Antimicrobial, Synergistic, and Antibiofilm Activity of Sildenafil Against Pseudomonas aeruginosa: Preliminary Studies
Abstract
1. Introduction
2. Materials and Methods
2.1. Microorganisms
2.2. Commercial Drugs
2.3. Antimicrobial Activity
2.3.1. Strain Preparation
2.3.2. Minimum Inhibitory and Bactericidal Concentrations
2.4. Antibiofilm Activity
2.4.1. Biofilm Formation
2.4.2. Inhibition and Destruction of Biofilm Formation
2.4.3. Atomic Force Microscopy
2.4.4. Fractional Inhibitory Concentration Index
2.4.5. Statistics
3. Results
3.1. Antimicrobial Activity
3.2. Antibiofilm Activity
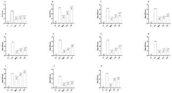
3.2.1. Biofilm Formation
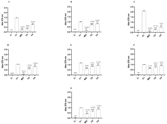
3.2.2. Biofilm Inhibition and Destruction
3.2.3. Atomic Force Microscopy
3.2.4. Checkerboard Assay
4. Discussion
5. Conclusions
Author Contributions
Funding
Institutional Review Board Statement
Informed Consent Statement
Data Availability Statement
Acknowledgments
Conflicts of Interest
References
- Xue, H.; Li, J.; Xie, H.; Wang, Y. Review of Drug Repositioning Approaches and Resources. Int. J. Biol. Sci. 2018, 14, 1232–1244. [Google Scholar] [CrossRef] [PubMed]
- Caixeta, D.S.; Scarpa, T.H.; Brugnera, D.F.; Freire, D.O.; Alves, E.; De Abreu, L.R.; Piccoli, R.H. Chemical Sanitizers to Control Biofilms Formed by Two Pseudomonas Species on Stainless Steel Surface. Food Sci. Technol. 2012, 32, 142–150. [Google Scholar] [CrossRef]
- Ekins, S.; Williams, A.J.; Krasowski, M.D.; Freundlich, J.S. In Silico Repositioning of Approved Drugs for Rare and Neglected Diseases. Drug Discov. Today 2011, 16, 298–310. [Google Scholar] [CrossRef] [PubMed]
- Clinical and Laboratory Standards Institute (CLSI). Standard for Quality in Your Laboratory with CLSI. 2018. Available online: www.clsi.org (accessed on 1 January 2020).
- Maiga, M.; Agarwal, N.; Ammerman, N.C.; Gupta, R.; Guo, H. Successful Shortening of Tuberculosis Treatment Using Adjuvant Host-Directed Therapy with FDA-Approved Phosphodiesterase Inhibitors in the Mouse Model. PLoS ONE 2012, 7, e30749. [Google Scholar] [CrossRef] [PubMed]
- Rubin, L.J.; Badesch, D.B.; Fleming, T.R.; Galiè, N.; Simonneau, G.; Ghofrani, H.A.; Oakes, M.; Layton, G.; Serdarevic-Pehar, M.; McLaughlin, V.V.; et al. Long-Term Treatment with Sildenafil Citrate in Pulmonary Arterial Hypertension: The SUPER-2 Study. Chest 2011, 140, 1274–1283. [Google Scholar] [CrossRef]
- Kemper, D.A.G.; Otsuki, D.A.; Maia, D.B.R.R.; Mossoco, C.O.; Marcasso, R.R.A.; Cunha, L.C.C.M.; Auler, J.O.V.C.; Fantoni, D.T. Sildenafil in endotoxin-induced pulmonary hypertension: An experimental study. Braz. J. Anesthesiol. 2023, 73, 446–454. [Google Scholar] [CrossRef]
- Santamarina, M.G.; Beddings, I.; Lomakin, F.M.; Boisier Riscal, D.; Gutiérrez Claveria, M.; Vidal Marambio, J.; Retamal Báez, N.; Pavez Novoa, C.; Reyes Allende, C.; Ferreira Perey, P.; et al. Sildenafil for treating patients with COVID-19 and perfusion mismatch: A pilot randomized trial. Crit Care 2022, 26, 1. [Google Scholar] [CrossRef]
- Oliynyk, O.V.; Rorat, M.; Strepetova, O.V.; Dubrov, S.O.; Guryanov, V.G.; Oliynyk, Y.V.; Kulivets, O.S.; Ślifirczyk, A.; Barg, W. Efficacy of Sildenafil in Patients with Severe COVID-19 and Pulmonary Arterial Hypertension. Viruses 2023, 15, 1157. [Google Scholar] [CrossRef]
- Manu, P. Drug Therapy for Unexplained Dyspnea in Post-COVID-19 Fatigue Syndrome: Empagliflozin and Sildenafil. Am. J. Ther. 2022, 29, e447–e448. [Google Scholar] [CrossRef]
- McFadyen, C.; Garfield, B.; Mancio, J.; Ridge, C.A.; Semple, T.; Keeling, A.; Ledot, S.; Patel, B.; Samaranayake, C.B.; McCabe, C.; et al. Use of sildenafil in patients with severe COVID-19 pneumonitis. Br. J. Anaesth. 2022, 129, e18–e21. [Google Scholar] [CrossRef]
- Su, H.; Ma, C.; Li, H. Anti-infection mechanism of phosphodiesterase-5 inhibitors and their roles in coronavirus disease 2019. Exp. Ther. Med. 2021, 21, 320. [Google Scholar] [CrossRef] [PubMed]
- Matange, N. Revisiting bacterial cyclic nucleotide phosphodiesterases: Cyclic AMP hydrolysis and beyond. FEMS Microbiol. Lett. 2015, 362, fnv183. [Google Scholar] [CrossRef] [PubMed]
- Zheng, Y.; Tsuji, G.; Opoku-Temeng, C.; Sintim, H.O. Inhibition of P. aeruginosa c-di-GMP phosphodiesterase RocR and swarming motility by a benzoisothiazolinone derivative. Chem. Sci. 2016, 7, 6238. [Google Scholar] [CrossRef]
- Cordenonsi, B.P.; Agertt, V.A.; Guidolin Rossi, G.; dos Santos Siqueira, F.; Demétrio Siqueira, J.; Lorenço Marques, L.; Manzoni de Oliveira, G.N.; Christ Vianna Santos, R.; Matiko Anraku de Campos, M. Sulfonamides Complexed with Metals as Mycobacterial Biofilms Inhibitors. J. Clin. Tuberc. Other Mycobact. Dis. 2021, 23, 100217. [Google Scholar] [CrossRef]
- Römling, U.; Balsalobre, C. Biofilm Infections, Their Resilience to Therapy and Innovative Treatment Strategies. J. Intern. Med. 2012, 272, 541–561. [Google Scholar] [CrossRef]
- De Assis, T.A.; Vivas Miranda, J.G.; de Brito Mota, F.; Andrade, R.F.S.; de Castilho, C.M.C. Geometria Fractal: Propriedades e Características de Fractais Ideais. Rev. Bras. Ensino Fis. 2008, 30, 2304. [Google Scholar] [CrossRef]
- Kumar, U.; Gokhle, S.S.; Sreenivas, V.; Kaur, S.; Misra, D. Prospective, Open-Label, Uncontrolled Pilot Study to Study Safety and Efficacy of Sildenafil in Systemic Sclerosis-Related Pulmonary Artery Hypertension and Cutaneous Vascular Complications. Rheumatol. Int. 2013, 33, 1047–1052. [Google Scholar] [CrossRef]
- Millezi, F.M.; Pereira, M.O.; Batista, N.N.; Camargos, N.; Auad, I.; Cardoso, M.D.G.; Piccoli, R.H. Susceptibility of Monospecies and Dual-Species Biofilms of Staphylococcus Aureus and Escherichia Coli to Essential Oils. J. Food Saf. 2012, 32, 351–359. [Google Scholar] [CrossRef]
- Kumar, R.; Malla, P.; Kumar, M. Advances in the Design and Discovery of Drugs for the Treatment of Prostatic Hyperplasia. Curr. Opin. Pharmacol. 2013, 13, 1013–1027. [Google Scholar] [CrossRef]
- Mann, E.E.; Wozniak, D.J. Pseudomonas Biofilm Matrix Composition and Niche Biology. FEMS Microbiol. Rev. 2012, 36, 893–916. [Google Scholar] [CrossRef]
- Jenal, U.; Reinders, A.; Lori, C. Cyclic Di-GMP: Second Messenger Extraordinaire. Nat. Rev. Microbiol. 2017, 15, 271–284. [Google Scholar] [CrossRef] [PubMed]
- Zych, M.; Roszczyk, A.; Kniotek, M.; Kaleta, B.; Zagozdzon, R. Sildenafil Citrate Influences Production of TNF-α in Healthy Men Lymphocytes. J. Immunol. Res. 2019, 8478750. [Google Scholar] [CrossRef]





| Isolate—Sites | Acronyms |
|---|---|
| 1—Urine | 1PAUR |
| 2—Blood | 2PAHC |
| 3—Urine | 3PAUR |
| 4—Urine | 4PAUR |
| 5—Sputum | 5PAES |
| 6—Tracheal secretion | 6PAST |
| 7—Sputum | 7PAES |
| 8—Urine | 8PAUR |
| 9—Urine | 9PAUR |
| 10—Urine | 10PAUR |
| Microorganism | MIC (mg/mL) | MBC (mg/mL) |
|---|---|---|
| PA01 | 3.12 | 6.25 |
| 1PAUR | 6.25 | 12.5 |
| 2PAHC | 6.25 | 12.5 |
| 3PAUR | 6.25 | 12.5 |
| 4PAUR | 3.12 | 25 |
| 5PAES | 6.25 | 3.12 |
| 6PAST | 3.12 | 12.5 |
| 7PAES | 3.12 | 3.12 |
| 8PAUR | 6.25 | 12.5 |
| 9PAUR | 6.25 | 12.5 |
| 10PAUR | 6.25 | 12.5 |
| Antimicrobials | Clinical Isolate (7PAES) | PA01 Strain |
|---|---|---|
| Sildenafil/polymyxin B | ||
| Mean FICI | 0.063 | 0.063 |
| Range | 0.6–0.7 | 0.6–0.7 |
| % Synergism | 100 | 100 |
| Sildenafil/cefepime | ||
| Mean FICI | 0.093 | 0.093 |
| Range | 0.09–0.1 | 0.09–0.1 |
| % Synergism | 100 | 100 |
| Sildenafil/imipenem | ||
| Mean FICI | 0.187 | 0.187 |
| Range | 0.1–0.2 | 0.1–0.2 |
| % Synergism | 100 | 100 |
Disclaimer/Publisher’s Note: The statements, opinions and data contained in all publications are solely those of the individual author(s) and contributor(s) and not of MDPI and/or the editor(s). MDPI and/or the editor(s) disclaim responsibility for any injury to people or property resulting from any ideas, methods, instructions or products referred to in the content. |
© 2024 by the authors. Licensee MDPI, Basel, Switzerland. This article is an open access article distributed under the terms and conditions of the Creative Commons Attribution (CC BY) license (https://creativecommons.org/licenses/by/4.0/).
Share and Cite
Barin, T.d.M.; Alves, C.F.d.S.; Teixeira, C.A.; Verdi, C.M.; Moreira, K.S.; Burgo, T.; Novais, V.F.B.; Vaucher, R.d.A.; Santos, R.C.V. Antimicrobial, Synergistic, and Antibiofilm Activity of Sildenafil Against Pseudomonas aeruginosa: Preliminary Studies. Appl. Sci. 2024, 14, 10089. https://doi.org/10.3390/app142210089
Barin TdM, Alves CFdS, Teixeira CA, Verdi CM, Moreira KS, Burgo T, Novais VFB, Vaucher RdA, Santos RCV. Antimicrobial, Synergistic, and Antibiofilm Activity of Sildenafil Against Pseudomonas aeruginosa: Preliminary Studies. Applied Sciences. 2024; 14(22):10089. https://doi.org/10.3390/app142210089
Chicago/Turabian StyleBarin, Thais de Moraes, Camilla Filippi dos Santos Alves, Cristiane Antunes Teixeira, Camila Marina Verdi, Kelly Schneider Moreira, Thiago Burgo, Vitória Fernanda Belmonte Novais, Rodrigo de Almeida Vaucher, and Roberto Christ Vianna Santos. 2024. "Antimicrobial, Synergistic, and Antibiofilm Activity of Sildenafil Against Pseudomonas aeruginosa: Preliminary Studies" Applied Sciences 14, no. 22: 10089. https://doi.org/10.3390/app142210089
APA StyleBarin, T. d. M., Alves, C. F. d. S., Teixeira, C. A., Verdi, C. M., Moreira, K. S., Burgo, T., Novais, V. F. B., Vaucher, R. d. A., & Santos, R. C. V. (2024). Antimicrobial, Synergistic, and Antibiofilm Activity of Sildenafil Against Pseudomonas aeruginosa: Preliminary Studies. Applied Sciences, 14(22), 10089. https://doi.org/10.3390/app142210089

