmosphere. Applied Sciences, 14(22), 10139. https://doi.org/10.3390/app142210139

Note that from the first issue of 2016, this journal uses article numbers instead of page numbers. See further details here.

Article Metrics

Back to TopTop